Thermal Conductivity Enhancement of Metal Oxide Nanofluids: A Critical Review
Abstract
1. Introduction
2. TC Measurement Methods
3. TC Enhancement Mechanisms
3.1. Brownian Motion of the Nanoparticles
3.2. Nanolayer Effect
3.3. Nanoparticle Clustering
3.4. Ballistic Nature of Nanoparticles
4. TC Enhancement Contributing Factors
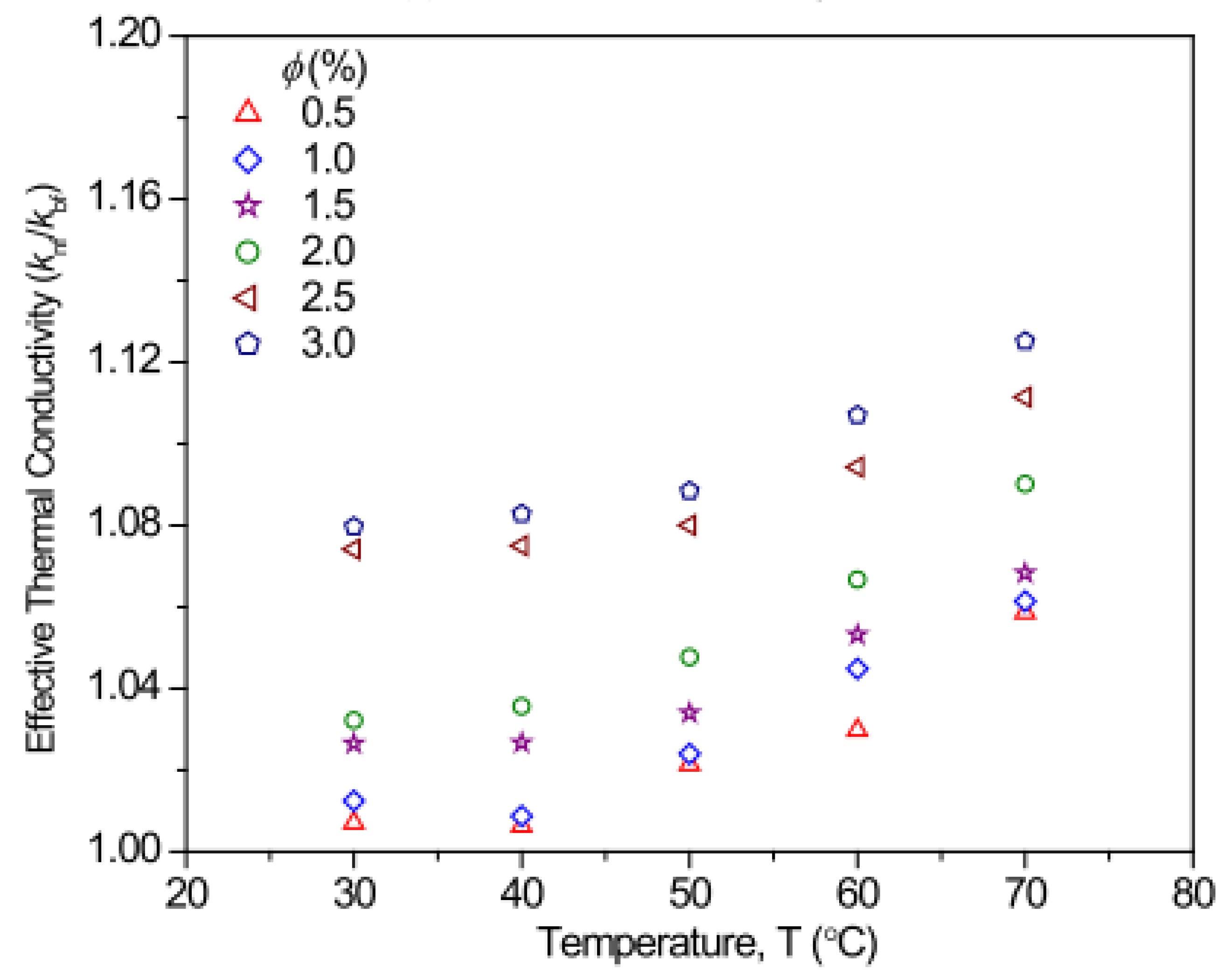
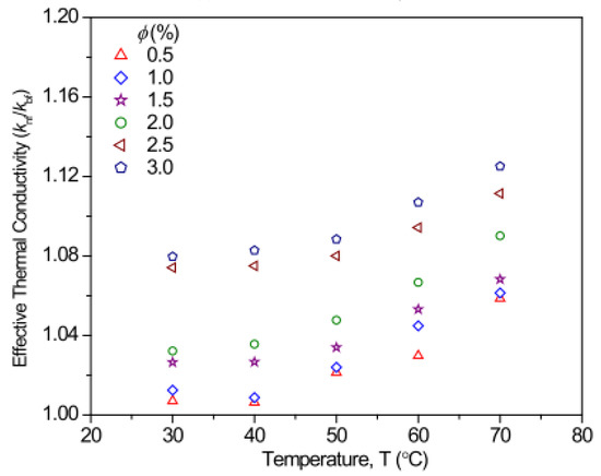
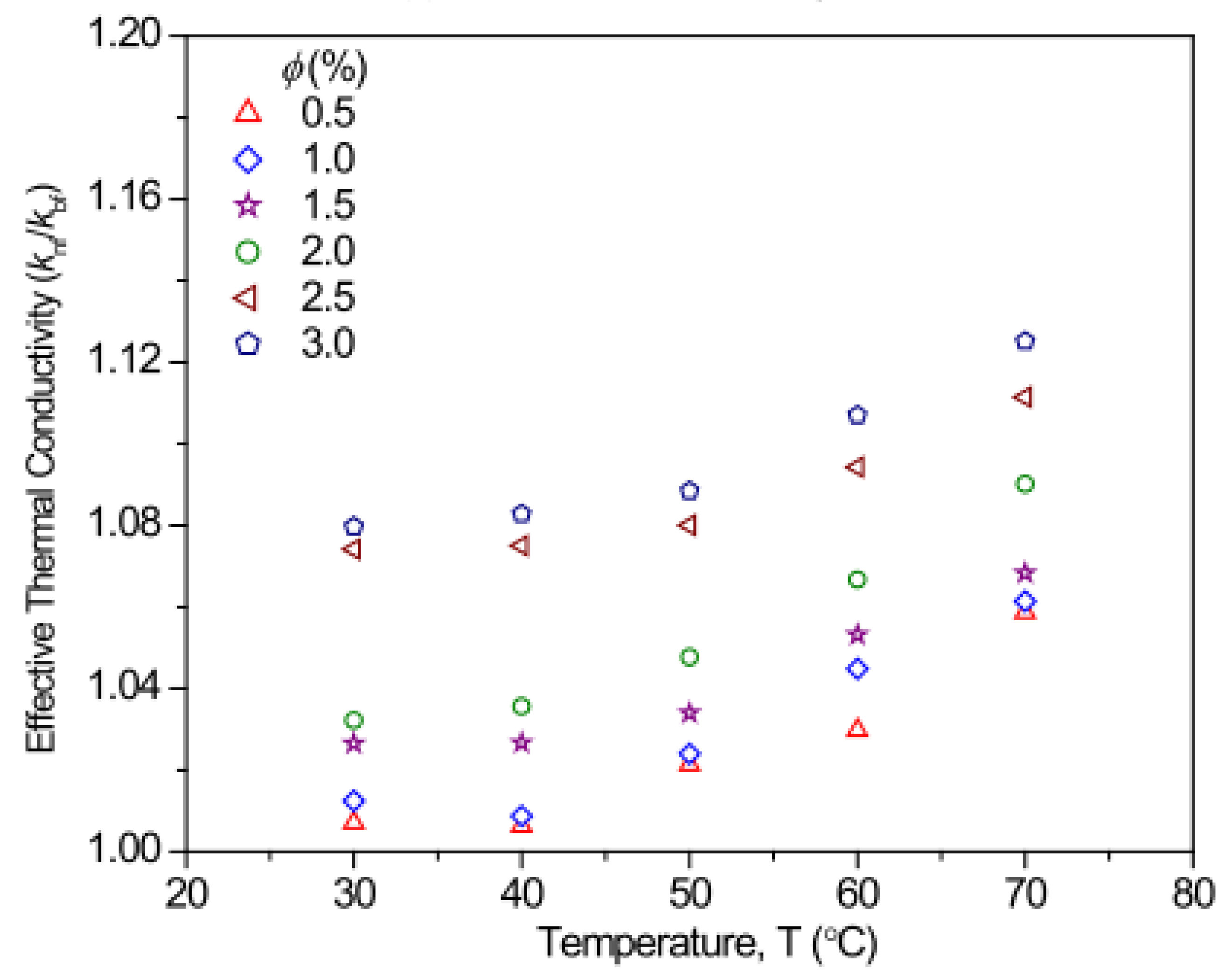
4.1. Concentration
4.2. Temperature
4.3. Nanoparticle Size
4.4. Base Fluid Characteristics and Alignment
4.5. pH
4.6. Surfactants
4.7. Mixing Ratio (Hybrid Nanofluids)
4.8. Sonication Characteristics
4.8.1. Mono Nanofluids

4.8.2. Hybrid Nanofluids
5. TC Enhancement Techniques
5.1. Magnetic Field
5.2. Electric Field
6. Green Nanofluids
7. Future Perspective and Challenges
8. Conclusions
Author Contributions
Funding
Institutional Review Board Statement
Informed Consent Statement
Data Availability Statement
Conflicts of Interest
References
- Giwa, S.O.; Sharifpur, M.; Ahmadi, M.H.; Meyer, J.P. A Review of Magnetic Field Influence on Natural Convection Heat Transfer Performance of Nanofluids in Square Cavities; Springer International Publishing: Berlin/Heidelberg, Germany, 2020. [Google Scholar] [CrossRef]
- Giwa, S.O.; Sharifpur, M.; Ahmadi, M.H.; Meyer, J.P. Magnetohydrodynamic convection behaviours of nanofluids in non-square enclosures: A comprehensive review. Math. Methods Appl. Sci. 2020, 1–59. [Google Scholar] [CrossRef]
- Ambreen, T.; Kim, M.H. Heat transfer and pressure drop correlations of nanofluids: A state of art review. Renew. Sustain. Energy Rev. 2018, 91, 564–583. [Google Scholar] [CrossRef]
- Murshed, S.M.S.; Sharifpur, M.; Giwa, S.; Meyer, J.P. Experimental research and development on the natural convection of suspensions of nanoparticles—A comprehensive review. Nanomaterials 2020, 10, 1855. [Google Scholar] [CrossRef]
- Eastman, J.A.; Choi, S.U.S.; Li, S.; Yu, W.; Thompson, L.J. Anomalously increased effective thermal conductivities of ethylene glycol-based nanofluids containing copper nanoparticles. Appl. Phys. Lett. 2001, 78, 718–720. [Google Scholar] [CrossRef]
- Adio, S.A.; Sharifpur, M.; Meyer, J.P. Influence of ultrasonication energy on the dispersion consistency of Al2O3–glycerol nanofluid based on viscosity data, and model development for the required ultrasonication energy density. J. Exp. Nanosci. 2016, 11, 630–649. [Google Scholar] [CrossRef]
- Bhatti, M.M.; Öztop, H.F.; Ellahi, R.; Sarris, I.E.; Doranehgard, M.H. Insight into the investigation of diamond (C) and Silica (SiO2) nanoparticles suspended in water-based hybrid nanofluid with application in solar collector. J. Mol. Liq. 2022, 357, 119134. [Google Scholar] [CrossRef]
- Mahian, O.; Kolsi, L.; Amani, M.; Estellé, P.; Ahmadi, G.; Kleinstreuer, C.; Marshall, J.S.; Siavashi, M.; Taylor, R.A.; Niazmand, H.; et al. Recent advances in modeling and simulation of nanofluid flows-Part I: Fundamentals and theory. Phys. Rep. 2019, 790, 1–48. [Google Scholar] [CrossRef]
- Abbasi, F.M.; Hayat, T.; Ahmad, B. Peristalsis of silver-water nanofluid in the presence of Hall and Ohmic heating effects: Applications in drug delivery. J. Mol. Liq. 2015, 207, 248–255. [Google Scholar] [CrossRef]
- Bhatti, M.M.; Ellahi, R.; Hossein, M. Numerical study on the hybrid nanofluid (Co3O4-GO/H2O) flow over a circular elastic surface with non-Darcy medium: Application in solar energy. J. Mol. Liq. 2022, 361, 119655. [Google Scholar] [CrossRef]
- Hayat, T.; Yasmin, H.; Ahmad, B.; Chen, B. Simultaneous effects of convective conditions and nanoparticles on peristaltic motion. J. Mol. Liq. 2014, 193, 74–82. [Google Scholar] [CrossRef]
- Hayat, T.; Nisar, Z.; Yasmin, H.; Alsaedi, A. Peristaltic transport of nano fluid in a compliant wall channel with convective conditions and thermal radiation. J. Mol. Liq. 2016, 220, 448–453. [Google Scholar] [CrossRef]
- Sharifpur, M.; Yousefi, S.; Meyer, J.P. A new model for density of nanofluids including nanolayer. Int. Commun. Heat Mass Transf. 2016, 78, 168–174. [Google Scholar] [CrossRef]
- Sharifpur, M.; Tshimanga, N.; Meyer, J.P.; Manca, O. Experimental investigation and model development for thermal conductivity of α-Al2O3-glycerol nanofluids. Int. Commun. Heat Mass Transf. 2017, 85, 12–22. [Google Scholar] [CrossRef]
- Efemwenkiekie, K.U.; Oyedepo, S.O.; Giwa, S.O.; Sharifpur, M.; Owoeye, T.F.; Akinlabu, K.D.; Meyer, J.P. Experimental investigation of heat transfer performance of novel bio-extract doped mono and hybrid nanofluids in a radiator. Case Stud. Therm. Eng. 2021, 28, 101494. [Google Scholar] [CrossRef]
- Ghodsinezhad, H.; Sharifpur, M.; Meyer, J.P. Experimental investigation on cavity flow natural convection of Al2O3-water nanofluids. Int. Commun. Heat Mass Transf. 2016, 76, 316–324. [Google Scholar] [CrossRef]
- Sundar, L.S.; Manoj, A.H.M.; António, K.S.; Hafiz, C.M.S.; Ali, M. Efficiency analysis of thermosyphon solar flat plate collector with low mass concentrations of ND—Co3O4 hybrid nanofluids: An experimental study. J. Therm. Anal. Calorim. 2020, 143, 959–972. [Google Scholar] [CrossRef]
- Sundar, L.S.; Mesfin, S.; Venkata Ramana, E.; Said, Z.; Sousa, A.C.M. Experimental investigation of thermo-physical properties, heat transfer, pumping power, entropy generation, and exergy efficiency of nanodiamond + Fe3O4/60:40% water-ethylene glycol hybrid nanofluid flow in a tube. Therm. Sci. Eng. Prog. 2021, 21, 100799. [Google Scholar] [CrossRef]
- Sreekumar, S.; Joseph, A.; Sujith Kumar, C.S.; Thomas, S. Investigation on influence of antimony tin oxide/silver nanofluid on direct absorption parabolic solar collector. J. Clean. Prod. 2020, 249, 119378. [Google Scholar] [CrossRef]
- Ali, M.K.A.; Xianjun, H. Improving the heat transfer capacity and thermal stability of vehicle engine oils using Al2O3/TiO2 nanomaterials. Powder Technol. 2020, 408, 116544. [Google Scholar] [CrossRef]
- Chopkar, M.; Kumar, S.; Bhandari, D.R.; Das, P.K.; Manna, I. Development and characterization of Al2Cu and Ag2Al nanoparticle dispersed water and ethylene glycol based nanofluid. Mater. Sci. Eng. B Solid-State Mater. Adv. Technol. 2007, 139, 141–148. [Google Scholar] [CrossRef]
- Pourrajab, R.; Noghrehabadi, A.; Hajidavalloo, E.; Behbahani, M. Investigation of thermal conductivity of a new hybrid nanofluids based on mesoporous silica modified with copper nanoparticles: Synthesis, characterization and experimental study. J. Mol. Liq. 2020, 300, 112337. [Google Scholar] [CrossRef]
- Hemmat Esfe, M.; Abbasian Arani, A.A.; Madadi, M.R.; Alirezaie, A. A study on rheological characteristics of hybrid nano-lubricants containing MWCNT-TiO2 nanoparticles. J. Mol. Liq. 2018, 260, 229–236. [Google Scholar] [CrossRef]
- Giwa, S.O.; Sharifpur, M.; Ahmadi, M.H.; Sohel Murshed, S.M.; Meyer, J.P. Experimental investigation on stability, viscosity, and electrical conductivity of water-based hybrid nanofluid of mwcnt-Fe2O3. Nanomaterials 2021, 11, 136. [Google Scholar] [CrossRef]
- Nwaokocha, C.; Momin, M.; Giwa, S.; Sharifpur, M.; Murshed, S.M.S.; Meyer, J.P. Experimental investigation of thermo-convection behaviour of aqueous binary nanofluids of MgO-ZnO in a square cavity. Therm. Sci. Eng. Prog. 2022, 28, 101057. [Google Scholar] [CrossRef]
- Joseph, A.; Sreekumar, S.; Kumar, C.S.S.; Thomas, S. Optimisation of thermo-optical properties of SiO2/Ag–CuO nanofluid for direct absorption solar collectors. J. Mol. Liq. 2019, 296, 111986. [Google Scholar] [CrossRef]
- Alklaibi, A.M.; Sundar, L.S.; Chandra Mouli, K.V.V. Experimental investigation on the performance of hybrid Fe3O4 coated MWCNT/Water nanofluidas a coolant of a Plate heat exchanger. Int. J. Therm. Sci. 2022, 171, 107249. [Google Scholar] [CrossRef]
- Sengwa, R.J.; Saraswat, M.; Dhatarwal, P. Comprehensive characterization of glycerol/ZnO green nanofluids for advances in multifunctional soft material technologies. J. Mol. Liq. 2022, 355, 118925. [Google Scholar] [CrossRef]
- Younes, H.; Mao, M.; Sohel Murshed, S.M.; Lou, D.; Hong, H.; Peterson, G.P. Nanofluids: Key parameters to enhance thermal conductivity and its applications. Appl. Therm. Eng. 2022, 207, 118202. [Google Scholar] [CrossRef]
- Aybar, H.Ş.; Sharifpur, M.; Azizian, M.R.; Mehrabi, M.; Meyer, J.P. A review of thermal conductivity models for nanofluids. Heat Transf. Eng. 2014, 36, 1085–1110. [Google Scholar] [CrossRef]
- Ambreen, T.; Kim, M.H. Influence of particle size on the effective thermal conductivity of nanofluids: A critical review. Appl. Energy 2020, 264, 114684. [Google Scholar] [CrossRef]
- Yasmin, H.; Giwa, S.O.; Noor, S.; Aybar, H.Ş. Influence of preparation characteristics on stability, properties, and performance of mono- and hybrid nanofluids: Current and future perspective. Machines 2023, 11, 112. [Google Scholar] [CrossRef]
- Yasmin, H.; Giwa, S.O.; Noor, S.; Aybar, H.Ş. Reproduction of nanofluid synthesis, thermal properties and experiments in engineering: A research paradigm shift. Nanomaterials 2023, 16, 1145. [Google Scholar] [CrossRef]
- Christensen, G.; Younes, H.; Hong, H.; Smith, P. Effects of solvent hydrogen bonding, viscosity, and polarity on the dispersion and alignment of nanofluids containing Fe2O3 nanoparticles. J. Appl. Phys. 2015, 118, 214302. [Google Scholar] [CrossRef]
- Esfe, M.H.; Afrand, M. An updated review on the nanofluids characteristics: Preparation and measurement methods of nanofluids thermal conductivity. J. Therm. Anal. Calorim. 2019, 138, 4091–4101. [Google Scholar] [CrossRef]
- Younes, H.; Christensen, G.; Li, D.; Hong, H.; Ghaferi, A.A. Thermal conductivity of nanofluids: Review. J. Nanofluids 2015, 4, 107–132. [Google Scholar] [CrossRef]
- Masuda, H.; Ebata, A.; Teramae, K.; Hishinuma, N. Alteration of thermal conductivity and viscosity of liquid by dispersing ultra-fine particles. Netsu Bussei 1993, 7, 227–233. [Google Scholar] [CrossRef]
- Choi, S.U.S.; Eastman, J.A. Enhancing thermal conductivity of fluids with nanoparticles. ASME Int. Mech. Eng. Congr. Expos. 1995, 66, 99–105. [Google Scholar] [CrossRef]
- Agarwal, R.; Verma, K.; Agrawal, N.K.; Singh, R. Sensitivity of thermal conductivity for Al2O3 nanofluids. Exp. Therm. Fluid Sci. 2017, 80, 19–26. [Google Scholar] [CrossRef]
- Ibrahim, M.; Saeed, T.; Chu, Y.M.; Ali, H.M.; Cheraghian, G.; Kalbasi, R. Comprehensive study concerned graphene nano-sheets dispersed in ethylene glycol: Experimental study and theoretical prediction of thermal conductivity. Powder Technol. 2021, 386, 51–59. [Google Scholar] [CrossRef]
- Prado, J.I.; Vallejo, J.P.; Lugo, L. A new relationship on transport properties of nanofluids. Evidence with novel magnesium oxide based n-tetradecane nanodispersions. Powder Technol. 2022, 397, 117082. [Google Scholar] [CrossRef]
- Wei, B.; Zou, C.; Yuan, X.; Li, X. Thermo-physical property evaluation of diathermic oil based hybrid nanofluids for heat transfer applications. Int. J. Heat Mass Transf. 2017, 107, 281–287. [Google Scholar] [CrossRef]
- Giwa, S.O.; Momin, M.; Nwaokocha, C.N.; Sharifpur, M.; Meyer, J.P. Influence of nanoparticles size, per cent mass ratio, and temperature on the thermal properties of water-based MgO–ZnO nanofluid: An experimental approach. J. Therm. Anal. Calorim. 2021, 143, 1063–1079. [Google Scholar] [CrossRef]
- Alrowaili, Z.A.; Ezzeldien, M.; Shaaalan, N.M.; Hussein, E.; Sharafeldin, M.A. Investigation of the effect of hybrid CuO-Cu/water nanofluid on the solar thermal energy storage system. J. Energy Storage 2022, 50, 104675. [Google Scholar] [CrossRef]
- Chen, L.F.; Cheng, M.; Yang, D.J.; Yang, L. Enhanced Thermal Conductivity of Nanofluid by Synergistic Effect of Multi-Walled Carbon Nanotubes and Fe2O3 Nanoparticles. Appl. Mech. Mater. 2014, 548–549, 118–123. [Google Scholar] [CrossRef]
- Irshad, K.; Islam, N.; Zahir, M.H.; Pasha, A.A.; Abdelgawad, A.F. Thermal performance investigation of Therminol55/MWCNT+CuO nanofluid flow in a heat exchanger from an exergy and entropy approach. Case Stud. Therm. Eng. 2022, 34, 102010. [Google Scholar] [CrossRef]
- Johari, M.N.I.; Zakaria, I.A.; Azmi, W.H.; Mohamed, W.A.N.W. Green bio glycol Al2O3-SiO2 hybrid nanofluids for PEMFC: The thermal-electrical-hydraulic perspectives. Int. Commun. Heat Mass Transf. 2022, 131, 105870. [Google Scholar] [CrossRef]
- Awua, J.T.; Ibrahim, J.S.; Kwaghger, A.; Sharifpur, M.; Meyer, J.P. Investigation into thermal conductivity of palm kernel fibre nanofluids with mixture of ethylene glycol/water as base fluid. In Proceedings of the 12th International Conference on Heat Transfer, Fluid Mechanics and Thermodynamics, Malaga, Spain, 11–13 July 2016; pp. 1719–1725. [Google Scholar]
- Sharifpur, M.; Solomon, A.B.; Meyer, J.P.; Ibrahim, J.S.; Immanuel, B. Thermal Conductivity and Viscosity of Mango Bark/Water Nanofluids. In Proceedings of the 13th International Conference on Heat Transfer, Fluid Mechanics and Thermodynamics, Portoroz, Slovenia, 17–19 July 2017. [Google Scholar]
- Yarmand, H.; Gharehkhani, S.; Shirazi, S.F.S.; Amiri, A.; Montazer, E.; Arzani, H.K.; Sadri, R.; Dahari, M.; Kazi, S.N. Nanofluid based on activated hybrid of biomass carbon/graphene oxide: Synthesis, thermophysical and electrical porperties. Int. Commun. Heat Mass Transf. 2016, 72, 10–15. [Google Scholar] [CrossRef]
- Khdher, A.M.; Sidik, N.A.C.; Hamzah, W.A.W.; Mamat, R. An experimental determination of thermal conductivity and electrical conductivity of bio glycol based Al2O3 nanofluids and development of new correlation. Int. Commun. Heat Mass Transf. 2016, 73, 75–83. [Google Scholar] [CrossRef]
- Zainon, S.N.M.; Azmi, W.H. Stability and thermo-physical properties of green bio-glycol based TiO2-SiO2 nanofluids. Int. Commun. Heat Mass Transf. 2021, 126, 105402. [Google Scholar] [CrossRef]
- Azizian, R.; Doroodchi, E.; Moghtaderi, B. Influence of controlled aggregation on thermal conductivity of nanofluids. J. Heat Transf. 2016, 138, 1–6. [Google Scholar] [CrossRef]
- Patel, J.; Parekh, K.; Upadhyay, R.V. Maneuvering thermal conductivity of magnetic nanofluids by tunable magnetic fields. J. Appl. Phys. 2015, 117, 1–8. [Google Scholar] [CrossRef]
- Hajiyan, M.; Ebadi, S.; Mahmud, S.; Biglarbegian, M.; Abdullah, H. Experimental investigation of the effect of an external magnetic field on the thermal conductivity and viscosity of Fe3O4–glycerol. J. Therm. Anal. Calorim. 2019, 135, 1451–1464. [Google Scholar] [CrossRef]
- Sundar, L.S.; Venkata Ramana, E.; Graça, M.P.F.; Singh, M.K.; Sousa, A.C.M. Nanodiamond-Fe3O4 nanofluids: Preparation and measurement of viscosity, electrical and thermal conductivities. Int. Commun. Heat Mass Transf. 2016, 73, 62–74. [Google Scholar] [CrossRef]
- Sundar, L.S.; Irurueta, G.O.; Venkata Ramana, E.; Singh, M.K.; Sousa, A.C.M. Thermal conductivity and viscosity of hybrid nanfluids prepared with magnetic nanodiamond-cobalt oxide (ND-Co3O4) nanocomposite. Case Stud. Therm. Eng. 2016, 7, 66–77. [Google Scholar] [CrossRef]
- Abbasi, S.M.; Rashidi, A.; Nemati, A.; Arzani, K. The effect of functionalisation method on the stability and the thermal conductivity of nanofluid hybrids of carbon nanotubes/gamma alumina. Ceram. Int. 2013, 39, 3885–3891. [Google Scholar] [CrossRef]
- Hamid, K.A.; Azmi, W.H.; Nabil, M.F.; Mamat, R. Improved thermal conductivity of TiO2 –SiO2 hybrid nanofluid in ethylene glycol and water mixture. IOP Conf. Ser. Mater. Sci. Eng. 2017, 257, 012067. [Google Scholar] [CrossRef]
- Suresh, S.; Venkitaraj, K.P.; Selvakumar, P.; Chandrasekar, M. Synthesis of Al2O3-Cu/water hybrid nanofluids using two step method and its thermo physical properties. Colloids Surf. A Physicochem. Eng. Asp. 2011, 388, 41–48. [Google Scholar] [CrossRef]
- Murshed, S.M.S.; Leong, K.C.; Yang, C. Investigations of thermal conductivity and viscosity of nanofluids. Int. J. Therm. Sci. 2008, 47, 560–568. [Google Scholar] [CrossRef]
- Das, S.K.; Putra, N.; Thiesen, P.; Roetzel, W. Temperature dependence of thermal conductivity enhancement for nanofluids. J. Heat Transf. 2003, 125, 567–574. [Google Scholar] [CrossRef]
- Lee, J.-H.; Hwang, K.S.; Jang, S.P.; Lee, B.H.; Kim, J.H.; Choi, S.U.; Choi, C.J. Effective viscosities and thermal conductivities of aqueous nanofluids containing low volume concentrations of Al2O3 nanoparticles. Int. J. Heat Mass Transf. 2008, 51, 2651–2656. [Google Scholar] [CrossRef]
- Sundar, S.L.; Singh, M.K.; Sousa, A.C.M. Investigation of thermal conductivity and viscosity of Fe3O4 nanofluid for heat transfer applications. Int. Commun. Heat Mass Transf. 2013, 44, 7–14. [Google Scholar] [CrossRef]
- Yu, W.; Xie, H.; Chen, L.; Li, Y. Enhancement of thermal conductivity of kerosene-based Fe3O4 nanofluids prepared via phase-transfer method. Colloids Surf. A Physicochem. Eng. Asp. 2010, 355, 109–113. [Google Scholar] [CrossRef]
- Guo, Y.; Zhang, T.; Zhang, D.; Wang, Q. Experimental investigation of thermal and electrical conductivity of silicon oxide nanofluids in ethylene glycol/water mixture. Int. J. Heat Mass Transf. 2018, 117, 280–286. [Google Scholar] [CrossRef]
- Abdolbaqi, M.K.; Azmi, W.H.; Mamat, R.; Sharma, K.V.; Najafi, G. Experimental investigation of thermal conductivity and electrical conductivity of bioglycol—water mixture based Al2O3 nanofluid. Appl. Therm. Eng. 2016, 102, 932–941. [Google Scholar] [CrossRef]
- Khedkar, R.S.; Shrivastava, N.; Sonawane, S.S.; Wasewar, K.L. Experimental investigations and theoretical determination of thermal conductivity and viscosity of TiO2-ethylene glycol nanofluid. Int. Commun. Heat Mass Transf. 2016, 73, 54–61. [Google Scholar] [CrossRef]
- Wang, X.; Xu, X. Thermal conductivity of nanoparticle-fluid mixture. J. Thermophys. Heat Transf. 1999, 13, 474–480. [Google Scholar] [CrossRef]
- Xia, G.; Jiang, H.; Liu, R.; Zhai, Y. Effects of surfactant on the stability and thermal conductivity of Al2O3/de-ionized water nanofluids. Int. J. Therm. Sci. 2014, 84, 118–124. [Google Scholar] [CrossRef]
- Das, P.K. A review based on the effect and mechanism of thermal conductivity of normal nanofluids and hybrid nanofluids. J. Mol. Liq. 2017, 240, 420–446. [Google Scholar] [CrossRef]
- Gonçalves, I.; Souza, R.; Coutinho, G.; Miranda, J.; Moita, A.; Pereira, J.; Moreira, A.; Lima, R. Thermal conductivity of nanofluids: A review on prediction models, controversies and challenges. Appl. Sci. 2021, 11, 2525. [Google Scholar] [CrossRef]
- Aparna, Z.; Michael, M.M.; Pabi, S.K.; Ghosh, S. Diversity in thermal conductivity of aqueous Al2O3- and Ag-nanofluids measured by transient hot-wire and laser flash methods. Exp. Therm. Fluid Sci. 2018, 94, 231–245. [Google Scholar] [CrossRef]
- Beck, M.P.; Yuan, Y.; Warrier, P.; Teja, A.S. The effect of particle size on the thermal conductivity of alumina nanofluids. J. Nanopart. Res. 2009, 11, 1129–1136. [Google Scholar] [CrossRef]
- Kleinstreuer, C.; Feng, Y. Experimental and theoretical studies of nanofluid thermal conductivity enhancement: A review. Nanoscale Res. Lett. 2011, 6, 1–13. [Google Scholar] [CrossRef]
- Lee, S.; Choi, S.-S.; Li, S.; Eastman, J.A. Measuring thermal conductivity of fluids containing oxide nanoparticles. J. Heat Transf. 1999, 121, 280–289. [Google Scholar] [CrossRef]
- Xuan, Y.; Li, Q. Heat transfer enhancement of nanofluids. Int. J. Heat Fluid Flow 2000, 21, 58–64. [Google Scholar] [CrossRef]
- Prasher, R.; Song, D.; Wang, J.; Phelan, P. Measurements of nanofluid viscosity and its implications for thermal applications. Appl. Phys. Lett. 2006, 89, 1–4. [Google Scholar] [CrossRef]
- Koo, J.; Kleinstreuer, C. Impact analysis of nanoparticle motion mechanisms on the thermal conductivity of nanofluids. Int. Commun. Heat Mass Transf. 2005, 32, 1111–1118. [Google Scholar] [CrossRef]
- Lenin, R.; Joy, P.A.; Bera, C. A review of the recent progress on thermal conductivity of nanofluid. J. Mol. Liq. 2021, 338, 116929. [Google Scholar] [CrossRef]
- Keblinski, P.; Prasher, R.; Eapen, J. Thermal conductance of nanofluids: Is the controversy over? J. Nanopart. Res. 2008, 10, 1089–1097. [Google Scholar] [CrossRef]
- Pinto, R.V.; Fiorelli, F.A.S. Review of the mechanisms responsible for heat transfer enhancement using nanofluids. Appl. Therm. Eng. 2016, 108, 720–739. [Google Scholar] [CrossRef]
- Murshed, S.M.S.; Leong, K.C.; Yang, C. Thermophysical and electrokinetic properties of nanofluids—A critical review. Appl. Therm. Eng. 2008, 28, 2109–2125. [Google Scholar] [CrossRef]
- Kole, M.; Dey, T.K. Effect of prolonged ultrasonication on the thermal conductivity of ZnO-ethylene glycol nanofluids. Thermochim. Acta 2012, 535, 58–65. [Google Scholar] [CrossRef]
- Pastoriza-Gallego, M.J.; Lugo, L.; Legido, J.L.; Pineiro, M.M. Enhancement of thermal conductivity and volumetric behavior of FexOy nanofluids. J. Appl. Phys. 2011, 110, 1–9. [Google Scholar] [CrossRef]
- Wang, X.-J.; Zhu, D.-S.; Yang, S. Investigation of pH and SDBS on enhancement of thermal conductivity in nanofluids. Chem. Phys. Lett. 2009, 470, 107–111. [Google Scholar] [CrossRef]
- Hemmat Esfe, M.; Abbasian Arani, A.A.; Rezaie, M.; Yan, W.M.; Karimipour, A. Experimental determination of thermal conductivity and dynamic viscosity of Ag-MgO/water hybrid nanofluid. Int. Commun. Heat Mass Transf. 2015, 66, 189–195. [Google Scholar] [CrossRef]
- Wei, H.; Afrand, M.; Kalbasi, R.; Ali, H.M.; Heidarshenas, B.; Rostami, S. The effect of tungsten trioxide nanoparticles on the thermal conductivity of ethylene glycol under different sonication durations: An experimental examination. Powder Technol. 2020, 374, 462–469. [Google Scholar] [CrossRef]
- Giwa, S.O.; Sharifpur, M.; Meyer, J.P. Experimental study of thermo-convection performance of hybrid nanofluids of Al2O3-MWCNT/water in a differentially heated square cavity. Int. J. Heat Mass Transf. 2020, 148, 119072. [Google Scholar] [CrossRef]
- Giwa, S.O.; Sharifpur, M.; Meyer, J.P. Experimental investigation into heat transfer performance of water-based magnetic hybrid nanofluids in a rectangular cavity exposed to magnetic excitation. Int. Commun. Heat Mass Transf. 2020, 116, 104698. [Google Scholar] [CrossRef]
- Altan, C.L.; Gurten, B.; Sommerdijk, N.A.J.M.; Bucak, S. Deterioration in effective thermal conductivity of aqueous magnetic nanofluids. J. Appl. Phys. 2014, 116, 224904. [Google Scholar] [CrossRef]
- Kim, S.H.; Choi, S.R.; Kim, D. Thermal conductivity of metal-oxide nanofluids: Particle size dependence and effect of laser irradiation. J. Heat Transf. 2007, 129, 298–307. [Google Scholar] [CrossRef]
- Shima, P.D.; Philip, J.; Raj, B. Magnetically controllable nanofluid with tunable thermal conductivity and viscosity. Appl. Phys. Lett. 2009, 95, 1–4. [Google Scholar] [CrossRef]
- Patel, H.E.; Sundararajan, T.; Das, S.K. An experimental investigation into the thermal conductivity enhancement in oxide and metallic nanofluids. J. Nanopart. Res. 2010, 12, 1015–1031. [Google Scholar] [CrossRef]
- Pryazhnikov, M.; Minakov, A.; Rudyak, V.; Guzei, D. Thermal conductivity measurements of nanofluids. Int. J. Heat Mass Transf. 2017, 104, 1275–1282. [Google Scholar] [CrossRef]
- Krishnan, S.J.S.; Momin, M.; Nwaokocha, C.; Sharifpur, M.; Meyer, J.P. An empirical study on the persuasive particle size effects over the multi-physical properties of monophase MWCNT-Al2O3 hybridized nanofluids. J. Mol. Liq. 2022, 361, 119668. [Google Scholar] [CrossRef]
- Murshed, S.M.S.; Leong, K.C.; Yang, C. Enhanced thermal conductivity of TiO2—Water based nanofluids. Int. J. Therm. Sci. 2005, 44, 367–373. [Google Scholar] [CrossRef]
- Xie, H.; Wang, J.; Xi, T.; Liu, Y.; Ai, F.; Wu, Q. Thermal conductivity enhancement of suspensions containing nanosized alumina particles. J. Appl. Phys. 2002, 91, 4568–4572. [Google Scholar] [CrossRef]
- Feng, Y.; Yu, B.; Xu, P.; Zou, M. The effective thermal conductivity of nanofluids based on the nanolayer and the aggregation of nanoparticles. J. Phys. D Appl. Phys. 2007, 40, 3164–3171. [Google Scholar] [CrossRef]
- Timofeeva, E.V.; Yu, W.; France, D.M.; Singh, D.; Routbort, J.L. Base fluid and temperature effects on the heat transfer characteristics of SiC in ethylene glycol/H2O and H2O nanofluids. J. Appl. Phys. 2011, 109, 014914. [Google Scholar] [CrossRef]
- Hong, H.; Luan, X.; Horton, M.; Li, C.; Peterson, G.P. Alignment of carbon nanotubes comprising magnetically sensitive metal oxides in heat transfer nanofluids. Thermochim. Acta 2011, 525, 87–92. [Google Scholar] [CrossRef]
- Younes, H.; Christensen, G.; Luan, X.; Hong, H.; Smith, P. Effects of alignment, pH, surfactant, and solvent on heat transfer nanofluids containing Fe2O3 and CuO nanoparticles. J. Appl. Phys. 2012, 111, 064308. [Google Scholar] [CrossRef]
- Wensel, J.; Wright, B.; Thomas, D.; Douglas, W.; Mannhalter, B.; Cross, W.; Hong, H.; Kellar, J.J.; Smith, P.; Roy, W. Enhanced thermal conductivity by aggregation in heat transfer nanofluids containing metal oxide nanoparticles and carbon nanotubes. Appl. Phys. Lett. 2008, 92, 023110. [Google Scholar] [CrossRef]
- Syam Sundar, L.; Singh, M.K.; Ferro, M.C.; Sousa, A.C.M. Experimental investigation of the thermal transport properties of graphene oxide/Co3O4 hybrid nanofluids. Int. Commun. Heat Mass Transf. 2017, 84, 1–10. [Google Scholar] [CrossRef]
- Suganthi, K.S.; Rajan, K.S. Metal oxide nanofluids: Review of formulation, thermo-physical properties, mechanisms, and heat transfer performance. Renew. Sustain. Energy Rev. 2017, 76, 226–255. [Google Scholar] [CrossRef]
- Timofeeva, E.V.; Routbort, J.L.; Singh, D. Particle shape effects on thermophysical properties of alumina nanofluids. J. Appl. Phys. 2009, 106, 014304. [Google Scholar] [CrossRef]
- Wamkam, C.T.; Opoku, M.K.; Hong, H.; Smith, P. Effects of pH on heat transfer nanofluids containing ZrO2 and TiO2 nanoparticles. J. Appl. Phys. 2011, 109, 1–6. [Google Scholar] [CrossRef]
- Wang, X.; Li, X.; Yang, S. Influence of pH and SDBS on the stability and thermal conductivity of nanofluids. Energy Fuels 2009, 23, 2684–2689. [Google Scholar] [CrossRef]
- Tiwari, A.K.; Pandya, N.S.; Said, Z.; Öztop, H.F.; Abu-Hamdeh, N. 4S consideration (synthesis, sonication, surfactant, stability) for the thermal conductivity of CeO2 with MWCNT and water based hybrid nanofluid: An experimental assessment. Colloids Surf. A Physicochem. Eng. Asp. 2021, 610, 125918. [Google Scholar] [CrossRef]
- Xian, H.W.; Sidik, N.A.C.; Saidur, R. Impact of different surfactants and ultrasonication time on the stability and thermophysical properties of hybrid nanofluids. Int. Commun. Heat Mass Transf. 2020, 110, 104389. [Google Scholar] [CrossRef]
- Valan, A.A.; Dhinesh, K.D.; Idrish, K.A. Experimental investigation of thermal conductivity and stability of TiO2-Ag/water nanocompositefluid with SDBS and SDS surfactants. Thermochim. Acta 2019, 678, 178308. [Google Scholar] [CrossRef]
- Das, P.K.; Mallik, A.K.; Ganguly, R.; Santra, A.K. Stability and thermophysical measurements of TiO2 (anatase) nanofluids with different surfactants. J. Mol. Liq. 2018, 254, 98–107. [Google Scholar] [CrossRef]
- Hamid, K.A.; Azmi, W.H.; Nabil, M.F.; Mamat, R.; Sharma, K.V. Experimental investigation of thermal conductivity and dynamic viscosity on nanoparticle mixture ratios of TiO2-SiO2 nanofluids. Int. J. Heat Mass Transf. 2018, 116, 1143–1152. [Google Scholar] [CrossRef]
- Aparna, Z.; Michael, M.; Pabi, S.K.; Ghosh, S. Thermal conductivity of aqueous Al2O3/Ag hybrid nano fluid at different temperatures and volume concentrations: An experimental investigation and development of new correlation function. Powder Technol. 2019, 343, 714–722. [Google Scholar] [CrossRef]
- Shahsavar, A.; Salimpour, M.R.; Saghafian, M.; Shafii, M.B. Effect of magnetic field on thermal conductivity and viscosity of a magnetic nanofluid loaded with carbon nanotubes. J. Mech. Sci. Technol. 2016, 30, 809–815. [Google Scholar] [CrossRef]
- Mousavi, S.M.; Esmaeilzadeh, F.; Wang, X.P. Effects of temperature and particles volume concentration on the thermophysical properties and the rheological behavior of CuO/MgO/TiO2 aqueous ternary hybrid nanofluid: Experimental investigation. J. Therm. Anal. Calorim. 2019, 137, 879–901. [Google Scholar] [CrossRef]
- Mousavi, S.M.; Esmaeilzadeh, F.; Wang, X.P. A detailed investigation on the thermo-physical and rheological behavior of MgO/TiO2 aqueous dual hybrid nanofluid. J. Mol. Liq. 2019, 282, 323–339. [Google Scholar] [CrossRef]
- Borode, A.O.; Ahmed, N.A.; Olubambi, P.A.; Sharifpur, M.; Meyer, J.P. Investigation of the thermal conductivity, viscosity, and thermal performance of graphene nanoplatelet-alumina hybrid nanofluid in a differentially heated cavity. Front. Energy Res. 2021, 9, 1–15. [Google Scholar] [CrossRef]
- Said, Z.; Aslam Sohail, M.; Walvekar, R.; Liu, C. Impact of sonication durations on thermophysical properties, contact angle and surface tension of f-MWCNTs nanofluid for heat transfer. J. Mol. Liq. 2022, 358, 119164. [Google Scholar] [CrossRef]
- Michael, M.; Zagabathuni, A.; Sikdar, S.; Pabi, S.K.; Ghosh, S. Effect of dispersion behavior on the heat transfer characteristics of alumina nanofluid: An experimental investigation and development of a new correlation function. Int. Nano Lett. 2020, 10, 207–217. [Google Scholar] [CrossRef]
- Afzal, A.; Khan, S.A.; Ahamed Saleel, C. Role of ultrasonication duration and surfactant on characteristics of ZnO and CuO nanofluids. Mater. Res. Express 2019, 6, 1150d8. [Google Scholar] [CrossRef]
- Asadikia, A.; Mirjalily, S.A.A.; Nasirizadeh, N.; Kargarsharifabad, H. Characterization of thermal and electrical properties of hybrid nanofluids prepared with multi-walled carbon nanotubes and Fe2O3 nanoparticles. Int. Commun. Heat Mass Transf. 2020, 117, 104603. [Google Scholar] [CrossRef]
- Chen, Z.; Shahsavar, A.; Al-Rashed, A.A.A.A.; Afrand, M. The impact of sonication and stirring durations on the thermal conductivity of alumina-liquid paraffin nanofluid: An experimental assessment. Powder Technol. 2020, 360, 1134–1142. [Google Scholar] [CrossRef]
- Mahbubul, I.M.; Shahrul, I.M.; Khaleduzzaman, S.S.; Saidur, R.; Amalina, M.A.; Turgut, A. Experimental investigation on effect of ultrasonication duration on colloidal dispersion and thermophysical properties of alumina-water nanofluid. Int. J. Heat Mass Transf. 2015, 88, 73–81. [Google Scholar] [CrossRef]
- Sadeghi, R.; Etemad, S.G.; Keshavarzi, E.; Haghshenasfard, M. Investigation of alumina nanofluid stability by UV–vis spectrum. Microfluid. Nanofluidics 2015, 18, 1023–1030. [Google Scholar] [CrossRef]
- Mahbubul, I.M.; Elcioglu, E.B.; Amalina, M.A.; Saidur, R. Stability, thermophysical properties and performance assessment of alumina–water nanofluid with emphasis on ultrasonication and storage period. Powder Technol. 2019, 345, 668–675. [Google Scholar] [CrossRef]
- Shahsavar, A.; Salimpour, M.R.; Saghafian, M.; Shafii, M.B. An experimental study on the effect of ultrasonication on thermal conductivity of ferrofluid loaded with carbon nanotubes. Thermochim. Acta 2015, 617, 102–110. [Google Scholar] [CrossRef]
- Doganay, S.; Alsangur, R.; Turgut, A. Effect of external magnetic field on thermal conductivity and viscosity of magnetic nanofluids: A review. Mater. Res. Express 2019, 6, 112003. [Google Scholar] [CrossRef]
- Ebrahimi, S.; Saghravani, S.F. Influence of magnetic field on the thermal conductivity of the water based mixed Fe3O4/CuO nanofluid. J. Magn. Magn. Mater. 2017, 441, 366–373. [Google Scholar] [CrossRef]
- Li, Q.; Xuan, Y.; Wang, J. Experimental investigations on transport properties of magnetic fluids. Exp. Therm. Fluid Sci. 2005, 30, 109–116. [Google Scholar] [CrossRef]
- Djurek, I.; Djurek, D. Thermal conductivity measurements of the CoFe2O4 and g-Fe2O3 based nanoparticle ferrofluids. Croat. Chem. Acta 2007, 80, 529–532. [Google Scholar]
- Philip, J.; Shima, P.D.; Raj, B. Enhancement of thermal conductivity in magnetite based nanofluid due to chainlike structures. Appl. Phys. Lett. 2007, 91, 2005–2008. [Google Scholar] [CrossRef]
- Parekh, K.; Lee, H.S. Magnetic field induced enhancement in thermal conductivity of magnetite nanofluid. J. Appl. Phys. 2010, 107, 1–4. [Google Scholar] [CrossRef]
- Karimi, A.; Goharkhah, M.; Ashjaee, M.; Shafii, M.B. Thermal conductivity of Fe2O3 and Fe3O4 magnetic nanofluids under the influence of magnetic field. Int. J. Thermophys. 2015, 36, 2720–2739. [Google Scholar] [CrossRef]
- Liu, W.I.; Alsarraf, J.; Shahsavar, A.; Rostamzadeh, M.; Afrand, M.; Nguyen, T.K. Impact of oscillating magnetic field on the thermal-conductivity of water-Fe3O4 and water-Fe3O4/CNT ferro-fluids: Experimental study. J. Magn. Magn. Mater. 2019, 484, 258–265. [Google Scholar] [CrossRef]
- Chen, Z.; Liu, P.; Zare, A.; Karimipour, A.; Abdollahi, A.; Tlili, I. Evaluation of thermal conductivity of deionized water containing SDS-coated NiO nanoparticles under the influences ofconstant and alternative varied magnetic fields. Powder Technol. 2020, 367, 143–156. [Google Scholar] [CrossRef]
- Yichun, W.; Xiaoxia, S.; Xiaorong, T.; Facheng, W. Investigation of thermal conductivity of alumina/silicone oil electrorheological fluids. Adv. Mater. Res. 2010, 129–131, 421–425. [Google Scholar] [CrossRef]
- Liu, J.M.; Liu, Z.H.; Chen, Y.J. Experiment and calculation of the thermal conductivity of nanofluid under electric field. Int. J. Heat Mass Transf. 2017, 107, 6–12. [Google Scholar] [CrossRef]
- Zainon, S.N.M.; Azmi, W.H. Heat transfer performance of green bioglycol-based TiO2-SiO2 nanofluids. J. Heat Transf. 2021, 143, 1–10. [Google Scholar] [CrossRef]
- Mahamude, A.S.F.; Harun, W.S.W.; Kadirgama, K.; Ramasamy, D.; Farhana, K.; Salih, K.; Yusaf, T. Experimental study on the efficiency improvement of flat plate solar collectors using hybrid nanofluids graphene/waste cotton. Energies 2022, 15, 2309. [Google Scholar] [CrossRef]
- Okonkwo, E.C.; Essien, E.A.; Akhayere, E.; Abid, M.; Kavaz, D.; Ratlamwala, T.A.H. Thermal performance analysis of a parabolic trough collector using water-based green-synthesized nanofluids. Sol. Energy 2018, 170, 658–670. [Google Scholar] [CrossRef]
- Farhana, K.; Kadirgama, K.; Mohammed, H.A.; Ramasamy, D.; Samykano, M.; Saidur, R. Analysis of efficiency enhancement of flat plate solar collector using crystal nano-cellulose (CNC) nanofluids. Sustain. Energy Technol. Assess. 2021, 45, 101049. [Google Scholar] [CrossRef]










| References | Nanoparticles (Mixing Ratio) | Base Fluid | Concentration (vol%) | Size (nm) | Temperature (°C) | Measuring Techniques | Remarks |
|---|---|---|---|---|---|---|---|
| [56] | ND-Fe3O4 (72%:28%) | DW and DW-EG mixtures | 0.05–0.2 | 21.24 | 20–60 | THW | Maximum enhancement of 13.4–17.8%. |
| [57] | ND-Co3O4 (67%:33%) | DW | 0.05–0.5 wt.% | - | 20–60 | THW | Maximum enhancement of 9.0–16.0%. |
| [58] | MWCNT-Al2O3 (1:1) | DIW | 0.1 | - | Room | THW | Peak enhancement of 20.68%. |
| [59] | TiO2–SiO2 (40:60 vol%) | EG | 0.5–3.0 | TiO2 (50) and SiO2 (30) | 30–70 | THW | Peak enhancement of 22.1%. |
| [60] | Al2O3-Cu (90:10 wt.%) | DIW | 0.1–2.0 | 17 | Room temp. | THW | Peak enhancement of 1.47–12.11%. |
| [45] | MWCNT-Fe2O3 (0.05:0.02 wt.%) | W | MW-0.05 wt.%; Fe2O3-0.01–0.16 wt.% | - | Room temp. | THW | Peak enhancement of 27.75%. |
| [61] | TiO2, Al2O3 | DIW and EG | 1–5 vol% | 15 (TiO2) 80 (Al2O3) | 20–60 | THW | 18% (TiO2/EG) and 12% (Al2O3/EG) |
| [62] | CuO and Al2O3 | DW | 1–4 vol% | 38.4 (Al2O3), 28.6 (CuO) | 21–51 | Temperature oscillation | 36% (CuO) and 24.3% (Al2O3) |
| [63] | Al2O3 | DIW | 0.01–0.3% | 30 | Room temp. | THW | Peak enhancement of 1.44% |
| [64] | Fe3O4 | DIW | 0–2 vol% | 13 | 20–60 | THW | Improvement of 48% (maximum). |
| [65] | Fe3O4 | kerosene | 0–1 vol% | 15 | 10–60 | THW | Enhancement of 34% (maximum) |
| [66] | SiO2 | EG–water (0–100) | 0.3% (mass) | 30 | 25–45 | THW | Reduction as EG content increased. |
| [67] | Al2O3 | Bioglycol–water (40:60 and 60:40) | 0.5–2 vol% | 13 | 30–80 | THW | Bioglycol–water (40:60) has higher value of thermal conductivity. |
| [68] | TiO2 | EG | 0–7 vol% | 5 | 10–50 | THW | Enhancement of 19.5% (maximum). |
| [69] | Al2O3 and CuO | EG, pump oil, DIW, and EO | 0–8% | Al2O3 (28) and CuO (23) | Room temp. | Steady state parallel plate | 40% and 12% for Al2O3/EG and Al2O3/water, respectively. |
| [70] | Al2O3 | DIW | 0.1–2.5% | 13 and 20 | Room temp. | Temperature oscillation | 13 nm (lower) and 2.5% (highest) resulted in peak thermal conductivity. |
Disclaimer/Publisher’s Note: The statements, opinions and data contained in all publications are solely those of the individual author(s) and contributor(s) and not of MDPI and/or the editor(s). MDPI and/or the editor(s) disclaim responsibility for any injury to people or property resulting from any ideas, methods, instructions or products referred to in the content. |
© 2023 by the authors. Licensee MDPI, Basel, Switzerland. This article is an open access article distributed under the terms and conditions of the Creative Commons Attribution (CC BY) license (https://creativecommons.org/licenses/by/4.0/).
Share and Cite
Yasmin, H.; Giwa, S.O.; Noor, S.; Sharifpur, M. Thermal Conductivity Enhancement of Metal Oxide Nanofluids: A Critical Review. Nanomaterials 2023, 13, 597. https://doi.org/10.3390/nano13030597
Yasmin H, Giwa SO, Noor S, Sharifpur M. Thermal Conductivity Enhancement of Metal Oxide Nanofluids: A Critical Review. Nanomaterials. 2023; 13(3):597. https://doi.org/10.3390/nano13030597
Chicago/Turabian StyleYasmin, Humaira, Solomon O. Giwa, Saima Noor, and Mohsen Sharifpur. 2023. "Thermal Conductivity Enhancement of Metal Oxide Nanofluids: A Critical Review" Nanomaterials 13, no. 3: 597. https://doi.org/10.3390/nano13030597
APA StyleYasmin, H., Giwa, S. O., Noor, S., & Sharifpur, M. (2023). Thermal Conductivity Enhancement of Metal Oxide Nanofluids: A Critical Review. Nanomaterials, 13(3), 597. https://doi.org/10.3390/nano13030597

