Enhancing Photoluminescence of CsPb(ClxBr1−x)3 Perovskite Nanocrystals by Fe2+ Doping
Abstract
1. Introduction
2. Materials and Methods
2.1. Synthesis of CsPb1−xFex(Br1−xClx)3 (x = 0, 0.1, 0.2, and 0.3) NCs
2.2. Characterizations
3. Results and Discussion
3.1. Structure
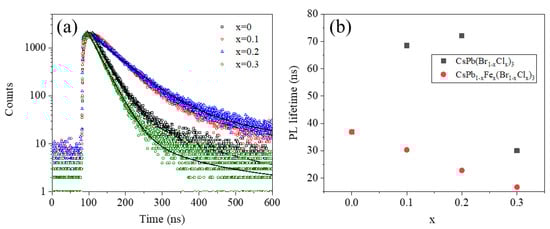
3.2. Photoluminescence Properties
4. Conclusions
Author Contributions
Funding
Institutional Review Board Statement
Data Availability Statement
Conflicts of Interest
References
- Jeon, N.J.; Na, H.; Jung, E.H.; Yang, T.-Y.; Lee, Y.G.; Kim, G.; Shin, H.-W.; Il Seok, S.; Lee, J.; Seo, J. A fluorene-terminated hole-transporting material for highly efficient and stable perovskite solar cells. Nat. Energy 2018, 3, 682–689. [Google Scholar] [CrossRef]
- Akihiro, K.; Kenjiro, T.; Yasuo, S.; Tsutomu, M. Organometal halide perovskites as visible-light sensitizers for photovoltaic cells. J. Am. Chem. Soc. 2009, 131, 6050. [Google Scholar]
- Kim, D.; Jung, H.J.; Park, I.J.; Larson, B.W.; Dunfield, S.P.; Xiao, C.; Kim, J.; Tong, J.; Boonmongkolras, P.; Ji, S.G.; et al. Efficient, stable silicon tandem cells enabled by anion-engineered wide-bandgap perovskites. Science 2020, 368, 155–160. [Google Scholar] [CrossRef] [PubMed]
- Zhang, X.L.; Xu, B.; Zhang, J.B.; Gao, Y.; Zheng, Y.J.; Wang, K.; Sun, X.W. All-inorganic perovskite nanocrystals for high-efficiency light emitting diodes: Dual-phase CsPbBr3-CsPb2Br5 composites. Adv. Funct. Mater. 2016, 26, 4595. [Google Scholar] [CrossRef]
- Song, J.Z.; Li, J.H.; Li, X.M.; Xu, L.M.; Dong, Y.H.; Zeng, H.B. Quantum dot light-emitting diodes based on inorganic perovskite cesium lead halides (CsPbX3). Adv. Mater. 2015, 27, 7162. [Google Scholar] [CrossRef]
- Fang, H.J.; Li, J.W.; Ding, J.; Sun, Y.; Li, Q.; Sun, J.L.; Wang, L.D.; Yan, Q.F. An origami perovskite photodetector with spatial recognition ability. ACS Appl. Mater. Interfaces 2017, 9, 10921. [Google Scholar] [CrossRef]
- Cao, F.R.; Tian, W.; Wang, M.; Li, L. Polarized ferroelectric field-enhanced self-powered perovskite photodetector. ACS Photonics 2018, 5, 3731. [Google Scholar] [CrossRef]
- Ramasamy, P.; Lim, D.H.; Kim, B.; Lee, S.H.; Lee, M.S.; Lee, J.S. All-inorganic cesium lead halide perovskite nanocrystals for photodetector applications. Chem. Commun. 2016, 52, 2067. [Google Scholar] [CrossRef]
- Hao, F.; Stoumpos, C.C.; Cao, D.H.; Chang, R.P.H.; Kanatzidis, M.G. Lead-free solid-state organic−inorganic halide perovskite solar cells. Nat. Photonics 2014, 8, 489–494. [Google Scholar] [CrossRef]
- Volonakis, G.; Filip, M.R.; Haghighirad, A.A.; Sakai, N.; Wenger, B.; Snaith, H.J.; Giustino, F. Lead-free halide double perovskites via heterovalent substitution of noble metals. J. Phys. Chem. Lett. 2016, 7, 1254–1259. [Google Scholar] [CrossRef]
- Savory, C.N.; Walsh, A.; Scanlon, D.O. Pb-free halide double perovskites dupport high-efficiency solar cells. ACS Energy Lett. 2016, 1, 949–955. [Google Scholar] [CrossRef] [PubMed]
- Zhao, X.G.; Yang, J.H.; Fu, Y.H.; Yang, D.W.; Xu, Q.L.; Yu, L.P.; Wei, S.H.; Zhang, L.J. Lead-free inorganic halide perovskites for solar cells via cation-transmutation. J. Am. Chem. Soc. 2017, 139, 2630–2638. [Google Scholar] [CrossRef] [PubMed]
- Wu, X.L.; Xiong, S.J.; Liu, Z.; Chen, J.; Shen, J.C.; Li, T.H.; Wu, P.H.; Chu, P.K. Green light stimulates terahertz emission from mesocrystal microspheres. Nat. Nanotech. 2011, 6, 103–106. [Google Scholar] [CrossRef] [PubMed]
- Yang, B.; Chen, J.S.; Hong, F.; Mao, X.; Zheng, K.B.; Yang, S.Q.; Li, Y.J.; Pullerits, T.; Deng, W.Q.; Han, K.L. Lead-free, air-stable all-inorganic cesium bismuth halide perovskite nanocrystals. Angew. Chem. Int. Ed. 2017, 56, 12471. [Google Scholar] [CrossRef]
- Unger, E.L.; Hoke, E.T.; Bailie, C.D.; Nguyen, W.H.; Bowring, A.R.; Heumuller, T.; Christoforo, M.G.; McGehee, M.D. Hysteresis and transient behavior in current-voltage measurements of hybrid-perovskite absorber solar cells. Energy Environ. Sci. 2014, 7, 3690–3698. [Google Scholar] [CrossRef]
- Yuan, Y.; Huang, J. Ion migration in organometal trihalide perovskite and its impact on photovoltaic efficiency and stability. Acc. Chem. Res. 2016, 49, 286–293. [Google Scholar] [CrossRef]
- Brennan, M.C.; Ruth, A.; Kamat, P.V.; Kuno, M. Photoinduced anion segregation in mixed halide perovskites. Trends Chem. 2020, 2, 282–301. [Google Scholar] [CrossRef]
- Zhao, R.; Yang, C.; Wang, H.G.; Jiang, K.; Wu, H.; Shen, S.P.; Wang, L.; Sun, Y.; Jin, K.J.; Gao, J.; et al. Emergent multiferroism with magnetodielectric coupling in EuTiO3 created by a negative pressure control of strong spin-phonon coupling. Nat. Commun. 2022, 13, 1–9. [Google Scholar]
- Jellicoe, T.C.; Richter, J.M.; Glass, H.F.J.; Tabachnyk, M.; Brady, R.; Dutton, S.E.; Rao, A.; Friend, R.H.; Credgington, D.; Greenham, N.C.; et al. Synthesis and optical properties of lead-free cesium tin halide perovskite nanocrystals. J. Am. Chem. Soc. 2016, 138, 2941. [Google Scholar] [CrossRef]
- Grandhi, G.K.; Matuhina, A.; Liu, M.N.; Annurakshita, S.; Ali-Loytty, H.; Bautista, G.; Vivo, P. Lead-free cesium titanium bro mide double perovskite nanocrystals. Nanomaterials 2021, 11, 1458. [Google Scholar] [CrossRef]
- Noel, N.K.; Stranks, S.D.; Abate, A.; Wehrenfennig, C.; Guarnera, S.; Haghighirad, A.A.; Sadhanala, A.; Eperon, G.E.; Pathak, S.K.; Johnston, M.B.; et al. Lead-free organic–inorganic tin halide perovskites for photovoltaic applications. Energy Environ. Sci. 2014, 7, 3061–3068. [Google Scholar] [CrossRef]
- Wang, F.; Han, Y.; Lim, C.S.; Lu, Y.H.; Wang, J.; Xu, J.; Chen, H.Y.; Zhang, C.; Hong, M.H.; Liu, X.G. Simultaneous phase and size control of upconversion nanocrystals through lanthanide doping. Nature 2010, 463, 1061. [Google Scholar] [CrossRef] [PubMed]
- Dong, H.; Sun, L.D.; Wang, Y.F.; Ke, J.; Si, R.; Xiao, J.W.; Lyu, G.M.; Shi, S.; Yan, C.H. Efficient tailoring of upconversion selectivity by engineering local structure of lanthanides in NaxREF3+x nanocrystals. J. Am. Chem. Soc. 2015, 137, 6569. [Google Scholar] [CrossRef]
- Feng, X.D.; Sayle, D.C.; Wang, Z.L.; Paras, M.S.; Santora, B.; Sutorik, A.C.; Sayle, T.X.T.; Yang, Y.; Ding, Y.; Wang, X.D.; et al. Converting ceria polyhedral nanoparticles into single-crystal nanospheres. Science 2006, 312, 1504. [Google Scholar] [CrossRef] [PubMed]
- Begum, R.; Parida, M.R.; Abdelhady, A.L.; Murali, B.; Alyami, N.M.; Ahmed, G.H.; Hedhili, M.N.; Bakr, O.M.; Mohammed, O.F. Engineering interfacial charge transfer in CsPbBr3 perovskite nanocrystals by heterovalent doping. J. Am. Chem. Soc. 2017, 139, 731. [Google Scholar] [CrossRef]
- Mao, K.H.; Zhang, J.L.; Guo, Z.J.; Liu, L.Z.; Ma, H.; Chin, Y.Y.; Lin, H.J.; Bao, S.S.; Xie, H.Q.; Yang, R.; et al. Constructing asymmetrical Ni-centered {NiN2O4} octahedra in layered metal−organic structures for near-room-temperature single-phase magnetoelectricity. J. Am. Chem. Soc. 2020, 142, 12841–12849. [Google Scholar] [CrossRef] [PubMed]
- Guo, Z.J.; Mao, K.H.; Ma, G.D.; Li, G.A.; Wu, Q.F.; Chen, J.; Bao, S.S.; Yu, G.L.; Li, S.H.; Zhang, J.L.; et al. Light-Induced Tunable Ferroelectric Polarization in DipoleEmbedded Metal−Organic Framework. Nano Lett. 2022, 22, 10018–10024. [Google Scholar] [CrossRef]
- Jiang, Y.C.; He, A.P.; Luo, K.; Zhang, J.L.; Liu, G.Z.; Zhao, R.; Zhang, Q.; Wang, Z.; Zhao, C.; Wang, L.; et al. Giant bipolar unidirectional photomagnetoresistance. Proc. Natl. Acad. Sci. USA 2022, 27, 119. [Google Scholar] [CrossRef] [PubMed]
- Xia, Z.Y.; Li, Y.; Ji, C.; Jiang, Y.C.; Ma, C.L.; Gao, J.; Zhang, J.L. Slow relaxation behavior of a mononuclear Co(II) complex featuring long axial Co-O bond. Nanomaterials. 2022, 12, 707. [Google Scholar] [CrossRef] [PubMed]
- Zhang, W.Z.; Li, X.; Peng, C.C.; Yang, F.; Lian, L.Y.; Guo, R.D.; Zhang, J.B.; Wang, L. CsPb(Br/Cl)3 perovskite nanocrystals with bright blue emission synergistically modified by calcium halide and ammonium ion. Nanomaterials 2022, 12, 2026. [Google Scholar] [CrossRef]
- Klug, M.T.; Osherov, A.; Haghighirad, A.A.; Stranks, S.D.; Brown, P.R.; Bai, S.; Wang, J.T.W.; Dang, X.N.; Bulovic, V.; Snaith, H.J.; et al. Tailoring metal halide perovskites through metal substitution: Influence on photovoltaic and material properties. Science 2017, 10, 236–246. [Google Scholar] [CrossRef]
- Parobek, D.; Roman, B.J.; Dong, Y.; Jin, H.; Lee, E.; Sheldon, M.; Son, D.H. Exciton-to-dopant energy transfer in Mn-doped cesium lead halide perovskite nanocrystals. Nano Lett. 2016, 16, 7376. [Google Scholar] [CrossRef] [PubMed]
- Liu, H.W.; Wu, Z.N.; Shao, J.R.; Yao, D.; Gao, H.; Liu, Y.; Yu, W.L.; Zhang, H.; Yang, B. CsPbxMn1–xCl3 perovskite quantum Dots with high Mn substitution ratio. ACS Nano 2017, 11, 2239. [Google Scholar] [CrossRef] [PubMed]
- Liu, W.Y.; Lin, Q.L.; Li, H.B.; Wu, K.F.; Robel, I.; Pietryga, J.M.; Klimov, V.I. Mn2+-doped lead halide perovskite nanocrystals with dual-color emission controlled by halide content. J. Am. Chem. Soc. 2016, 138, 14954. [Google Scholar] [CrossRef] [PubMed]
- Ma, K.W.; Sheng, Y.H.; Wang, G.Z.; Zhang, X.W.; Di, Y.S.; Liu, C.H.; Yu, L.Y.; Dong, L.F.; Gan, Z.X. Stable and multicolor solid-state luminescence of Mn doped CsPb (Cl/Br)3perovskite quantum dots and its application in light-emitting diodes. J. Lumin. 2022, 243, 118622. [Google Scholar] [CrossRef]
- Yong, Z.J.; Guo, S.Q.; Ma, J.P.; Zhang, J.Y.; Li, Z.Y.; Chen, Y.M.; Zhang, B.B.; Zhou, Y.; Shu, J.; Gu, J.L.; et al. Doping-enhanced short-range order of perovskite nanocrystals for near-unity violet luminescence quantum yield. J. Am. Chem. Soc. 2018, 140, 9942–9951. [Google Scholar] [CrossRef]
- Cheng, X.H.; Jing, L.; Yuan, Y.; Du, S.J.; Zhang, J.; Zhan, X.Y.; Ding, J.X.; Shi, G.D.T.H. Fe2+/Fe3+ doped into MAPbCl3 single crystal: Impact on crystal growth and optical and photoelectronic properties. J. Phys. Chem. C 2019, 123, 1669–1676. [Google Scholar] [CrossRef]
- Hu, Y.; Zhang, X.Y.; Yang, C.Q.; Lia, J.; Wang, L. Fe2+doped in CsPbCl3 perovskite nanocrystals: Impact on the luminescence and magnetic properties. RSC Adv. 2019, 9, 33017–33022. [Google Scholar] [CrossRef]
- Protesescu, L.; Yakunin, S.; Bodnarchuk, M.I.; Krieg, F.; Caputo, R.; Hendon, C.H.; Yang, R.X.; Walsh, A.; Kovalenko, M.V. Nanocrystals of cesium lead halide perovskites (CsPbX3, X = Cl, Br, and I): Novel optoelectronic materials showing bright emission with wide color gamut. Nano Lett. 2015, 15, 3692. [Google Scholar] [CrossRef]
- Gan, Z.X.; Wen, X.M.; Chen, W.J.; Zhou, C.H.; Yang, S.; Cao, G.Y.; Ghiggino, K.P.; Zhang, H.; Jia, B.H. The dominant energy transport pathway in halide perovskites: Photon recycling or carrier diffusion. Adv. Energy Mater. 2019, 9, 1900185. [Google Scholar] [CrossRef]
- Gan, Z.X.; Chen, W.J.; Yuan, L.; Cao, G.Y.; Zhou, C.H.; Huang, S.J.; Wen, X.M.; Jia, B.H. External stokes shift of perovskite nanocrystals enlarged by photon recycling. Appl. Phys. Lett. 2019, 114, 011906. [Google Scholar] [CrossRef]
- Wenger, B.; Nayak, P.K.; Wen, X.M.; Kesava, S.V.; Noel, N.K.; Snaith, H.J. Consolidation of the optoelectronic properties of CH3NH3PbBr3 perovskite single crystals. Nat. Commun. 2017, 8, 590. [Google Scholar] [CrossRef]
- Sheng, Y.H.; Liu, C.H.; Yu, L.Y.; Yang, Y.Y.; Hu, F.R.; Sheng, C.; Di, Y.S.; Dong, L.F.; Gan, Z.X. Microsteganography on all inorganic perovskite micro-platelets by direct laser writing. Nanoscale 2021, 13, 14450. [Google Scholar] [CrossRef]
- Zou, S.H.; Liu, Y.S.; Li, J.H.; Liu, C.P.; Feng, R.; Jiang, F.L.; Li, Y.X.; Song, J.Z.; Zeng, H.B.; Hong, M.C.; et al. Stabilizing cesium lead halide perovskite lattice through Mn (II) substitution for air-stable light-emitting diodes. J. Am. Chem. Soc. 2017, 139, 11443–11450. [Google Scholar] [CrossRef] [PubMed]
- Cherevkov, S.; Azizov, R.; Sokolova, A.; Nautran, V.; Miruschenko, M.; Arefina, I.; Baranov, M.; Kurdyukov, D.; Stovpiaga, E.; Golubev, V.; et al. Interface chemical modification between all-inorganic perovskite nanocrystals and porous silica microspheres for composite materials with improved emission. Nanomaterials 2021, 11, 119. [Google Scholar] [CrossRef] [PubMed]






Disclaimer/Publisher’s Note: The statements, opinions and data contained in all publications are solely those of the individual author(s) and contributor(s) and not of MDPI and/or the editor(s). MDPI and/or the editor(s) disclaim responsibility for any injury to people or property resulting from any ideas, methods, instructions or products referred to in the content. |
© 2023 by the authors. Licensee MDPI, Basel, Switzerland. This article is an open access article distributed under the terms and conditions of the Creative Commons Attribution (CC BY) license (https://creativecommons.org/licenses/by/4.0/).
Share and Cite
Wu, C.; Li, Y.; Xia, Z.; Ji, C.; Tang, Y.; Zhang, J.; Ma, C.; Gao, J. Enhancing Photoluminescence of CsPb(ClxBr1−x)3 Perovskite Nanocrystals by Fe2+ Doping. Nanomaterials 2023, 13, 533. https://doi.org/10.3390/nano13030533
Wu C, Li Y, Xia Z, Ji C, Tang Y, Zhang J, Ma C, Gao J. Enhancing Photoluminescence of CsPb(ClxBr1−x)3 Perovskite Nanocrystals by Fe2+ Doping. Nanomaterials. 2023; 13(3):533. https://doi.org/10.3390/nano13030533
Chicago/Turabian StyleWu, Chang, Yan Li, Zhengyao Xia, Cheng Ji, Yuqian Tang, Jinlei Zhang, Chunlan Ma, and Ju Gao. 2023. "Enhancing Photoluminescence of CsPb(ClxBr1−x)3 Perovskite Nanocrystals by Fe2+ Doping" Nanomaterials 13, no. 3: 533. https://doi.org/10.3390/nano13030533
APA StyleWu, C., Li, Y., Xia, Z., Ji, C., Tang, Y., Zhang, J., Ma, C., & Gao, J. (2023). Enhancing Photoluminescence of CsPb(ClxBr1−x)3 Perovskite Nanocrystals by Fe2+ Doping. Nanomaterials, 13(3), 533. https://doi.org/10.3390/nano13030533
