Magnetoresistive Properties of Nanocomposites Based on Ferrite Nanoparticles and Polythiophene
Abstract
1. Introduction
2. Materials and Methods
2.1. Materials
2.2. Synthesis of Nanoparticles Capped with Squalene
2.3. Synthesis of Nanoparticles Capped with P3HT
2.4. Nanocomposite Preparation
2.5. Vibrating Sample Magnetometry
2.6. Conductivity Measurements of Nanocomposites
2.7. Conductivity Measurements of Nanocomposites in the External Magnetic Field
3. Results
3.1. Morphology of the Nanoparticles
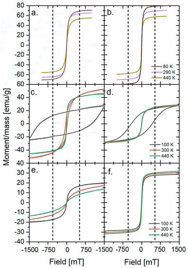
3.2. Magnetic Characterization
3.3. Electric Properties
3.4. Magnetoresistive Properties
4. Conclusions
Author Contributions
Funding
Data Availability Statement
Conflicts of Interest
References
- Kausar, A. Conducting Polymer-Based Nanocomposites: Fundamentals and Applications; Elsevier: Amsterdam, The Netherlands, 2021; ISBN 9780128224632. [Google Scholar]
- Hosseini, S.H.; Rahimi, R.; Kerdari, H. Preparation of a Nanocomposite of Magnetic, Conducting Nanoporous Polyaniline and Hollow Manganese Ferrite. Polym. J. 2011, 43, 745–750. [Google Scholar] [CrossRef]
- Shahriman, M.S.; Mohamad Zain, N.N.; Mohamad, S.; Abdul Manan, N.S.; Yaman, S.M.; Asman, S.; Raoov, M. Polyaniline Modified Magnetic Nanoparticles Coated with Dicationic Ionic Liquid for Effective Removal of Rhodamine B (RB) from Aqueous Solution. RSC Adv. 2018, 8, 33180–33192. [Google Scholar] [CrossRef]
- Bai, H.; Zheng, Y.; Wang, T.; Peng, N. Magnetic Solvent-Free Nanofluid Based on Fe3O4/Polyaniline Nanoparticles and Its Adjustable Electric Conductivity. J. Mater. Chem. A 2016, 4, 14392–14399. [Google Scholar] [CrossRef]
- Agayev, F.G.; Trukhanov, S.V.; Trukhanov, A.V.; Jabarov, S.H.; Ayyubova, G.S.; Mirzayev, M.N.; Trukhanova, E.L.; Vinnik, D.A.; Kozlovskiy, A.L.; Zdorovets, M.V.; et al. Study of Structural Features and Thermal Properties of Barium Hexaferrite upon Indium Doping. J. Therm. Anal. Calorim. 2022, 147, 14107–14114. [Google Scholar] [CrossRef]
- Zdorovets, M.V.; Kozlovskiy, A.L.; Shlimas, D.I.; Borgekov, D.B. Phase Transformations in FeCo—Fe2CoO4/Co3O4-Spinel Nanostructures as a Result of Thermal Annealing and Their Practical Application. J. Mater. Sci. Mater. Electron. 2021, 32, 16694–16705. [Google Scholar] [CrossRef]
- El-Ghobashy, M.A.; Hashim, H.; Darwish, M.A.; Khandaker, M.U.; Sulieman, A.; Tamam, N.; Trukhanov, S.V.; Trukhanov, A.V.; Salem, M.A. Eco-Friendly NiO/Polydopamine Nanocomposite for Efficient Removal of Dyes from Wastewater. Nanomaterials 2022, 12, 1103. [Google Scholar] [CrossRef] [PubMed]
- Xu, J.; Zeng, G.; Lin, Q.; Gu, Y.; Wang, X.; Feng, Z.; Sengupta, A. Application of 3D Magnetic Nanocomposites: MXene-Supported Fe3O4@CS Nanospheres for Highly Efficient Adsorption and Separation of Dyes. Sci. Total Environ. 2022, 822, 153544. [Google Scholar] [CrossRef]
- Li, W.; Yuan, S.; Zhan, Y.; Ding, B. Tuning Magneto-Photocurrent between Positive and Negative Polarities in Perovskite Solar Cells. J. Phys. Chem. C 2017, 121, 9537–9542. [Google Scholar] [CrossRef]
- Sheng, Z.G.; Nakamura, M.; Koshibae, W.; Makino, T.; Tokura, Y.; Kawasaki, M. Magneto-Tunable Photocurrent in Manganite-Based Heterojunctions. Nat. Commun. 2014, 5, 1–7. [Google Scholar] [CrossRef]
- Gärditz, C.; Mückl, A.G.; Cölle, M. Influence of an External Magnetic Field on the Singlet and Triplet Emissions of Tris-(8-Hydroxyquinoline)Aluminum(III) (Alq3). J. Appl. Phys. 2005, 98, 104507. [Google Scholar] [CrossRef]
- Faulkner, L.R.; Tachikawa, H.; Bard, A.J. Electrogenerated Chemiluminescence. VII. the Influence of an External Magnetic Field on Luminescence Intensity. J. Am. Chem. Soc. 1972, 94, 691–699. [Google Scholar] [CrossRef]
- Das, K.; Dasgupta, P.; Poddar, A.; Das, I. Significant Enhancement of Magnetoresistance with the Reduction of Particle Size in Nanometer Scale. Sci. Rep. 2016, 6, 20351. [Google Scholar] [CrossRef]
- Tang, H.; Liang, Y.; Liu, C.; Hu, Z.; Deng, Y.; Guo, H.; Yu, Z.; Song, A.; Zhao, H.; Zhao, D.; et al. A Solution-Processed n-Type Conducting Polymer with Ultrahigh Conductivity. Nature 2022, 611, 271–277. [Google Scholar] [CrossRef] [PubMed]
- Trukhanov, A.V.; Almessiere, M.A.; Baykal, A.; Slimani, Y.; Trukhanova, E.L.; Timofeev, A.V.; Kostishin, V.G.; Trukhanov, S.V.; Sertkol, M.; Ul-Hamid, A. Correlation between the Composition, Structural Parameters and Magnetic Properties of Spinel-Based Functional Nanocomposites. Nano-Struct. Nano-Objects 2023, 33, 100941. [Google Scholar] [CrossRef]
- Xu, H.; Wang, M.; Yu, Z.G.; Wang, K.; Hu, B. Magnetic Field Effects on Excited States, Charge Transport, and Electrical Polarization in Organic Semiconductors in Spin and Orbital Regimes. Adv. Phys. 2019, 68, 49–121. [Google Scholar] [CrossRef]
- Salehiyan, R.; Sinha Ray, S.; Salehiyan, R.; Ray, S.S. Tuning the Conductivity of Nanocomposites through Nanoparticle Migration and Interface Crossing in Immiscible Polymer Blends: A Review on Fundamental Understanding. Macromol. Mater. Eng. 2019, 304, 1800431. [Google Scholar] [CrossRef]
- Elizalde, M.L.M.; Acha, C.; Moreno, M.S.; Antonel, P. Tuning Electrical and Magnetic Properties in Multifunctional Composite Materials Based on PEDOT:DBS Conducting Polymer and Magnetite Nanoparticles. J. Mater. Chem. C 2022, 10, 18264–18278. [Google Scholar] [CrossRef]
- Geng, R.; Luong, H.M.; Pham, M.T.; Das, R.; Stojak Repa, K.; Robles-Garcia, J.; Duong, T.A.; Pham, H.T.; Au, T.H.; Lai, N.D.; et al. Magnetically Tunable Organic Semiconductors with Superparamagnetic Nanoparticles. Mater. Horiz. 2019, 6, 1913–1922. [Google Scholar] [CrossRef]
- Wirecka, R.; Marzec, M.M.; Marciszko-Wiąckowska, M.; Lis, M.; Gajewska, M.; Trynkiewicz, E.; Lachowicz, D.; Bernasik, A. The Effect of Shell Modification in Iron Oxide Nanoparticles on Electrical Conductivity in Polythiophene-Based Nanocomposites. J. Mater. Chem. C 2021, 9, 10453–10461. [Google Scholar] [CrossRef]
- Prathipkumar, S.; Hemalatha, J. Magnetoelectric Response and Tunneling Magnetoresistance Behavior of Flexible P(VDF-H FP)/Cobalt Ferrite Nanofiber Composite Films. Ceram. Int. 2020, 46, 258–269. [Google Scholar] [CrossRef]
- Mascolo, M.C.; Pei, Y.; Ring, T.A. Room Temperature Co-Precipitation Synthesis of Magnetite Nanoparticles in a Large Ph Window with Different Bases. Materials 2013, 6, 5549–5567. [Google Scholar] [CrossRef] [PubMed]
- Stein, C.R.; Bezerra, M.T.S.; Holanda, G.H.A.; André-Filho, J.; Morais, P.C. Structural and Magnetic Properties of Cobalt Ferrite Nanoparticles Synthesized by Co-Precipitation at Increasing Temperatures. AIP Adv. 2018, 8, 056303. [Google Scholar] [CrossRef]
- Nejati, K.; Zabihi, R. Preparation and Magnetic Properties of Nano Size Nickel Ferrite Particles Using Hydrothermal Method. Chem. Cent. J. 2012, 6, 23. [Google Scholar] [CrossRef] [PubMed]
- Cho, S.J.; Kauzlarich, S.M.; Olamit, J.; Liu, K.; Grandjean, F.; Rebbouh, L.; Long, G.J. Characterization and Magnetic Properties of Core/Shell Structured Fe/Au Nanoparticles. J. Appl. Phys. 2004, 95, 6804–6806. [Google Scholar] [CrossRef]
- Liu, C.; Huang, K.; Park, W.T.; Li, M.; Yang, T.; Liu, X.; Liang, L.; Minari, T.; Noh, Y.Y. A Unified Understanding of Charge Transport in Organic Semiconductors: The Importance of Attenuated Delocalization for the Carriers. Mater. Horiz. 2017, 4, 608–618. [Google Scholar] [CrossRef]
- Gu, H.; Guo, J.; Yan, X.; Wei, H.; Zhang, X.; Liu, J.; Huang, Y.; Wei, S.; Guo, Z. Electrical Transport and Magnetoresistance in Advanced Polyaniline Nanostructures and Nanocomposites. Polymer 2014, 55, 4405–4419. [Google Scholar] [CrossRef]
- Wang, S.; Yue, F.J.; Wu, D.; Zhang, F.M.; Zhong, W.; Du, Y.W. Enhanced Magnetoresistance in Self-Assembled Monolayer of Oleic Acid Molecules on Fe3O4 Nanoparticles. Appl. Phys. Lett. 2009, 94, 2–5. [Google Scholar] [CrossRef]
- Guo, J.; Chen, Z.; Abdul, W.; Kong, J.; Khan, M.A.; Young, D.P.; Zhu, J.; Guo, Z. Tunable Positive Magnetoresistance of Magnetic Polyaniline Nanocomposites. Adv. Compos. Hybrid Mater. 2021, 4, 534–542. [Google Scholar] [CrossRef]
- Gu, H.; Zhang, X.; Wei, H.; Huang, Y.; Wei, S.; Guo, Z. An Overview of the Magnetoresistance Phenomenon in Molecular Systems. Chem. Soc. Rev. 2013, 42, 5907–5943. [Google Scholar] [CrossRef] [PubMed]
- Sarkar, A.; Ghosh, P.; Meikap, A.K.; Chattopadhyay, S.K.; Chatterjee, S.K.; Ghosh, M. Direct and Alternate Current Conductivity and Magnetoconductivity of Oxalic Acid Doped Polyaniline. Solid State Commun. 2007, 143, 358–363. [Google Scholar] [CrossRef]
- Guo, J.; Gu, H.; Wei, H.; Zhang, Q.; Haldolaarachchige, N.; Li, Y.; Young, D.P.; Wei, S.; Guo, Z. Magnetite-Polypyrrole Metacomposites: Dielectric Properties and Magnetoresistance Behavior. J. Phys. Chem. C 2013, 117, 10191–10202. [Google Scholar] [CrossRef]
- Noruzi, R.; Lim, E.; Pokuri, B.S.S.; Chabinyc, M.L.; Ganapathysubramanian, B. A Graph Based Approach to Model Charge Transport in Semiconducting Polymers. npj Comput. Mater. 2022, 8, 38. [Google Scholar] [CrossRef]
- Prasanna, G.D.; Jayanna, H.S.; Prasad, V. Preparation, Structural, and Electrical Studies of Polyaniline/ZnFe2O4 Nanocomposites. J. Appl. Polym. Sci. 2011, 120, 2856–2862. [Google Scholar] [CrossRef]
- Nguen, V.L.; Spivak, B.Z.; Shklovskii, B.I. Tunnel Hopping in Disordered Systems. JETP Lett. 1985, 62, 1021–1026. [Google Scholar]



| Sample | Diameter [nm] | Experimental Ms for NPs [emu/g] | Ms for Bulk at 300 K [emu/g] |
|---|---|---|---|
| Fe(Sq) | 9.4 ± 1.4 | 65.5 | 96.0 [22] |
| Fe(P3HT) | 9.8 ± 2.1 | 70.0 | |
| Co(Sq) | 10.7 ± 1.3 | 52.7 | 80.8 [23] |
| Co(P3HT) | 6.8 ± 1.7 | 28.9 | |
| Ni(Sq) | 5.5 ± 0.9 | 16.9 | 55.0 [24] |
| Ni(P3HT) | 4.7 ± 1.4 | 30.6 |
| Nanocomposite Sample | Resistivity Ratio R200K/R300K | R0 [Ohm] | T0 107 [K] |
|---|---|---|---|
| Fe(Sq) | 11.1 | 8.8 × 10−4 | 9.22 |
| Fe(P3HT) | 28.5 | 2.0 × 10−11 | 94.37 |
| Co(Sq) | 14.6 | 2.8 × 10−5 | 11.75 |
| Co(P3HT) | 33.6 | 2.5 × 10−7 | 29.15 |
| Ni(Sq) | 17.8 | 1.7 × 10−5 | 45.32 |
| Ni(P3HT) | 44.7 | 6.0 × 10−7 | 32.47 |
Disclaimer/Publisher’s Note: The statements, opinions and data contained in all publications are solely those of the individual author(s) and contributor(s) and not of MDPI and/or the editor(s). MDPI and/or the editor(s) disclaim responsibility for any injury to people or property resulting from any ideas, methods, instructions or products referred to in the content. |
© 2023 by the authors. Licensee MDPI, Basel, Switzerland. This article is an open access article distributed under the terms and conditions of the Creative Commons Attribution (CC BY) license (https://creativecommons.org/licenses/by/4.0/).
Share and Cite
Wirecka, R.; Maćkosz, K.; Żywczak, A.; Marzec, M.M.; Zapotoczny, S.; Bernasik, A. Magnetoresistive Properties of Nanocomposites Based on Ferrite Nanoparticles and Polythiophene. Nanomaterials 2023, 13, 879. https://doi.org/10.3390/nano13050879
Wirecka R, Maćkosz K, Żywczak A, Marzec MM, Zapotoczny S, Bernasik A. Magnetoresistive Properties of Nanocomposites Based on Ferrite Nanoparticles and Polythiophene. Nanomaterials. 2023; 13(5):879. https://doi.org/10.3390/nano13050879
Chicago/Turabian StyleWirecka, Roma, Krzysztof Maćkosz, Antoni Żywczak, Mateusz Marek Marzec, Szczepan Zapotoczny, and Andrzej Bernasik. 2023. "Magnetoresistive Properties of Nanocomposites Based on Ferrite Nanoparticles and Polythiophene" Nanomaterials 13, no. 5: 879. https://doi.org/10.3390/nano13050879
APA StyleWirecka, R., Maćkosz, K., Żywczak, A., Marzec, M. M., Zapotoczny, S., & Bernasik, A. (2023). Magnetoresistive Properties of Nanocomposites Based on Ferrite Nanoparticles and Polythiophene. Nanomaterials, 13(5), 879. https://doi.org/10.3390/nano13050879

