Abstract
We study the influence of the phase-change material VO2 on transverse magnetic (TM) surface plasmon (SP) modes in metallic arm-chair graphene nanoribbon (AGNR) qubits in the Lindhard approximation. We assess the effects of temperature as a dynamic knob for the transition from the insulating to the metallic phase on the TM SP modes in single-band (SB) and two-band (TB) transitions. We show that a VO2 substrate leads to TM SP modes in both SB and TB transitions. In addition, we observe that the SP modes have a lower frequency than those for a substrate of constant permittivity. In addition, we study the influence of the substrate-induced band gap on SP modes in TB transitions for the insulating and metallic phases of VO2.
1. Introduction
Analyzing and processing big data is one of the biggest challenges of the third millennium [1,2]. These data can be found in many areas of science, technology, and industry, such as weather forecasting and climate change, logistic optimization, financial modeling, space colonization, the pharmaceutical industry, artificial intelligence, cybersecurity, space exploration, etc. [3,4,5,6,7,8,9,10]. Nowadays, we exploit semiconductor technology to process this ocean of information when developing and designing computational units, such as CPUs. The clock speeds of these CPUs, due to fundamental limitations imposed by quantum mechanics and the laws of thermodynamics and electrodynamics, are limited to only a few GHz [11,12]. Employing multi-core CPU architectures and parallel programming methods has been one of the brilliant approaches to overcoming this challenge and achieving the fast processing of information [13]. However, more is needed to analyze data in real time.
One of the best candidates for addressing this challenge is harnessing the power of quantum computers with their unprecedented speed. For instance, a complex problem such as quantum supremacy needs hundreds of thousands of classical computers to run for ten thousand years, while with a powerful quantum computer, this time is reduced to a few minutes [14,15]. Today’s most noisy intermediate-scale quantum computers, which are built by companies such as IBM, Google, and Microsoft, utilize superconductor qubits as quantum processors. Superconductor qubits operate at very low temperatures—close to zero Kelvin. This restricts their scalability and integration with photonic technology. In addition, the clock speeds of these qubits reach up to a few GHz, and error correction [16,17,18] is an obstacle that has not been fully addressed in this technology so far.
One of the solutions for overcoming all of these challenges is the use of plasmonic waves in quantum materials whose thickness is about one atom, such as graphene [19,20,21,22,23]. In this case, the qubits (i) operate at room temperature, (ii) their clock speed is about a few THz, and (iii) they have no need for error mitigation; in addition, they can be easily integrated with optical fibers [24]. In many studies, changing the Fermi energy was considered the only dynamic approach to controlling the spectrum of plasmon waves in graphene qubits [25,26,27,28,29,30,31,32,33]. These studies assumed that the permittivity or temperature of the substrate is constant. However, the emergence of phase-change materials (PCMs), such as VO2, which can transition from an insulating to a metallic phase by varying the temperature, has opened a new horizon for dynamically controlling the state of graphene qubits [34,35,36,37,38,39]. In this paper, we study the influence of a VO2 substrate phase change with temperature on the TM surface plasmon modes of arm-chair graphene nanoribbons as qubits for single-band (SB) and two-band (TB) transitions, which are also known as intra-band and inter-band transitions. Note that, in our previous paper, we studied the influence of VO2 on plasmon modes in AGNRs [40]. It is worth pointing out that plasmon modes are longitudinal electromagnetic fields propagating inside AGNRs, while surface plasmon modes are TM or TE evanescent electromagnetic fields propagating at the interface of AGNRs with the surrounding media. It should be noted, though, that metallic AGNRs do not support TE SP modes because there is no conductivity along the width of the ribbons.
In this work, we study TM SP modes in an AGNR on a VO2 substrate, as sketched in Figure 1, without considering many-body effects, such as electron–electron interaction and exchange. This paper is organized as follows. In Section 2, we present the general expression for TM SP modes within the Lindhard approximation by considering the influence of the energy gap induced by the substrate. Section 3 discusses the results the obtained in the presence and absence of VO2 for SB and TB transitions. Our summary follows in Section 4.
Figure 1.
(a) An AGNR grown on a VO2 substrate. (b) Propagation of a TM SP mode along the interface of VO2 and air in the presence of an AGNR.
2. Formalism
The TM SP modes of a quantum material that is one atom thick and sandwiched between two media can be obtained by finding the roots of the real part of [41,42,43]
where and are the permittivities of the surrounding media. Note that q and denote the wave vector and frequency of the excited surface plasmon mode. In Equation (1), denotes the conductivity of the quantum material given by [44]:
with e and being the electron charge and polarization function, respectively [45]. In the absence of many-body effects, such as Coulomb interaction or exchange effects, this quantity for AGNRs and SB transitions is given by [40]:
and for TB transitions, it is given by:
where , , and are the dimensionless wave vector, frequency, and renormalized Fermi velocity, respectively [46]. Note that , where indicates the energy gap induced by the substrate on the polarization function of AGNRs. W indicates the width of the ribbon given by , where N and denote the dimer number and distance between two carbon atoms, respectively [47,48,49,50,51,52].
3. Results and Discussion
3.1. Substrates with Constant Permittivity
In Figure 2a,b, we plot Equation (1) for suspended AGNRs in which for several widths and a fixed momentum, , for SB and TB transitions, respectively. The Fermi energy and renormalized Fermi velocity are eV and m/s. Notice that we use the following notation in our plots: . The TM SP modes are the roots of Equation (1). In other words, as depicted, the root of the real part of Equation (1) is where a graph intersects with the dashed red line, , where we use the convention . While no TM SP modes exist for the TB transition, as shown in Figure 2b, we see that for SB transitions, the SP mode frequency decreases with increasing nanoribbon width W. In addition, to study the influence of the substrate on SP modes, we plot SPEq for several different constants for SB and TB transitions in Figure 2c,d, respectively, for a fixed width of . Similarly to Figure 2b, in this case, no SP modes exist for TB transitions. In Figure 2c, we observe that substrates with a higher permittivity result in SP modes with lower frequencies.
Figure 2.
(a,b) SPEq for SB and TB transitions, respectively, for several widths , with eV and . (c,d) The same as in (a,b), respectively, for different values of and fixed .
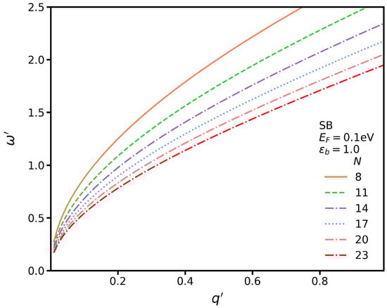
In Figure 3, we plot the TM SP dispersion for several different Ns. We see that for a fixed momentum, the SP energy decreases as the width increases. In addition, in this case, an analytic expression can be found for the SP dispersion, which reads
where . The SP dispersion shows a general trend in which the plasmon frequency increases with the momentum. Additionally, higher momentum values produce SP modes with greater differences compared to those with a lower momentum.
Figure 3.
Dispersion of TM SP modes (SB transitions) for several different widths but fixed .
3.2. Substrates with Phase-Change Functionality: VO2
To express the permittivity of temperature-dependent phase-change materials, such as VO2, we use the Maxwell–Garnet approximation given by [53]:
where F is the ratio between the metallic and insulating phases and is known as the filling factor. It is given by [54]:
with = 70.5 °C and = 4 °C. Note that, in Equation (6), and are the permittivities for the metallic and insulating phases, and they are, respectively, given by:
with , , eV, eV, and eV. In addition, the and coefficients are provided in Table 1 and Table 2 [55].
Table 1.
Values of the parameters in Equation (8).
Table 2.
Values of the parameters in Equation (9).
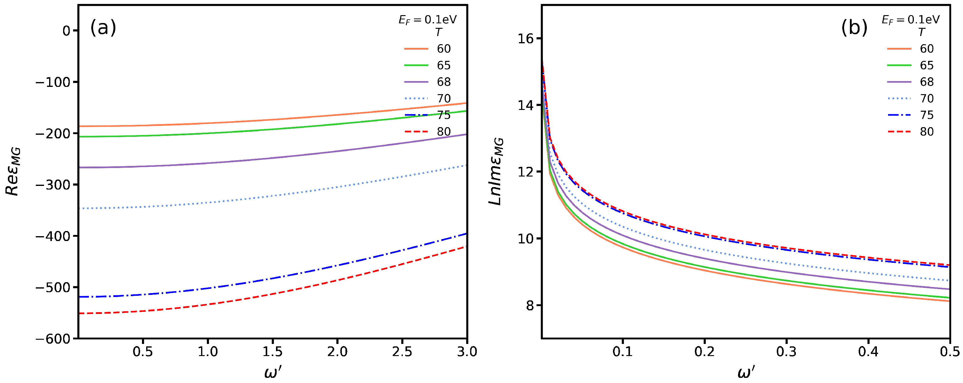
In Figure 4a,b, we plot, respectively, the real and imaginary parts of the permittivity of VO2 as functions of frequency for several temperatures. Notice that VO2 is in the insulating () and metallic () phases for T < 60 °C and T > 80 °C, respectively. Moreover, for , with , it is in a mixture of both phases. In Figure 4a, we see a general trend in which increasing the frequency causes the value of the real part of to increase. In addition, we observe that the magnitude of this quantity in the insulating phase is larger than that of the metallic phase. We can say that this magnitude is about two times larger in the insulating phase than that in the metallic one. In Figure 4b, we can also see a general trend in which, for lower frequencies, the magnitude of the imaginary part of dramatically increases. However, the value of this quantity for the metallic phase is larger than that in the insulating one. In other words, the energy dissipation in the metallic phase is larger than that in the insulating phase. It is worth noting that, for lower frequencies, the behavior of resembles that of the Drude model, as demonstrated in part (b) of Figure 4. It is reasonable to expect this outcome, as the terms and in the sum of (8) and (9) can be disregarded for low frequencies.
Figure 4.
(a) Real and (b) imaginary parts of the Maxwell–Garnet permittivity of VO2 for several temperatures.
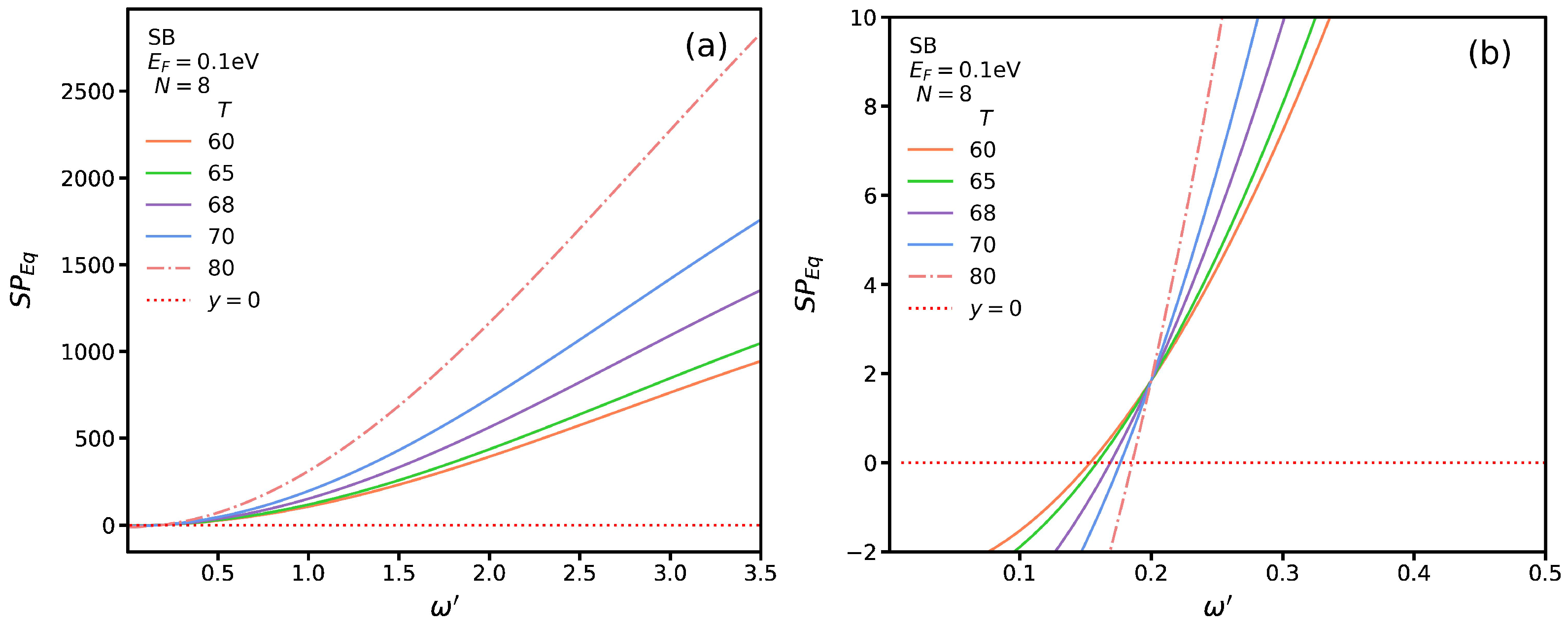
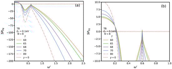
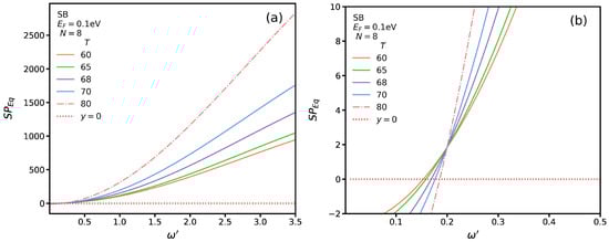
In Figure 5a, we display the graph of SPEq for SB transitions at different temperatures as a function of dimensionless frequency for a fixed momentum of , a Fermi energy of eV, and a width of . To find the roots of the equation, we plotted it for and identified the intersections of the graph with the dotted red line in Figure 5b. We observe that at the intersection point, the SP mode frequency increases with the temperature. In other words, the frequency of the SP modes in the insulating phase is smaller than that in the metallic one.
Figure 5.
SPEq for SB transitions as a function of at several temperatures for (a) and (b) .
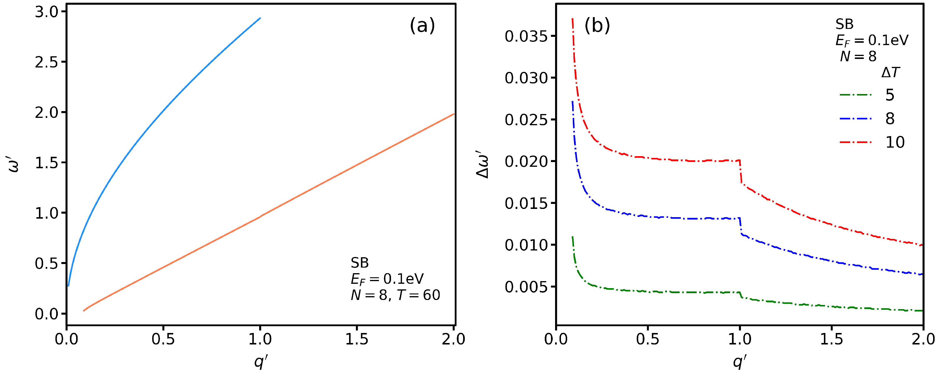
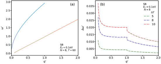
In Figure 6a, we plot the SB SP mode dispersion for and eV. The blue graph indicates the suspended AGNRs, , which are denoted by bar, while the orange graph denotes the SP spectrum for the insulating phase of VO2 (T = 60 °C). In contrast to the bar spectrum, which is limited for this width ( to ), the SP modes in the presence of VO2 extend beyond . In other words, the influence of VO2 as a phase-change material results in SP modes with higher wave vectors and lower frequencies. To show the difference between the SB SP plasmon modes for different temperatures, we set as the difference between the plasmon frequency at temperatures T and T = 60 °C in Figure 6b. We see a general trend in which, by increasing , the magnitude of decreases and then becomes constant up to a point that we call the critical wave vector, . Beyond , decreases more gently. We observe that increases when is increased for a fixed . That is, the energy of SP modes increases by changing from the insulating to the metallic phase.
Figure 6.
(a) SB SP modes in the presence (red curve) and absence (blue curve) of VO2 for and eV. (b) SP modes in the presence of VO2 for several different values of .
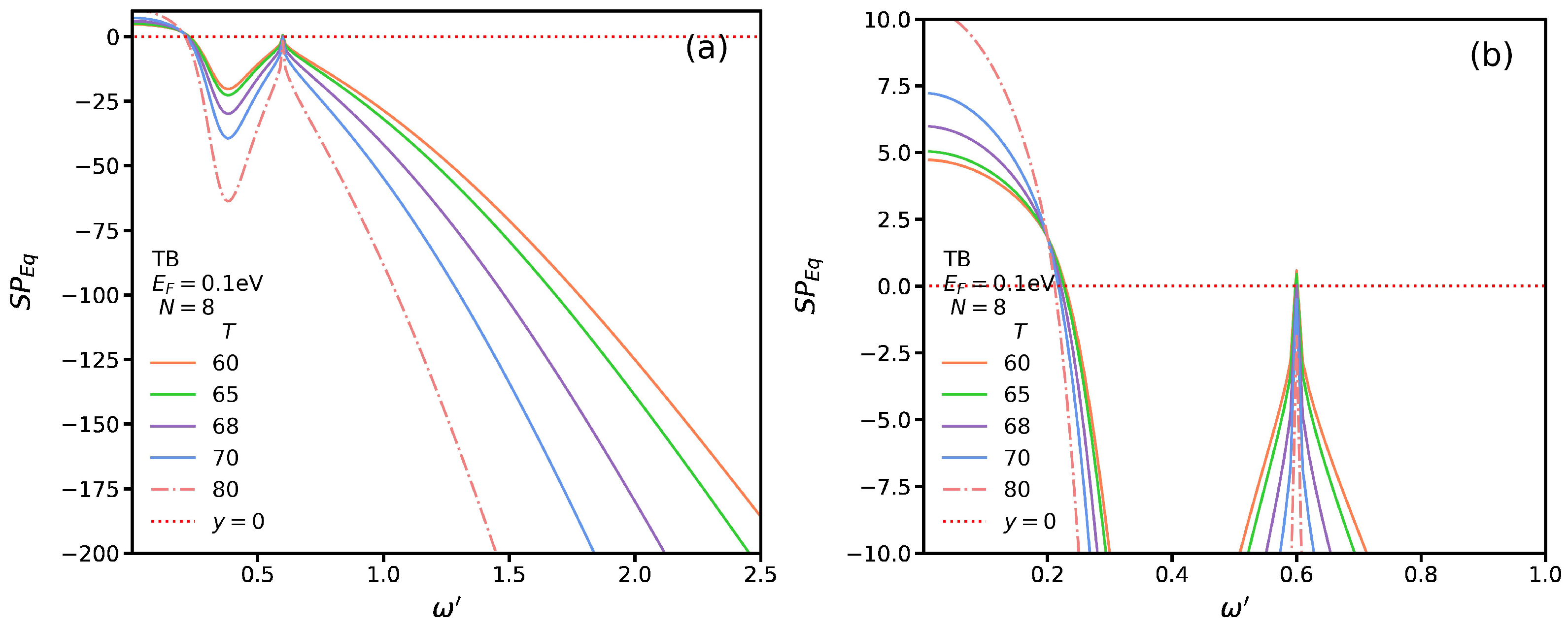
In Figure 7a, we plot SPEq for TB transitions and several temperatures with and a typical momentum such that . To more clearly see its roots—the intersections of the curves with the dotted line—we replot it in Figure 7b for . While there is only one root for the SP mode and SB transitions, we observe three SP modes for the TB transitions. The first root of the metallic phase occurs at a lower frequency than that in the insulating phase. It seems that the other two SP modes with higher frequencies for each temperature converge to similar values.
Figure 7.
SPEq for TB transitions as function of at several temperatures for (a) and (b) .
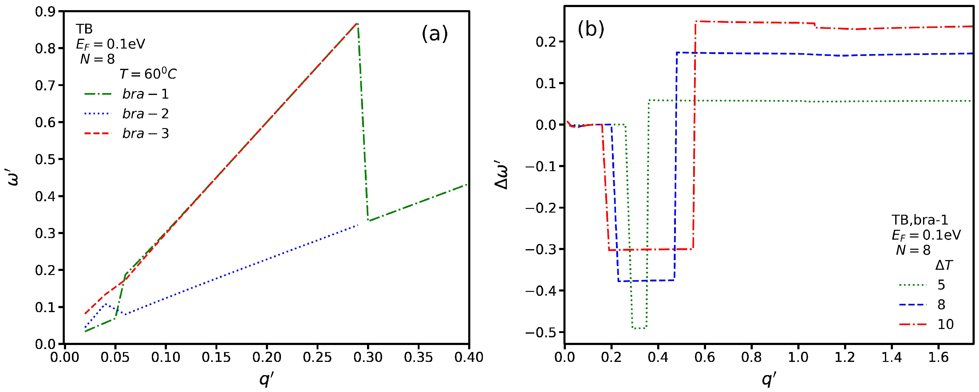
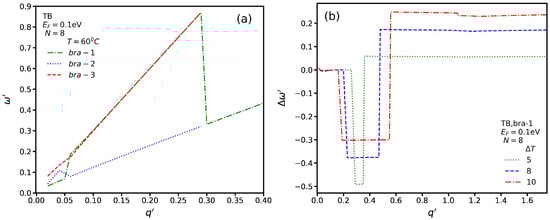
However, if we plot the SP spectrum, as shown in Figure 8a for the insulating phase, we see that, in some range of , a degeneracy exists for SP modes. We use the convention bar-1, bar-2, and bar-3 to distinguish the three SP spectrum branches. We observe that for , there is no degeneracy for SP modes. While bar-1 exists for all wave vectors, we notice that the bar-2 and bar-3 branches exist only for . Although bar-3 acts as a monotonic function with a constant group velocity, the bar-3 branch increases for and then becomes constant before , where a sudden jump occurs and the energy decreases. In Figure 8b, we plot for several values of bar-1. In contrast to the SB transitions, in which there is only one critical wave vector, for the TB transitions, we observe two critical ones: and . We see a general trend in which is constant for and then suddenly decreases and becomes constant up to . Then, it suddenly increases and becomes constant again. We notice that the value for is greater than that for . Although each has the value of for , for , we see that higher values of correspond to higher values of . In addition, the range between the two critical points becomes shorter by decreasing .
Figure 8.
(a) Three SP-mode spectra for TB transitions at T = 60 °C. (b) for several .
So far, we considered in in Equation (4). To study the influence of the induced energy gap in SP modes for TB transitions, in Figure 9a, we plot Equation (1) for several different values of and a substrate with constant permittivities, such as with , , and eV. We note that there is no root for Equation (1). In other words, for substrates with constant permittivities, AGNRs do not support any TB SP modes. In Figure 9b, we plot Equation (1) for a VO2 substrate with eV, , and several temperatures. We observe that, similarly to the case in which , three SP modes exist. In Figure 9c, we plot Equation (1) for several values of in an insulating phase in which . For this typical temperature, we see that three roots exist. We note that the energy of the SP modes increases when the substrate-induced gap is increased.
Figure 9.
(a) SPEq for TB transitions as a function of at several values of for a constant permittivity: at . (b) SPEq for several temperatures at eV. (c) SPEq for several values of at a constant temperature: T = 60 °C.
In Figure 10a, we plot the spectrum for three SP modes and TB transitions with eV and T = 60 °C. We see that the group velocities of bar-1 and bar-2 are higher than that of bar-3 for , while for , all of the branches converge to one. In addition, we observe that for bar-1 and bar-2, the SP mode energy is higher than that for bar-3 and . In Figure 10b, we plot for several values of with eV for bar-1. In contrast to Figure 8b, in which, for , the magnitude of is constant for , here, by increasing , decreases and then reaches a constant value. In addition, similarly to Figure 8b, two critical wave vectors exist. In Figure 10c, we plot the SP spectrum of the first branch for different values of at T = 60 °C. We observe a general trend in which the energy of the SP mode increases and then suddenly decreases, and later, it increases again with a lower group velocity. In addition, we note that by increasing the magnitude of , the energy of the SP modes increases.
Figure 10.
(a) SP spectrum for TB transitions for eV and T = 60 °C. (b) as a function of for several values of for eV. (c) The bar-1 spectrum as a function of for several values of .
4. Summary
We studied the effects of a VO2 substrate on the TM SP modes of metallic AGNRs within the Lindard approximation for both SB and TB transitions. We saw that for a vanishing induced gap , there are no SP modes for TB transitions, while there are for SB transitions. We noticed that the excitation energy of these modes in the insulating phase is smaller than that in the metallic phase. Moreover, the frequency of TM SP modes for SB transitions is smaller than that in suspended AGNRs characterized by . The energy of the SP modes increases by moving from the insulating to the metallic phase of this phase-change material (PCM).
In contrast to the case in which a substrate with constant permittivity did not support TM SP modes for TB transitions, we noticed that AGNRs on a VO2 substrate support three TM SP modes. In addition, there was a degeneracy in the SP spectrum for a particular range of wave vectors. Then, we considered the case in which a substrate-induced gap existed and compared these results with those for a vanishing . We found out that for substrates with a constant permittivity, no TM SP modes existed for TB transitions, as in the case in which . However, for a finite , three TM SP modes existed, in which the energy increased with .
The obtained results indicate that PCMs, such as VO2, could be exploited to dynamically manipulate the state of plasmonic quantum-processor qubits based on AGNRs. For instance, changing the Fermi energy is the only available method for manipulating TM SP modes in AGNRs deposited on substrates that are in either a metallic or dielectric phase with a constant permittivity. Therefore, in this case, AGNRs can support only one TM SP photon at a time. However, as a PCM substrate whose permittivity can be changed with the temperature, VO2 provides the opportunity to have a substrate with a mix of metallic and dielectric phases. This results in the generation of two entangled photons at the same time within an AGNR qubit, which normally requires two qubits. In addition, the mode volume of TM SPs is significantly smaller in the presence of VO2 than in its absence. Consequently, SP modes exhibit a higher intensity. This leads to a nonlinear optical response with higher values, making it desirable to launch SP modes in graphene nanoribbons.
Author Contributions
Conceptualization, M.B.; methodology, M.B.; software, M.B.; validation, M.B.; formal analysis, M.B.; investigation, M.B.; resources, M.B.; data curation, M.B.; writing—original draft preparation, M.B.; writing—review and editing, M.B. and P.V.; visualization, M.B. All authors have read and agreed to the published version of the manuscript.
Funding
This research received no external funding.
Data Availability Statement
Not applicable.
Conflicts of Interest
The authors declare no conflict of interest.
References
- Hilbert, M.; López, P. The World’s Technological Capacity to Store, Communicate, and Compute Information. Science 2011, 332, 60–65. [Google Scholar] [CrossRef] [PubMed]
- Francis, X.; Diebold, A. Personal Perspective on the Origin(s) and Development of ’Big Data’: The Phenomenon, the Term, and the Discipline, Second Version. Ssrn Electron. J. 2012. [Google Scholar] [CrossRef]
- Sabina, L. Scientific Research and Big Data. In The Stanford Encyclopedia of Philosophy; Summer Edition 2020; Stanford University: Stanford, CA, USA, 2020; Available online: https://plato.stanford.edu/archives/sum2020/entries/science-big-data/ (accessed on 1 October 2022).
- Fathi, M.; Kashani, M.H.; Jameii, S.M.; Mahdipour, E. Big Data Analytics in Weather Forecasting: A Systematic Review. Arch. Comput. Methods Eng. 2021, 29, 1247–1275. [Google Scholar] [CrossRef]
- Yan, Z.; Ismail, H.; Chen, L.; Zhao, X.; Wang, L. The application of big data analytics in optimizing logistics: A developmental perspective review. J. Data Inf. Manag. 2019, 1, 33–43. [Google Scholar] [CrossRef]
- Cockcroft, S.; Russell, M. Big Data Opportunities for Accounting and Finance Practice and Research. Aust. Account. Rev. 2018, 28, 323–333. [Google Scholar] [CrossRef]
- Tan, J.; Osborne, B. Analisys of big data from space. Int. Arch. Photogramm. Remote. Sens. Spat. Inf. Sci. 2017, XLII-2/W7, 1367–1371. [Google Scholar] [CrossRef]
- Tormay, P. Big Data in Pharmaceutical R&D: Creating a Sustainable R&D Engine. Pharm. Med. 2015, 29, 87–92. [Google Scholar] [CrossRef]
- O’Leary, D.E. Artificial Intelligence and Big Data. IEEE Intell. Syst. 2013, 28, 96–99. [Google Scholar] [CrossRef]
- Danda, B. Rawat and Ronald Doku and Moses Garuba, Cybersecurity in Big Data Era: From Securing Big Data to Data-Driven Security. IEEE Trans. Serv. Comput. 2011, 14, 2055–2072. [Google Scholar] [CrossRef]
- Meindl, J.D.; Chen, Q.; Davis, J.A. Limits on Silicon Nanoelectronics for Terascale Integration. Science 2001, 293, 2044–2049. [Google Scholar] [CrossRef]
- Keyes, R.W. Fundamental limits of silicon technology. Proc. IEEE 2001, 89, 227–239. [Google Scholar] [CrossRef]
- Sodan, A.C.; Machina, J.; Deshmeh, A.; Macnaughton, K.; Esbaugh, B. Parallelism via Multithreaded and Multicore CPUs. Computer 2010, 43, 24–32. [Google Scholar] [CrossRef]
- Zhong, H.-S.; Wang, H.; Deng, Y.-H.; Chen, M.-C.; Peng, L.-C.; Luo, Y.-H.; Qin, J.; Wu, D.; Ding, X.; Hu, Y.; et al. Quantum computational advantage using photons. Science 2020, 370, 1460–1463. [Google Scholar] [CrossRef]
- Gibney, E. Hello quantum world! Google publishes landmark quantum supremacy claim. Nature 2019, 574, 461–462. [Google Scholar] [CrossRef]
- Kalfus, W.D.; Lee, D.F.; Ribeill, G.J.; Fallek, S.D.; Wagner, A.; Donovan, B.; Riste, D.; Ohki, T.A. High-Fidelity Control of Superconducting Qubits Using Direct Microwave Synthesis in Higher Nyquist Zones. IEEE Trans. Quantum Eng. 2020, 1, 1–12. [Google Scholar] [CrossRef]
- Kjaergaard, M.; Schwartz, M.E.; Braumüller, J.; Krantz, P.; Wang, J.I.-J.; Gustavsson, S.; Oliver, W.D. Superconducting Qubits: Current State of Play. Annu. Rev. Condens. Matter Phys. 2020, 11, 369–395. [Google Scholar] [CrossRef]
- Chen, Z.; Satzinger, K.J.; Atalaya, J.; Korotkov, A.N.; Dunsworth, A.; Sank, D.; Quintana, C.; McEwen, M.; Barends, R.; Klimov, P.V. Exponential suppression of bit or phase errors with cyclic error correction. Nature 2021, 595, 383–387. [Google Scholar] [CrossRef]
- Calafell, I.A.; Cox, J.D.; Radonjić, M.; Saavedra, J.R.M.; de Abajo, F.J.G.; Rozema, L.A.; Walther, P. Quantum computing with graphene plasmons. npj Quantum Inf. 2019, 5, 37. [Google Scholar] [CrossRef]
- Shangguan, Q.; Chen, Z.; Yang, H.; Cheng, S.; Yang, W.; Yi, Z.; Wu, X.; Wang, S.; Yi, Y.; Wu, P. Design of Ultra-Narrow Band Graphene Refractive Index Sensor. Sensors 2022, 22, 6483. [Google Scholar] [CrossRef]
- Cheng, Z.; Liao, J.; He, B.; Zhang, F.; Zhang, F.; Huang, X.; Zhou, L. One-Step Fabrication of Graphene Oxide Enhanced Magnetic Composite Gel for Highly Efficient Dye Adsorption and Catalysis. Acs Sustain. Chem. Eng. 2015, 3, 1677–1685. [Google Scholar] [CrossRef]
- Shangguan, Q.; Zhao, Y.; Song, Z.; Wang, J.; Yang, H.; Chen, J.; Liu, C.; Cheng, S.; Yang, W.; Yi, Z. High sensitivity active adjustable graphene absorber for refractive index sensing applications. Diam. Relat. Mater. 2022, 128, 109273. [Google Scholar] [CrossRef]
- Zhang, Z.; Cai, R.; Long, F.; Wang, J. Development and application of tetrabromobisphenol A imprinted electrochemical sensor based on graphene/carbon nanotubes three-dimensional nanocomposites modified carbon electrode. Talanta 2015, 134, 435–442. [Google Scholar] [CrossRef] [PubMed]
- Constant, T.J.; Hornett, S.M.; Chang, D.E.; Hendry, E. All-optical generation of surface plasmons in graphene. Nat. Phys. 2015, 12, 124–127. [Google Scholar] [CrossRef]
- Bao, Q.; Loh, K.P. Graphene Photonics, Plasmonics, and Broadband Optoelectronic Devices. ACS Nano 2012, 6, 3677–3694. [Google Scholar] [CrossRef]
- Ju, L.; Geng, B.; Horng, J.; Girit, C.; Martin, M.; Hao, Z.; Bechtel, H.A.; Liang, X.; Zettl, A.; Shen, Y.R.; et al. Graphene plasmonics for tunable terahertz metamaterials. Nat. Nanotechnol. 2011, 6, 630–634. [Google Scholar] [CrossRef]
- Koppens, F.H.L.; Chang, D.E.; de Abajo, F.J.G. Graphene Plasmonics: A Platform for Strong Light—Matter Interactions. Nano Lett. 2011, 11, 3370–3377. [Google Scholar] [CrossRef]
- DRodrigo, a.; Limaj, O.; Janner, D.; Etezadi, D.; de Abajo, F.J.G.; Pruneri, V.; Altug, H. Mid-infrared plasmonic biosensing with graphene. Science 2015, 349, 165–168. [Google Scholar] [CrossRef]
- Woessner, A.; Lundeberg, M.B.; Gao, Y.; Principi, A.; Alonso-González, P.; Carrega, M.; Watanabe, K.; Taniguchi, T.; Vignale, G.; Polini, M.; et al. Highly confined low-loss plasmons in graphene–boron nitride heterostructures. Nat. Mater. 2014, 14, 421–425. [Google Scholar] [CrossRef]
- Low, T.; Avouris, P. Low and Phaedon Avouris, Graphene Plasmonics for Terahertz to Mid-Infrared Applications. ACS Nano 2014, 8, 1086–1101. [Google Scholar] [CrossRef]
- Mittendorff, M.; Winnerl, S.; Murphy, T.E. 2D THz Optoelectronics. Adv. Opt. Mater. 2020, 9, 2001500. [Google Scholar] [CrossRef]
- Wang, S.; Yoo, S.; Zhao, S.; Zhao, W.; Kahn, S.; Cui, D.; Wu, F.; Jiang, L.; Utama, M.I.B.; Li, H.; et al. Gate-tunable plasmons in mixed-dimensional van der Waals heterostructures. Nat. Commun. 2021, 12, 5039. [Google Scholar] [CrossRef]
- Zhang, J.; Zhang, Z.; Song, X.; Zhang, H.; Yang, J. Infrared Plasmonic Sensing with Anisotropic Two-Dimensional Material Borophene. Nanomaterials 2021, 11, 1165. [Google Scholar] [CrossRef]
- Quackenbush, N.F.; Tashman, J.W.; Mundy, J.A.; Sallis, S.; Paik, H.; Misra, R.; Moyer, J.A.; Guo, J.-H.; Fischer, D.A.; Woicik, J.C.; et al. Nature of the Metal Insulator Transition in Ultrathin Epitaxial Vanadium Dioxide. Nano Lett. 2013, 13, 4857–4861. [Google Scholar] [CrossRef]
- Whittaker, L.; Patridge, C.J.; Banerjee, S. Microscopic and Nanoscale Perspective of the Metal-Insulator Phase Transitions of VO2: Some New Twists to an Old Tale. J. Phys. Chem. Lett. 2011, 2, 745–758. [Google Scholar] [CrossRef]
- Wei, J.; Wang, Z.; Chen, W.; Cobden, D.H. New aspects of the metal–insulator transition in single-domain vanadium dioxide nanobeams. Nat. Nanotechnol. 2009, 4, 420–424. [Google Scholar] [CrossRef]
- Eyert, V. VO2: A Novel View from Band Theory. Phys. Rev. Lett. 2011, 107, 016401. [Google Scholar] [CrossRef]
- Haverkort, M.W.; Hu, Z.; Tanaka, A.; Reichelt, W.; Streltsov, S.V.; Korotin, M.A.; Anisimov, V.I.; Hsieh, H.H.; Lin, H.-J.; Chen, C.T.; et al. Orbital-Assisted Metal-Insulator Transition in VO2. Phys. Rev. Lett. 2005, 95, 196404. [Google Scholar] [CrossRef]
- Marezio, M.; McWhan, D.B.; Remeika, J.P.; Dernier, P.D. Structural Aspects of the Metal-Insulator Transitions in Cr-Doped VO2. Phys. Rev. 1972, 5, 2541–2551. [Google Scholar] [CrossRef]
- Bahrami, M.; Vasilopoulos, P. RPA Plasmons in Graphene Nanoribbons: Influence of a VO2 Substrate. Nanomaterials 2022, 12, 2861. [Google Scholar] [CrossRef]
- Jablan, M.; Buljan, H.; Soljaćixcx, M. Plasmonics in graphene at infrared frequencies. Phys. Rev. 2009, 80, 245435. [Google Scholar] [CrossRef]
- De Abajo, F.J.G. Graphene Plasmonics: Challenges and Opportunities. ACS Photonics 2014, 1, 135–152. [Google Scholar] [CrossRef]
- Brahami, M.; Vasilopoulos, P. Exchange, correlation, and scattering effects on surface plasmons in arm-chair graphene nanoribbons. Opt. Express 2017, 25, 16840. [Google Scholar] [CrossRef] [PubMed]
- Bahrami, M.; Vasilopoulos, P. Influence of Impurity Scattering on Surface Plasmons in Graphene in the Lindhard Approximation. Appl. Sci. 2021, 11, 10147. [Google Scholar] [CrossRef]
- Bagheri, M.; Bahrami, M. Plasmons in spatially separated double-layer graphene nanoribbons. J. Appl. Phys. 2014, 115, 174301. [Google Scholar] [CrossRef]
- Whelan, P.R.; Zhou, B.; Bezencenet, O.; Shivayogimath, A.; Mishra, N.; Shen, Q.; Jessen, B.S.; Pasternak, I.; Mackenzie, D.M.; Ji, J.; et al. Case studies of electrical characterisation of graphene by terahertz time-domain spectroscopy. 2D Mater 2021, 8, 022003. [Google Scholar] [CrossRef]
- Zhang, W.; Lin, C.; Liu, K.; Tite, T.; Su, C.; Chang, C.; Lee, Y.; Chu, C.; Wei, K.; Kuo, J.; et al. Opening an Electrical Band Gap of Bilayer Graphene with Molecular Doping. ACS Nano 2011, 5, 7517–7524. [Google Scholar] [CrossRef]
- Shemella, P.; Nayak, S.K. Electronic structure and band-gap modulation of graphene via substrate surface chemistry. Appl. Phys. Lett. 2009, 94, 032101. [Google Scholar] [CrossRef]
- Sławińska, J.; Zasada, I.; Klusek, Z. Energy gap tuning in graphene on hexagonal boron nitride bilayer system. Phys. Rev. 2010, 81, 155433. [Google Scholar] [CrossRef]
- Enderlein, C.; Kim, Y.S.; Bostwick, A.; Rotenberg, E.; Horn, K. The formation of an energy gap in graphene on ruthenium by controlling the interface. New J. Phys. 2010, 12, 033014. [Google Scholar] [CrossRef]
- Kharche, N.; Nayak, S.K. Quasiparticle Band Gap Engineering of Graphene and Graphone on Hexagonal Boron Nitride Substrate. Nano Lett. 2011, 11, 5274–5278. [Google Scholar] [CrossRef]
- Zhou, S.Y.; Gweon, G.-H.; Fedorov, A.V.; First, P.N.; de Heer, W.A.; Lee, D.-H.; Guinea, F.; Neto, A.H.C.; Lanzara, A. Substrate-induced bandgap opening in epitaxial graphene. Nat. Mater. 2007, 6, 770–775. [Google Scholar] [CrossRef]
- Markel, V.A. Introduction to the Maxwell Garnett approximation: Tutorial. J. Opt. Soc. Am. 2016, 33, 1244. [Google Scholar] [CrossRef]
- Leahu, G.; Voti, R.L.; Sibilia, C.; Bertolotti, M. Anomalous optical switching and thermal hysteresis during semiconductor-metal phase transition of VO2 films on Si substrate. Appl. Phys. Lett. 2013, 103, 231114. [Google Scholar] [CrossRef]
- Pirozhenko, I.; Lambrecht, A. Influence of slab thickness on the Casimir force. Phys. Rev. 2008, 77, 013811. [Google Scholar] [CrossRef]
Disclaimer/Publisher’s Note: The statements, opinions and data contained in all publications are solely those of the individual author(s) and contributor(s) and not of MDPI and/or the editor(s). MDPI and/or the editor(s) disclaim responsibility for any injury to people or property resulting from any ideas, methods, instructions or products referred to in the content. |
© 2023 by the authors. Licensee MDPI, Basel, Switzerland. This article is an open access article distributed under the terms and conditions of the Creative Commons Attribution (CC BY) license (https://creativecommons.org/licenses/by/4.0/).









