Abstract
An ultrasensitive and selective voltammetric sensor with an ultratrace-level detection limit is introduced for ketoconazole (KTC) determination in real samples using a modified carbon paste electrode with a sheaf-like Ce-BTC MOF nanostructure and ionic liquid. The as-synthesized nanostructure was characterized by several techniques, including energy-dispersive X-ray spectroscopy (EDX), X-ray diffraction (XRD), and field emission scanning electron microscopy (FE-SEM). The electrocatalytic performance of the developed electrode was observed by cyclic voltammetry (CV), differential pulse voltammetry (DPV), linear sweep voltammetry (LSV), and chronoamperometry. The limit of detection (LOD) of the developed sensor for KTC is 0.04 μM, and the response was found to be in the dynamic concentration range of 0.1–110.0 μM in a phosphate buffer solution. The proposed electrode exhibits acceptable electrocatalytic activity for KTC oxidation with a high sensitivity of 0.1342 μA·μM−1. The ability of the fabricated sensor to monitor KTC in real aqueous samples is demonstrated using standard addition data.
1. Introduction
Ketoconazole (KTC) is a synthetic imidazole Cis-1-acetyl-4-[4-[2-(2,4-dichlorophenyl)-2-(1H-imidazole-1-ylmethyl)-1,3-dioxolon-4-yl] methoxy] piperazin (see Figure 1) that acts as an oral antifungal agent with a broad spectrum against systematic and superficial fungi. KTC can block the production of fungal ergo sterol, thereby disrupting the permeability of the cell membrane and ultimately preventing its growth. Exposure to KTC can be associated with changes in cytochrome P-450, which has central functions in the detoxification of biologically active substances as well as in the activity of epoxide hydrolase [1,2,3,4,5,6]. In addition to damaging the fungal mitochondrial and microsomal enzymes, its mechanism of action is the destruction of the fungal cytoplasmic membrane. It is extensively applied in people with immunodeficiency and prostate cancer [7,8]. Compared to other identical agents, it has a wide range of functions and few complications. Some of the applications of KTC are the formulation of products such as shampoo, gel, cream, lotion, and foam [9,10,11].
Figure 1.
Chemical structure of ketoconazole.
It is essential to quantify KTC through ultraviolet detection [12,13,14,15], spectrophotometry [16,17], and capillary electrophoresis [18]. Despite various advantages, these methods have some disadvantages because they are costly, time-consuming, and environmentally incompatible, and require much experience. Electrochemical approaches have aroused great attention because of their merits such as cost-effectiveness, simplicity, portability, rapidity, and high selectivity in biological fluids, cosmetics, and pharmaceutical products [19,20,21,22,23,24,25,26].
An interesting and recent approach is chemically modified electrodes (CMEs), which are mainly used for selective and sensitive electrochemical determination. They can mediate the electrode reaction through a significant reduction in over-potential, independent of pH, with a fast and stable reaction in redox response [27,28,29,30,31,32,33,34,35,36,37]. In 1979, an electrochemical approach called the chemical modification of the carbon paste electrode surface was proposed [38,39]. Researchers have introduced various modifiers to enhance the electrocatalytic activity of various carbon-supported electrodes, some of which include metal nanoparticles (NPs), metal oxide NPs, conductive polymers, and metal–organic frameworks (MOFs) [40,41,42,43,44,45].
MOFs are porous materials with infinite crystal networks that are the result of metal ion bonding and function as coordination centers possessing multifunctional organic molecules. MOFs are of particular importance due to their beneficial properties, such as controllability, adjustable capabilities, high porosity, large specific surface area, host–guest interplay, and great thermal stability. Various applications have been reported for MOFs, including gas storage/separation, catalysis, drug delivery, and detection with electrochemical applications, which can be attributed to the electrochemical performance of metal ions and the ordered porous framework. Various types of MOFs are synthesized at high temperature, high pressure, or with organic solvents, which not only increases the cost of fabrication but also makes large-scale production difficult [46,47,48,49,50,51,52,53]. The synthesis of mixed-valence Ce-MOFs occurs rapidly at an ambient temperature in aqueous solution, saving considerable time and energy costs [54,55]. In addition, these compounds can catalyze reversible redox responses with enzymatic-like performance, thus having a good catalytic impact on KTC oxidation.
Certain properties have been reported for ionic liquids (ILs) such as toxicity, chemical–thermal stability, high ionic conductivity, and the ability to dissolve various organic and inorganic substances [56]. There is a broad field of application of room temperature ionic liquids (RTILs) in analytical chemistry. RTILs are mixed with carbon substances to construct the conductive composites applied in electrochemical structures due to advantages such as a low vapor pressure, high conductivity, a wide electrochemical window, satisfactory chemical–thermal stability, and negligible toxicity [57,58,59,60,61,62].
In the present study, for KTC detection, the ionic liquid exhibited an excellent sensitivity and electric conductivity with highly rapid electron transfer in electroanalysis, and the sheaf-like (SL) Ce-BTC MOF nanostructure (NS) enhanced the electrochemical profile of CPE. For the first time, the as-fabricated modified electrode possessed high KTC sensing activity with a broad linear dynamic range, ultralow detection limits and outstanding sensitivity.
2. Experimental Section
2.1. Devices and Materials
An Autolab galvanostat/potentiostat device (PGSTAT 302N, Metrohm Ltd., Herisau, Switzerland) equipped with GPES 4.9 software was utilized to perform all electrochemical determinations. The routine three-cell system applied in this study consisted of a modified CPE (IL/SL Ce-BTC MOF NS/CPE) working electrode, a Metrohm Ag/AgCl/KClsat reference electrode and a platinum wire auxiliary electrode. The pH of fresh solutions prepared with deionized water (Direct-Q® 8 UV water purification system; Millipore; Germany) was adjusted with a digital pH meter (Metrohm 713, Switzerland). An X-ray diffractometer (Cu/Kα radiation, λ = 1.5418 nm; XRD; Panalytical X’Pert Pro; the Netherlands) was employed to record the XRD patterns. A scanning electron microscope (MIRA3, Tescan, Czech Republic) connected to an EDX system was used to perform FE-SEM analysis.
In our study, all chemicals were of analytical grade from Sigma-Aldrich with no need for additional purification. H3PO4 was used for the preparation of phosphate buffer solution. The pH adjustment was performed with NaOH.
2.2. Fabrication of SL Ce-BTC MOF NS
The method proposed by Liu and colleagues was followed to construct the SL Ce-BTC MOF NS [63]. Thus, 0.2171 g of Ce(NO3)3·6H2O was dissolved in 1 mL of deionized water to prepare metal salt aqueous solution with a pH value of 3.5. Then, the solution was slowly poured into 1,3,5 benzene tricarboxylic acid (1,3,5-BTC; 0.10 g) water–ethanol solution (1:1 v/v; 40 mL) at an ambient temperature while vigorously stirring for 10 min. Next, the centrifugation was carried out to obtain the white precipitate that formed, followed by rinsing thoroughly with ethanol/deionized water and drying.
2.3. Fabrication of Electrodes
The Ce-BTC MOF NS and ionic-liquid-modified carbon paste electrode (Ce-BTC MOF/IL/CPE) was fabricated by mixing 0.8 mL of IL, 0.4 g of Ce-BTC MOF NS, and 0.9 g of paraffin oil and graphite powder in a mortar to obtain a uniform wet paste, which was then compressed in the bottom of a glass tube. A copper wire was embedded in the glass tube behind the mixture to achieve an electrical contact. After removing the excess paste, a weighing paper was applied to polish and create a new surface. The comparison was performed for CPE; IL/CPE, unmodified (bare) CPE, Ce-BTC MOF/CPE, and IL-CPE.
2.4. Preparation of Real Specimens
Five KTC tablets (containing 200 mg of KTC) were first powdered, and then 200 mg of the powder was dissolved in 25 mL water under ultrasonication. Next, variable volumes of as-diluted solution was diluted to the mark of a 25 mL volumetric flask with PBS (pH 7.0). The standard addition method was followed to determine the KTC content.
The instantly refrigerated urine specimens, at a certain volume (10 mm), were centrifuged at 2000 rpm for 20 min. Then, the supernatant was filtered by a filter, and various volumes of it were diluted to the mark of a 25 mL volumetric flask with PBS (pH 7.0). Next, the diluted specimens were spiked with various concentrations of KTC.
3. Results and Discussion
3.1. Characterization of SL Ce-BTC MOF NS
The EDX analysis was employed to examine the SL Ce-BTC MOF NSs’ chemical composition, the results of which revealed signals related to Ce, C, and O that verified the fabrication of Ce-BTC MOF (see Figure 2).
Figure 2.
EDX spectrum of sheaf-like Ce-BTC MOF.
The crystal structure of SL Ce-BTC MOF NS was determined by the XRD pattern (Figure 3). Some sharp peaks appeared in the XRD pattern of Ce-BTC MOF, which ranged from 5° to 50°, confirming a good crystal structure of the as-fabricated sensor. The characteristic peaks at Ce-MOF were in line with a previous study on Ce-BTC MOF [63].
Figure 3.
XRD pattern of sheaf-like Ce-BTC MOF.
Figure 4a–c illustrate the FE-SEM images used to examine the Ce-BTC MOF’s morphological and structural features. It can be observed that the Ce-BTC MOF consists of an array of dispersed nanorods (with a mean diameter of ~90 nm) that are joined together in the middle to construct straw-SL structures.
Figure 4.
FE-SEM images of sheaf-like Ce-BTC MOF nanostructures at different magnifications (a) 5′000, (b) 35′000, and (c) 75′000.
3.2. Electrochemical Determinations
The electrocatalysis of KTC on the surface of Ce-BTC MOF/IL/CPE could be significantly influenced by the pH of the supporting electrolyte. The influence of pH on the determination of KTC (50.0 μM) in the exposure to PBS was examined on the surface of the modified electrode at variable pH values between 2.0 and 9.0. The pH value of 7.0 had the greatest oxidation peak current of KTC. Hence, pH = 7.0 was chosen as the best value for the next test.
To compare with unmodified CPE, IL-CPE, and Ce-BTC MOF/CPE, cyclic voltammetry was performed to explore the electrochemical behavior of Ce-BTC MOF/IL/CPE in relation to KTC (70.0 μM) in 0.1 M PBS at 50 mV/s. The cyclic voltammograms (CVs) were captured for all as-prepared electrodes in 0.1 M PBS with the pH value of 7.0 and a scan rate of 50 mV/s. Figure 5 shows a strong peak current resulting from the electrode surface modification with the porous and conductive MOF NS. The ionic liquid could facilitate the electron transfer, thus remarkably boosting the oxidation peak current. The Ipa value (μA) was estimated at 1.8 for CPE, 3.9 for Ce-BTC MOF/CPE, 6.5 for IL-CPE, and 9.9 for Ce-BTC MOF/IL/CPE in relation to the KTC oxidation. These results demonstrated the success of the method for CPE modification in the proposed electrode fabrication.
Figure 5.
Cyclic voltammograms captured for oxidation of KTC (70.0 µM) in PBS (0.1 M; pH = 7.0) on: (a) unmodified CPE; (b) Ce-BTC MOF/CPE; (c) IL/CPE; and (d) Ce-BTC MOF/IL/CPE, with a scan rate of 50 mV/s.
3.3. The Role of Scan Rate (ʋ) in the Experiments
Linear sweep voltammetry was performed to determine the scan rate influence on the electrochemical performance of KTC on the surface of Ce-BTC MOF/IL/CPE. According to the results (Figure 6), there was a gradual elevation in the oxidation peak current when the scan rate increased to 400 from 5 mV/s. As seen in Figure 6 (inset), there was linearity for the anodic peak currents (Ipa) vs. the scan rate square root (v1/2), R2 = 0.999. A linear elevation occurred for the peak current of oxidation with the v1/2, highlighting a diffusion-controlled process for the KTC electro-oxidation on the Ce-BTC MOF/IL/CPE surface in the tested range of scan rates.
Figure 6.
LSVs captured for the oxidation of KTC (50.0 µM) on the Ce-BTC MOF/IL/CPE under variable scan rates (a–h: 5, 10, 30, 70, 100, 200, and 400 mV/s). Inset: the correlation of Ipa with v1/2.
To analyze the rate-determining step, a Tafel plot was obtained in accordance with the points of LSV for KTC (50.0 μM) on the surface of Ce-BTC MOF/IL/CPE (scan rate = 5 mV/s). As seen in Figure 7 (inset), the Tafel plot was applied to compute the electron transfer coefficient (α = 0.49) with the slope of 2.3RT/n (1 − α) F (0.1161 V).
Figure 7.
LSV (at 5 mV s−1) of the electrode in 0.1 M PBS (pH = 7.0) containing 50.0 μM KTC. The points are the data used in the Tafel plot (inset).
3.4. Chronoamperometric Exploration
Chronoamperometric analysis was carried out for the KTC determination on the surface of Ce-BTC MOF/IL/CPE (Figure 8) at the electrode potential of 0.3 V against variable KTC levels (100.0, 600.0, 1100.0 and 1500.0 μM) with a buffer solution pH of 7.0 (Figure 8). Cottrell’s equation (I = nFAD1/2Cbπ−1/2t−1/2) was run to describe the current of the electrochemical reaction under the limited condition of mass transport for the electroactive KTC with the diffusion coefficient of D [64]. Figure 8A illustrates the plots of I against t−1/2 used with the best fit for variable KTC levels. The slopes from the straight lines were diagramed versus variable KTC levels (Figure 8B). Based on the Cottrell equation and slope, the D was found to be 5 × 10−6 cm2/s.
Figure 8.
Chronoamperometric behavior of Ce-BTC MOF/IL/CPE in PBS (0.1 M; pH = 7.0) at a potential of 300 mV for variable KTC contents (a–d: 0.1, 0.6, 1.1, and 1.5 mM). Insets: (A) plots of I vs. t−1/2; (B) plots of the slopes from the straight lines vs. KTC level.
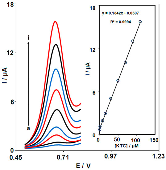
3.5. Standard Curve, Linear Dynamic Range, and Limit of Detection
The limit of detection and linear dynamic range were computed by the differential pulse voltammograms (DPVs). Figure 9 depicts the DPVs from Ce-BTC MOF/IL/CPE at variable KTC levels in 0.1 M PBS. The oxidation peak current of KTC was gradually boosted when the KTC concentration increased, verifying the high potency of the as-fabricated electrochemical sensor in the electro-oxidation of KTC. The changes in the peak currents of KTC oxidation on the Ce-BTC MOF/IL/CPE surface vs. the KTC content are presented in Figure 9 (inset). The linear dynamic range was as wide as 0.1–110.0 μM. Moreover, the limit of detection, Cm, of KTC was calculated using the following equation:
where m is the slope of the calibration plot (0.1342 μA/μM), and Sb is the standard deviation of the blank response which was obtained from 15 replicate measurements of the blank solution. The limit of detection obtained using this method was 0.04 μM.
Cm = 3Sb/m
Figure 9.
DPVs captured for the oxidation of variable KTC contents on the Ce-BTC MOF/IL/CPE under variable contents (a–i: 0.1, 1.0, 7.5, 15.0, 30.0, 50.0, 70.0, 90.0, and 110.0 µM). Inset: calibration curve of voltammetric response (Ipa) against KTC level.
A comparison of the electroanalytical parameters for KTC detection with those previously reported in the literature [8,65,66,67,68] is presented in Table 1.
Table 1.
Comparing the electroanalytical performance of the Ce-BTC MOF/IL/CPE with other electrochemical sensors for KTC determination.
3.6. Interference Study
The effect of several interference species on the determination of KTC was studied. The results show that the interfering effects of Zn2+, Fe3+, Cu2+, K+, Na+, Co2+, and Mg2+ ions, and glycerin, ascorbic acid, lactose, glucose, and sodium benzoate on the anodic peak current of KTC is less than 5%. Hence, the Ce-BTC MOF/IL/CPE sensor has a superior selectivity for KTC.
3.7. Real Sample Testing
The practical applicability of the as-fabricated modified electrode was analyzed by sensing KTC in pharmaceuticals and urine specimens in accordance with the standard addition method. Table 2 shows the obtained experimental data. The recovery rates were recorded between 96.7% and 103.6%, and the relative standard deviations were ˂3.5%, which show the potential of the as-fabricated electrode for sensing the KTC in the real matrices.
Table 2.
Voltammetric sensing of KTC in real specimens using Ce-BTC MOF/IL/CPE (n = 5).
4. Conclusions
In this study, for the first time, we modified the surface of the carbon paste electrode with the Ce-BTC MOF NS and ionic liquid for electrochemically sensing KTC. The as-developed electrode had high sensitivity and selectivity in detecting the study analyte, with a narrow limit of detection. The linear dynamic range was as broad as 0.1–110.0 μM (R2 = 0.9906), and the limit of detection was as narrow as 0.04 μM in the optimized setting. Further, the diffusion coefficient was 5 × 10−6 cm2/s, and the electron transfer coefficient was 0.49. The practical applicability of the as-fabricated modified electrode was confirmed by sensing KTC in real pharmaceuticals and urine specimens, with satisfactory recoveries.
Author Contributions
Conceptualization, S.T. and F.S.; data curation, B.A. and A.D.B.; formal analysis, S.T., F.S. and B.A.; funding acquisition, S.T. and A.D.B.; investigation, S.T. and F.S.; methodology, S.T., B.A. and A.D.B.; project administration, S.T.; resources, S.T. and A.D.B.; software, B.A.; supervision, S.T. and A.D.B.; validation, S.T. and A.D.B.; visualization, F.S. and B.A.; writing—original draft, S.T. and F.S.; writing—review and editing, S.T. and A.D.B. All authors have read and agreed to the published version of the manuscript.
Funding
This study was financially supported by the Research Center of Tropical and Infectious Diseases, Kerman University of Medical Sciences, Kerman, Iran (grant number: 401000319; research ethics committees’ code: IR.KMU.REC.1401.241). The APC was funded by A.D.B.
Data Availability Statement
The data presented in this study are available on request from the corresponding authors.
Conflicts of Interest
The authors declare no conflict of interest.
References
- Martindale, W. Martindale: The Extra Pharmacopeia; Reynolds, J.E.F., Ed.; The Pharmaceutical Press: London, UK, 1989. [Google Scholar]
- Tang, P.H. Drug monitoring and toxicology: Quantification of antifungal drug voriconazole in human plasma and serum by high-performance liquid chromatography with fluorescence detection. Glob. J. Med. Res. B 2017, 17, 292–300. [Google Scholar]
- Tyle, J.H.V. Ketoconazole; mechanism of action, spectrum of activity, pharmacokinetics, drug interactions, adverse reactions and therapeutic use. Pharmacotherapy 1984, 4, 343–373. [Google Scholar] [CrossRef]
- Daneshmend, T.K.; Warnock, D.W. Clinical pharmacokinetics of ketoconazole. Clin. Pharmacokinet. 1988, 14, 13–34. [Google Scholar] [CrossRef] [PubMed]
- Gupta, A.K.; Lyons, D.C. The rise and fall of oral ketoconazole. J. Cutaneous Med. Surg. 2015, 19, 352–357. [Google Scholar] [CrossRef] [PubMed]
- Kim, T.H.; Kim, B.H.; Kim, Y.W.; Yang, D.M.; Han, Y.S.; Dong, S.H.; Kim, H.J.; Chang, Y.W.; Lee, J.I.; Chang, R. Liver cirrhosis developed after ketoconazole-induced acute hepatic injury. J. Gastroenterol. Hepatol. 2003, 18, 1426–1429. [Google Scholar] [CrossRef] [PubMed]
- Meredith, C.; Maldonado, A.; Speeg, K. The effect of ketoconazole on hepatic oxidative drug metabolism in the rat in vivo and in vitro. Drug Metab. Dispos. 1985, 13, 156–162. [Google Scholar]
- Saleh, T.A.; AlAqad, K.M.M.; Rahim, A. Electrochemical sensor for the determination of ketoconazole based on gold nanoparticles modified carbon paste electrode. J. Mol. Liq. 2018, 256, 39–48. [Google Scholar] [CrossRef]
- Chappell, J.; Mattox, A.; Simonetta, C.; Armbrecht, E.; Guo, M. Seborrheic dermatitis of the scalp in populations practicing less frequent hair washing: Ketoconazole 2% foam versus ketoconazole 2% shampoo. J. Am. Acad. Dermatol. 2014, 70, Ab54. [Google Scholar]
- Koc, E.; Arca, E.; Kose, O.; Akar, A. An open randomized, prospective, comparative study of topical pimecrolimus 1% cream and topical ketoconazole 2% cream in the treatment of seborrheic dermatitis. J. Dermatol. Treat. 2009, 20, 4–9. [Google Scholar] [CrossRef]
- Faergemann, J.; Borgers, M.; Degreef, H. A new ketoconazole topical gel formulation in seborrheic dermatitis: An updated review of the mechanism. Expert Opin. Pharmacol. 2007, 8, 1365–1371. [Google Scholar] [CrossRef]
- Gordien, J.B.; Pigneux, A.; Vigouroux, S.; Tabrizi, R.; Accoberry, I.; Bernadou, J.M.; Rouault, A.; Saux, M.C.; Breilh, D. Simultaneous determination of five systemic azoles in plasma by high-performance liquid chromatography with ultraviolet detection. J. Pharm. Biomed. Anal. 2009, 50, 932–938. [Google Scholar] [CrossRef] [PubMed]
- Heyden, Y.V.; Nguyen, A.; Nguyet, M.; Detaevernier, M.R.; Massart, D.L.; Plaizier-Vercammen, J. Simultaneous determination of ketoconazole and formaldehyde in a shampoo: Liquid chromatography method development and validation. J. Chromatogr. A 2002, 958, 191–201. [Google Scholar] [CrossRef]
- Nguyen, A.; Nguyet, M.; Van Nederkassel, A.M.; Tallieu, L.; Kuttatharmmakul, S.; Hund, E.; Hu, Y.; Smeyers-Verbeke, J.; Heyden, Y.V. Statistical method comparison: Short- and long-column liquid chromatography assays of ketoconazole and formaldehyde in shampoo. Anal. Chim. Acta 2004, 516, 87–106. [Google Scholar] [CrossRef]
- Nguyen, A.; Nguyet, M.; Tallieu, L.; Plaizier-Vercammen, J.; Massart, D.L.; Hey-den, Y.V. Validation of an HPLC method on short columns to assay ketoconazole and formaldehyde in shampoo. J. Pharm. Biomed. Anal. 2003, 32, 1–19. [Google Scholar] [CrossRef]
- Khashaba, P.Y.; El-Shabouri, S.R.; Emara, K.M.; Mohamed, A.M. Analysis of some antifungal drugs by spectrophotometric and spectrofluorimetric methods in different pharmaceutical dosage forms. J. Pharm. Biomed. Anal. 2000, 22, 363–376. [Google Scholar] [CrossRef]
- Pandeeswaran, M.; Elango, K.P. Electronic, Raman and FT-IR spectral investigations of the charge transfer interactions between ketoconazole and povidone drugs with iodine. Spectrochim. Acta Part A 2009, 72, 789–795. [Google Scholar] [CrossRef]
- Arranz, A.; Echevarria, C.; Moreda, J.M.; Cid, A.; Arranz, J.F. Capillary zone electrophoretic separation and determination of imidazolic antifungal drugs. J. Chromatogr. A 2000, 871, 399–402. [Google Scholar] [CrossRef]
- Eren, T.; Atar, N.; Yola, M.L.; Karimi-Maleh, H. A sensitive molecularly imprinted polymer based quartz crystal microbalance nanosensor for selective determination of lovastatin in red yeast rice. Food Chem. 2015, 185, 430–436. [Google Scholar] [CrossRef] [PubMed]
- Tajik, S.; Orooji, Y.; Ghazanfari, Z.; Karimi, F.; Beitollahi, H.; Varma, R.S.; Shokouhimehr, M. Nanomaterials modified electrodes for electrochemical detection of Sudan I in food. J. Food Meas. Charact. 2021, 15, 3837–3852. [Google Scholar] [CrossRef]
- Mehdizadeh, Z.; Shahidi, S.; Ghorbani-HasanSaraei, A.; Limooei, M.; Bijad, M. Monitoring of Amaranth in Drinking Samples using Voltammetric Amplified Electroanalytical Sensor. Chem. Methodol. 2022, 6, 246–252. [Google Scholar]
- Karimi-Maleh, H.; Shojaei, A.F.; Tabatabaeian, K.; Karimi, F.; Shakeri, S.; Moradi, R. Simultaneous determination of 6-mercaptopruine, 6-thioguanine and dasatinib as three important anticancer drugs using nanostructure voltammetric sensor employing Pt/MWCNTs and 1-butyl-3-methylimidazolium hexafluoro phosphate. Biosens. Bioelectron. 2016, 86, 879–884. [Google Scholar] [CrossRef] [PubMed]
- Khand, N.H.; Palabiyik, I.M.; Buledi, J.A.; Ameen, S.; Memon, A.F.; Ghumro, T.; Solangi, A.R. Functional Co3O4 nanostructure-based electrochemical sensor for direct determination of ascorbic acid in pharmaceutical samples. J. Nanostruct. Chem. 2021, 11, 455–468. [Google Scholar] [CrossRef]
- Shamsi, A.; Ahour, F. Electrochemical sensing of thioridazine in human serum samples using modified glassy carbon electrode. Adv. J. Chem. A 2021, 4, 22–31. [Google Scholar]
- Beitollahi, H.; Tajik, S.; Dourandish, Z.; Garkani Nejad, F. Simple Preparation and Characterization of Hierarchical Flower-like NiCo2O4 Nanoplates: Applications for Sunset Yellow Electrochemical Analysis. Biosensors 2022, 12, 912. [Google Scholar] [CrossRef] [PubMed]
- Karimi-Maleh, H.; Karimi, F.; Orooji, Y.; Mansouri, G.; Razmjou, A.; Aygun, A.; Sen, F. A new nickel-based co-crystal complex electrocatalyst amplified by NiO dope Pt nanostructure hybrid; a highly sensitive approach for determination of cysteamine in the presence of serotonin. Sci. Rep. 2020, 10, 11699. [Google Scholar] [CrossRef]
- Lima, G.V.; dos Santos Mello, L.; Dockal, E.R.; de Oliveira, M.F. Electrochemical determination of ethanol on carbon paste electrode chemically modified with [N,N′-cis-1,2-cyclohexylene bis (salicylideneaminate)] nickel(II) Schiff base complex. Microchem. J. 2022, 175, 107209. [Google Scholar] [CrossRef]
- Ali, A.E.; Abbas, A.A.; Mohamed, G.G. Synthesis and surface characterization of a chemically modified carbon paste electrode and its application in determination of Hg(II) ions in water, food and dental amalgam samples. Microchem. J. 2022, 184, 108178. [Google Scholar] [CrossRef]
- Sengar, M.S.; Saxena, S.; Satsangee, S.P.; Jain, R. Silver nanoparticles decorated functionalized multiwalled carbon nanotubes modified screen printed sensor for voltammetric determination of butorphanol. J. Appl. Organomet. Chem. 2021, 1, 95–108. [Google Scholar]
- Zhao, G.; Wang, X.; Liu, G.; Cao, Y.; Liu, N.; Thuy, N.T.D.; Zhang, L.; Yu, M. A flexible and disposable electrochemical sensor for the evaluation of arsenic levels: A new and efficient method for the batch fabrication of chemically modified electrodes. Anal. Chim. Acta 2022, 1194, 339413. [Google Scholar] [CrossRef]
- Ismaeel, S.A.; Al-Bayati, Y.K. Determination of trace metformin in pharmaceutical preparation using molecularly imprinted polymer based pvc-membrane. Eurasian Chem. Commun. 2021, 3, 812–830. [Google Scholar]
- Sajid, M.; Baig, N.; Alhooshani, K. Chemically modified electrodes for electrochemical detection of dopamine: Challenges and opportunities. TrAC-Trends Anal. Chem. 2019, 118, 368–385. [Google Scholar] [CrossRef]
- Murugan, E.; Dhamodharan, A. MoS2/PANI/f-MWCNTs ternary nanocomposite modified electrode for selective and concomitant sensing of vanillin, theophylline and caffeine. Diam. Relat. Mater. 2022, 128, 109268. [Google Scholar] [CrossRef]
- Peyman, H.; Roshanfekr, H.; Babakhanian, A.; Jafari, H. PVC membrane electrode modified by lawson as synthetic derivative ionophore for determination of cadmium in alloy and wastewater. Chem. Methodol. 2021, 5, 446–453. [Google Scholar]
- Alavi-Tabari, S.A.; Khalilzadeh, M.A.; Karimi-Maleh, H. Simultaneous determination of doxorubicin and dasatinib as two breast anticancer drugs uses an amplified sensor with ionic liquid and ZnO nanoparticle. J. Electroanal. Chem. 2018, 811, 84–88. [Google Scholar] [CrossRef]
- Jalali Sarvestani, M.R.; Madrakian, T.; Afkhami, A. Ultra-trace levels voltammetric determination of Pb2+ in the presence of Bi3+ at food samples by a Fe3O4@Schiff base Network1 modified glassy carbon electrode. Talanta 2022, 250, 123716. [Google Scholar] [CrossRef]
- Valian, M.; Khoobi, A.; Salavati-Niasari, M. Synthesis, characterization and electrochemical sensors application of Tb2Ti2O7 nanoparticle modified carbon paste electrode for the sensing of mefenamic acid drug in biological samples and pharmaceutical industry wastewater. Talanta 2022, 247, 123593. [Google Scholar] [CrossRef]
- Beitollahi, H.; Tajik, S.; Di Bartolomeo, A. Application of MnO2 Nanorod–Ionic Liquid Modified Carbon Paste Electrode for the Voltammetric Determination of Sulfanilamide. Micromachines 2022, 13, 598. [Google Scholar] [CrossRef] [PubMed]
- Švancara, I.; Vytřas, K.; Kalcher, K.; Walcarius, A.; Wang, J. Carbon Paste Electrodes in Facts, Numbers, and Notes: A Review on the Occasion of the 50-Years Jubilee of Carbon Paste in Electrochemistry and Electroanalysis. Electroanalysis 2009, 21, 7–28. [Google Scholar] [CrossRef]
- Mohammadi, S.; Beitollahi, H.; Mohadesi, A. Electrochemical behaviour of a modified carbon nanotube paste electrode and its application for simultaneous determination of epinephrine, uric acid and folic acid. Sens. Lett. 2013, 11, 388–394. [Google Scholar] [CrossRef]
- Joshi, P.; Mehtab, S.; Zaidi, M.G.H.; Tyagi, T.; Bisht, A. Development of polyindole/tungsten carbide nanocomposite-modified electrodes for electrochemical quantification of chlorpyrifos. J. Nanostruct. Chem. 2020, 10, 33–45. [Google Scholar] [CrossRef]
- Karimi-Maleh, H.; Darabi, R.; Shabani-Nooshabadi, M.; Baghayeri, M.; Karimi, F.; Rouhi, J.; Karaman, C. Determination of D&C Red 33 and Patent Blue V Azo dyes using an impressive electrochemical sensor based on carbon paste electrode modified with ZIF-8/g-C3N4/Co and ionic liquid in mouthwash and toothpaste as real samples. Food Chem. Toxicol. 2022, 162, 112907. [Google Scholar]
- Hosseini Fakhrabad, A.; Sanavi Khoshnood, R.; Abedi, M.R.; Ebrahimi, M. Fabrication a composite carbon paste electrodes (CPEs) modified with multi-wall carbon nano-tubes (MWCNTs/N,N-Bis (salicyliden)-1,3-propandiamine) for determination of lanthanum (III). Eurasian Chem. Commun. 2021, 3, 627–634. [Google Scholar]
- Tajik, S.; Beitollahi, H.; Nejad, F.G.; Shoaie, I.S.; Khalilzadeh, M.A.; Asl, M.S.; Shokouhimehr, M. Recent developments in conducting polymers: Applications for electrochemistry. RSC Adv. 2020, 10, 37834–37856. [Google Scholar] [CrossRef] [PubMed]
- Piri, F.; Merajoddin, M.; Piri, S.; Mokarian, Z. Synthesis WO3 nanoparticle via the electrochemical method and study its super-hydrophobicity properties. Asian J. Nanosci. Mater. 2021, 4, 240–245. [Google Scholar]
- Tajik, S.; Beitollahi, H.; Nejad, F.G.; Kirlikovali, K.O.; Van Le, Q.; Jang, H.W.; Shokouhimehr, M. Recent electrochemical applications of metal–organic framework-based materials. Cryst. Growth Des. 2020, 20, 7034–7064. [Google Scholar] [CrossRef]
- Kajal, N.; Singh, V.; Gupta, R.; Gautam, S. Metal organic frameworks for electrochemical sensor applications: A review. Environ. Res. 2022, 204 Pt C, 112320. [Google Scholar] [CrossRef]
- Ahmadi, M.; Ebrahimnia, M.; Shahbazi, M.-A.; Keçili, R.; Ghorbani-Bidkorbeh, F. Microporous metal–organic frameworks: Synthesis and applications. J. Ind. Eng. Chem. 2022, 115, 1–11. [Google Scholar] [CrossRef]
- Pashazadeh, S.; Habibi, B. Determination of isoniazid by a copper-based metal-organic frameworks/carbon nitride quantum dots modified pencil graphite electrode as a highly sensitive and selective sensor. J. Electroanal. Chem. 2020, 876, 114493. [Google Scholar]
- Ahmadi, A.; Khoshfetrat, S.M.; Mirzaeizadeh, Z.; Kabiri, S.; Rezaie, J.; Omidfar, K. Electrochemical immunosensor for determination of cardiac troponin I using two-dimensional metal-organic framework/Fe3O4–COOH nanosheet composites loaded with thionine and pCTAB/DES modified electrode. Talanta 2022, 237, 122911. [Google Scholar] [CrossRef] [PubMed]
- Habibi, B.; Pashazadeh, A.; Saghatforoush, L.A. Zn-mesoporous metal-organic framework incorporated with copper ions modified glassy carbon electrode: Electrocatalytic oxidation and determination of amoxicillin. Microchem. J. 2021, 164, 106011. [Google Scholar] [CrossRef]
- Mahmoud, A.M.; Mahnashi, M.H.; El-Wekil, M.M. Indirect differential pulse voltammetric analysis of cyanide at porous copper based metal organic framework modified carbon paste electrode: Application to different water samples. Talanta 2021, 221, 121562. [Google Scholar] [CrossRef]
- Ehzari, H.; Amiri, M.; Safari, M. Enzyme-free sandwich-type electrochemical immunosensor for highly sensitive prostate specific antigen based on conjugation of quantum dots and antibody on surface of modified glassy carbon electrode with core–shell magnetic metal-organic frameworks. Talanta 2020, 210, 120641. [Google Scholar] [CrossRef] [PubMed]
- Chen, Y.; Li, S.B.; Zhang, L.; Jing, T.; Wang, J.; Zhao, L.; Li, F.; Li, C.; Sun, J. Facile and fast synthesis of three-dimensional Ce-MOF/Ti3C2TX MXene composite for high performance electrochemical sensing of L-Tryptophan. J. Solid State Chem. 2022, 22, 122919. [Google Scholar] [CrossRef]
- Zhang, L.; Sun, M.; Jing, T.; Li, S.; Ma, H. The strategy of cell extract based metal organic frameworks (CE-MOF) for improved enzyme characteristics. Enzyme Microb. Technol. 2023, 162, 110134. [Google Scholar]
- Kaur, G.; Kumar, H.; Singla, M. Diverse applications of ionic liquids: A comprehensive review. J. Mol. Liq. 2022, 351, 118556. [Google Scholar] [CrossRef]
- Zaeifi, F.; Sedaghati, F.; Samari, F. A new electrochemical sensor based on green synthesized CuO nanostructures modified carbon ionic liquid electrode for electrocatalytic oxidation and monitoring of l-cysteine. Microchem. J. 2022, 183, 107969. [Google Scholar] [CrossRef]
- Daneshvar, L.; Rounaghi, G.; E’shaghi, Z.; Chamsaza, M.; Tarahomi, S. Electrochemical determination of carbamazepin in the presence of paracetamol using a carbon ionic liquid paste electrode modified with a three-dimensional graphene/MWCNT hybrid composite film. J. Mol. Liq. 2016, 215, 316–322. [Google Scholar] [CrossRef]
- Yildiz, E.; Yurdacan, B.; Erac, Y.; Erdem, A. Diagnostic kit based on halloysite nanoclay-ionic liquid nanocomposite modified electrode for electrochemical determination of cancer biomarker. Talanta 2023, 252, 123854. [Google Scholar] [CrossRef] [PubMed]
- Roostaee, M.; Beitollahi, H.; Sheikhshoaie, I. Simultaneous Determination of Dopamine and Uric Acid in Real Samples Using a Voltammetric Nanosensor Based on Co-MOF, Graphene Oxide, and 1-Methyl-3-butylimidazolium Bromide. Micromachines 2022, 13, 1834. [Google Scholar] [CrossRef]
- Bugatti, V.; Viscusi, G.; Di Bartolomeo, A.; Iemmo, L.; Zampino, D.C.; Vittoria, V.; Gorrasi, G. Ionic liquid as dispersing agent of LDH-carbon nanotubes into a biodegradable vinyl alcohol polymer. Polymers 2020, 12, 495. [Google Scholar] [CrossRef]
- Tajik, S.; Afshar, A.A.; Shamsaddini, S.; Askari, M.B.; Dourandish, Z.; Garkani Nejad, F.; Beitollahi, H.; Di Bartolomeo, A. Fe3O4@MoS2/rGO Nanocomposite/Ionic Liquid Modified Carbon Paste Electrode for Electrochemical Sensing of Dasatinib in the Presence of Doxorubicin. Ind. Eng. Chem. Res. 2022. [Google Scholar] [CrossRef]
- Liu, K.; You, H.; Jia, G.; Zheng, Y.; Huang, Y.; Song, Y.; Yang, M.; Zhang, L.; Zhang, H. Hierarchically Nanostructured Coordination Polymer: Facile and Rapid Fabrication and Tunable Morphologies. Cryst. Growth Des. 2010, 10, 790–797. [Google Scholar] [CrossRef]
- Bard, A.J.; Faulkner, L.R. Electrochemical Methods Fundamentals and Applications, 2nd ed.; Wiley: New York, NY, USA, 2001. [Google Scholar]
- Borowiec, J.; Wei, L.; Zhu, L.; Zhang, J. Multi-walled carbon nanotubes modified glassy carbon electrode for sensitive determination of ketoconazole. Anal. Methods 2012, 4, 444–448. [Google Scholar] [CrossRef]
- Alshalalfeh, M.M.; Sohail, M.; Saleh, T.A.; Aziz, M.A. Electrochemical investigation of gold nanoparticle-modified glassy carbon electrode and its application in ketoconazole determination. Aust. J. Chem. 2016, 69, 1314–1320. [Google Scholar] [CrossRef]
- El Ries, M.A.; Ghany, M.A.; Hussin, L.A.; El-Anwar, F.M.; Mohamed, A.M. Voltammetric behavior of ketoconazole and its determination in cosmetic preparation using a β-cyclodextrin modified glassy carbon electrode. Bull. Fac. Pharm. Cairo Univ. 2013, 51, 49–55. [Google Scholar] [CrossRef]
- Haque, M.A.; Akanda, M.R.; Hossain, D.; Haque, M.A.; Buliyaminu, I.A.; Basha, S.I.; Aziz, M.A. Preparation and characterization of Bhant leaves-derived nitrogen-doped carbon and its use as an electrocatalyst for detecting ketoconazole. Electroanalysis 2020, 32, 528–535. [Google Scholar] [CrossRef]
Disclaimer/Publisher’s Note: The statements, opinions and data contained in all publications are solely those of the individual author(s) and contributor(s) and not of MDPI and/or the editor(s). MDPI and/or the editor(s) disclaim responsibility for any injury to people or property resulting from any ideas, methods, instructions or products referred to in the content. |
© 2023 by the authors. Licensee MDPI, Basel, Switzerland. This article is an open access article distributed under the terms and conditions of the Creative Commons Attribution (CC BY) license (https://creativecommons.org/licenses/by/4.0/).








