A Novel Photocatalytic Functional Coating Applied to the Degradation of Xylene in Coating Solvents under Solar Irradiation
Abstract
1. Introduction
2. Experimental Methods
2.1. Materials
2.2. Preparation of Photocatalysts
2.3. Characterization
2.4. Preparation of Coatings
2.5. Photoactivity Evaluation
3. Results and Discussion
3.1. XRD Analysis
3.2. Molecular and Physical Characterization
3.3. FT-IR Analysis
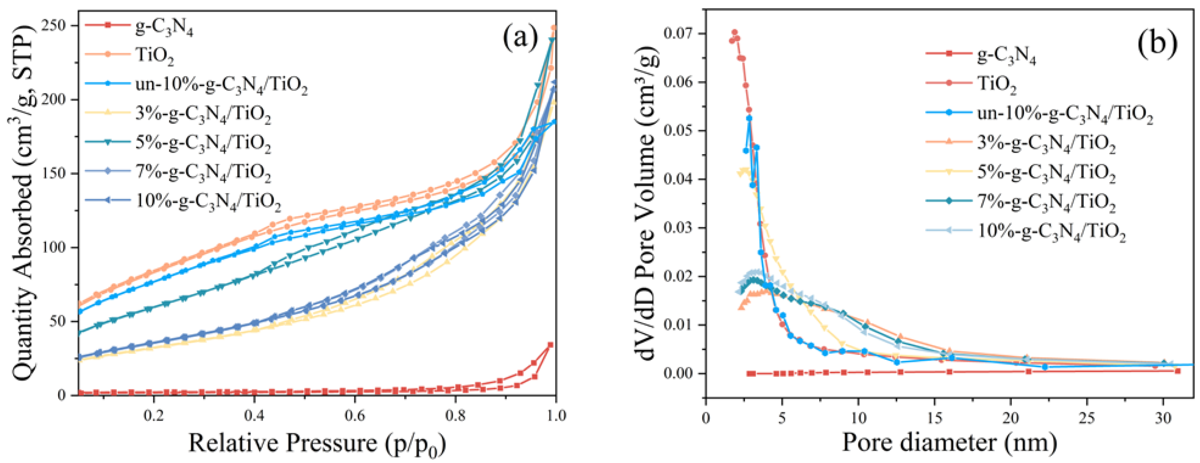
3.4. Nitrogen Sorption
3.5. XPS Analysis
3.6. Characterization of Optical Properties
3.7. EIS Analysis
3.8. Photoactivity Test
3.9. DMPO Spin-Trapping EPR Spectra
3.10. Mechanism
4. Discussion
Author Contributions
Funding
Data Availability Statement
Conflicts of Interest
References
- Kim, B.R. VOC Emissions from Automotive Painting and Their Control: A Review. Environ. Eng. Res. 2011, 16, 1–9. [Google Scholar] [CrossRef]
- Wang, H.; Hao, R.; Xie, X.; Li, G.; Wang, X.; Wu, W.; Zhao, H.; Zhang, Z.; Fang, L. Emission Characteristics, Risk Assessment and Scale Effective Control of VOCs from Automobile Repair Industry in Beijing. Sci. Total Environ. 2023, 860, 160115. [Google Scholar] [CrossRef]
- Jilavi, M.H.; Mousavi, S.H.; Müller, T.S.; Oliveira, P.W. Dual Functional Porous Anti-Reflective Coatings with a Photocatalytic Effect Based on a Single Layer System. Appl. Surf. Sci. 2018, 439, 323–328. [Google Scholar] [CrossRef]
- Zarzuela, R.; Carbú, M.; Acquistion, F.; Gil, A.; Cantoral, J.; Mosquera, M.J. Incorporation of Functionalized Ag-TiO2NPs to Ormosil-Based Coatings as Multifunctional Biocide, Superhydrophobic and Photocatalytic Surface Treatments for Porous Ceramic Materials. Surf. Interfaces 2021, 25, 101257. [Google Scholar] [CrossRef]
- Zouzelka, R.; Rathousky, J. Photocatalytic Abatement of NOx Pollutants in the Air Using Commercial Functional Coating with Porous Morphology. Appl. Catal. 2017, 217, 466–476. [Google Scholar] [CrossRef]
- Zhao, P.; Liu, H.; Guo, X.; Wang, H.; Wang, S.; Lu, L.; Cheng, X. Assessment of Bamboo Charcoal/Nano-TiO2 (BC/TiO2) Composite Material and Its Application in Photocatalytic Coating. J. Inorg. Organomet. Polym. Mater. 2019, 29, 799–805. [Google Scholar] [CrossRef]
- Hagiri, M.; Uchida, K.; Sasaki, M.K.; Sakinah, S. Preparation and Characterization of Silver Orthophosphate Photocatalytic Coating on Glass Substrate. Sci. Rep. 2021, 11, 13968. [Google Scholar] [CrossRef] [PubMed]
- Costa, A.L.; Ortelli, S.; Blosi, M.; Albonetti, S.; Vaccari, A.; Dondi, M. TiO2 Based Photocatalytic Coatings: From Nanostructure to Functional Properties. Chem. Eng. J. 2013, 225, 880–886. [Google Scholar] [CrossRef]
- Mazur, M.; Wojcieszak, D.; Kaczmarek, D.; Domaradzki, J.; Song, S.; Gibson, D.; Placido, F.; Mazur, P.; Kalisz, M.; Poniedzialek, A. Functional Photocatalytically Active and Scratch Resistant Antireflective Coating Based on TiO2 and SiO2. Appl. Surf. Sci. 2016, 380, 165–171. [Google Scholar] [CrossRef]
- Hoffmann, M.R.; Martin, S.T.; Choi, W.; Bahnemann, D.W. Environmental Applications of Semiconductor Photocatalysis. Chem. Rev. 1995, 95, 69–96. [Google Scholar] [CrossRef]
- Sun, B.; Zhou, W.; Li, H.; Ren, L.; Qiao, P.; Li, W.; Fu, H. Synthesis of Particulate Hierarchical Tandem Heterojunctions toward Optimized Photocatalytic Hydrogen Production. Adv. Mater. 2018, 30, 1804282. [Google Scholar] [CrossRef]
- Feng, Y.; Liu, L.; Chen, P.; Bo, M.; Xie, J.; Deng, Q. Enhancing Surface Polarization and Reducing Bandgap of BaTiO3 Nanofiller for Preparing Dielectric Traits-Improved Composites via Its Hybridization with Layered g-C3N4. Surf. Interfaces 2022, 31, 102060. [Google Scholar] [CrossRef]
- Xu, L.; Dai, R.; Yang, J.; Yan, J.; Zhang, Y.; Dai, Y.; Liao, C.; Zhang, Z.; Zhao, W.; Lei, X.; et al. A Novel S-Scheme g-C3N4/Mn(VO3)2 Heterojunction Photocatalyst for Its Superior Photocatalytic Degradation of Broad-Spectrum Antibiotics. J. Alloys Compd. 2023, 936, 168163. [Google Scholar] [CrossRef]
- Bui, V.H.; Vu, T.K.; To, H.T.; Negishi, N. Application of TiO2-Ceramic/UVA Photocatalyst for the Photodegradation of Sulfamethoxazole. Sustain. Chem. Pharm. 2022, 26, 100617. [Google Scholar] [CrossRef]
- Awfa, D.; Ateia, M.; Fujii, M.; Yoshimura, C. Novel Magnetic Carbon Nanotube-TiO2 Composites for Solar Light Photocatalytic Degradation of Pharmaceuticals in the Presence of Natural Organic Matter. J. Water Process Eng. 2019, 31, 100836. [Google Scholar] [CrossRef]
- Zhao, W.; Duan, J.; Ji, B.; Ma, L.; Yang, Z. Novel Formation of Large Area N-TiO2/Graphene Layered Materials and Enhanced Photocatalytic Degradation of Antibiotics. J. Environ. Chem. Eng. 2020, 8, 102206. [Google Scholar] [CrossRef]
- Akulinkin, A.; Bolgaru, K.; Reger, A. Facile Synthesis of Porous G-C3N4/β-SiAlON Material with Visible Light Photocatalytic Activity. Mater. Lett. 2021, 305, 130788. [Google Scholar] [CrossRef]
- Liu, S.-H.; Lin, W.-X. Responsive Photocatalytic Coatings for Degradation of Indoor Formaldehyde. J. Hazard. Mater. 2019, 368, 468–476. [Google Scholar] [CrossRef] [PubMed]
- Tao, W.; Wang, M.; Ali, R.; Nie, S.; Zeng, Q.; Yang, R.; Lau, W.-M.; Tang, H.; Jian, X. Multi-Layered Porous Hierarchical TiO2/g-C3N4 Hybrid Coating for Enhanced Visible Light Photocatalysis. Appl. Surf. Sci. 2019, 495, 143435. [Google Scholar] [CrossRef]
- Ni, S.; Fu, Z.; Li, L.; Ma, M.; Liu, Y. Step-Scheme Heterojunction g-C3N4/TiO2 for Efficient Photocatalytic Degradation of Tetracycline Hydrochloride under UV Light. Colloids Surf. 2022, 649, 129475. [Google Scholar] [CrossRef]
- Vijayan, M.; Manikandan, V.; Rajkumar, C.; Hatamleh, A.A.; Alnafisi, B.K.; Easwaran, G.; Liu, X.; Sivakumar, K.; Kim, H. Constructing Z-Scheme g-C3N4/TiO2 Heterostructure for Promoting Degradation of the Hazardous Dye Pollutants. Chemosphere 2023, 311, 136928. [Google Scholar] [CrossRef]
- Zhang, Z.; Chen, X.; Chen, S.; Dong, Q.; Zhang, X.; Jiang, A.; Zhang, D.; Di, Y.; Li, T. Synergistic Interaction of Z-Scheme TiO2/g-C3N4 Photocatalyst and Peroxymonosulfate for Improving the Photocatalytic Efficiency of Rhodamine B. Opt. Mater. 2022, 133, 113081. [Google Scholar] [CrossRef]
- Lyu, H.; Ma, C.; Zhao, J.; Shen, B.; Tang, J. A Novel One-Step Calcination Tailored Single-Atom Iron and Nitrogen Co-Doped Carbon Material Catalyst for the Selective Reduction of CO2 to CO. Sep. Purif. Technol. 2022, 303, 122221. [Google Scholar] [CrossRef]
- Nguyen, T.K.A.; Pham, T.-T.; Gendensuren, B.; Oh, E.-S.; Shin, E.W. Defect Engineering of Water-Dispersible g-C3N4 Photocatalysts by Chemical Oxidative Etching of Bulk g-C3N4 Prepared in Different Calcination Atmospheres. J. Mater. Sci. 2022, 103, 232–243. [Google Scholar] [CrossRef]
- Halary-Wagner, E.; Wagner, F.R.; Brioude, A.; Mugnier, J.; Hoffmann, P. Light-Induced CVD of Titanium Dioxide Thin Films II: Thin Film Crystallinity. Chem. Vap. Depos. 2005, 11, 29–37. [Google Scholar] [CrossRef]
- King, J.S.; Graugnard, E.; Summers, C.J. TiO2 Inverse Opals Fabricated Using Low-Temperature Atomic Layer Deposition. Adv. Mater. 2005, 17, 1010–1013. [Google Scholar] [CrossRef]
- King, J.S.; Graugnard, E.; Summers, C.J. Photoluminescence Modification by High-Order Photonic Bandsin TiO2/ZnS:Mn Multilayer Inverse Opals. Appl. Phys. Lett. 2006, 88, 081109. [Google Scholar] [CrossRef]
- Khoja, A.H.; Mazhar, A.; Saleem, F.; Mehran, M.T.; Naqvi, S.R.; Anwar, M.; Shakir, S.; Amin, N.A.S.; Sajid, M.B. Recent Developments in Catalyst Synthesis Using DBD Plasma for Reforming Applications. Int. J. Hydrog. Energy 2021, 46, 15367–15388. [Google Scholar] [CrossRef]
- Tan, Y.; Zhao, W.; Sun, L.; Zhang, R.; Hou, J.; Fu, S.; Xu, W.; Zhang, R. Photocatalytic Abatement of Formaldehyde under Visible Light Irradiation via Bamboo Carbon/TiO2 Modified by Plasma at Low Temperature. J. Clean. Prod. 2022, 369, 133280. [Google Scholar] [CrossRef]
- Dong, P.; Yang, F.; Cheng, X.; Huang, Z.; Nie, X.; Xiao, Y.; Zhang, X. Plasmon Enhanced Photocatalytic and Antimicrobial Activities of Ag-TiO2 Nanocomposites under Visible Light Irradiation Prepared by DBD Cold Plasma Treatment. Mater. Sci. 2019, 96, 197–204. [Google Scholar] [CrossRef]
- Heo, U.S.; Kim, D.-W.; Kim, K.-S.; Park, W.-W. A Facile Synthesis of Anatase TiO2-Graphene Nanocomposites Using Plasma and Heat Treatment. Appl. Surf. Sci. 2019, 474, 118–126. [Google Scholar] [CrossRef]
- Ma, H.; Yuan, C.; Wang, X.; Wang, H.; Long, Y.; Chen, Y.; Wang, Q.; Cong, Y.; Zhang, Y. Deposition of CeO2 on TiO2 Nanorods Electrode by Dielectric Barrier Discharge Plasma to Enhance the Photoelectrochemical Performance in High Chloride Salt System. Sep. Purif. Technol. 2021, 276, 119252. [Google Scholar] [CrossRef]
- Yan, S.C.; Li, Z.S.; Zou, Z.G. Photodegradation of Rhodamine B and Methyl Orange over Boron-Doped g-C3N4 under Visible Light Irradiation. Langmuir 2010, 26, 3894–3901. [Google Scholar] [CrossRef] [PubMed]
- Yan, S.C.; Li, Z.S.; Zou, Z.G. Photodegradation Performance of G-C3N4 Fabricated by Directly Heating Melamine. Langmuir 2009, 25, 10397–10401. [Google Scholar] [CrossRef] [PubMed]
- Cao, P.; Zhao, D.X.; Zhang, J.Y.; Shen, D.Z.; Lu, Y.M.; Yao, B.; Li, B.H.; Bai, Y.; Fan, X.W. Optical and Electrical Properties of P-Type ZnO Fabricated by NH3 Plasma Post-Treated ZnO Thin FIlms. Appl. Surf. Sci. 2008, 254, 2900–2904. [Google Scholar] [CrossRef]
- Huang, Z.; Sun, Q.; Lv, K.; Zhang, Z.; Li, M.; Li, B. Effect of Contact Interface between TiO2 and G-C3N4 on the Photoreactivity of g-C3N4/TiO2 Photocatalyst: (001) vs. (101) Facets of TiO2. Appl. Catal. 2015, 164, 420–427. [Google Scholar] [CrossRef]
- Dall’Acqua, L.; Tonin, C.; Peila, R.; Ferrero, F.; Catellani, M. Performances and Properties of Intrinsic Conductive Cellulose–Polypyrrole Textiles. Synth. Met. 2004, 146, 213–221. [Google Scholar] [CrossRef]
- Dong, F.; Zhao, Z.; Xiong, T.; Ni, Z.; Zhang, W.; Sun, Y.; Ho, W.-K. In Situ Construction of G-C3N4/G-C3N4 Metal-Free Heterojunction for Enhanced Visible-Light Photocatalysis. ACS Appl. Mater. Interfaces 2013, 5, 11392–11401. [Google Scholar] [CrossRef]
- Li, Y.; Lv, K.; Ho, W.; Dong, F.; Wu, X.; Xia, Y. Hybridization of Rutile TiO2 (RTiO2) with g-C3N4 Quantum Dots (CN QDs): An Efficient Visible-Light-Driven Z-Scheme Hybridized Photocatalyst. Appl. Catal. 2017, 202, 611–619. [Google Scholar] [CrossRef]
- Kruk, M.; Jaroniec, M. Gas Adsorption Characterization of Ordered Organic-Inorganic Nanocomposite Materials. Chem. Mater. 2001, 13, 3169–3183. [Google Scholar] [CrossRef]
- Di, J.; Li, S.; Zhao, Z.; Huang, Y.; Jia, Y.; Zheng, H. Biomimetic CNT@TiO2 Composite with Enhanced Photocatalytic Properties. Chem. Eng. J. 2015, 281, 60–68. [Google Scholar] [CrossRef]
- Luo, L.; Yang, Y.; Zhang, A.; Wang, M.; Liu, Y.; Bian, L.; Jiang, F.; Pan, X. Hydrothermal Synthesis of Fluorinated Anatase TiO2/Reduced Graphene Oxide Nanocomposites and Their Photocatalytic Degradation of Bisphenol A. Appl. Surf. Sci. 2015, 353, 469–479. [Google Scholar] [CrossRef]
- Tang, T.; You, L.; Liang, P.; Jia, T.; Feng, W.; Liu, Q.; Li, F.; Zhu, W.; Wang, D.; Wu, J. Tuning Dimensionality TiO2/g-C3N4 Heterostructure for Enhanced Elemental Mercury Removal Performance under Visible-Light. Chem. Phys. Lett. 2021, 782, 139027. [Google Scholar] [CrossRef]
- Gan, W.; Gan, W.; Guo, J.; Fu, X.; Zhang, M.; Ding, C.; Yu, H.; Lu, Y.; Li, J.; Li, Z.; et al. Dual-Defects Modified Ultrathin 2D/2D TiO2/g-C3N4 Heterojunction for Efficient Removal of Levofloxacin: Performance, Degradation Pathway, and Mechanism. Sep. Purif. Technol. 2023, 306, 122578. [Google Scholar] [CrossRef]
- Fang, R.; He, M.; Huang, H.; Feng, Q.; Ji, J.; Zhan, Y.; Leung, D.Y.; Zhao, W. Effect of Redox State of Ag on Indoor Formaldehyde Degradation over Ag/TiO2 Catalyst at Room Temperature. Chemosphere 2018, 213, 235–243. [Google Scholar] [CrossRef] [PubMed]
- Jia, J.; Li, D.; Wan, J.; Yu, X. Characterization and Mechanism Analysis of Graphite/C-Doped TiO2 Composite for Enhanced Photocatalytic Performance. J. Ind. Eng. Chem. 2016, 33, 162–169. [Google Scholar] [CrossRef]
- An, H.-R.; Park, S.Y.; Kim, H.; Lee, C.Y.; Choi, S.; Lee, S.C.; Seo, S.; Park, E.C.; Oh, Y.-K.; Won, C.J.; et al. Advanced Nanoporous TiO2 Photocatalysts by Hydrogen Plasma for Efficient Solar-Light Photocatalytic Application. Sci. Rep. 2016, 6, 29683. [Google Scholar] [CrossRef]
- Xiang, Q.; Ma, X.; Zhang, D.; Zhou, H.; Liao, Y.; Zhang, H.; Levchenko, I.; Bazaka, K. Interfacial Modification of Titanium Dioxide to Enhance Photocatalytic Efficiency towards H2 Production. J. Colloid Interface Sci. 2019, 556, 376–385. [Google Scholar] [CrossRef]
- Kane, A.; Chafiq, L.; Dalhatou, S.; Bonnet, P.; Nasr, M.; Gaillard, N.; Dikdim, J.M.D.; Monier, G.; Assadi, A.A.; Zeghioud, H. G-C3N4/TiO2 S-Scheme Heterojunction Photocatalyst with Enhanced Photocatalytic Carbamazepine Degradation and Mineralization. J. Photochem. 2022, 430, 113971. [Google Scholar]
- Pisarek, M.; Krawczyk, M.; Hołdyński, M.; Lisowski, W. Plasma Nitriding of TiO2 Nanotubes: N-Doping in Situ Investigations Using XPS. ACS Omega 2020, 5, 8647–8658. [Google Scholar] [CrossRef]
- Dang, X.; Xie, M.; Dai, F.; Guo, J.; Liu, J.; Lu, X. Ultrathin 2D/2D ZnIn2S4/G-C3N4 Nanosheet Heterojunction with Atomic-Level Intimate Interface for Photocatalytic Hydrogen Evolution under Visible Light. Adv. Mater. Interfaces 2021, 8, 2100151. [Google Scholar] [CrossRef]
- Folli, A.; Strøm, M.; Madsen, T.P.; Henriksen, T.; Lang, J.; Emenius, J.; Klevebrant, T.; Nilsson, A. Field Study of Air Purifying Paving Elements Containing TiO2. Atmos. Environ. 2015, 107, 44–51. [Google Scholar] [CrossRef]
- Takai, A.; Kamat, P.V. Capture, Store, and Discharge. Shuttling Photogenerated Electrons across TiO2−Silver Interface. ACS Nano 2011, 5, 7369–7376. [Google Scholar] [CrossRef] [PubMed]
- Khairy, M.; Zakaria, W. Effect of Metal-Doping of TiO2 Nanoparticles on Their Photocatalytic Activities toward Removal of Organic Dyes. Egypt. J. Pet. 2014, 23, 419–426. [Google Scholar] [CrossRef]
- Duo, F.; Wang, Y.; Mao, X.; Zhang, X.; Wang, Y.; Fan, C. A BiPO4/BiOCl Heterojunction Photocatalyst with Enhanced Electron-Hole Separation and Excellent Photocatalytic Performance. Appl. Surf. Sci. 2015, 340, 35–42. [Google Scholar] [CrossRef]
- Luo, L.; Meng, D.; He, L.; Wang, X.; Xia, L.; Pan, X.; Jiang, F.; Wang, H.; Dai, J. Photocatalytic Activation of Peroxydisulfate by a New Porous G-C3N4/Reduced Graphene Oxide/TiO2 Nanobelts Composite for Efficient Degradation of 17α-Ethinylestradiol. Chem. Eng. J. 2022, 446, 137325. [Google Scholar] [CrossRef]














| Sample | SBET (m2/g) | Vpore (cm3/g) | Pore Size (nm) |
|---|---|---|---|
| g-C3N4 | 5.24 | 0.018 | 21.5919 |
| TiO2 | 305.80 | 0.355 | 5.6994 |
| un-10%-g-C3N4/TiO2 | 255.11 | 0.202 | 4.4808 |
| 3%-TiO2/g-C3N4 | 117.18 | 0.239 | 8.0502 |
| 5%-TiO2/g-C3N4 | 212.34 | 0.347 | 7.8124 |
| 7%-TiO2/g-C3N4 | 129.57 | 0.318 | 9.7446 |
| 10%-TiO2/g-C3N4 | 129.24 | 0.237 | 7.0663 |
Disclaimer/Publisher’s Note: The statements, opinions and data contained in all publications are solely those of the individual author(s) and contributor(s) and not of MDPI and/or the editor(s). MDPI and/or the editor(s) disclaim responsibility for any injury to people or property resulting from any ideas, methods, instructions or products referred to in the content. |
© 2023 by the authors. Licensee MDPI, Basel, Switzerland. This article is an open access article distributed under the terms and conditions of the Creative Commons Attribution (CC BY) license (https://creativecommons.org/licenses/by/4.0/).
Share and Cite
Sun, L.; Tan, Y.; Xu, H.; Shu, R.; Liu, Z.; Zhang, R.; Hou, J.; Zhang, R. A Novel Photocatalytic Functional Coating Applied to the Degradation of Xylene in Coating Solvents under Solar Irradiation. Nanomaterials 2023, 13, 570. https://doi.org/10.3390/nano13030570
Sun L, Tan Y, Xu H, Shu R, Liu Z, Zhang R, Hou J, Zhang R. A Novel Photocatalytic Functional Coating Applied to the Degradation of Xylene in Coating Solvents under Solar Irradiation. Nanomaterials. 2023; 13(3):570. https://doi.org/10.3390/nano13030570
Chicago/Turabian StyleSun, Luying, Yujie Tan, Hui Xu, Ruchen Shu, Zhi Liu, Ruina Zhang, Jianyuan Hou, and Renxi Zhang. 2023. "A Novel Photocatalytic Functional Coating Applied to the Degradation of Xylene in Coating Solvents under Solar Irradiation" Nanomaterials 13, no. 3: 570. https://doi.org/10.3390/nano13030570
APA StyleSun, L., Tan, Y., Xu, H., Shu, R., Liu, Z., Zhang, R., Hou, J., & Zhang, R. (2023). A Novel Photocatalytic Functional Coating Applied to the Degradation of Xylene in Coating Solvents under Solar Irradiation. Nanomaterials, 13(3), 570. https://doi.org/10.3390/nano13030570

