NiCo2S4/MoS2 Nanocomposites for Long-Life High-Performance Hybrid Supercapacitors
Abstract
:1. Introduction
2. Experimental Section
Synthesis of NiCo2S4-MoS2 Composites
3. Results and Discussion
3.1. Synthesis Mechanism of NiCo2S4/MoS2 Composite
3.2. Characterization and Morphology of NiCo2S4/MoS2 Composite
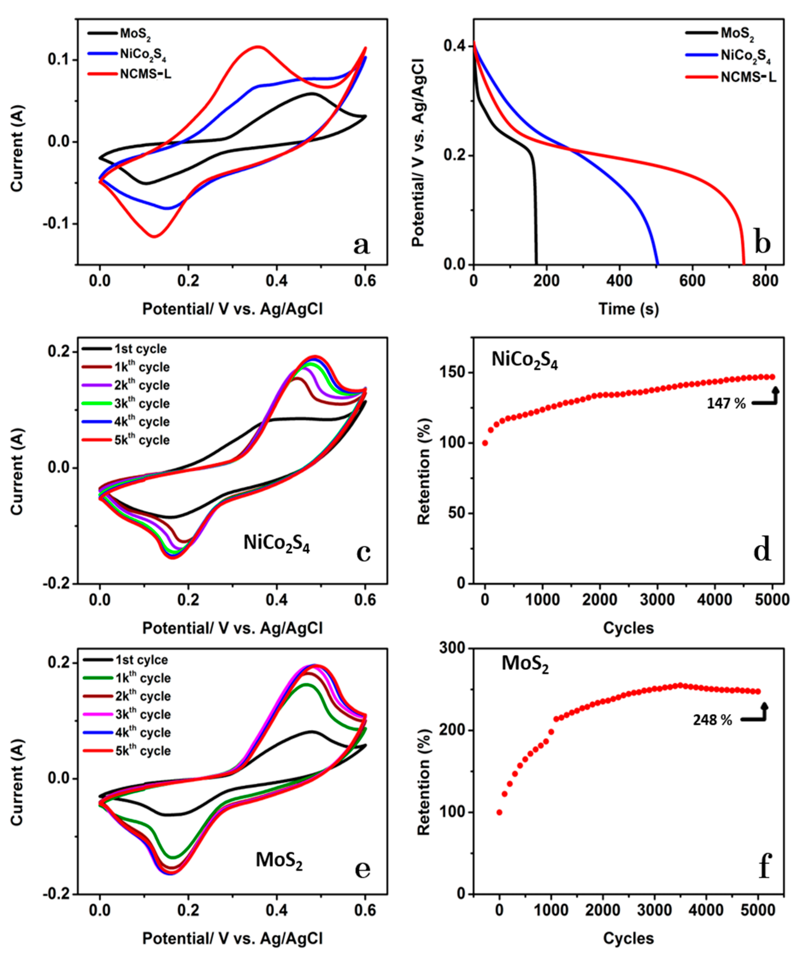
3.3. Electrochemical Properties of NiCo2S4/MoS2 Nanocomposite
- The synergistic contribution of each composite component is highly responsible for such enhanced electrochemical performance. The combination of highly capacitive NiCo2S4 and highly conductive MoS2 is feasible for fabricating high-performance supercapacitor electrodes.
- The enhanced cycling stability of the composite can be attributed to its electrochemical reconstruction during the cycling test.
- The porous morphology of the composite (NCMS-L) is favorable for the easy transport of electrolyte ions during the electrochemical test.
- The enhanced mechanical strength of MoS2 restricted the structural deformation of the electrode during the long-term cycling test.
4. Conclusions
Supplementary Materials
Author Contributions
Funding
Data Availability Statement
Conflicts of Interest
References
- Simon, P.; Gogotsi, Y. Materials for electrochemical capacitors. Nat. Mater. 2008, 7, 845–854. [Google Scholar] [CrossRef]
- Sahoo, S.; Dhakal, G.; Kim, W.K.; Shim, J.J. Ternary Nanohybrid of Ni3S2/CoMoS4/MnO2 on Nickel Foam for Aqueous and Solid-State High-Performance Supercapacitors. Nanomaterials 2022, 12, 1945. [Google Scholar] [CrossRef] [PubMed]
- Dhakal, G.; Mohapatra, D.; Kim, Y.I.; Lee, J.; Kim, W.K.; Shim, J.J. High-performance supercapacitors fabricated with activated carbon derived from lotus calyx biowaste. Renew. Energy 2022, 189, 587–600. [Google Scholar] [CrossRef]
- Sahoo, S.; Kumar, R.; Joanni, E.; Singh, R.K.; Shim, J.J. Advances in pseudocapacitive and battery-like electrode materials for high performance supercapacitors. J. Mater. Chem. A 2022, 10, 13190–13240. [Google Scholar] [CrossRef]
- Sahoo, S.; Shim, J.J. Facile synthesis of three-dimensional ternary ZnCo2O4/reduced graphene oxide/NiO composite film on nickel foam for next generation supercapacitor electrodes. ACS Sustain. Chem. Eng. 2017, 5, 241–251. [Google Scholar] [CrossRef]
- Halper, M.S.; Ellenbogen, J.C. Supercapacitors: A Brief Overview; MITRE Nanosystems Group: McLean, VA, USA, 2006. [Google Scholar]
- Conway, B.E. Electrochemical Supercapacitors: Scientific Fundamentals and Technological Applications; Springer Science & Business Media: Berlin/Heidelberg, Germany, 2013. [Google Scholar]
- Yan, J.; Wang, Q.; Wei, T.; Fan, Z. Supercapacitors: Recent Advances in Design and Fabrication of Electrochemical Supercapacitors with High Energy Densities. Adv. Energy Mater. 2014, 4, 1300816. [Google Scholar] [CrossRef]
- Brousse, T.; Bélanger, D.; Long, J.W. To be or not to be pseudocapacitive? J. Electrochem. Soc. 2015, 162, A5185–A5189. [Google Scholar] [CrossRef]
- Bulakhe, R.N.; Sahoo, S.; Nguyen, T.T.; Lokhande, C.D.; Roh, C.; Lee, Y.R.; Shim, J.-J. Chemical synthesis of 3D copper sulfide with different morphologies for high performance supercapacitors application. RSC Adv. 2016, 6, 14844–14851. [Google Scholar] [CrossRef]
- Nguyen, V.H.; Shim, J.-J. In situ growth of hierarchical mesoporous NiCo2S4@MnO2 arrays on nickel foam for high-performance supercapacitors. Electrochim. Acta 2015, 166, 302–309. [Google Scholar] [CrossRef]
- Dai, Z.; Zang, X.; Yang, J.; Sun, C.; Si, W.; Huang, W.; Dong, X. Template Synthesis of Shape-Tailorable NiS2 Hollow Prisms as High-Performance Supercapacitor Materials. ACS Appl. Mater. Interfaces 2015, 7, 25396–25401. [Google Scholar] [CrossRef]
- Zhu, Y.; Wu, Z.; Jing, M.; Yang, X.; Song, W.; Ji, X. Mesoporous NiCo2S4 nanoparticles as high-performance electrode materials for supercapacitors. J. Power Sources 2015, 273, 584–590. [Google Scholar] [CrossRef]
- Acerce, M.; Voiry, D.; Chhowalla, M. Metallic 1T phase MoS2 nanosheets as supercapacitor electrode materials. Nat. Nanotechnol. 2015, 10, 313–318. [Google Scholar] [CrossRef] [PubMed]
- Mahmood, Q.; Park, S.K.; Kwon, K.D.; Chang, S.-J.; Hong, J.-Y.; Shen, G.; Jung, Y.M.; Park, T.J.; Khang, S.W.; Kim, W.S.; et al. Transition from Diffusion-Controlled Intercalation into Extrinsically Pseudocapacitive Charge Storage of MoS2 by Nanoscale Heterostructuring. Adv. Energy Mater. 2016, 6, 1501115. [Google Scholar] [CrossRef]
- Eda, G.; Yamaguchi, H.; Voiry, D.; Fujita, T.; Chen, M.; Chhowalla, M. Photoluminescence from Chemically Exfoliated MoS2. Nano Lett. 2011, 11, 5111–5116. [Google Scholar] [CrossRef] [PubMed]
- da Silveira Firmiano, E.G.; Rabelo, A.C.; Dalmaschio, C.J.; Pinheiro, A.N.; Pereira, E.C.; Schreiner, W.H.; Leite, E.R. Supercapacitor Electrodes Obtained by Directly Bonding 2D MoS2 on Reduced Graphene Oxide. Adv. Energy Mater. 2014, 4, 1301380. [Google Scholar] [CrossRef]
- Fan, L.-Q.; Liu, G.-J.; Zhang, C.-Y.; Wu, J.-H.; Wei, Y.-L. Facile one-step hydrothermal preparation of molybdenum disulfide/carbon composite for use in supercapacitor. Int. J. Hydrogen Energy 2015, 40, 10150–10157. [Google Scholar] [CrossRef]
- Peng, S.; Li, L.; Li, C.; Tan, H.; Cai, R.; Yu, H.; Mhaisalkar, S.; Srinivasan, M.; Ramakrishna, S.; Yan, Q. In situ growth of NiCo2S4 nanosheets on graphene for high-performance supercapacitors. Chem. Commun. 2013, 49, 10178–10180. [Google Scholar] [CrossRef]
- Jia, Y.; Ma, Y.; Lin, Y.; Tang, J.; Shi, W.; He, W. In-situ growth of hierarchical NiCo2S4/MoS2 nanotube arrays with excellent electrochemical performance. Electrochim. Acta 2018, 289, 39–46. [Google Scholar] [CrossRef]
- Zhang, Y.; Ma, M.; Yang, J.; Sun, C.; Su, H.; Huang, W.; Dong, X. Shape-controlled synthesis of NiCo2S4 and their charge storage characteristics in supercapacitors. Nanoscale 2014, 6, 9824–9830. [Google Scholar] [CrossRef]
- Lin, L.; Liu, J.; Liu, T.; Hao, J.; Ji, K.; Sun, R.; Zeng, W.; Wang, Z. Growth-controlled NiCo2S4 nanosheet arrays with self-decorated nanoneedles for high-performance pseudocapacitors. J. Mater. Chem. A 2015, 3, 17652–17658. [Google Scholar] [CrossRef]
- Hou, L.; Shi, Y.; Zhu, S.; Rehan, M.; Pang, G.; Zhang, X.; Yuan, C. Hollow mesoporous hetero-NiCo2S4/Co9S8 submicro-spindles: Unusual formation and excellent pseudocapacitance towards hybrid supercapacitors. J. Mater. Chem. A 2015, 5, 133–144. [Google Scholar] [CrossRef]
- Wang, T.; Guo, Y.; Zhao, B.; Yu, S.; Yang, H.P.; Lu, D.; Fu, X.Z.; Sun, R.; Wong, C.P. NiCo2O4 nanosheets in-situ grown on three dimensional porous Ni film current collectors as integrated electrodes for high-performance supercapacitors. J. Power Sources 2015, 286, 371–379. [Google Scholar] [CrossRef]
- Chen, B.; Liu, E.; He, F.; Shi, C.; He, C.; Li, J.; Zhao, N. 2D sandwich-like carbon-coated ultrathin TiO2@defect-rich MoS2 hybrid nanosheets: Synergistic-effect-promoted electrochemical performance for lithium ion batteries. Nano Energy 2016, 26, 541–549. [Google Scholar] [CrossRef]
- Bissett, M.A.; Kinloch, I.A.; Dryfe, R.A.W. Characterization of MoS2–Graphene Composites for High-Performance Coin Cell Supercapacitors. ACS Appl. Mater. Interfaces 2015, 7, 17388–17398. [Google Scholar] [CrossRef] [PubMed]
- Xiao, J.; Wan, L.; Yang, S.; Xiao, F.; Wang, S. Design Hierarchical Electrodes with Highly Conductive NiCo2S4 Nanotube Arrays Grown on Carbon Fiber Paper for High-Performance Pseudocapacitors. Nano Lett. 2014, 14, 831–838. [Google Scholar] [CrossRef]
- Dong, W.; Wang, X.; Li, B.; Wang, L.; Chen, B.; Li, C.; Li, X.; Zhang, T.; Shi, Z. Hydrothermal synthesis and structure evolution of hierarchical cobalt sulfide nanostructures. Dalton Trans. 2011, 40, 243–248. [Google Scholar] [CrossRef]
- Li, D.; Gong, Y.; Pan, C. Facile synthesis of hybrid CNTs/NiCo2S4 composite for high performance supercapacitors. Sci. Rep. 2016, 6, 29788. [Google Scholar] [CrossRef]
- Wan, H.; Jiang, J.; Yu, J.; Xu, K.; Miao, L.; Zhang, L.; Chen, H.; Ruan, Y. NiCo2S4 porous nanotubes synthesis via sacrificial templates: High-performance electrode materials of supercapacitors. CrystEngComm 2013, 15, 7649–7651. [Google Scholar] [CrossRef]
- Chen, W.; Fan, Z.; Gu, L.; Bao, X.; Wang, C. Enhanced capacitance of manganese oxide via confinement inside carbon nanotubes. Chem. Commun. 2010, 46, 3905–3907. [Google Scholar] [CrossRef]
- Wang, H.; Zhang, H.; Zhang, D.; Chen, J.; Zhang, S.; Zhang, S.; Yu, J.; Wu, Q.; Li, Q. Toward Enhanced Electrochemical Performance by Investigation of the Electrochemical Reconstruction Mechanism in Co2V2O7 Hexagonal Nanosheets for Hybrid Supercapacitors. ACS Appl. Mater. Interfaces 2022, 14, 8106–8114. [Google Scholar] [CrossRef]
- Zhu, Y.; Ji, X.; Wu, Z.; Liu, Y. NiCo2S4 hollow microsphere decorated by acetylene black for high-performance asymmetric supercapacitor. Electrochim. Acta 2015, 186, 562–571. [Google Scholar] [CrossRef]
- Lu, X.-F.; Wu, D.-J.; Li, R.-Z.; Li, Q.; Ye, S.-H.; Tong, Y.-X.; Li, G.-R. Hierarchical NiCo2O4 nanosheets@hollow microrod arrays for high-performance asymmetric supercapacitors. J. Mater. Chem. A 2014, 2, 4706–4713. [Google Scholar] [CrossRef]
- Thangappan, R.; Kalaiselvam, S.; Elayaperumal, A.; Jayavel, R.; Arivanandhan, M.; Karthikeyan, R.; Hayakawa, Y. Graphene decorated with MoS2 nanosheets: A synergetic energy storage composite electrode for supercapacitor applications. Dalton Trans. 2016, 45, 2637–2646. [Google Scholar] [CrossRef] [PubMed]









Disclaimer/Publisher’s Note: The statements, opinions and data contained in all publications are solely those of the individual author(s) and contributor(s) and not of MDPI and/or the editor(s). MDPI and/or the editor(s) disclaim responsibility for any injury to people or property resulting from any ideas, methods, instructions or products referred to in the content. |
© 2023 by the authors. Licensee MDPI, Basel, Switzerland. This article is an open access article distributed under the terms and conditions of the Creative Commons Attribution (CC BY) license (https://creativecommons.org/licenses/by/4.0/).
Share and Cite
Tue, L.N.M.; Sahoo, S.; Dhakal, G.; Nguyen, V.H.; Lee, J.; Lee, Y.R.; Shim, J.-J. NiCo2S4/MoS2 Nanocomposites for Long-Life High-Performance Hybrid Supercapacitors. Nanomaterials 2023, 13, 689. https://doi.org/10.3390/nano13040689
Tue LNM, Sahoo S, Dhakal G, Nguyen VH, Lee J, Lee YR, Shim J-J. NiCo2S4/MoS2 Nanocomposites for Long-Life High-Performance Hybrid Supercapacitors. Nanomaterials. 2023; 13(4):689. https://doi.org/10.3390/nano13040689
Chicago/Turabian StyleTue, Le Nhu Minh, Sumanta Sahoo, Ganesh Dhakal, Van Hoa Nguyen, Jintae Lee, Yong Rok Lee, and Jae-Jin Shim. 2023. "NiCo2S4/MoS2 Nanocomposites for Long-Life High-Performance Hybrid Supercapacitors" Nanomaterials 13, no. 4: 689. https://doi.org/10.3390/nano13040689
APA StyleTue, L. N. M., Sahoo, S., Dhakal, G., Nguyen, V. H., Lee, J., Lee, Y. R., & Shim, J.-J. (2023). NiCo2S4/MoS2 Nanocomposites for Long-Life High-Performance Hybrid Supercapacitors. Nanomaterials, 13(4), 689. https://doi.org/10.3390/nano13040689

