The Influence of Carbon Nanotubes on the Physical and Chemical Properties of Nanocomposites Based on Unsaturated Polyester Resin
Abstract
1. Introduction
2. Materials and Methods
2.1. Materials
2.2. Curing Conditions
2.3. Preparation of Nanocomposite Specimens
2.4. Research Methods
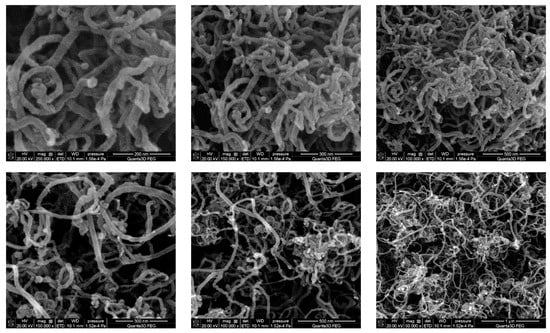
2.4.1. SEM of MWCNTs
2.4.2. TEM of MWCNTs
2.4.3. Accelerated Aging Test
2.4.4. Gloss Determination
2.4.5. Mechanical, Thermomechanical, and Hardness Studies
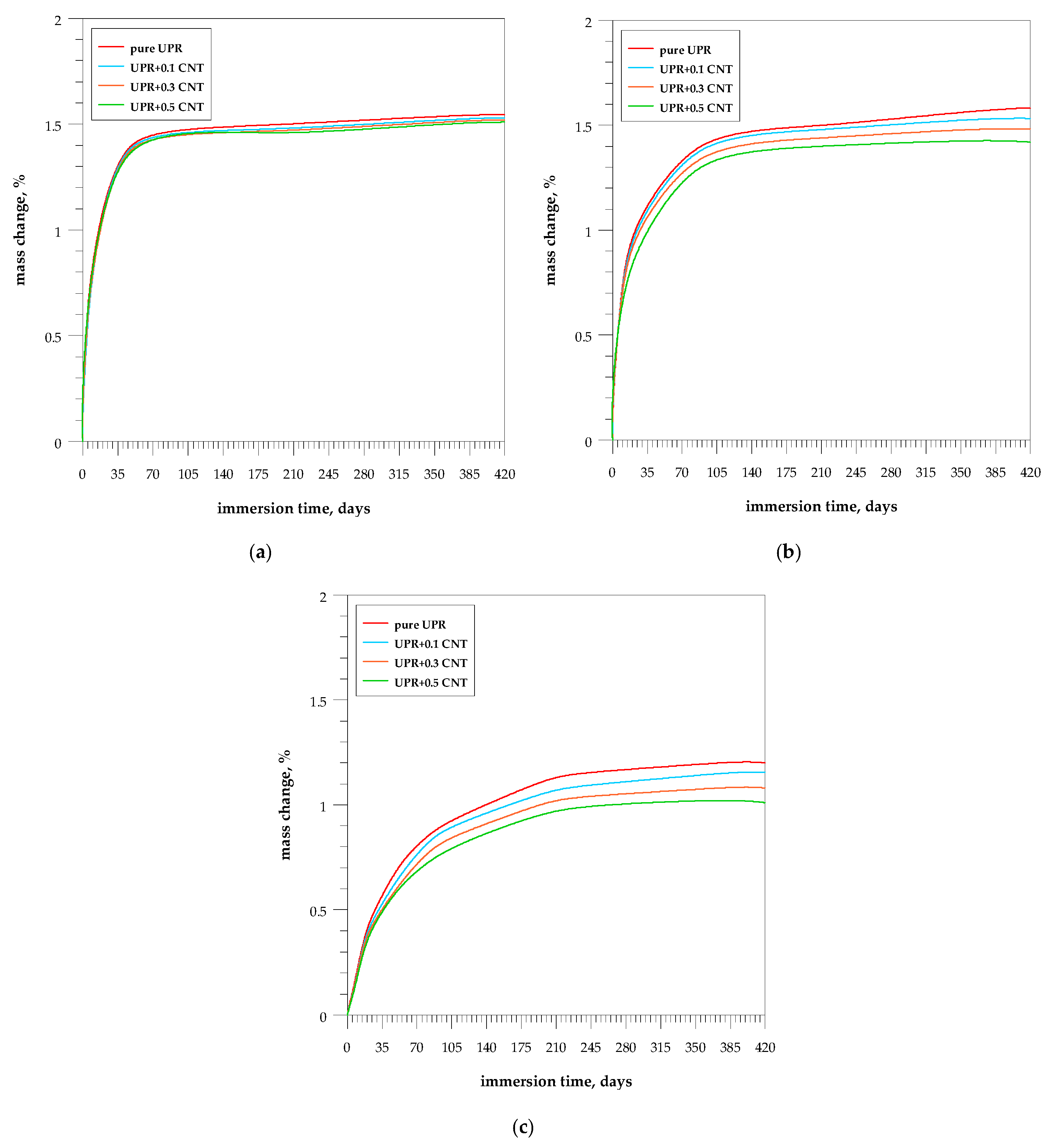
2.4.6. Chemical Resistance
3. Results and Discussion
4. Conclusions
Author Contributions
Funding
Data Availability Statement
Acknowledgments
Conflicts of Interest
References
- Yang, Y.S.; Lee, L.J. Microstructure formation in the cure of unsaturated polyester resins. Polymer 1988, 29, 1793–1800. [Google Scholar] [CrossRef]
- Sanchez, E.M.S.; Zavaglia, C.A.C.; Felisberti, M.I. Unsaturated polyester resins: Influence of the styrene concentration on the miscibility and mechanical properties. Polymer 2000, 41, 765–769. [Google Scholar] [CrossRef]
- Ramadan, N.; Taha, M.; La Rosa, A.D.; Elsabbagh, A. Towards Selection Charts for Epoxy Resin, Unsaturated Polyester Resin and Their Fibre-Fabric Composites with Flame Retardants. Materials 2021, 14, 1181. [Google Scholar] [CrossRef]
- Farsane, M.; Lhasnaoui, S.; Anouar, A.; Dagdag, S.; Bouzziri, M. A review of measuring the gelation time in unsaturated polyester resins. Mater. Technol. 2022, 56, 323–329. [Google Scholar] [CrossRef]
- Dholakiya, B. Unsaturated Polyester Resin for Specialty Applications. In Polyester; Saleh, H.M., Ed.; Intech Open: Rijeka, Croatia, 2012; pp. 167–202. [Google Scholar] [CrossRef]
- Gao, Y.; Romero, P.; Zhang, H.; Huang, M.; Lai, F. Unsaturated polyester resin concrete: A review. Constr. Build. Mater. 2019, 228, 116709. [Google Scholar] [CrossRef]
- Gorelov, B.; Gorb, A.; Korotchenkov, O.A.; Nadtochiy, A.; Polovina, O.; Sigareva, N. Impact of titanium and silica/titanium fumed oxide nanofillers on the elastic properties and thermal decomposition of a polyester resin. J. Appl. Polym. Sci. 2015, 132, 42010. [Google Scholar] [CrossRef]
- Pączkowski, P.; Puszka, A.; Miazga-Karska, M.; Ginalska, G.; Gawdzik, B. Synthesis, Characterization and Testing of Antimicrobial Activity of Composites of Unsaturated Polyester Resins with Wood Flour and Silver Nanoparticles. Materials 2021, 14, 1122. [Google Scholar] [CrossRef] [PubMed]
- Chirayil, C.J.; Joy, J.; Mathew, L.; Koetz, J.; Thomas, S. Nanofibril reinforced unsaturated polyester nanocomposites: Morphology, mechanical and barrier properties, viscoelastic behavior and polymer chain confinement. Ind. Crops Prod. 2014, 56, 246–254. [Google Scholar] [CrossRef]
- Pączkowski, P.; Puszka, A.; Gawdzik, B. Effect of Eco-Friendly Peanut Shell Powder on the Chemical Resistance, Physical, Thermal and Thermomechanical Properties of Unsaturated Polyester Resin Composites. Polymers 2021, 13, 3690. [Google Scholar] [CrossRef]
- Pączkowski, P.; Puszka, A.; Gawdzik, B. Green Composites Based on Unsaturated Polyester Resin from Recycled Poly(Ethylene Terephthalate) with Wood Flour as Filler—Synthesis, Characterization and Aging Effect. Polymers 2020, 12, 2966. [Google Scholar] [CrossRef]
- Weil, E.D.; Levchik, S.V. Commercial Flame Retardancy of Unsaturated Polyester and Vinyl Resins: Review. J. Fire Sci. 2004, 22, 293–303. [Google Scholar] [CrossRef]
- Nagaraju, B.; Ramji, K.; Prasad, V.S.R.K. Studies on tribology properties of ZnO filled polymer nanocomposites. ARPN J. Eng. Appl. Sci. 2011, 6, 75–82. [Google Scholar]
- Ibrahim, R.A. Tribological performance of polyester composites reinforced by agricultural wastes. Tribol. Int. 2015, 90, 463–466. [Google Scholar] [CrossRef]
- Hou, Y.; Hu, W.; Gui, Z.; Hu, Y. Effect of cuprous oxide with different sizes on thermal and combustion behaviors of unsaturated polyester resin. J. Hazard. Mater. 2017, 334, 39–48. [Google Scholar] [CrossRef] [PubMed]
- He, S.; Petkovich, N.D.; Liu, K.; Qian, Y.; Macosko, C.W.; Stein, A. Unsaturated polyester resin toughening with very low loadings of GO derivatives. Polymer 2017, 110, 149–157. [Google Scholar] [CrossRef]
- Lin, J.; Zhong, B.; Jia, Z.; Hu, D.; Ding, Y.; Luo, Y.; Jia, D. In-situ fabrication of halloysite nanotubes/silica nano hybrid and its application in unsaturated polyester resin. Appl. Surf. Sci. 2017, 407, 130–136. [Google Scholar] [CrossRef]
- Hahm, M.-G. A review: Controlled synthesis of vertically aligned carbon nanotubes. Carbon Lett. 2011, 12, 185–193. [Google Scholar] [CrossRef]
- Ivanenko, K.; Ushakova, L.M.; Avramenko, T.; Revo, S.; Kartel, M.T.; Sementsov, Y.I. Influence of Nanofillers Concentration on Physical and Mechanical Characteristics of Their Polymer Composites. In Nanomaterials and Nanocomposites, Nanostructure Surfaces, and Their Application; Springer Proceedings in Physics; Fesenko, O., Yatsenko, L., Eds.; Springer: Cham, Switzerland, 2020; pp. 685–698. [Google Scholar] [CrossRef]
- Pistone, A.; Visco, A.M.; Galtieri, G.; Iannazzo, D.; Espro, C.; Marino Merlo, F.; Urzì, C.; De Leo, F. Polyester resin and carbon nanotubes based nanocomposite as new-generation coating to prevent biofilm formation. Int. J. Polym. Anal. Charact. 2016, 21, 327–336. [Google Scholar] [CrossRef]
- Sementsov, Y.; Makhno, S.; Kartel, M.; Bo, W.; Dovbeshko, G.; Styopkin, V.; Nedilko, S. Graphene Nanoparticles and Graphene Nanoparticles—Polyamide 12/12 Composites. Int. J. Innov. Sci. Eng. Technol. 2017, 4, 71–78. [Google Scholar]
- Rennhofer, H.; Zanghellini, B. Dispersion State and Damage of Carbon Nanotubes and Carbon Nanofibers by Ultrasonic Dispersion: A Review. Nanomaterials 2021, 11, 1469. [Google Scholar] [CrossRef]
- Cherniuk, O.A.; Demianenko, E.M.; Terets, M.I.; Zhuravskyi, S.V.; Makhno, S.M.; Lobanov, V.V.; Kartel, M.T.; Sementsov, Y.I. Study of the mechanism of influence of carbon nanotubes surface chemistry on the mechanical properties of fiberglass. Appl. Nanosci. 2020, 10, 4797–4807. [Google Scholar] [CrossRef]
- Min, Y.K.; Eom, T.; Kim, H.; Kang, D.; Lee, S.-E. Independent Heating Performances in the Sub-Zero Environment of MWCNT/PDMS Composite with Low Electron-Tunneling Energy. Polymers 2023, 15, 1171. [Google Scholar] [CrossRef] [PubMed]
- Badamshina, E.R.; Gafurova, M.P.; Estrin, Y.I. Modification of carbon nanotubes and synthesis of polymeric composites involving the nanotubes. Russ. Chem. Rev. 2010, 79, 945–979. [Google Scholar] [CrossRef]
- Kovalska, E.O.; Sementsov, Y.I. Carbon nanotubes deagglomeration in aqueous solutions. In Nanomaterials Imaging Techniques, Surface Studies, and Applications; Springer Proceedings in Physics; Fesenko, O., Yatsenko, L., Brodin, M., Eds.; Springer: New York, NY, USA, 2013; pp. 1–72. [Google Scholar] [CrossRef]
- Sianipar, M.; Khoiruddin, S.H.K.; Iskandar, F.; Wenten, G. Functionalized carbon nanotube (CNT) membrane: Progress and challenges. RSC Adv. 2017, 7, 51175–51198. [Google Scholar] [CrossRef]
- Raza, I.; Hussain, M.; Khan, A.N.; Katzwinkel, T.; Feldhusen, J. Properties of light weight multi walled carbon nanotubes (MWCNTs) nano-composites. Int. J. Lightweight Mater. Manuf. 2021, 4, 195–202. [Google Scholar] [CrossRef]
- Kocaman, S.; Gursoy, M.; Karaman, M.; Ahmetli, G. Synthesis and plasma surface functionalization of carbon nanotubes for using in advanced epoxy-based nanocomposites. Surf. Coat. Technol. 2020, 399, 126144. [Google Scholar] [CrossRef]
- Tiwari, M.; Billing, B.K.; Bedi, H.S.; Agnihotri, P.K. Quantification of carbon nanotube dispersion and its correlation with mechanical and thermal properties of epoxy nanocomposites. J. Appl. Polym. Sci. 2020, 137, 48879. [Google Scholar] [CrossRef]
- Qian, W.-M.; Vahid, M.H.; Sun, Y.-L.; Heidari, A.; Barbaz-Isfahani, R.; Saber-Samandari, S.; Khandan, A.; Toghraie, D. Investigation on the effect of functionalization of single-walled carbon nanotubes on the mechanical properties of epoxy glass composites: Experimental and molecular dynamics simulation. J. Market. Res. 2021, 12, 1931–1945. [Google Scholar] [CrossRef]
- Costa, U.O.; Nascimento, L.F.C.; Garcia, J.M.; Bezerra, W.B.A.; da Costa, G.F.F.; da Luz, F.S.; Pinheiro, W.A.; Monteiro, S.N. Mechanical properties of composites with graphene oxide functionalization of either epoxy matrix or curaua fiber reinforcement. J. Mater. Res. Technol. 2020, 9, 13390–13401. [Google Scholar] [CrossRef]
- Wei, L.; Fu, X.; Luo, M.; Xie, Z.; Huang, C.; Zhou, J.; Zhu, Y.; Huan, G.; Wu, J. Synergistic effect of CB and GO/CNT hybrid fillers on the mechanical properties and fatigue behaviour of NR composites. RSC Adv. 2018, 8, 10573–10581. [Google Scholar] [CrossRef]
- Yang, Q.-S.; He, X.-Q.; Liu, X.; Leng, F.-F.; Mai, Y.-W. The effective properties and local aggregation effect of CNT/SMP composites. Compos. B Eng. 2012, 43, 33–38. [Google Scholar] [CrossRef]
- Lai, Y.-T.; Kuo, J.-C.; Yang, Y.-J. Polymer-dispersed liquid crystal doped with carbon nanotubes for dimethyl methylphosphonate vapor-sensing application. Appl. Phys. Lett. 2013, 102, 191912. [Google Scholar] [CrossRef]
- Pagidi, S.; Pasupuleti, K.S.; Reddeppa, M.; Ahn, S.; Kim, Y.; Kim, J.-H.; Kim, M.-D.; Lee, S.H.; Jeon, M.Y. Resistive type NO2 gas sensing in polymer-dispersed liquid crystals with functionalized-carbon nanotubes dopant at room temperature. Sens. Actuators B Chem. 2022, 370, 132482. [Google Scholar] [CrossRef]
- Ghavanloo, E.; Fazelzadeh, S.A. Vibration characteristics of single-walled carbon nanotubes based on an anisotropic elastic shell model including chirality effect. Appl. Math. Model. 2012, 36, 4988–5000. [Google Scholar] [CrossRef]
- Strozzi, M.; Smirnov, V.V.; Pellicano, F.; Kovaleva, M. Nonlocal anisotropic elastic shell model for vibrations of double-walled carbon nanotubes under nonlinear van der Waals interaction forces. Int. J. Non-Linear Mech. 2022, 146, 104172. [Google Scholar] [CrossRef]
- Strozzi, M.; Elishakoff, I.E.; Bochicchio, M.; Cocconcelli, M.; Rubini, R.; Radi, E. A Comparison of Shell Theories for Vibration Analysis of Single-Walled Carbon Nanotubes Based on an Anisotropic Elastic Shell Model. Nanomaterials 2023, 13, 1390. [Google Scholar] [CrossRef]
- Melezhik, A.V.; Sementsov, Y.I.; Yanchenko, V.V. Synthesis of fine carbon nanotubes on co-precipitated metal oxide catalysts. Russ. J. Appl. Chem. 2005, 78, 917–923. [Google Scholar] [CrossRef]
- EN ISO 4892-2:2013; Plastics-Methods of Exposure to Laboratory Light Sources-Part 2: Xenon-arc Lamps. International Organization of Standardization: Geneva, Switzerland, 2013.
- ASTM D2457; Standard Test Method for Specular Gloss of Plastic Films and Solid Plastics. ASTM International: West Conshohocken, PA, USA, 2013.
- EN ISO 178:2019; Plastics-Determination of Flexural Properties. International Organization of Standardization: Geneva, Switzerland, 2019.
- EN ISO 6721-1:2019; Plastics-Determination of Dynamic Mechanical Properties-Part 1: General Principles. International Organization of Standardization: Geneva, Switzerland, 2019.
- EN ISO 868:2003; Plastics-Plastics and Ebonite-Determination of Indentation Hardness by Means of a Durometer (Shore Hardness). International Organization of Standardization: Geneva, Switzerland, 2003.
- EN ISO 175:2010; Plastics-Methods of Test for the Determination of the Effects of Immersion in Liquid Chemicals. International Organization of Standardization: Geneva, Switzerland, 2010.
- Hilding, J.; Grulke, E.A.; Zhang, Z.G.; Lockwood, F. Dispersion of carbon nanotubes in liquids. J. Dispers. Sci. Technol. 2003, 24, 1–41. [Google Scholar] [CrossRef]
- Jóźwiak, B.; Greer, H.F.; Dzido, G.; Kolanowska, A.; Jędrysiak, R.; Dziadosz, J.; Dzida, M.; Boncel, S. Effect of ultrasonication time on microstructure, thermal conductivity, and viscosity of ionanofluids with originally ultra-long multi-walled carbon nanotubes. Ultrason. Sonochem. 2021, 77, 105681. [Google Scholar] [CrossRef]
- Iglesias, D.; Melchionna, M. Enter the Tubes: Carbon Nanotube Endohedral Catalysis. Catalysts 2019, 9, 128. [Google Scholar] [CrossRef]
- Ureña-Benavides, E.E.; Kayatin, M.J.; Davis, V.A. Dispersion and rheology of multiwalled carbon nanotubes in unsaturated polyester resin. Macromolecules 2013, 46, 1642–1650. [Google Scholar] [CrossRef]
- Cortés, A.; Sánchez-Romate, X.F.; Jiménez-Suárez, A.; Campo, M.; Ureña, A.; Prolongo, S.G. Mechanical and Strain-Sensing Capabilities of Carbon Nanotube Reinforced Composites by Digital Light Processing 3D Printing Technology. Polymers 2020, 12, 975. [Google Scholar] [CrossRef] [PubMed]
- Moshiul Alam, A.K.M.; Beg, M.D.H.; Yunus, R.M. Micro Structure and Fractography of Multiwalled Carbon Nanotube Reinforced Unsaturated Polyester Nanocomposites. Polym. Compos. 2017, 38, E462–E471. [Google Scholar] [CrossRef]
- Beg, M.D.H.; Moshiul Alam, A.K.M.; Yunus, R.M.; Mina, M.F. Improvement of interaction between pre-dispersed multiwalled carbon nanotubes and unsaturated polyester resin. J. Nanopart. Res. 2015, 17, 53. [Google Scholar] [CrossRef]
- Shokrieh, M.M.; Saeedi, A.; Chitsazzadeh, M. Mechanical properties of multi-walled carbon nanotube/polyester nanocomposites. J. Nanostructure Chem. 2013, 3, 20. [Google Scholar] [CrossRef]
- Davis, V.A. Rheological and Curing Properties of Unsaturated Polyester Resin Nanocomposites. In Unsaturated Polyester Resins: Fundamentals, Design, Fabrication, and Applications; Thomas, S., Hosur, M., Chirayil, C.J., Eds.; Elsevier Inc.: Amsterdam, The Netherlands, 2019; pp. 471–488. ISBN 978-0-12-816129-6. [Google Scholar]
- Monti, M.; Puglia, D.; Natali, M.; Torre, L.; Kenny, J.M. Effect of carbon nanofibers on the cure kinetics of unsaturated polyester resin: Thermal and chemorheological modelling. Compos. Sci. Technol. 2011, 71, 1507–1516. [Google Scholar] [CrossRef][Green Version]
- Schlagenhauf, L.; Kianfar, D.; Buerki-Thurnherr, T.; Kuo, Y.-Y.; Wichser, A.; Nüesch, F.; Wick, P.; Wang, J. Weathering of a carbon nanotube/epoxy nanocomposite under UV light and in water bath: Impact on abraded particles. Nanoscale 2015, 7, 18524–18536. [Google Scholar] [CrossRef]






| Sample | 1 | 2 | (°C) 3 | (°C) 4 | ||||||
|---|---|---|---|---|---|---|---|---|---|---|
| (20 °C) (GPa) | (180 °C) (MPa) | |||||||||
| before | after | before | after | before | after | before | after | before | after | |
| pure UPR | 2.799 | 3.079 | 18.90 | 18.89 | 0.4850 | 0.4995 | 38.86 | 38.23 | 126.6 | 129.9 |
| UPR + 0.1CNT | 2.741 | 3.039 | 19.63 | 18.61 | 0.4895 | 0.4875 | 40.02 | 39.36 | 122.6 | 128.3 |
| UPR + 0.5CNT | 2.970 | 3.112 | 21.28 | 20.78 | 0.4721 | 0.4679 | 37.54 | 39.63 | 125.9 | 127.9 |
| Sample | Shore Hardness (ShD) | ||||
|---|---|---|---|---|---|
| before Aging Test | after UV Irradiation | after Water Immersion | after Alkali Immersion | after Toluene Immersion | |
| pure UPR | 81.6 | 81.9 | 78.4 | 77.0 | 80.4 |
| UPR + 0.1CNT | 82.0 | 81.7 | 79.2 | 80.6 | 81.2 |
| UPR + 0.5CNT | 82.4 | 82.3 | 80.0 | 81.2 | 81.8 |
| Sample | (GPa) 1 | (%) 2 | (MPa) 3 |
|---|---|---|---|
| pure UPR | 3.32 ± 0.02 | 3.46 ± 0.02 | 107.69 ± 3.68 |
| UPR + 0.1CNT | 3.49 ± 0.02 | 4.23 ± 0.03 | 127.97 ± 3.83 |
| UPR + 0.5CNT | 3.24 ± 0.02 | 3.47 ± 0.03 | 113.27 ± 3.39 |
| Sample | Gloss (GU) | |||||||||||
|---|---|---|---|---|---|---|---|---|---|---|---|---|
| 20° | 60° | 85° | 20° | 60° | 85° | 20° | 60° | 85° | 20° | 60° | 85° | |
| before Immersion Test | Water Immersion | Alkali Immersion | Toluene Immersion | |||||||||
| pure UPR | 134.5 | 129.3 | 102.5 | 136.2 | 128.2 | 101.0 | 55.9 | 89.0 | 94.9 | 87.8 | 115.0 | 98.6 |
| UPR + 0.1CNT | 98.0 | 101.5 | 99.8 | 97.8 | 100.1 | 97.9 | 56.7 | 90.7 | 98.5 | 87.7 | 96.2 | 96.1 |
| UPR + 0.5CNT | 82.2 | 96.1 | 97.8 | 95.0 | 99.1 | 99.3 | 26.9 | 65.1 | 82.6 | 87.9 | 96.2 | 95.7 |
Disclaimer/Publisher’s Note: The statements, opinions and data contained in all publications are solely those of the individual author(s) and contributor(s) and not of MDPI and/or the editor(s). MDPI and/or the editor(s) disclaim responsibility for any injury to people or property resulting from any ideas, methods, instructions or products referred to in the content. |
© 2023 by the authors. Licensee MDPI, Basel, Switzerland. This article is an open access article distributed under the terms and conditions of the Creative Commons Attribution (CC BY) license (https://creativecommons.org/licenses/by/4.0/).
Share and Cite
Pączkowski, P.; Sigareva, N.V.; Gorelov, B.M.; Terets, M.I.; Sementsov, Y.I.; Kartel, M.T.; Gawdzik, B. The Influence of Carbon Nanotubes on the Physical and Chemical Properties of Nanocomposites Based on Unsaturated Polyester Resin. Nanomaterials 2023, 13, 2981. https://doi.org/10.3390/nano13232981
Pączkowski P, Sigareva NV, Gorelov BM, Terets MI, Sementsov YI, Kartel MT, Gawdzik B. The Influence of Carbon Nanotubes on the Physical and Chemical Properties of Nanocomposites Based on Unsaturated Polyester Resin. Nanomaterials. 2023; 13(23):2981. https://doi.org/10.3390/nano13232981
Chicago/Turabian StylePączkowski, Przemysław, Nadiia V. Sigareva, Borys M. Gorelov, Mariia I. Terets, Yurii I. Sementsov, Mykola T. Kartel, and Barbara Gawdzik. 2023. "The Influence of Carbon Nanotubes on the Physical and Chemical Properties of Nanocomposites Based on Unsaturated Polyester Resin" Nanomaterials 13, no. 23: 2981. https://doi.org/10.3390/nano13232981
APA StylePączkowski, P., Sigareva, N. V., Gorelov, B. M., Terets, M. I., Sementsov, Y. I., Kartel, M. T., & Gawdzik, B. (2023). The Influence of Carbon Nanotubes on the Physical and Chemical Properties of Nanocomposites Based on Unsaturated Polyester Resin. Nanomaterials, 13(23), 2981. https://doi.org/10.3390/nano13232981

