Observation of Dirac Charge-Density Waves in Bi2Te2Se
Abstract
1. Introduction
Electronic Structure and Electron-Phonon Coupling
2. Experimental Details
3. Results and Discussion
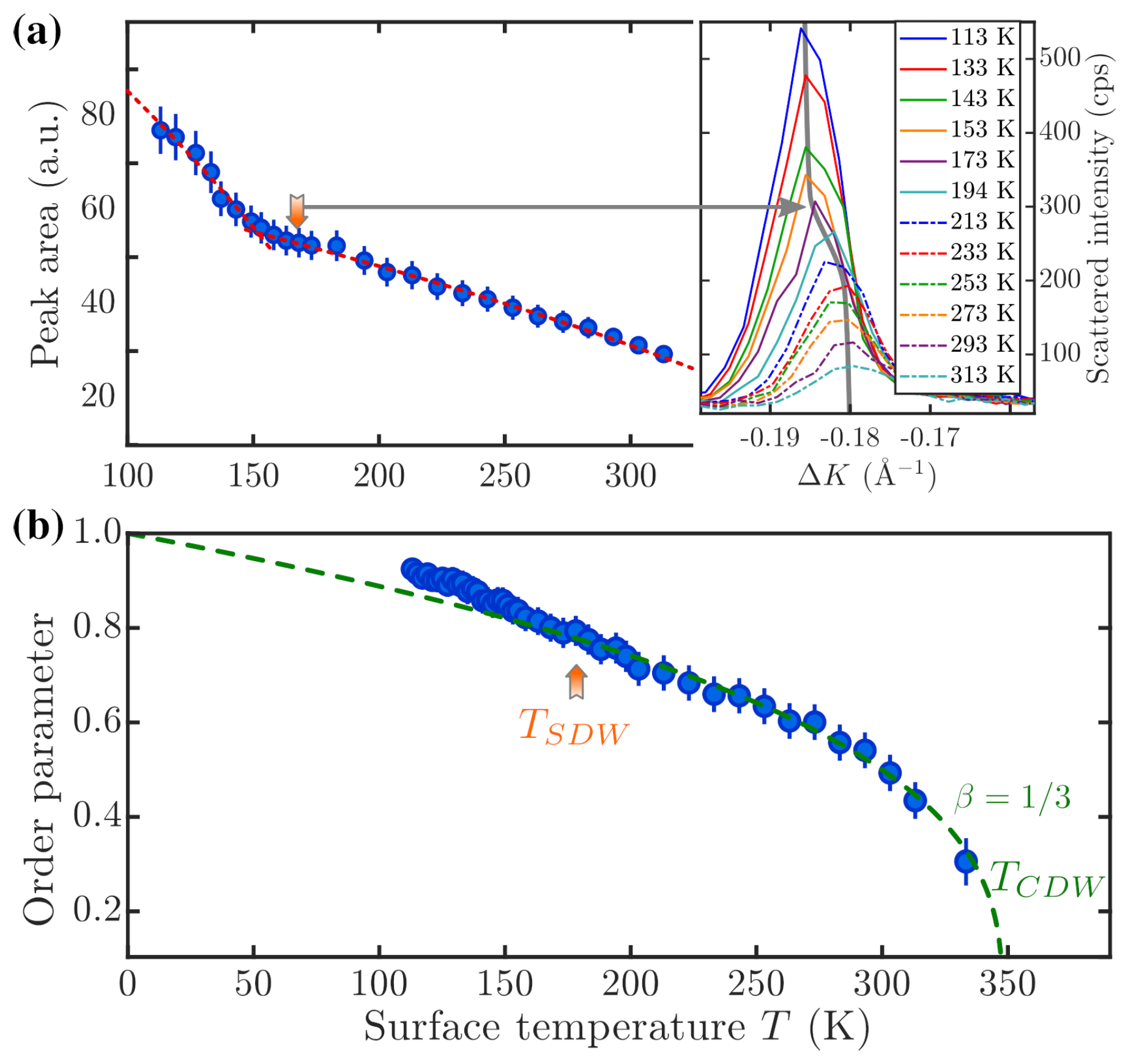
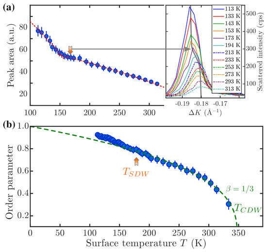
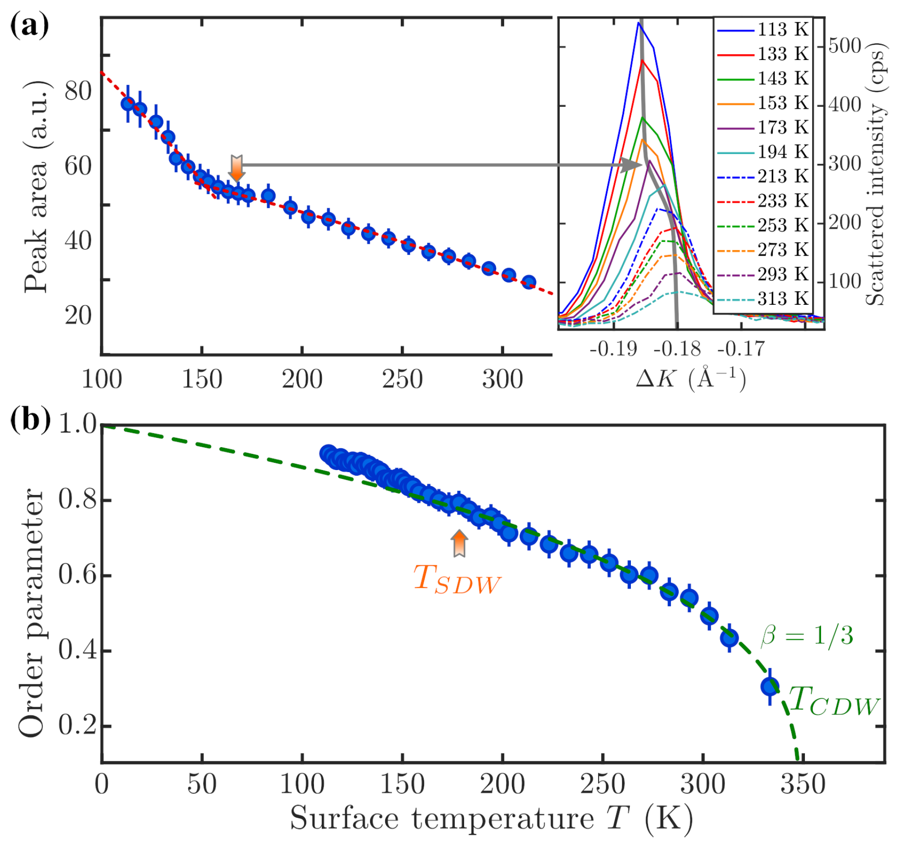
3.1. Surface CDW Order
3.2. CDW Temperature Dependence
3.3. Diffraction and the Role of Spin-Orbit Coupling
4. Summary and Conclusions
Author Contributions
Funding
Data Availability Statement
Acknowledgments
Conflicts of Interest
Appendix A. Experimental Details

Appendix B. CDW Satellite Peaks and Anomalous Debye Attenuation

References
- Inosov, D.S.; Zabolotnyy, V.B.; Evtushinsky, D.V.; Kordyuk, A.A.; Büchner, B.; Follath, R.; Berger, H.; Borisenko, S.V. Fermi surface nesting in several transition metal dichalcogenides. New J. Phys. 2008, 10, 125027. [Google Scholar] [CrossRef]
- Arnold, F.; Isidori, A.; Kampert, E.; Yager, B.; Eschrig, M.; Saunders, J. Charge Density Waves in Graphite: Towards the Magnetic Ultraquantum Limit. Phys. Rev. Lett. 2017, 119, 136601. [Google Scholar] [CrossRef]
- Hall, J.; Ehlen, N.; Berges, J.; van Loon, E.; van Efferen, C.; Murray, C.; Rösner, M.; Li, J.; Senkovskiy, B.V.; Hell, M.; et al. Environmental Control of Charge Density Wave Order in Monolayer 2H-TaS2. ACS Nano 2019, 13, 10210–10220. [Google Scholar] [CrossRef] [PubMed]
- Wang, S.Z.; Zhang, Y.M.; Fan, J.Q.; Ren, M.Q.; Song, C.L.; Ma, X.C.; Xue, Q.K. Charge density waves and Fermi level pinning in monolayer and bilayer SnSe2. Phys. Rev. B 2020, 102, 241408. [Google Scholar] [CrossRef]
- Shi, W.; Wieder, B.J.; Meyerheim, H.L.; Sun, Y.; Zhang, Y.; Li, Y.; Shen, L.; Qi, Y.; Yang, L.; Jena, J.; et al. A charge-density-wave topological semimetal. Nat. Phys. 2021, 17, 381–387. [Google Scholar] [CrossRef]
- Tang, F.; Ren, Y.; Wang, P.; Zhong, R.; Schneeloch, J.; Yang, S.A.; Yang, K.; Lee, P.A.; Gu, G.; Qiao, Z.; et al. Three-dimensional quantum Hall effect and metal-insulator transition in ZrTe5. Nature 2019, 569, 537–541. [Google Scholar] [CrossRef] [PubMed]
- Johannes, M.D.; Mazin, I.I. Fermi surface nesting and the origin of charge density waves in metals. Phys. Rev. B 2008, 77, 165135. [Google Scholar] [CrossRef]
- Rossnagel, K. On the origin of charge-density waves in select layered transition-metal dichalcogenides. J. Phys. Condens. Matter 2011, 23, 213001. [Google Scholar] [CrossRef]
- Gabovich, A.M.; Voitenko, A.I.; Annett, J.F.; Ausloos, M. Charge- and spin-density-wave superconductors. Supercond. Sci. Technol. 2001, 14, R1–R27. [Google Scholar] [CrossRef]
- Fishman, R.S.; Liu, S.H. Effect of impurities on the magnetic ordering in chromium. Phys. Rev. B 1992, 45, 12306–12318. [Google Scholar] [CrossRef]
- Kundu, S.; Sénéchal, D. Spin density wave order in interacting type-I and type-II Weyl semimetals. Phys. Rev. B 2021, 103, 085136. [Google Scholar] [CrossRef]
- Bradlyn, B.; Elcoro, L.; Cano, J.; Vergniory, M.G.; Wang, Z.; Felser, C.; Aroyo, M.I.; Bernevig, B.A. Topological quantum chemistry. Nature 2017, 547, 298–305. [Google Scholar] [CrossRef] [PubMed]
- Bansil, A.; Lin, H.; Das, T. Colloquium: Topological band theory. Rev. Mod. Phys. 2016, 88, 021004. [Google Scholar] [CrossRef]
- Hasan, M.Z.; Xu, S.Y.; Bian, G. Topological insulators, topological superconductors and Weyl fermion semimetals: Discoveries, perspectives and outlooks. Phys. Scr. 2015, T164, 014001. [Google Scholar] [CrossRef]
- Ando, Y. Topological Insulator Materials. J. Phys. Soc. Jpn. 2013, 82, 102001. [Google Scholar] [CrossRef]
- Qi, X.L.; Zhang, S.C. Topological insulators and superconductors. Rev. Mod. Phys. 2011, 83, 1057–1110. [Google Scholar] [CrossRef]
- Hasan, M.Z.; Kane, C.L. Colloquium: Topological insulators. Rev. Mod. Phys. 2010, 82, 3045–3067. [Google Scholar] [CrossRef]
- Moore, J.E. The birth of topological insulators. Nature 2010, 464, 194–198. [Google Scholar] [CrossRef]
- Chen, Y.L.; Analytis, J.G.; Chu, J.H.; Liu, Z.K.; Mo, S.K.; Qi, X.L.; Zhang, H.J.; Lu, D.H.; Dai, X.; Fang, Z.; et al. Experimental Realization of a Three-Dimensional Topological Insulator, Bi2Te3. Science 2009, 325, 178–181. [Google Scholar] [CrossRef]
- Tamtögl, A.; Campi, D.; Bremholm, M.; Hedegaard, E.M.J.; Iversen, B.B.; Bianchi, M.; Hofmann, P.; Marzari, N.; Benedek, G.; Ellis, J.; et al. Nanoscale Surface Dynamics of Bi2Te3(111): Observation of a Prominent Surface Acoustic Wave and the Role of van der Waals Interactions. Nanoscale 2018, 10, 14627–14636. [Google Scholar] [CrossRef]
- Li, Y.; Parsons, C.; Ramakrishna, S.K.; Dwivedi, A.P.; Schofield, M.A.; Reyes, A.P.; Guptasarma, P. Discovery of Charge Density Wave Order in the Topological Insulator Bi2Se3. arXiv 2020, arXiv:2002.12546. [Google Scholar] [CrossRef]
- Lawson, B.J.; Corbae, P.; Li, G.; Yu, F.; Asaba, T.; Tinsman, C.; Qiu, Y.; Medvedeva, J.E.; Hor, Y.S.; Li, L. Multiple Fermi surfaces in superconducting Nb-doped Bi2Se3. Phys. Rev. B 2016, 94, 041114. [Google Scholar] [CrossRef]
- Kevy, S.M.; Lund, H.E.; Wollesen, L.; Dalgaard, K.J.; Hsu, Y.T.; Wiedmann, S.; Bianchi, M.; Holt, A.J.U.; Curcio, D.; Biswas, D.; et al. Structural and electronic inhomogeneity of superconducting Nb-doped Bi2Se3. Phys. Rev. B 2021, 103, 085107. [Google Scholar] [CrossRef]
- Miyamoto, K.; Kimura, A.; Okuda, T.; Miyahara, H.; Kuroda, K.; Namatame, H.; Taniguchi, M.; Eremeev, S.V.; Menshchikova, T.V.; Chulkov, E.V.; et al. Topological Surface States with Persistent High Spin Polarization across the Dirac Point in Bi2Te2Se and Bi2Se2Te. Phys. Rev. Lett. 2012, 109, 166802. [Google Scholar] [CrossRef]
- Nurmamat, M.; Krasovskii, E.E.; Kuroda, K.; Ye, M.; Miyamoto, K.; Nakatake, M.; Okuda, T.; Namatame, H.; Taniguchi, M.; Chulkov, E.V.; et al. Unoccupied topological surface state in Bi2Te2Se. Phys. Rev. B 2013, 88, 081301. [Google Scholar] [CrossRef]
- Tamtögl, A.; Kraus, P.; Mayrhofer-Reinhartshuber, M.; Benedek, G.; Bernasconi, M.; Dragoni, D.; Campi, D.; Ernst, W.E. Statics and dynamics of multivalley charge density waves in Sb(111). NPJ Quantum Mater. 2019, 4, 28. [Google Scholar] [CrossRef]
- Zhu, X.; Cao, Y.; Zhang, J.; Plummer, E.W.; Guo, J. Classification of charge density waves based on their nature. Proc. Natl. Acad. Sci. USA 2015, 112, 2367–2371. [Google Scholar] [CrossRef]
- Ghim, M.; Jhi, S.H. Kohn anomalies in topological insulator thin films: First-principles study. J. Phys. Condens. Matter 2022, 34, 265002. [Google Scholar] [CrossRef]
- Ren, Z.; Taskin, A.A.; Sasaki, S.; Segawa, K.; Ando, Y. Large bulk resistivity and surface quantum oscillations in the topological insulator Bi2Te2Se. Phys. Rev. B 2010, 82, 241306. [Google Scholar] [CrossRef]
- Gehring, P.; Gao, B.F.; Burghard, M.; Kern, K. Growth of High-Mobility Bi2Te2Se Nanoplatelets on hBN Sheets by van der Waals Epitaxy. Nano Lett. 2012, 12, 5137. [Google Scholar] [CrossRef]
- Barreto, L.; Kühnemund, L.; Edler, F.; Tegenkamp, C.; Mi, J.; Bremholm, M.; Iversen, B.B.; Frydendahl, C.; Bianchi, M.; Hofmann, P. Surface-Dominated Transport on a Bulk Topological Insulator. Nano Lett. 2014, 14, 3755–3760. [Google Scholar] [CrossRef] [PubMed]
- Shekhar, C.; ViolBarbosa, C.E.; Yan, B.; Ouardi, S.; Schnelle, W.; Fecher, G.H.; Felser, C. Evidence of surface transport and weak antilocalization in a single crystal of the Bi2Te2Se topological insulator. Phys. Rev. B 2014, 90, 165140. [Google Scholar] [CrossRef]
- Cao, H.; Liu, C.; Tian, J.; Xu, Y.; Miotkowski, I.; Hasan, M.Z.; Chen, Y.P. Controlling and Distinguishing Electronic Transport of Topological and Trivial Surface States in a Topological Insulator. arXiv 2014, arXiv:1409.3217. [Google Scholar]
- Arakane, T.; Sato, T.; Souma, S.; Kosaka, K.; Nakayama, K.; Komatsu, M.; Takahashi, T.; Ren, Z.; Segawa, K.; Ando, Y. Tunable Dirac cone in the topological insulator Bi2-xSbxTe3-ySey. Nat. Commun. 2012, 3, 636. [Google Scholar] [CrossRef]
- Neupane, M.; Xu, S.Y.; Wray, L.A.; Petersen, A.; Shankar, R.; Alidoust, N.; Liu, C.; Fedorov, A.; Ji, H.; Allred, J.M.; et al. Topological surface states and Dirac point tuning in ternary topological insulators. Phys. Rev. B 2012, 85, 235406. [Google Scholar] [CrossRef]
- Maaß, H.; Schreyeck, S.; Schatz, S.; Fiedler, S.; Seibel, C.; Lutz, P.; Karczewski, G.; Bentmann, H.; Gould, C.; Brunner, K.; et al. Electronic structure and morphology of epitaxial Bi2Te2Se topological insulator films. J. Appl. Phys. 2014, 116, 193708. [Google Scholar] [CrossRef]
- Frantzeskakis, E.; de Jong, N.; Zwartsenberg, B.; Bay, T.V.; Huang, Y.K.; Ramankutty, S.V.; Tytarenko, A.; Wu, D.; Pan, Y.; Hollanders, S.; et al. Dirac states with knobs on: Interplay of external parameters and the surface electronic properties of three-dimensional topological insulators. Phys. Rev. B 2015, 91, 205134. [Google Scholar] [CrossRef]
- Michiardi, M.; Bianchi, M.; Dendzik, M.; Miwa, J.A.; Hoesch, M.; Kim, T.K.; Matzen, P.; Mi, J.; Bremholm, M.; Iversen, B.B.; et al. Strongly anisotropic spin-orbit splitting in a two-dimensional electron gas. Phys. Rev. B 2015, 91, 035445. [Google Scholar] [CrossRef]
- Thomas, C.R.; Vallon, M.K.; Frith, M.G.; Sezen, H.; Kushwaha, S.K.; Cava, R.J.; Schwartz, J.; Bernasek, S.L. Surface Oxidation of Bi2(Te,Se)3 Topological Insulators Depends on Cleavage Accuracy. Chem. Mater. 2016, 28, 35–39. [Google Scholar] [CrossRef]
- Frantzeskakis, E.; Ramankutty, S.V.; de Jong, N.; Huang, Y.K.; Pan, Y.; Tytarenko, A.; Radovic, M.; Plumb, N.C.; Shi, M.; Varykhalov, A.; et al. Trigger of the Ubiquitous Surface Band Bending in 3D Topological Insulators. Phys. Rev. X 2017, 7, 041041. [Google Scholar] [CrossRef]
- Papalazarou, E.; Khalil, L.; Caputo, M.; Perfetti, L.; Nilforoushan, N.; Deng, H.; Chen, Z.; Zhao, S.; Taleb-Ibrahimi, A.; Konczykowski, M.; et al. Unraveling the Dirac fermion dynamics of the bulk-insulating topological system Bi2Te2Se. Phys. Rev. Mater. 2018, 2, 104202. [Google Scholar] [CrossRef]
- Mi, J.L.; Bremholm, M.; Bianchi, M.; Borup, K.; Johnsen, S.; Søndergaard, M.; Guan, D.; Hatch, R.C.; Hofmann, P.; Iversen, B.B. Phase Separation and Bulk p-n Transition in Single Crystals of Bi2Te2Se Topological Insulator. Adv. Mater. 2013, 25, 889–893. [Google Scholar] [CrossRef]
- Farías, D.; Rieder, K.H. Atomic beam diffraction from solid surfaces. Rep. Prog. Phys. 1998, 61, 1575. [Google Scholar] [CrossRef]
- Bracco, G.; Holst, B. (Eds.) Springer Series in Surface Science. In Surface Science Techniques; Springer: Berlin, Germany, 2013; Volume 51. [Google Scholar] [CrossRef]
- Tamtögl, A.; Ruckhofer, A.; Campi, D.; Allison, W.; Ernst, W.E. Atom-surface van der Waals potentials of topological insulators and semimetals from scattering measurements. Phys. Chem. Chem. Phys. 2021, 23, 7637–7652. [Google Scholar] [CrossRef]
- Holst, B.; Alexandrowicz, G.; Avidor, N.; Benedek, G.; Bracco, G.; Ernst, W.E.; Farías, D.; Jardine, A.P.; Lefmann, K.; Manson, J.R.; et al. Material properties particularly suited to be measured with helium scattering. Phys. Chem. Chem. Phys. 2021, 23, 7653–7672. [Google Scholar] [CrossRef]
- Ruckhofer, A.; Campi, D.; Bremholm, M.; Hofmann, P.; Benedek, G.; Bernasconi, M.; Ernst, W.E.; Tamtögl, A. Terahertz surface modes and electron-phonon coupling on Bi2Se3(111). Phys. Rev. Res. 2020, 2, 023186. [Google Scholar] [CrossRef]
- Knispel, T.; Jolie, W.; Borgwardt, N.; Lux, J.; Wang, Z.; Ando, Y.; Rosch, A.; Michely, T.; Grüninger, M. Charge puddles in the bulk and on the surface of the topological insulator BiSbTeSe2 studied by scanning tunneling microscopy and optical spectroscopy. Phys. Rev. B 2017, 96, 195135. [Google Scholar] [CrossRef]
- Viti, L.; Coquillat, D.; Politano, A.; Kokh, K.A.; Aliev, Z.S.; Babanly, M.B.; Tereshchenko, O.E.; Knap, W.; Chulkov, E.V.; Vitiello, M.S. Plasma-Wave Terahertz Detection Mediated by Topological Insulators Surface States. Nano Lett. 2016, 16, 80–87. [Google Scholar] [CrossRef]
- Hatch, R.C.; Bianchi, M.; Guan, D.; Bao, S.; Mi, J.; Iversen, B.B.; Nilsson, L.; Hornekær, L.; Hofmann, P. Stability of the Bi2Se3(111) topological state: Electron-phonon and electron-defect scattering. Phys. Rev. B 2011, 83, 241303. [Google Scholar] [CrossRef]
- Sobota, J.A.; Yang, S.L.; Leuenberger, D.; Kemper, A.F.; Analytis, J.G.; Fisher, I.R.; Kirchmann, P.S.; Devereaux, T.P.; Shen, Z.X. Distinguishing Bulk and Surface Electron-Phonon Coupling in the Topological Insulator Bi2Se3 Using Time-Resolved Photoemission Spectroscopy. Phys. Rev. Lett. 2014, 113, 157401. [Google Scholar] [CrossRef]
- Heid, R.; Sklyadneva, I.Y.; Chulkov, E.V. Electron-phonon coupling in topological surface states: The role of polar optical modes. Sci. Rep. 2017, 7, 1095. [Google Scholar] [CrossRef]
- Tamtögl, A.; Kraus, P.; Avidor, N.; Bremholm, M.; Hedegaard, E.M.J.; Iversen, B.B.; Bianchi, M.; Hofmann, P.; Ellis, J.; Allison, W.; et al. Electron-phonon coupling and surface Debye temperature of Bi2Te3(111) from helium atom scattering. Phys. Rev. B 2017, 95, 195401. [Google Scholar] [CrossRef]
- In, C.; Sim, S.; Kim, B.; Bae, H.; Jung, H.; Jang, W.; Son, M.; Moon, J.; Salehi, M.; Seo, S.Y.; et al. Control over Electron-Phonon Interaction by Dirac Plasmon Engineering in the Bi2Se3 Topological Insulato. Nano Lett. 2018, 18, 734–739. [Google Scholar] [CrossRef]
- Benedek, G.; Miret-Artés, S.; Manson, J.R.; Ruckhofer, A.; Ernst, W.E.; Tamtögl, A. Origin of the Electron-Phonon Interaction of Topological Semimetal Surfaces Measured with Helium Atom Scattering. J. Phys. Chem. Lett. 2020, 11, 1927–1933. [Google Scholar] [CrossRef]
- Anemone, G.; Casado Aguilar, P.; Garnica, M.; Calleja, F.; Al Taleb, A.; Kuo, C.N.; Lue, C.S.; Politano, A.; Vázquez de Parga, A.L.; Benedek, G.; et al. Electron-phonon coupling in superconducting 1T-PdTe2. NPJ 2D Mater. Appl. 2021, 5, 25. [Google Scholar] [CrossRef]
- Chen, C.; Xie, Z.; Feng, Y.; Yi, H.; Liang, A.; He, S.; Mou, D.; He, J.; Peng, Y.; Liu, X.; et al. Tunable Dirac fermion dynamics in topological insulators. Sci. Rep. 2013, 3, 2411. [Google Scholar] [CrossRef]
- Tamtögl, A.; Mayrhofer-Reinhartshuber, M.; Balak, N.; Ernst, W.E.; Rieder, K.H. Elastic and inelastic scattering of He atoms from Bi(111). J. Phys. Condens. Matter 2010, 22, 304019. [Google Scholar] [CrossRef]
- Tamtögl, A.; Carter, E.A.; Ward, D.J.; Avidor, N.; Kole, P.R.; Jardine, A.P.; Ellis, J.; Allison, W. Note: A simple sample transfer alignment for ultra-high vacuum systems. Rev. Sci. Instrum. 2016, 87, 066108. [Google Scholar] [CrossRef] [PubMed]
- Pascual, J.I.; Bihlmayer, G.; Koroteev, Y.M.; Rust, H.P.; Ceballos, G.; Hansmann, M.; Horn, K.; Chulkov, E.V.; Blügel, S.; Echenique, P.M.; et al. Role of Spin in Quasiparticle Interference. Phys. Rev. Lett. 2004, 93, 196802. [Google Scholar] [CrossRef] [PubMed]
- Kim, T.K.; Wells, J.; Kirkegaard, C.; Li, Z.; Hoffmann, S.V.; Gayone, J.E.; Fernandez-Torrente, I.; Häberle, P.; Pascual, J.I.; Moore, K.T.; et al. Evidence against a charge density wave on Bi(111). Phys. Rev. B 2005, 72, 085440. [Google Scholar] [CrossRef]
- Grüner, G. Density Waves in Solids; Frontiers in Physics; Perseus Publishing: Cambridge, MA, USA, 1994; Volume 89. [Google Scholar]
- Grüner, G. The dynamics of charge-density waves. Rev. Mod. Phys. 1988, 60, 1129–1181. [Google Scholar] [CrossRef]
- Tamtögl, A.; Mayrhofer-Reinhartshuber, M.; Kraus, P.; Ernst, W.E. Surface Debye temperature and vibrational dynamics of antimony(111) from helium atom scattering measurements. Surf. Sci. 2013, 617, 225–228. [Google Scholar] [CrossRef]
- Hofmann, P.; Ugeda, M.M.; Tamtögl, A.; Ruckhofer, A.; Ernst, W.E.; Benedek, G.; Martínez-Galera, A.J.; Stróżecka, A.; Gómez-Rodríguez, J.M.; Rienks, E.; et al. Strong-coupling charge density wave in a one-dimensional topological metal. Phys. Rev. B 2019, 99, 035438. [Google Scholar] [CrossRef]
- Liu, R.; Ma, T.; Wang, S.; Yang, J. Dynamic Theory of Fluctuations and Ciritcal Exponents of Thermodynamic Phase Transitions. HAL 2019, HAL: 01674269. [Google Scholar]
- Nayak, J.; Fecher, G.H.; Ouardi, S.; Shekhar, C.; Tusche, C.; Ueda, S.; Ikenaga, E.; Felser, C. Temperature-induced modification of the Dirac cone in the tetradymite topological insulator Bi2Te2Se. Phys. Rev. B 2018, 98, 075206. [Google Scholar] [CrossRef]
- Pan, Z.H.; Fedorov, A.V.; Gardner, D.; Lee, Y.S.; Chu, S.; Valla, T. Measurement of an Exceptionally Weak Electron-Phonon Coupling on the Surface of the Topological Insulator Bi2Se3 Using Angle-Resolved Photoemission Spectroscopy. Phys. Rev. Lett. 2012, 108, 187001. [Google Scholar] [CrossRef]
- Monney, C.; Schwier, E.F.; Garnier, M.G.; Mariotti, N.; Didiot, C.; Beck, H.; Aebi, P.; Cercellier, H.; Marcus, J.; Battaglia, C.; et al. Temperature-dependent photoemission on 1T-TiSe2: Interpretation within the exciton condensate phase model. Phys. Rev. B 2010, 81, 155104. [Google Scholar] [CrossRef]
- Liu, J.L.; Liu, R.; Yang, M.; Cao, L.Y.; Gao, B.X.; Wang, L.; Fang, A.F.; Shi, Y.G.; Yin, Z.P.; Chen, R.Y. Revealing a charge-density-wave gap in the predicted weak topological insulator HoSbTe. Phys. Rev. B 2022, 105, 075111. [Google Scholar] [CrossRef]
- Fukutani, K.; Sato, T.; Galiy, P.V.; Sugawara, K.; Takahashi, T. Tunable two-dimensional electron gas at the surface of thermoelectric material In4Se3. Phys. Rev. B 2016, 93, 205156. [Google Scholar] [CrossRef]
- Guan, D.; Bianchi, M.; Bao, S.; Perkins, E.; Meier, F.; Dil, J.H.; Osterwalder, J.; Hofmann, P. Strongly enhanced electron-phonon coupling in the Rashba-split state of the Bi/Ag(111) surface alloy. Phys. Rev. B 2011, 83, 155451. [Google Scholar] [CrossRef]
- Verpoort, P.C.; Narayan, V. Chirality relaxation in low-temperature strongly Rashba-coupled systems. J. Phys. Condens. Matter 2020, 32, 355704. [Google Scholar] [CrossRef]
- Kandemir, B.S.; Akay, D. The effect of electron- phonon coupling in spin–orbit-coupled graphene. Philos. Mag. 2017, 97, 2225–2235. [Google Scholar] [CrossRef]
- Zunger, A.; Malyi, O.I. Understanding Doping of Quantum Materials. Chem. Rev. 2021, 121, 3031–3060. [Google Scholar] [CrossRef]
- Nowak, K.; Jurczyszyn, M.; Chrobak, M.; Maćkosz, K.; Naumov, A.; Olszowska, N.; Rosmus, M.; Miotkowski, I.; Kozłowski, A.; Sikora, M.; et al. Influence of Doping on the Topological Surface States of Crystalline Bi2Se3 Topological Insulators. Materials 2022, 15, 2083. [Google Scholar] [CrossRef]
- Fan, Z.; Liang, Q.F.; Chen, Y.B.; Yao, S.H.; Zhou, J. Transition between strong and weak topological insulator in ZrTe5 and HfTe5. Sci. Rep. 2017, 7, 45667. [Google Scholar] [CrossRef]
- Neupert, T.; Denner, M.M.; Yin, J.X.; Thomale, R.; Hasan, M.Z. Charge order and superconductivity in kagome materials. Nat. Phys. 2022, 18, 137–143. [Google Scholar] [CrossRef]
- Benedek, G.; Manson, J.R.; Miret-Artés, S.; Ruckhofer, A.; Ernst, W.E.; Tamtögl, A.; Toennies, J.P. Measuring the Electron-Phonon Interaction in Two-Dimensional Superconductors with He-Atom Scattering. Condens. Matter 2020, 5, 79. [Google Scholar] [CrossRef]
- Chaix, L.; Ghiringhelli, G.; Peng, Y.Y.; Hashimoto, M.; Moritz, B.; Kummer, K.; Brookes, N.B.; He, Y.; Chen, S.; Ishida, S.; et al. Dispersive charge density wave excitations in Bi2Sr2CaCu2O8+δ. Nat. Phys. 2017, 13, 952–956. [Google Scholar] [CrossRef]
- Tamtögl, A.; Sacchi, M.; Avidor, N.; Calvo-Almazán, I.; Townsend, P.S.M.; Bremholm, M.; Hofmann, P.; Ellis, J.; Allison, W. Nanoscopic diffusion of water on a topological insulator. Nat. Commun. 2020, 11, 278. [Google Scholar] [CrossRef]
- Sacchi, M.; Tamtögl, A. Water adsorption and dynamics on graphene and other 2D materials: Computational and experimental advances. Adv. Phys. X 2023, 8, 2134051. [Google Scholar] [CrossRef]




Disclaimer/Publisher’s Note: The statements, opinions and data contained in all publications are solely those of the individual author(s) and contributor(s) and not of MDPI and/or the editor(s). MDPI and/or the editor(s) disclaim responsibility for any injury to people or property resulting from any ideas, methods, instructions or products referred to in the content. |
© 2023 by the authors. Licensee MDPI, Basel, Switzerland. This article is an open access article distributed under the terms and conditions of the Creative Commons Attribution (CC BY) license (https://creativecommons.org/licenses/by/4.0/).
Share and Cite
Ruckhofer, A.; Benedek, G.; Bremholm, M.; Ernst, W.E.; Tamtögl, A. Observation of Dirac Charge-Density Waves in Bi2Te2Se. Nanomaterials 2023, 13, 476. https://doi.org/10.3390/nano13030476
Ruckhofer A, Benedek G, Bremholm M, Ernst WE, Tamtögl A. Observation of Dirac Charge-Density Waves in Bi2Te2Se. Nanomaterials. 2023; 13(3):476. https://doi.org/10.3390/nano13030476
Chicago/Turabian StyleRuckhofer, Adrian, Giorgio Benedek, Martin Bremholm, Wolfgang E. Ernst, and Anton Tamtögl. 2023. "Observation of Dirac Charge-Density Waves in Bi2Te2Se" Nanomaterials 13, no. 3: 476. https://doi.org/10.3390/nano13030476
APA StyleRuckhofer, A., Benedek, G., Bremholm, M., Ernst, W. E., & Tamtögl, A. (2023). Observation of Dirac Charge-Density Waves in Bi2Te2Se. Nanomaterials, 13(3), 476. https://doi.org/10.3390/nano13030476

