Barrier Height, Ideality Factor and Role of Inhomogeneities at the AlGaN/GaN Interface in GaN Nanowire Wrap-Gate Transistor
Abstract
:1. Introduction
2. Materials and Methods
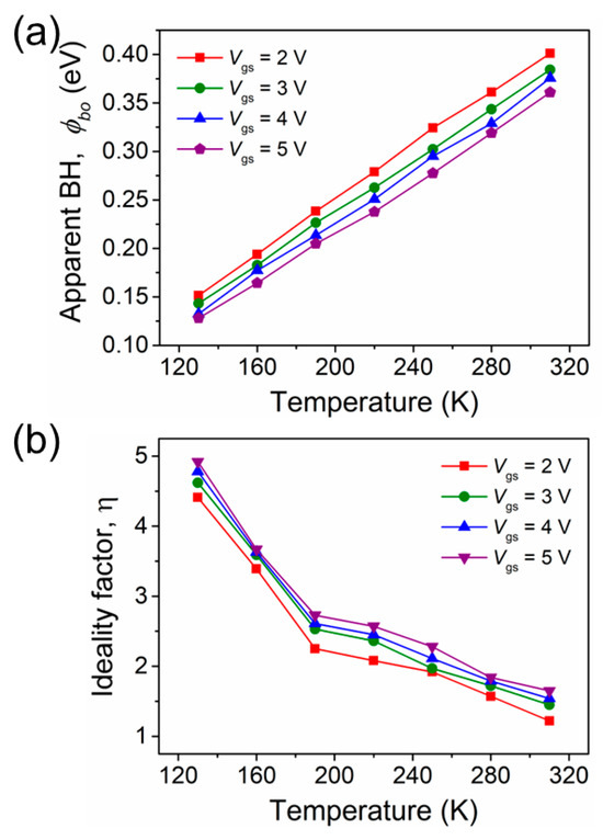
3. Results
4. Conclusions
Author Contributions
Funding
Data Availability Statement
Conflicts of Interest
References
- Lieber, C.M.; Wang, Z.L. Functional nanowires. MRS Bull. 2007, 32, 99–108. [Google Scholar] [CrossRef]
- Yang, P.; Yan, R.; Fardy, M. Semiconductor nanowire: What’s next? Nano. Lett. 2010, 10, 1529–1536. [Google Scholar] [CrossRef]
- Calarco, R.; Stoica, T.; Brandt, O.; Geelhaar, L. Surface-induced effects in GaN nanowires. J. Mater. Res. 2007, 26, 2157–2168. [Google Scholar] [CrossRef]
- Im, K.-S. Impact of fin width on low-frequency noise in AlGaN/GaN finFETs: Evidence for bulk conduction. IEEE Access 2023, 11, 10384. [Google Scholar] [CrossRef]
- Doyle, B.S.; Boyanov, B.S.; Datta, S.M.; Doczy, M.L.; Hareland, S.; Jin, B.; Kavalieros, J.T.; Linton, T.M.; Rios, R.; Chau, R. Tri-gate fully-depleted CMOS transistors: Fabrication, design and layout. In Proceedings of the 2003 Symposium on VLSI Technology. Digest of Technical Papers (IEEE Cat. No. 03CH37407), Kyoto, Japan, 10–12 June 2003; p. 133. [Google Scholar]
- Im, K.-S.; Sindhuri, V.; Jo, Y.-W.; Son, D.-H.; Lee, J.-H.; Cristoloveanu, S. Fabrication of AlGaN/GaN Ω-shaped nanowire fin-shaped FETs by a top-down approach. Appl. Phys. Express 2015, 8, 066501. [Google Scholar] [CrossRef]
- Im, K.-S.; Reddy, M.S.P.; Caulmione, R.; Theodorou, C.G.; Ghibaudo, G.; Cristoloveanu, S.; Lee, J.-H. Low-frequency noise characteristics of GaN nanowire gate-all-around transistors with/without 2-DEG channel. IEEE Trans. Electron Devices 2019, 66, 1243–1248. [Google Scholar] [CrossRef]
- Im, K.-S.; An, S.J.; Theodorou, C.G.; Ghibaudo, G.; Cristoloveanu, S.; Lee, J.-H. Effect of gate structure on the trapping behavior of GaN junctionless finFETs. IEEE Electron Device Lett. 2020, 41, 832–835. [Google Scholar] [CrossRef]
- Singh, N.; Lim, F.Y.; Wang, W.W.; Rustagi, S.C.; Bera, L.K.; Agarwal, A.; Tung, C.H.; Hoe, K.M.; Omampuliyur, S.; Tripathi, D.; et al. Ultra-narrow silicon gate-all-around CMOS devices: Impact of diameter, channel-orientation and low temperature on device performance. In Proceedings of the 2006 International Electron Devices Meeting, San Francisco, CA, USA, 11–13 December 2006; pp. 1–4. [Google Scholar]
- Mallem, S.P.R.; Puneetha, P.; Choi, Y.; Baek, S.M.; An, S.J.; Im, K.-S. Temperature-dependent carrier transport in GaN nanowire wrap-gate transistor. Nanomaterials 2023, 13, 1629. [Google Scholar] [CrossRef]
- Mallem, S.P.R.; Puneetha, P.; Lee, D.-Y.; Kim, Y.; Kim, H.-J.; Im, K.-S.; An, S.J. Carrier trap and their effects on the surface and core of AlGaN/GaN nanowire wrap-gate transistor. Nanomaterials 2023, 13, 2132. [Google Scholar] [CrossRef]
- Konar, A.; Mathew, J.; Nayak, K.; Bajaj, M.; Pandey, R.K.; Dhara, S.; Murali, K.V.R.M.; Deshmukh, M.M. Carrier transport in high mobility InAs nanowire junction-less transistors. Nano Lett. 2015, 15, 1684–1690. [Google Scholar] [CrossRef]
- Moon, B.H.; Jan, G.H.; Kim, H.; Choi, H.; Bae, J.J.; Kim, J.; Jin, Y.; Jeong, H.Y.; Joo, M.K.; Lee, Y.H.; et al. Junction-structure-dependent Schottky barrier inhomogeneity and device ideality of monolayer MoS2 field-effect transistors. ACS Appl. Mater. Interfaces 2017, 9, 11240–11246. [Google Scholar] [CrossRef]
- Dyakonova, N.; Dickens, A.; Shur, M.S.; Gaska, R.; Yang, J.W. Temperature dependence of impact ionization in AlGaN-GaN heterostructure field effect transistors. Appl. Phys. Lett. 1998, 72, 2562–2564. [Google Scholar] [CrossRef]
- Arulkumaran, S.; Egawa, T.; Ishikawa, H.; Jimbo, T. Temperature dependence of gate-leakage current in AlGaN/GaN high-electron-mobility transistors. Appl. Phys. Lett. 2003, 82, 3110–3112. [Google Scholar] [CrossRef]
- Sze, S.M.; Ng, K.K. Physics of Semiconductor Devices; Wiley-Interscience: Hoboken, NJ, USA, 2007. [Google Scholar]
- Yu, L.S.; Qiao, D.J.; Xing, Q.J.; Lau, S.S.; Boutros, K.S.; Redwing, J.M. Ni and Ti Schottky barriers on n-AlGaN grown on SiC substrates. Appl. Phys. Lett. 1998, 73, 238–240. [Google Scholar] [CrossRef]
- Ahmetoglu, M.; Akay, S.K. Determination of the parameters for the back-to-back switched Schottky barrier structures. Curr. Appl. Phys. 2010, 10, 652–654. [Google Scholar] [CrossRef]
- Zhang, Z.Y.; Yao, K.; Liu, Y.; Jin, C.H.; Liang, X.L.; Chen, Q.; Peng, L.M. Quantitative analysis of current-voltage characteristics of semiconducting nanowires: Decoupling of contact effects. Adv. Funct. Mater. 2007, 17, 2478–2489. [Google Scholar] [CrossRef]
- Kim, J.-R.; Oh, H.; So, H.M.; Kim, J.-J.; Kim, J.; Lee, C.J.; Lyu, S.C. Schottky diodes based on a single GaN nanowire. Nanotechnology 2002, 13, 701–704. [Google Scholar] [CrossRef]
- Kolkovsky, V.; Sytkiewicz, Z.R.; Sobanska, M.; Klosek, K. Electrical characterization of ensemble of GaN nanowires grown by the molecular beam epitaxy technique. Appl. Phys. Lett. 2013, 130, 092103. [Google Scholar] [CrossRef]
- Motayed, A.; Davydov, A.V.; Vaudin, M.D.; Levin, I. Fabrication of GaN-based nanoscale device structures utilizing focused ion beam induced Pt deposition. J. Appl. Phys. 2006, 100, 024306. [Google Scholar] [CrossRef]
- Lee, S.Y.; Lee, S.K. Current transport mechanism in a metal-GaN nanowire Schottky diode. Nanotechnology 2007, 18, 495701. [Google Scholar] [CrossRef]
- Smit, G.D.J.; Rogge, S.; Klapwijk, T.M. Enhanced tunneling across nanometer-scale metal-semiconductor interfaces. Appl. Phys. Lett. 2002, 80, 2568–2570. [Google Scholar] [CrossRef]
- Kumar, A.; Heilmann, M.; Latzel, M.; Kapoor, R.; Sharma, I.; Gobelt, M.; Christiansen, S.H.; Kumar, V.; Singh, R. Barrier inhomogeneities limited current and 1/f noise transport in GaN based nanoscale Schottky barrier diodes. Sci. Rep. 2016, 6, 27553. [Google Scholar] [CrossRef]
- Reddy, M.S.P.; Kumar, A.A.; Reddy, V.R. Electrical transport characteristics of Ni/Pd/n-GaN Schottky barrier diodes as a function of temperature. Thin Solid Films 2011, 519, 3844–3850. [Google Scholar] [CrossRef]
- Werner, J.H.; Guttler, H.H. Barrier inhomogeneities at Schottky contacts. J. Appl. Phys. 1991, 69, 1522–1533. [Google Scholar] [CrossRef]
- Guttler, H.H.; Werner, J.H. Influence of barrier inhomogeneities on noise at Schottky contacts. Appl. Phys. Lett. 1990, 56, 1113–1115. [Google Scholar] [CrossRef]
- Kumar, A.; Nagarajan, S.; Sopanen, M.; Kumar, V.; Sing, R. Temperature dependent 1/f noise characteristics of the Fe/GaN ferromagnetic Schottky barrier diode. Semicond. Sci. Technol. 2015, 30, 105022. [Google Scholar] [CrossRef]
- Kumar, A.; Kashid, R.; Ghosh, A.; Kumar, V.; Sing, R. Enhanced thermionic emission and low 1/f noise in exfoliated graphene/GaN Schottky barrier diode. ACS Appl. Mater. Interfaces 2016, 8, 8213–8223. [Google Scholar] [CrossRef]
- Chand, S.; Kumar, J. Evidence for the double distribution of barrier heights in Pd2Si/n-Si Schottky diodes from I-V-T measurements. Semicond. Sci. Technol. 1999, 11, 1203–1208. [Google Scholar] [CrossRef]
- Vanalme, G.M.; Goubert, L.; Van Meirhaeghe, R.L.; Cardon, F.; Van Daele, P. A ballistic electron emission microscopy study of barrier height inhomogeneities introduced in Au/III-V semiconductor Schottky barrier contacts by chemical pretreatments. Semicond. Sci. Technol. 1999, 14, 871–877. [Google Scholar] [CrossRef]




| Vgs (V) | Distribution 1 | Distribution 2 | ||
|---|---|---|---|---|
| (eV) | σS (meV) | σS (meV) | ||
| 2 | 0.65 | 119 | 0.45 | 84 |
| 3 | 0.62 | 118 | 0.43 | 81 |
| 4 | 0.61 | 117 | 0.41 | 80 |
| 5 | 0.59 | 116 | 0.39 | 79 |
Disclaimer/Publisher’s Note: The statements, opinions and data contained in all publications are solely those of the individual author(s) and contributor(s) and not of MDPI and/or the editor(s). MDPI and/or the editor(s) disclaim responsibility for any injury to people or property resulting from any ideas, methods, instructions or products referred to in the content. |
© 2023 by the authors. Licensee MDPI, Basel, Switzerland. This article is an open access article distributed under the terms and conditions of the Creative Commons Attribution (CC BY) license (https://creativecommons.org/licenses/by/4.0/).
Share and Cite
Mallem, S.P.R.; Puneetha, P.; Choi, Y.; Baek, S.M.; Lee, D.-Y.; Im, K.-S.; An, S.J. Barrier Height, Ideality Factor and Role of Inhomogeneities at the AlGaN/GaN Interface in GaN Nanowire Wrap-Gate Transistor. Nanomaterials 2023, 13, 3159. https://doi.org/10.3390/nano13243159
Mallem SPR, Puneetha P, Choi Y, Baek SM, Lee D-Y, Im K-S, An SJ. Barrier Height, Ideality Factor and Role of Inhomogeneities at the AlGaN/GaN Interface in GaN Nanowire Wrap-Gate Transistor. Nanomaterials. 2023; 13(24):3159. https://doi.org/10.3390/nano13243159
Chicago/Turabian StyleMallem, Siva Pratap Reddy, Peddathimula Puneetha, Yeojin Choi, Seung Mun Baek, Dong-Yeon Lee, Ki-Sik Im, and Sung Jin An. 2023. "Barrier Height, Ideality Factor and Role of Inhomogeneities at the AlGaN/GaN Interface in GaN Nanowire Wrap-Gate Transistor" Nanomaterials 13, no. 24: 3159. https://doi.org/10.3390/nano13243159
APA StyleMallem, S. P. R., Puneetha, P., Choi, Y., Baek, S. M., Lee, D.-Y., Im, K.-S., & An, S. J. (2023). Barrier Height, Ideality Factor and Role of Inhomogeneities at the AlGaN/GaN Interface in GaN Nanowire Wrap-Gate Transistor. Nanomaterials, 13(24), 3159. https://doi.org/10.3390/nano13243159

