Nanocomposite Photoanisotropic Materials for Applications in Polarization Holography and Photonics
Abstract
1. Introduction
2. Components of the Nanocomposite Photoanisotropic Materials
2.1. Nanoparticles
2.2. Commonly Used Azo-Containing Matrices for Nanocomposites
2.3. Main Optical Parameters of the Nanocomposite Photoanisotropic Materials
3. Nanocomposite Photoanisotropic Materials Doped with Nanoparticles with Different Compositions
3.1. NPM Doped with Non-Metallic Nanoparticles
3.1.1. Quantum Dots (QDs), Carbon Nanotubes (CNTs), and Carbon Nanofibers (CNF)
3.1.2. Zinc Oxide (ZnO) Nanoparticles
3.1.3. Silicon Dioxide (SiO2) Nanoparticles
3.1.4. Titanium Dioxide (TiO2) Nanoparticles
3.1.5. Semiconductor (Tellurium-Containing Chalcogenide System and Goethite) Nanoparticles
3.1.6. Zeolite and Other Nanoparticles
3.1.7. Birefringence Comparison for NPM Doped with Non-Metallic NPs
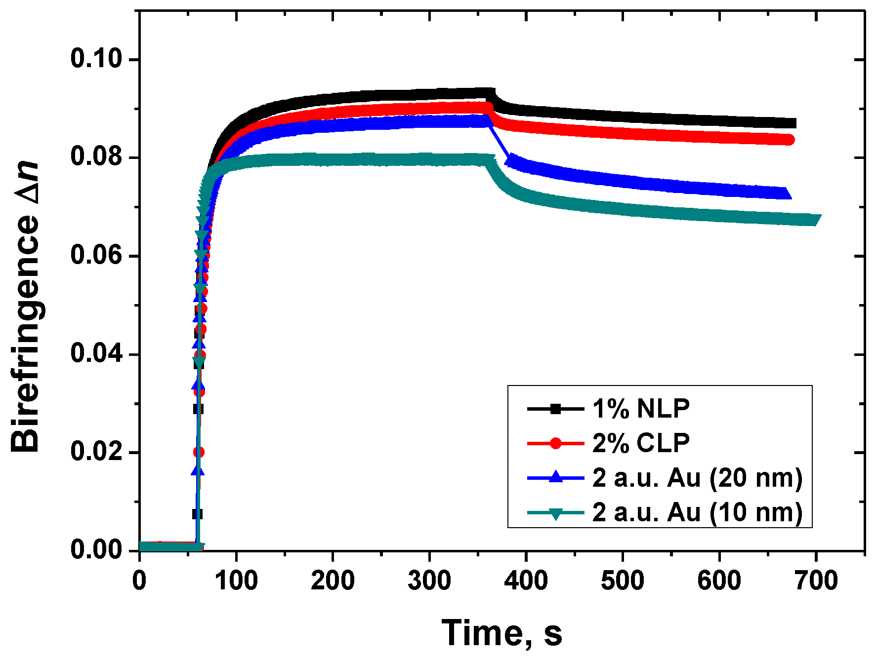
3.2. NPM Doped with Metallic and Metallic Complexes Nanoparticles
3.2.1. Silver (Ag) Nanoparticles
3.2.2. Gold (Au) Nanoparticles
3.2.3. Cooper (Cu) and Nickel (Ni) Metallic Complexes
3.2.4. Birefringence Comparison for NPM Doped with Metallic and Metallic Complex NPs
4. Nanocomposite Photoanisotropic Materials Doped with Nanoparticles with Different Shapes and Sizes
4.1. NPM Doped with Nanoparticles with Different Shapes
4.2. NPM Doped with Nanoparticles with Different Sizes
5. Surface Relief Gratings Recorded in NPM—Impact of the Nanoparticles on the Surface Relief Formation
6. Summary and Discussion
- Free volume hypothesis: the addition of NPs increases the free volume around the azo chromophores and hence improves the processes of photoisomerization, rotation and reorientation, making both the rate of photoisomerization and the number of molecules available for isomerization higher [132,139,144,147,158,167,188].
- Scattering hypothesis: The addition of NPs increases the scattering inside the NC. Because the scattering is in all directions, the scattering of light by the NPs would allow for the excitation and reorientation of the originally off-plane chromophores that would otherwise not contribute to the birefringence [132,139,144].
- Localized surface plasmon polariton resonance (LSPPR) hypothesis: In the case of metal NPs, the hypothesis that the increase in birefringence is due to the existence of localized surface plasmon polariton resonance has often been proposed. In fact, light interaction with NPs at the LSPPR frequencies produces electromagnetic fields around the NPs many orders of magnitude higher than the incident fields and exciting the plasmon resonance of the particles would lead to light absorption and local heating, which clearly makes it easier for the molecules to reorient [153,154,155].
7. Photoanisotropic Nanocomposites: Future Outlook
8. Conclusions
Author Contributions
Funding
Data Availability Statement
Acknowledgments
Conflicts of Interest
References
- Freestone, I.; Meeks, N.; Sax, M.; Higgitt, C. The Lycurgus cup—A Roman nanotechnology. Gold Bull. 2007, 40, 270–277. [Google Scholar] [CrossRef]
- Banerjee, P.; Evans, D.; Lee, W.; Reshetnyak, V.; Tansu, N. Hybrid organic–inorganic materials for photonic applications. Opt. Mater. Express 2013, 3, 1149–1151. [Google Scholar] [CrossRef]
- Sanchez, C.; Belleville, P.; Popall, M.; Nicole, L. Applications of advanced hybrid organic-inorganic nano-materials: From laboratory to market. Chem. Soc. Rev. 2011, 40, 696–753. [Google Scholar] [CrossRef] [PubMed]
- Faupel, F.; Zaporojtchenko, V.; Strunskus, T.; Elbahri, M. Metal-Polymer Nanocomposites for Functional Applications. Adv. Eng. Mater. 2010, 12, 1177–1190. [Google Scholar] [CrossRef]
- Castagna, R.; Riminesi, C.; Di Donato, A.; Francescangeli, O.; Lucchetta, D. Top-Performance Transmission Gratings with Haloalkanes-Based Polymeric Composite Materials. Materials 2022, 15, 8638. [Google Scholar] [CrossRef] [PubMed]
- Monfared, V.; Bakhsheshi-Rad, H.R.; Razzaghi, M.; Toghraie, D.; Hekmatifar, M.; Berto, F. A Review Study for Creep in Different Nanocomposites. Met. Mater. Int. 2023, 29, 2444–2457. [Google Scholar] [CrossRef]
- Linnik, O.; Nadtoka, O. Polymer dye-containing nanocomposites as photocatalysts. Mol. Cryst. Liq. Cryst. 2017, 642, 106–114. [Google Scholar] [CrossRef]
- Ni, M.; Peng, H.; Liao, Y.; Yang, Z.; Xue, Z.; Xie, X. 3D Image Storage in Photopolymer/ZnS Nanocomposites Tailored by “Photoinitibitor”. Macromolecules 2015, 48, 2958–2966. [Google Scholar] [CrossRef]
- Suzuki, N.; Tomita, Y.; Kojima, T. Holographic recording in TiO2 nanoparticle-dispersed methacrylate photopolymer films. Appl. Phys. Lett. 2002, 81, 4121–4123. [Google Scholar] [CrossRef]
- Tomita, Y.; Nishibiraki, H. Improvement of holographic recording sensitivities in the green in SiO2 nanoparticle dispersed methacrylate photopolymers doped with pyrromethene dyes. Appl. Phys. Lett. 2003, 83, 410–412. [Google Scholar] [CrossRef]
- Suzuki, N.; Tomita, Y. Diffraction properties of volume holograms recorded in SiO2 nanoparticle-dispersed methacrylate photopolymer films. Jpn. J. Appl. Phys. 2003, 42, 927–929. [Google Scholar] [CrossRef]
- Tomita, Y.; Hata, E.; Momose, K.; Takayama, S.; Liu, X.; Chikama, K.; Klepp, J.; Pruner, C.; Fally, M. Photopolymerizable nanocomposite photonic materials and their holographic applications in light and neutron optics. J. Mod. Opt. 2016, 63, S11–S41. [Google Scholar] [CrossRef] [PubMed]
- Vaia, R.A.; Maguire, J.F. Polymer Nanocomposites with Prescribed Morphology: Going beyond Nanoparticle-Filled Polymers. Chem. Mater. 2007, 19, 2736–2751. [Google Scholar] [CrossRef]
- Van Gough, D.; Jhul, A.T.; Braun, P.V. Programming structure into 3D nanomaterials. Mater. Today 2009, 12, 28–35. [Google Scholar] [CrossRef]
- Tomita, Y. Holographic Nanoparticle-Photopolymer Composites. In Encyclopedia of Nanoscience and Nanotechnology, 2nd ed.; Nalwa, H.S., Ed.; American Scientific Publishers: Valencia, CA, USA, 2011; Volume 15, pp. 191–205. [Google Scholar]
- Vaia, R.A.; Dennis, C.L.; Natarajan, L.V.; Tondiglia, V.P.; Tomlin, D.W.; Bunning, T.J. One-Step, Micrometer-Scale Organization of Nano- and Mesoparticles Using Holographic Photopolymerization: A Generic Technique. Adv. Mater. 2001, 13, 1570–1574. [Google Scholar] [CrossRef]
- Del Monte, F.; Martinez, O.; Rodrigo, J.A.; Calvo, M.L.; Cheben, P. A Volume Holographic Sol-Gel Material with Large Enhancement of Dynamic Range by Incorporation of High Refractive Index Species. Adv. Mater. 2006, 18, 2014–2017. [Google Scholar] [CrossRef]
- Martinez-Matos, O.; Calvo, M.L.; Rodrigo, J.A.; Cheben, P.; del Monte, F. Diffusion study in tailored gratings recorded in photopolymer glass with high refractive index species. Appl. Phys. Lett. 2007, 91, 141115. [Google Scholar] [CrossRef]
- Suzuki, N.; Tomita, Y. Silica-nanoparticle-dispersed methacrylate photopolymers with net diffraction efficiency near 100%. Appl. Opt. 2004, 43, 2125–2129. [Google Scholar] [CrossRef]
- Naydenova, I.; Sherif, H.; Mintova, S.; Martin, S.; Toal, V. Holographic recording in nanoparticle-doped photopolymer. Proc. SPIE 2006, 6252, 625206. [Google Scholar] [CrossRef]
- Leite, E.; Naydenova, I.; Pandey, N.; Babeva, T.; Jajano, G.; Mintova, S.; Toal, V. Investigation of the light induced redistribution of zeolite Beta nanoparticles in an acrylamide-based photopolymer. J. Opt. A Pure Appl. Opt. 2009, 2, 024016. [Google Scholar] [CrossRef]
- Ostrowski, A.M.; Naydenova, I.; Toal, V. Light-induced redistribution of Si-MFI zeolite nanoparticles in acrylamide-based photopolymer holographic gratings. J. Opt. A Pure Appl. Opt. 2009, 3, 034004. [Google Scholar] [CrossRef]
- Moothanchery, M.; Naydenova, I.; Mintova, S.; Toal, V. Nanozeolites doped photopolymer layers with reduced shrinkage. Opt. Express 2011, 19, 25786–25791. [Google Scholar] [CrossRef] [PubMed]
- Mihaylova, E.; Cody, D.; Naydenova, I.; Martin, S.; Toal, V. Research on Holographic Sensors and Novel Photopolymers at the Centre for Industrial and Engineering Optics. In Holography—Basic Principles and Contemporary Applications; Mihaylova, E., Ed.; InTech: London, UK, 2013; Chapter 4. [Google Scholar] [CrossRef][Green Version]
- Nadal, E.; Barros, N.; Glénat, H.; Laverdant, J.; Schmool, D.S.; Kachkachi, H. Plasmon-enhanced diffraction in nanoparticle gratings fabricated by in situ photo-reduction of gold chloride doped polymer thin films by laser interference patterning. J. Mater. Chem. C 2017, 5, 3553–3560. [Google Scholar] [CrossRef]
- Babeva, T.; Todorov, R.; Mintova, S.; Yovcheva, T.; Naydenova, I.; Toal, V. Optical properties of silica-MFI doped acrylamide-based photopolymer. J. Opt. A Pure Appl. Opt. 2009, 11, 024015. [Google Scholar] [CrossRef]
- Leite, E.; Babeva, T.; Ng, E.-P.; Toal, V.; Mintova, S.; Naydenova, I. Optical Properties of Photopolymer Layers Doped with Aluminophosphate Nanocrystals. J. Phys. Chem. C 2010, 114, 16767–16775. [Google Scholar] [CrossRef]
- Naydenova, I.; Kotakonda, P.; Jallapuram, R.; Babeva, T.; Mintova, S.; Bade, D.; Martin, S.; Toal, V. Recent and Emerging Applications of Holographic Photopolymers and Nanocomposites. AIP Conf. Proc. 2010, 1288, 30–34. [Google Scholar] [CrossRef]
- Naydenova, I.; Leite, E.; Babeva, T.; Pandey, N.; Baron, T.; Yovcheva, T.; Sainov, S.; Martin, S.; Mintova, S.; Toal, V. Optical properties of photopolymerizable nanocomposites containing nanosized molecular sieves. J. Opt. 2011, 13, 044019. [Google Scholar] [CrossRef]
- Cody, D.; Mihaylova, E.; O’Neill, L.; Babeva, T.; Awala, H.; Retoux, R.; Mintova, S.; Naydenova, I. Effect of zeolite nanoparticles on the optical properties of diacetone acrylamide-based photopolymer. Opt. Mater. 2014, 37, 181–187. [Google Scholar] [CrossRef]
- Sakhno, O.V.; Goldenberg, L.M.; Stumpe, J.; Smirnova, T.N. Surface modified ZrO2 and TiO2 nanoparticles embedded in organic photopolymers for highly effective and UV-stable volume holograms. Nanotechnology 2007, 18, 105704. [Google Scholar] [CrossRef]
- Irfan, M.; Martin, S.; Obeidi, M.A.; Miller, S.; Kuster, F.; Brabazon, D.; Naydenova, I. A Magnetic Nanoparticle-Doped Photopolymer for Holographic Recording. Polymers 2022, 14, 1858. [Google Scholar] [CrossRef]
- Goldenberg, L.M.; Sakhno, O.V.; Smirnova, T.N.; Helliwell, P.; Chechik, V.; Stumpe, J. Holographic Composites with Gold Nanoparticles: Nanoparticles Promote Polymer Segregation. Chem. Mater. 2008, 20, 4619–4627. [Google Scholar] [CrossRef]
- Burunkova, J.; Csarnovics, I.; Denisyuk, I.; Daróczi, L.; Kökényesi, S. Enhancement of laser recording in gold/amorphous chalcogenide and gold/acrylate nanocomposite layers. J. Non Cryst. Solids 2014, 402, 200–203. [Google Scholar] [CrossRef]
- Burunkova, J.A.; Alkhalil, D.; Svjazhina, D.S.; Bonyár, A.; Csarnovics, I.; Kokenyesi, S. Influence of gold nanoparticles in polymer nanocomposite on space-temporal-irradiation dependent diffraction grating recording. Polymer 2021, 214, 123240. [Google Scholar] [CrossRef]
- Burunkova, J.; Alkhalil, G.; Tcypkin, A.; Putilin, S.; Ismagilov, A.; Molnar, S.; Daroczi, L.; Kokenyesi, S. Laser Light Durability and Nonlinear Optical Properties of Acrylate Polymer—Chalcogenide Glass—Gold Nanocomposites. Phys. Status Solidi A 2022, 219, 2100658. [Google Scholar] [CrossRef]
- Barachevsky, V.A. The Current Status of the Development of Light-Sensitive Media for Holography (a Review). Opt. Spectrosc. 2018, 124, 373–407. [Google Scholar] [CrossRef]
- Kredentser, S.; Eremin, A.; Davidson, P.; Reshetnyak, V.; Stannarius, R.; Reznikov, Y. Dynamic and permanent gratings in suspensions of absorbing nanocrystals in an organic solvent. Photonics Lett. Pol. 2015, 7, 91–93. [Google Scholar] [CrossRef][Green Version]
- Lavrič, M.; Cordoyiannis, G.; Kralj, S.; Tzitzios, V.; Nounesis, G.; Kutnjak, Z. Effect of anisotropic MoS2 nanoparticles on the blue phase range of a chiral liquid crystal. Appl. Opt. 2013, 52, E47–E52. [Google Scholar] [CrossRef] [PubMed]
- Yaroshchuk, O.; Tomylko, S.; Gvozdovskyy, I.; Yamaguchi, R. Cholesteric liquid crystal–carbon nanotube composites with photo-settable reversible and memory electro-optic modes. Appl. Opt. 2013, 52, E53–E59. [Google Scholar] [CrossRef]
- Nabil, G.; Ho, W.F.; Chan, H.P. Experimental study on the performance of a variable optical attenuator using polymer dispersed liquid crystal. Appl. Opt. 2013, 52, E15–E21. [Google Scholar] [CrossRef]
- Minasyan, A.; Galstian, T. Surface-polymer stabilized liquid crystals with dual-frequency control. Appl. Opt. 2013, 52, E60–E67. [Google Scholar] [CrossRef]
- Cook, G.; Glushchenko, A.V.; Reshetnyak, V.; Beckel, E.R.; Saleh, M.; Evans, D.R. Liquid crystal inorganic hybrid photorefractives. In Proceedings of the 2008 IEEE/LEOS Winter Topical Meeting Series, Sorrento, Italy, 14–16 January 2008; pp. 129–130. [Google Scholar] [CrossRef]
- Lysenko, D.; Ouskova, E.; Ksondzyk, S.; Reshetnyak, V.; Cseh, L.; Mehl, G.H.; Reznikov, Y. Light-induced changes of the refractive indices in a colloid of gold nanoparticles in a nematic liquid crystal. Eur. Phys. J. E 2012, 35, 33. [Google Scholar] [CrossRef] [PubMed]
- Qi, H.; Hegmann, T. Formation of periodic stripe patterns in nematic liquid crystals doped with functionalized gold nanoparticles. J. Mater. Chem. 2006, 16, 4197–4205. [Google Scholar] [CrossRef]
- Park, E.-G.; Oh, C.-W.; Park, H.-G. Improvement of the electro-optical properties of nematic liquid crystals doped with strontium titanate nanoparticles at various doping concentrations. Liq. Cryst. 2020, 47, 136–142. [Google Scholar] [CrossRef]
- Ha, Y.-S.; Kim, H.-J.; Park, H.-G.; Seo, D.-S. Enhancement of electro-optic properties in liquid crystal devices via titanium nanoparticle doping. Opt. Express 2012, 20, 6448–6455. [Google Scholar] [CrossRef] [PubMed]
- Tripathi, P.K.; Singh, D.P.; Yadav, T.; Singh, V.; Srivastava, A.K.; Negi, Y.S. Enhancement of birefringence for liquid crystal with the doping of ferric oxide nanoparticles. Opt. Mater. 2023, 135, 113298. [Google Scholar] [CrossRef]
- Liu, R.C.; Marinova, V.; Huei, L.S.; Yuh, H.K. Near-infrared sensitive photorefractive device using polymer dispersed liquid crystal and BSO: Ru hybrid structure. Opt. Lett. 2014, 39, 3320–3323. [Google Scholar] [CrossRef] [PubMed]
- Marinova, V.; Tong, Z.F.; Petrov, S.; Karashanova, D.; Lin, Y.H.; Lin, S.H.; Hsu, K.Y. Graphene oxide doped PDLC films for all optically controlled light valve structures. Proc. SPIE 2016, 9970, 997009. [Google Scholar] [CrossRef]
- Marinova, V.; Liu, R.C.; Lin, S.H.; Chen, M.S.; Lin, Y.H.; Hsu, K.Y. Near infrared sensitive organic–inorganic photorefractive device. Opt. Rev. 2016, 23, 811–816. [Google Scholar] [CrossRef]
- Marinova, V.; Lin, S.H.; Hsu, K.Y. Electro-optically and all optically addressed spatial light modulator devices based on organic-inorganic hybrid structures. Proc. SPIE 2016, 10022, 100220V. [Google Scholar] [CrossRef]
- Rusen, E.; Diacon, A.; Mitran, R.-A.; Dinescu, A.; Nistor, C.; Șomoghi, R.; Boscornea, A.C.; Mănăilă-Maximean, D. E7 nematic liquid crystal encapsulated in a polymeric photonic crystal. Eur. Polym. J. 2022, 175, 111374. [Google Scholar] [CrossRef]
- Emoto, A.; Uchida, E.; Fukuda, T. Optical and Physical Applications of Photocontrollable Materials: Azobenzene-Containing and Liquid Crystalline Polymers. Polymers 2012, 4, 150–186. [Google Scholar] [CrossRef]
- Nikolova, L.; Ramanujam, P.S. Polarization Holography; Cambridge University Press: Cambridge, UK, 2009. [Google Scholar] [CrossRef]
- Kuroda, K.; Matsuhashi, Y.; Fujimura, R.; Shimura, T. Theory of polarization holography. Opt. Rev. 2011, 18, 374–382. [Google Scholar] [CrossRef]
- Hong, Y.F.; Kang, G.G.; Zang, J.L.; Fan, F.L.; Liu, Y.; Tan, X.D.; Shimura, T.; Kuroda, K. Investigation of faithful reconstruction in nonparaxial approximation polarization holography. Appl. Opt. 2017, 56, 10024–10029. [Google Scholar] [CrossRef]
- Todorov, T.; Nikolova, L. Spectrophotopolarimeter: Fast simultaneous real-time measurement of light parameters. Opt. Lett. 1992, 17, 358–369. [Google Scholar] [CrossRef] [PubMed]
- Provenzano, C.; Cipparrone, G.; Mazzulla, A. Photopolarimeter based on two gratings recorded in thin organic films. Appl. Opt. 2006, 45, 3929–3934. [Google Scholar] [CrossRef]
- Todorov, T.; Nikolova, L.; Stoilov, G.; Hristov, B. Spectral Stokesmeter 1 Implementation of the device. Appl. Opt. 2007, 46, 6662–6668. [Google Scholar] [CrossRef] [PubMed]
- Sasaki, T.; Hatayama, A.; Emoto, A.; Ono, H.; Kawatsuki, N. Simple detection of light polarization by using crossed polarization gratings. J. Appl. Phys. 2006, 100, 063502. [Google Scholar] [CrossRef]
- Fernández, E.A.; Bruce, N.C.; Rodríguez-Herrera, O.G.; Espinosa-Luna, R. Calibration and data extraction in a Stokes polarimeter employing three wavelengths simultaneously. Appl. Opt. 2021, 60, 5153–5160. [Google Scholar] [CrossRef]
- Provenzano, C.; Pagliusi, P.; Mazzulla, A.; Cipparrone, G. Method for artifact-free circular dichroism measurements based on polarization grating. Opt. Lett. 2010, 35, 1822–1824. [Google Scholar] [CrossRef]
- Nedelchev, L.; Todorov, T.; Nikolova, L.; Petrova, T.; Tomova, N.; Dragostinova, V. Characteristics of high-efficient polarization holographic gratings. Proc. SPIE 2001, 4397, 338–342. [Google Scholar] [CrossRef]
- Ono, H.; Nakamura, M.; Kawatsuki, N. Conversion of circularly polarized light into linearly polarized light in anisotropic phase gratings using photo-cross-linkable polymer liquid crystals. Appl. Phys. Lett. 2007, 90, 231107. [Google Scholar] [CrossRef]
- Martinez-Ponce, G.; Petrova, T.; Tomova, N.; Dragostinova, V.; Todorov, T.; Nikolova, L. Bifocal polarization holographic lens. Opt. Lett. 2004, 29, 1001–1003. [Google Scholar] [CrossRef]
- Jashnsaz, H.; Nataj, N.H.; Mohajerani, E.; Khabbazi, A. All-optical switchable holographic Fresnel lens based on azo-dye-doped polymer-dispersed liquid crystals. Appl. Opt. 2011, 50, 4295–4301. [Google Scholar] [CrossRef] [PubMed]
- Yeh, H.C.; Kuo, Y.C.; Lin, S.H.; Lin, J.D.; Mo, T.S.; Huang, S.Y. Optically controllable and focus-tunable Fresnel lens in azo-dyedoped liquid crystals using a Sagnac interferometer. Opt. Lett. 2011, 36, 1311–1313. [Google Scholar] [CrossRef]
- Ruiz, U.; Pagliusi, P.; Provenzano, C.; Lepera, E.; Cipparrone, G. Liquid crystal microlens arrays recorded by polarization holography. Appl. Opt. 2015, 54, 3303–3307. [Google Scholar] [CrossRef] [PubMed]
- Emoto, A.; Fukuda, T.; Barada, D. Asymmetric polarization conversion in polarization holograms with surface relief. Jpn. J. Appl. Phys. 2008, 47, 3568–3571. [Google Scholar] [CrossRef]
- Matharu, A.S.; Jeeva, S.; Ramanujam, P.S. Liquid crystals for holographic optical data storage. Chem. Soc. Rev. 2007, 36, 1868–1880. [Google Scholar] [CrossRef]
- Lin, S.H.; Cho, S.L.; Chou, S.F.; Lin, J.H.; Lin, C.M.; Chi, S.; Hsu, K.Y. Volume polarization holographic recording in thick photopolymer for optical memory. Opt. Express 2014, 22, 14944–14957. [Google Scholar] [CrossRef]
- Wang, J.; Pang, H.; Cao, A.; Zhang, M.; Kan, R.; Hu, S.; Shi, L.; Deng, Q. The Polarization Multiplexing Image with a Single Diffractive Optical Element. IEEE Photonics J. 2017, 9, 7000208. [Google Scholar] [CrossRef]
- Choi, K.; Hong, K.; Park, J.; Min, S.-W. Michelson-interferometric-configuration-based incoherent digital holography with a geometric phase shifter. Appl. Opt. 2020, 59, 1948–1953. [Google Scholar] [CrossRef]
- Kim, Y.; Hong, K.; Yeom, H.; Choi, K.; Park, J.; Min, S.-W. Wide-viewing holographic stereogram based on self-interference incoherent digital holography. Opt. Express 2022, 30, 12760–12774. [Google Scholar] [CrossRef] [PubMed]
- Li, L.; Shi, S.; Kim, J.; Escuti, M.J. Color-selective geometric-phase lenses for focusing and imaging based on liquid crystal polymer films. Opt. Express 2022, 30, 2487–2502. [Google Scholar] [CrossRef] [PubMed]
- Xia, R.; Wang, C.; Pan, Y.; Chen, T.; Lyu, Z.; Sun, L. Design of an augmented reality display based on polarization grating. Chin. Phys. B 2019, 28, 074201. [Google Scholar] [CrossRef]
- De Sio, L.; Roberts, D.E.; Liao, Z.; Nersisyan, S.; Uskova, O.; Wickboldt, L.; Tabiryan, N.; Steeves, D.M.; Kimball, B.R. Digital polarization holography advancing geometrical phase optics. Opt. Express 2016, 24, 18297–18306. [Google Scholar] [CrossRef] [PubMed]
- Yin, K.; Zhan, T.; Xiong, J.; He, Z.; Wu, S.T. Polarization Volume Gratings for Near-Eye Displays and Novel Photonic Devices. Crystals 2020, 10, 561. [Google Scholar] [CrossRef]
- Yang, X.; Zhang, C.; Qi, S.; Chen, K.; Tian, J.; Zhang, G. All-optical Boolean logic gate using azo-dye doped polymer film. Optik 2005, 116, 251–254. [Google Scholar] [CrossRef]
- Xia, R.; Wang, C.; Chen, T.; Pan, Y.; Lü, Z.; Sun, L. Design of an all-optical logic sequence generator based on polarization holographic gratings. Chin. Opt. Lett. 2019, 17, 082302. [Google Scholar] [CrossRef]
- Rochon, P.; Batalla, E.; Natansohn, A. Optically induced surface gratings on azoaromatic polymer films. Appl. Phys. Lett. 1995, 66, 136–138. [Google Scholar] [CrossRef]
- Kim, D.Y.; Tripathy, S.K.; Li, L.; Kumar, J. Laser-induced holographic surface relief gratings on nonlinear optical polymer films. Appl. Phys. Lett. 1995, 66, 1166–1168. [Google Scholar] [CrossRef]
- Ohdaira, Y.; Hoshiyama, S.; Kawakami, T.; Shinbo, K.; Kato, K.; Kaneko, F. Fabrication of surface relief gratings on azo dye thin films utilizing an interference of evanescent waves. Appl. Phys. Lett. 2005, 86, 051102. [Google Scholar] [CrossRef]
- Meshalkin, A.; Robu, S.; Achimova, E.; Prisacar, A.; Shepel, D.; Abashkin, V.; Triduh, G. Direct photoinduced surface relief formation in carbazole-based azopolymer using polarization holographic recording. J. Optoelectron. Adv. M. 2016, 18, 763–768. [Google Scholar]
- Babeva, T.; Mackey, D.; Naydenova, I.; Martin, S.; Toal, V. Study of the photoinduced surface relief modulation in photopolymers caused by illumination with a Gaussian beam of light. J. Opt. 2010, 12, 124011. [Google Scholar] [CrossRef][Green Version]
- Babeva, T.; Mackey, D.; Naydenova, I.; Martin, S.; Toal, V. Surface Relief Profile of Photopolymerisable Systems in a Single Illuminated Spot. AIP Conf. Proc. 2010, 1288, 43–46. [Google Scholar] [CrossRef]
- Nazarova, D.; Mednikarov, B.; Sharlandjiev, P. Resonant optical transmission from a one-dimensional relief metalized subwavelength grating. Appl. Opt. 2007, 46, 8250–8255. [Google Scholar] [CrossRef] [PubMed]
- Aleksejeva, J.; Teteris, J. Surface relief grating recording in azo polymer films. IOP Conf. Ser. Mater. Sci. Eng. 2013, 49, 012024. [Google Scholar] [CrossRef]
- Teteris, J.; Reinfelde, M.; Aleksejeva, J.; Gertners, U. Optical field-induced mass transport in soft materials. Phys. Procedia 2013, 44, 151–158. [Google Scholar] [CrossRef][Green Version]
- Fukuda, T. Rewritable high-density optical recording on azobenzene polymer thin film. Opt. Rev. 2005, 12, 126–129. [Google Scholar] [CrossRef]
- Natansohn, A.; Rochon, P. Photoinduced motions in azobenzene-based amorphous polymers: Possible photonic devices. Adv. Mater. 1999, 11, 1387–1391. [Google Scholar] [CrossRef]
- Ubukata, T.; Isoshima, T.; Hara, M. Wavelength-programmable organic distributed-feedback laser based on a photoassisted polymer-migration system. Adv. Mater. 2005, 17, 1630–1633. [Google Scholar] [CrossRef]
- Naydenova, I.; Nikolova, L.; Todorov, T.; Holme, N.C.R.; Ramanujam, P.S.; Hvilsted, S. Diffraction from polarization holographic gratings with surface relief in side-chain azobenzene polyesters. J. Opt. Soc. Am. B 1998, 15, 1257–1265. [Google Scholar] [CrossRef]
- Viswanathan, N.; Kim, D.; Tripathy, S. Surface relief structures on azo polymer films. J. Mater. Chem. 1999, 9, 1941–1955. [Google Scholar] [CrossRef]
- Schedl, A.E.; Probst, P.T.; Meichner, C.; Neuber, C.; Kador, L.; Fery, A.; Schmidt, H.W. Confinement templates for hierarchical nanoparticle alignment prepared by azobenzene-based surface relief gratings. Soft Matter 2019, 19, 3872–3878. [Google Scholar] [CrossRef] [PubMed]
- Capeluto, G.M.; Falcione, R.; Salvador, R.F.; Eceiza, A.; Goyanes, S.; Ledesma, S.A. Functional surfaces through the creation of adhesion and charged patterns on azopolymer surface relief gratings. Opt. Mater. 2019, 90, 281–288. [Google Scholar] [CrossRef]
- Huh, P.; Yan, F.; Li, L.; Kim, M.; Mosurkal, R.; Samuelson, L.A.; Kumar, J. Simple fabrication of zinc oxide nanostructures. J. Mater. Chem. 2008, 18, 637–639. [Google Scholar] [CrossRef]
- Li, X.T.; Natansohn, A.; Rochon, P. Photoinduced liquid crystal alignment based on a surface relief grating in an assembled cell. Appl. Phys. Lett. 1999, 74, 3791–3793. [Google Scholar] [CrossRef]
- Kim, M.H.; Kim, J.D.; Fukuda, T.; Matsuda, H. Alignment control of liquid crystals on surface relief gratings. Liq. Cryst. 2000, 27, 1633–1640. [Google Scholar] [CrossRef]
- Parfenov, A.; Tamaoki, N.; Ohnishi, S. Photoinduced alignment of nematic liquid crystal on the polymer surface microrelief. J. Appl. Phys. 2000, 87, 2043–2045. [Google Scholar] [CrossRef]
- Chung, D.H.; Fukuda, T.; Takanishi, Y.; Ishikawa, K.; Matsuda, H.; Takezoe, H.; Osipov, M.A. Competitive effects of grooves and photoalignment on nematic liquid-crystal alignment using azobenzene polymer. J. Appl. Phys. 2002, 92, 1841–1844. [Google Scholar] [CrossRef]
- Ye, Y.H.; Badilescu, S.; Truong, V.V.; Rochon, P.; Natansohn, A. Self-assembly of colloidal spheres on patterned substrates. Appl. Phys. Lett. 2001, 79, 872–874. [Google Scholar] [CrossRef]
- Yi, D.K.; Seo, E.M.; Kim, D.Y. Surface-modulation-controlled three-dimensional colloidal crystals. Appl. Phys. Lett. 2002, 80, 225–227. [Google Scholar] [CrossRef]
- Yi, D.K.; Kim, M.J.; Kim, D.Y. Surface relief grating induced colloidal crystal structures. Langmuir 2002, 18, 2019–2023. [Google Scholar] [CrossRef]
- Watanabe, O.; Ikawa, T.; Kato, T.; Tawata, M.; Shimoyama, H. Area-selective photoimmobilization of a two-dimensional array of colloidal spheres on a photodeformed template formed in photoresponsive azopolymer film. Appl. Phys. Lett. 2006, 88, 204107. [Google Scholar] [CrossRef]
- Li, Y.; He, Y.; Tong, X.; Wang, X. Photoinduced Deformation of Amphiphilic Azo Polymer Colloidal Spheres. J. Am. Chem. Soc. 2005, 127, 2402–2403. [Google Scholar] [CrossRef] [PubMed]
- Li, J.; Chen, L.; Xu, J.; Wang, K.; Wang, X.; He, X.; Dong, H.; Lin, S.; Zhu, J. Photoguided Shape Deformation of Azobenzene-Containing Polymer Microparticles. Langmuir 2015, 31, 13094–13100. [Google Scholar] [CrossRef] [PubMed]
- Loebner, S.; Lomadze, N.; Kopyshev, A.; Koch, M.; Guskova, O.; Saphiannikova, M.; Santer, S. Light-Induced Deformation of Azobenzene-Containing Colloidal Spheres: Calculation and Measurement of Opto-Mechanical Stresses. J. Phys. Chem. B 2018, 122, 2001–2009. [Google Scholar] [CrossRef] [PubMed]
- Ohdaira, Y.; Ikeda, Y.; Oka, H.; Shinbo, K. Optically reversible deformation of azobenzene particles prepared by a colloidal method. J. Appl. Phys. 2019, 125, 103104. [Google Scholar] [CrossRef]
- Ichimura, K. Photoalignment of Liquid-Crystal Systems. Chem. Rev. 2000, 100, 1847–1874. [Google Scholar] [CrossRef]
- Natansohn, A.; Rochon, P. Photoinduced Motions in Azo-Containing Polymers. Chem. Rev. 2002, 102, 4139–4175. [Google Scholar] [CrossRef]
- Ikeda, T. Photomodulation of Liquid Crystal Orientations for Photonic Applications. J. Mater. Chem. 2003, 13, 2037–2057. [Google Scholar] [CrossRef]
- Todorov, T.; Nikolova, L.; Tomova, N. Polarization Holography 1: A new high-efficiency organic material with reversible photoinduced birefringence. Appl. Opt. 1984, 23, 4309–4312. [Google Scholar] [CrossRef]
- Todorov, T.; Nikolova, L.; Tomova, N. Polarization Holography 2: Polarization holographic gratings in photoanisotropic materials with and without intrinsic birefringence. Appl. Opt. 1984, 23, 4588–4591. [Google Scholar] [CrossRef] [PubMed]
- Todorov, T.; Nikolova, L.; Stoyanova, K.; Tomova, N. Polarization Holography 3: Some applications of polarization holographic recording. Appl. Opt. 1985, 24, 785–788. [Google Scholar] [CrossRef] [PubMed]
- Wang, X. Azo Polymers: Synthesis, Functions and Applications; Springer: Berlin/Heidelberg, Germany, 2017. [Google Scholar] [CrossRef]
- Zhai, Y.; Cao, L.; Liu, Y.; Tan, X. A Review of Polarization-Sensitive Materials for Polarization Holography. Materials 2020, 13, 5562. [Google Scholar] [CrossRef] [PubMed]
- Oscurato, S.L.; Salvatore, M.; Maddalena, P.; Ambrosio, A. From nanoscopic to macroscopic photo-driven motion in azobenzene-containing materials. Nanophotonics 2018, 7, 1387–1422. [Google Scholar] [CrossRef]
- Priimagi, A.; Shevchenko, A. Azopolymer-Based Micro- and Nanopatterning for Photonic Applications. J. Polym. Sci. B Polym. Phys. 2014, 52, 163–182. [Google Scholar] [CrossRef]
- Ferreira, Q.; Gomes, P.; Raposo, M.; Giacometti, J.; Oliveira, O.; Ribeiro, P. Influence of ionic interactions on the photoinduced birefringence of poly[1-[4-(3-Carboxy-4-hydroxyphenylazo) benzene sulfonamido]-1,2-ethanediyl, sodium salt] films. J. Nanosci. Nanotechnol. 2007, 7, 2659–2666. [Google Scholar] [CrossRef] [PubMed]
- Ferreira, Q.; Ribeiro, P.; Oliveira Jr, O.; Raposo, M. Long-term stability at high temperatures for Birefringence in PAZO/PAH layer-by-layer films. ACS Appl. Mater. Interfaces 2012, 4, 1470–1477. [Google Scholar] [CrossRef]
- Madruga, C.; Filho, P.; Andrade, M.; Gonçalves, M.; Raposo, M.; Ribeiro, P. Birefringence dynamics of poly{1-[4-(3-carboxy-4-hydroxyphenylazo) benzenesulfonamido]-1,2-ethanediyl, sodium salt} cast films. Thin Solid Films 2011, 519, 8191–8196. [Google Scholar] [CrossRef]
- Yadavalli, N.S.; Santer, S. In-situ atomic force microscopy study of the mechanism of surface relief grating formation in photosensitive polymer films. J. Appl. Phys. 2013, 113, 224304. [Google Scholar] [CrossRef]
- Jelken, J.; Santer, S. Light induced reversible structuring of photosensitive polymer films. RSC Adv. 2019, 9, 20295–20305. [Google Scholar] [CrossRef]
- Nedelchev, L.; Ivanov, D.; Berberova, N.; Strijkova, V.; Nazarova, D. Polarization holographic gratings with high diffraction efficiency recorded in azopolymer PAZO. Opt. Quantum Electron. 2018, 50, 212. [Google Scholar] [CrossRef]
- Nedelchev, L.; Ivanov, D.; Blagoeva, B.; Nazarova, D. Optical anisotropy induced at five different wavelengths in azopolymer thin films: Kinetics and spectral dependence. J. Photochem. Photobiol. A Chem. 2019, 376, 1–6. [Google Scholar] [CrossRef]
- Berberova, N.; Nazarova, D.; Nedelchev, L.; Blagoeva, B.; Kostadinova, D.; Marinova, V.; Stoykova, E. Photoinduced variation of the Stokes parameters of light passing through thin films of azopolymer-based hybrid organic/inorganic materials. J. Physics Conf. Ser. 2016, 700, 012032. [Google Scholar] [CrossRef]
- Nedelchev, L.; Mateev, G.; Strijkova, V.; Salgueiriño, V.; Schmool, D.S.; Berberova-Buhova, N.; Stoykova, E.; Nazarova, D. Tunable Polarization and Surface Relief Holographic Gratings in Azopolymer Nanocomposites with Incorporated Goethite (α-FeOOH) Nanorods. Photonics 2021, 8, 306. [Google Scholar] [CrossRef]
- Blagoeva, B.; Nedelchev, L.; Mateev, G.; Stoykova, E.; Nazarova, D. Diffraction efficiency of polarization holographic gratings recorded in azopolymer thin films coated using different solvents. Proc. SPIE 2020, 11367, 113671G. [Google Scholar] [CrossRef]
- Nazarova, D.; Nedelchev, L.; Ivanov, D.; Blagoeva, B.; Berberova, N.; Stoykova, E.; Mateev, G.; Kostadinova, D. Laser induced optically and thermally reversible birefringence in azopolymers. Proc. SPIE 2017, 10226, 1022608. [Google Scholar] [CrossRef]
- Falcione, R.; Roldan, M.V.; Pellegri, N.; Goyanes, S.; Ledesma, S.A.; Capeluto, M.G. Increase of SRG modulation depth in azopolymers-nanoparticles hybrid materials. Opt. Mater. 2021, 115, 111015. [Google Scholar] [CrossRef]
- Ivanov, M.; Ilieva, D.; Minchev, G.; Petrova, T.; Dragostinova, V.; Todorov, T.; Nikolova, L. Temperature-dependent light intensity controlled optical switching in azobenzene polymers. Appl. Phys. Lett. 2005, 86, 181902. [Google Scholar] [CrossRef]
- Loşmanskii, C.; Achimova, E.; Abaskin, V.; Meshalkin, A.; Prisacar, A.; Loghina, L.; Vlcek, M.; Yakovleva, A. QDs Doped Azopolymer for Direct Holographic Recording. In Proceedings of the 4th International Conference on Nanotechnologies and Biomedical Engineering, Chisinau, Moldova, 18–21 September 2019; Volume 77. [Google Scholar] [CrossRef]
- Achimova, E.; Abaskin, V.; Meshalkin, A.; Prisacar, A.; Loghina, L.; Vlcek, M.; Yakovleva, A. Polarization Holographic Recording on Photosensitive Polymers. In Proceedings of the 4th International Conference on Nanotechnologies and Biomedical Engineering, Chisinau, Moldova, 18–21 September 2019; Volume 77. [Google Scholar] [CrossRef]
- Li, X.; Chon, J.W.M.; Evans, R.A.; Gu, M. Two-photon energy transfer enhanced three-dimensional optical memory in quantum-dot and azo-dye doped polymers. Appl. Phys. Lett. 2008, 92, 063309. [Google Scholar] [CrossRef]
- Rodríguez-González, R.J.; Ramos-Díaz de León, A.; Hernández-Hernández, E.; Larios-López, L.; Ruiz-Martínez, A.Y.; Felix-Serrano, I.; Navarro-Rodríguez, D. Enhancement of the photoinduced birefringence and inverse relaxation of a liquid crystal azopolymer by doping with carbon nanostructures. J. Photochem. Photobiol. A Chem. 2023, 435, 114342. [Google Scholar] [CrossRef]
- Díaz-Constanzo, G.; Ribba, L.; Goyanes, S.; Ledesma, S. Enhancement of the optical response in a biodegradable polymer/azo-dye film by the addition of carbon nanotubes. J. Phys. D Appl. Phys. 2004, 47, 135103. [Google Scholar] [CrossRef]
- Nedelchev, L.; Nazarova, D.; Dragostinova, V.; Karashanova, D. Increase of photoinduced birefringence in a new type of anisotropic nanocomposite: Azopolymer doped with ZnO nanoparticles. Opt. Lett. 2002, 37, 2676–2678. [Google Scholar] [CrossRef] [PubMed]
- Nedelchev, L.; Nazarova, D.; Dragostinova, V. Photosensitive organic/inorganic azopolymer based nanocomposite materials with enhanced photoinduced birefringence. J. Photochem. Photobiol. A Chem. 2013, 261, 26–30. [Google Scholar] [CrossRef]
- Berberova, N.; Daskalova, D.; Strijkova, V.; Kostadinova, D.; Nazarova, D.; Nedelchev, L.; Stoykova, E.; Marinova, V.; Chi, C.H.; Lin, S.H. Polarization holographic recording in thin films of pure azopolymer and azopolymer based hybrid materials. Opt. Mater. 2017, 64, 212–216. [Google Scholar] [CrossRef]
- Shah, S.M.; Martini, C.; Ackermann, J.; Fages, F.C. Photoswitching in azobenzene self-assembled monolayers capped on zinc oxide: Nanodots vs. nanorods. J. Colloid Interface Sci. 2012, 367, 109–114. [Google Scholar] [CrossRef] [PubMed]
- Alsaad, A.M.; Al-Bataineh, Q.M.; Telfah, M.; Ahmad, A.A.; Albataineh, Z.; Telfah, A. Optical properties and photo-isomerization processes of PMMA–BDK–MR nanocomposite thin films doped by silica nanoparticles. Polym. Bull. 2021, 78, 3425–3441. [Google Scholar] [CrossRef]
- Nazarova, D.; Nedelchev, L.; Sharlandjev, P.; Dragostinova, V. Anisotropic hybrid organic/inorganic (azopolymer/SiO2 NP) materials with enhanced photoinduced birefringence. Appl. Opt. 2013, 52, E28–E33. [Google Scholar] [CrossRef] [PubMed]
- Kang, L.; Fu, S.; Zhang, X.; Wang, X.; Wu, J.; Liu, S.; Ji, R.; Han, X.; Liu, Y.; Li, J. Nano porous-template-modulated azopolymers for enhancing reversible photo photo-transformation. OSA Contin. 2018, 1, 477–487. [Google Scholar] [CrossRef]
- Fernandez, R.; Gutierrez, J.; Eceiza, A.; Tercjak, A. Hybrid materials based on azopolymer and sol–gel synthesized silver-containing titanium oxide nanoparticles with photoinduced birefringence. RSC Adv. 2015, 5, 15740–15748. [Google Scholar] [CrossRef]
- Mateev, G.; Nazarova, D.; Nedelchev, L. Increase of the Photoinduced Birefringence in Azopolymer Films Doped with TiO2 Nanoparticles. J. Phys. Technol. 2019, 3, 18–21. [Google Scholar]
- Nazarova, D.; Mateev, G.; Nedelchev, L.; Stoykova, E.; Blagoeva, B.; Berberova, N.; Hong, K.; Park, J. Polarization holographic gratings with enhanced parameters recorded in azopolymer based nanocomposite materials. Optik 2021, 226, 165882. [Google Scholar] [CrossRef]
- Stoilova, A.; Dimov, D.; Trifonova, Y.; Lilova, V.; Blagoeva, B.; Nazarova, D.; Nedelchev, L. Preparation, structural investigation and optical properties determination of composite films based on PAZO polymer doped with GeTe4-Cu chalcogenide particles. Eur. Phys. J. Appl. Phys. 2021, 95, 30301. [Google Scholar] [CrossRef]
- Nedelchev, L.; Nazarova, D.; Berberova, N.; Mateev, G.; Kostadinova, D.; Mariño-Fernández, R.; Salgueiriño, V.; Schmool, D. Enhanced photoanisotropic response in azopolymer doped with elongated goethite nanoparticles. J. Phys. Conf. Ser. 2016, 700, 012031. [Google Scholar] [CrossRef]
- Nazarova, D.; Nedelchev, L.; Mintova, S. Birefringence improvement in azopolymer doped with MFI zeolite nanoparticles. Optofluidics Microfluid. Nanofluidics 2014, 1, 43–48. [Google Scholar] [CrossRef]
- Liu, Y.; Liang, S.; Yuan, C.; Best, A.; Kappl, M.; Koynov, K.; Butt, H.-J.; Wu, S. Fabrication of Anticounterfeiting Nanocomposites with Multiple Security Features via Integration of a Photoresponsive Polymer and Upconverting Nanoparticles. Adv. Funct. Mater. 2021, 31, 2103908. [Google Scholar] [CrossRef]
- Elhani, S.; Ishitobi, H.; Inouye, Y.; Ono, A.; Hayashi, S.; Sekkat, Z. Surface Enhanced Visible Absorption of Dye Molecules in the Near-Field of Gold Nanoparticles. Sci. Rep. 2020, 10, 3913. [Google Scholar] [CrossRef] [PubMed]
- Na, S.-K.; Kim, J.-S.; Song, S.-H.; Oh, C.-H.; Han, Y.-K.; Lee, Y.-H.; Oh, S.-G. Efficient formation of surface relief grating on azopolymer films by gold nanoparticles. J. Appl. Phys. 2008, 104, 103117. [Google Scholar] [CrossRef]
- Wu, S.; Shen, J.; Huang, J.; Wu, Y.; Zhang, Z.; Hu, Y.; Wu, W.; Huang, W.; Wang, K.; Zhang, Q. Ag nanoparticle/azopolymer nanocomposites: In situ synthesis, microstructure, rewritable optically induced birefringence and optical recording. Polymer 2010, 51, 1395–1403. [Google Scholar] [CrossRef]
- Nazarova, D.; Nedelchev, L.; Stoykova, E.; Blagoeva, B.; Mateev, G.; Karashanova, D.; Georgieva, B.; Kostadinova, D. Photoinduced birefringence in azopolymer doped with Au nanoparticles. J. Phys. Conf. Ser. 2019, 1310, 012018. [Google Scholar] [CrossRef]
- Zhou, J.; Yang, J.; Sun, Y.; Zhang, D.; Shen, J.; Zhang, Q.; Wang, K. Effect of silver nanoparticles on photo-induced reorientation of azo groups in polymer films. Thin Solid Films 2007, 515, 7242–7246. [Google Scholar] [CrossRef]
- Berberova-Buhova, N.; Nedelchev, L.; Mateev, G.; Stoykova, E.; Strijkova, V.; Nazarova, D. Influence of the size of Au nanoparticles on the photoinduced birefringence and diffraction efficiency of polarization holographic gratings in thin films of azopolymer nanocomposites. Opt. Mater. 2021, 121, 111560. [Google Scholar] [CrossRef]
- Yang, Y.; Wang, C.; Wang, Y.; Pan, Y.; Li, H.; Xia, R. Enhanced diffraction efficiency of polarization holographic gratings in Au nanoparticles-doped methyl orange film. Opt. Eng. 2017, 56, 117105. [Google Scholar] [CrossRef]
- Zhang, J.; He, T.; Wang, C.; Zhang, X.; Zeng, Y. Enhancement of two-photon absorption and photoinduced birefringence in methyl orange by Au nanoparticles. Opt. Laser Technol. 2011, 43, 974–977. [Google Scholar] [CrossRef]
- Hautala, J. Light-Induced Motions in Azopolymer Films Doped with Silver Nanoparticles. Master’s Thesis, Aalto University, Espoo, Finland, 29 January 2014. Available online: https://aaltodoc.aalto.fi/handle/123456789/12734 (accessed on 23 May 2023).
- Mateev, G.; Stoilova, A.; Nazarova, D.; Nedelchev, L.; Todorov, P.; Georgieva, S.; Trifonova, Y.; Lilova, V. Photoinduced birefringence in PAZO polymer nanocomposite films with embedded particles of biologically active metal complexes. J. Chem. Technol. Metall. 2019, 54, 1123–1127. [Google Scholar]
- Stoilova, A.; Mateev, G.; Nazarova, D.; Nedelchev, L.; Stoykova, E.; Blagoeva, B.; Berberova, N.; Georgieva, S.; Todorov, P. Polarization holographic gratings in PAZO polymer films doped with particles of biometals. J. Photochem. Photobiol. A Chem. 2021, 411, 113196. [Google Scholar] [CrossRef]
- Stoilova, A.; Lilova, V.; Ivanova, V.; Trifonova, Y.; Dimov, D. Optical properties of electrospray deposited PAZO polymer films doped with GeTe4-Cu chalcogenide particles. J. Chem. Technol. Metall. 2022, 57, 126–131. [Google Scholar]
- Ledin, P.A.; Russell, M.; Geldmeier, J.A.; Tkachenko, I.M.; Mahmoud, M.A.; Shevchenko, V.; El-Sayed, M.A.; Tsukruk, V.V. Light-Responsive Plasmonic Arrays Consisting of Silver Nanocubes and a Photoisomerizable Matrix. ACS Appl. Mater. Interfaces 2015, 7, 4902–4912. [Google Scholar] [CrossRef]
- Nazarova, D.; Nedelchev, L.; Dragostinova, V.; Berberova, N. Influence of the size of nanoparticles doped in series of azopolymers on the photoinduced birefringence. Proc. SPIE 2013, 8770, 877009. [Google Scholar] [CrossRef]
- Vijayakumar, C.; Balan, B.; Kim, M.J.; Takeuchi, M. Noncovalent functionalization of SWNTs with azobenzene-containing polymers: Solubility, stability, and enhancement of photoresponsive properties. J. Phys. Chem. C 2011, 115, 4533–4539. [Google Scholar] [CrossRef]
- Schneider, V.; Strunskus, T.; Elbahri, M.; Faupe, F. Light-induced conductance switching in azobenzene based near-percolated single wall carbon nanotube/polymer composites. Carbon 2015, 90, 94–101. [Google Scholar] [CrossRef]
- Basuki, S.W.; Schneider, V.; Strunskus, T.; Elbahri, M.; Faupel, F. Light-controlled conductance switching in azobenzene-containing MWCNT-polymer nanocomposites. ACS Appl. Mater. Interfaces 2015, 7, 11257–11262. [Google Scholar] [CrossRef]
- Hu, D.; Lin, J.; Jin, S.; Hu, Y.; Wang, W.; Wang, R.; Yang, B. Synthesis, structure and optical data storage properties of silver nanoparticles modified with azobenzene thiols. Mater. Chem. Phys. 2016, 170, 108–112. [Google Scholar] [CrossRef]
- Alivisatos, A.P. Semiconductor Clusters, Nanocrystals, and Quantum Dots. Science 1996, 271, 933–937. [Google Scholar] [CrossRef]
- Bruchez, M., Jr.; Moronne, M.; Gin, P.; Weiss, S.; Alivisatos, A.P. Semiconductor nanocrystals as fluorescent biological labels. Science 1998, 281, 2013–2016. [Google Scholar] [CrossRef] [PubMed]
- Bi, M.; He, Y.; Wang, Y.; Yang, W.; Qin, B.; Xu, J.; Wang, X.; Wang, B.; Dong, Y.; Gao, Y.; et al. Photo actuation performance of nanotube sheet incorporated azobenzene crosslinked liquid crystalline polymer nanocomposite. Polymers 2019, 11, 735. [Google Scholar] [CrossRef] [PubMed]
- Moon, J.; Choi, J.; Cho, M. Opto-mechanical behaviour and interfacial characteristics of crosslinked liquid crystalline polymer composites with carbon. Carbon 2017, 121, 181–192. [Google Scholar] [CrossRef]
- Ma, P.C.; Siddiqui, N.A.; Marom, G.; Kim, J.K. Dispersion and functionalization of carbon nanotubes for polymer-based nanocomposites: A review. Compos. Part A 2010, 41, 1345–1367. [Google Scholar] [CrossRef]
- Nguyen, D.; Yoon, H. Recent advances in nanostructured conducting polymers: From synthesis to practical applications. Polymers 2016, 8, 118–156. [Google Scholar] [CrossRef] [PubMed]
- Look, D.C. Recent Advances in ZnO Materials and Devices. Mater. Sci. Eng. B Solid State Mater. Adv. Technol. 2001, 80, 383–387. [Google Scholar] [CrossRef]
- Pearton, S.J.; Norton, D.P.; Ip, K.; Heo, Y.W.; Steiner, T. Recent progress in processing and properties of ZnO. Superlattices Microstruct. 2003, 34, 3–32. [Google Scholar] [CrossRef]
- Djurisic, A.B.; Ng, A.M.C.; Chen, X.Y. ZnO nanostructures for optoelectronics: Material properties and device applications. Prog. Quantum Electron. 2010, 34, 191–259. [Google Scholar] [CrossRef]
- Ozgur, U.; Alivov, Y.I.; Liu, C.; Teke, A.; Reshchikov, M.A.; Dogan, S.; Avrutin, V.; Cho, S.-J.; Morkoc, H. A comprehensive review of ZnO materials and devices. J. Appl. Phys. 2005, 98, 041301. [Google Scholar] [CrossRef]
- Chambers, S.A.; Droubay, T.C.; Wang, C.M.; Rosso, K.M.; Heald, S.M.; Schwartz, D.A.; Kittilstved, K.R.; Gamelin, D.R. Ferromagnetism in oxide semiconductors. Mater. Today 2006, 9, 28–35. [Google Scholar] [CrossRef]
- Liu, X.; Wu, X.; Cao, H.; Chang, R.P.H. Growth mechanism and properties of ZnO nanorods synthesized by plasma-enhanced chemical vapor deposition. J. Appl. Phys. 2004, 95, 3141–3147. [Google Scholar] [CrossRef]
- Schmidt-Mende, L.; MacManus-Driscoll, J.L. ZnO: Nanostructures, defects, and devices. Mater. Today 2007, 10, 40–48. [Google Scholar] [CrossRef]
- Nedelchev, L.; Nazarova, D.; Blagoeva, B.; Ivanov, D.; Daskalova, D.; Berberova, N.; Mateev, G.; Kostadinova, D. Time dependent spectral birefringence excited with laser light in azopolymers and azopolymers doped with ZnO. Proc. SPIE 2017, 10226, 1022606. [Google Scholar] [CrossRef]
- Mateev, G.; Marinov, G.; Nedelchev, L.; Nazarova, D.; Stoykova, E.; Babeva, T. Improvement of the photoinduced birefringence in PAZO azopolymer doped with ZnO via electrospray deposition. J. Phys. Conf. Ser. 2020, 1492, 012041. [Google Scholar] [CrossRef]
- Yelleswarapu, C.S.; Rao, D.V.G.L.N. Photonic Applications with Photoanisotropic Nanomaterials. Opt. Spectrosc. 2011, 111, 208–214. [Google Scholar] [CrossRef]
- Reshetnyak, V.; Shanskii, L.; Yaroshchuk, O.; Tereshchenko, A.; Lindau, J.; Pelzl, G.; Janovski, F.; Otto, K. Photoorientation of polymer fragments in a system azopolymer-microporous glass. Mol. Cryst. Liq. Cryst. 1999, 329, 447–456. [Google Scholar] [CrossRef]
- Mateev, G.; Nedelchev, L.; Georgiev, A.; Nazarova, D. Improvement of the photoinduced birefringence in azopolymer PAZO doped with TiO2 nanoparticles via thermal treatment. Open Mater. Sci. 2019, 5, 19–23. [Google Scholar] [CrossRef]
- Marlow, F.; Hoffmann, K.; Caro, J. Photoinduced switching in nanocomposites of azobenzene and molecular sieves. Adv. Mater. 1997, 9, 567–570. [Google Scholar] [CrossRef]
- Hoffmann, K.; Resch-Genger, U.; Marlow, F. Photoinduced switching of nanocomposites consisting of azobenzene and molecular sieves: Investigation of the switching states. Microporous Mesoporous Mater. 2000, 41, 99–106. [Google Scholar] [CrossRef]
- Hoffmann, K.; Marlow, F. Molecular Sieve—Based Materials for Photonic Applications. In Handbook of Zeolite Science and Technology, 1st ed.; CRC Press: Boca Raton, FL, USA, 2003; pp. 921–949. ISBN 9780429213465. [Google Scholar]
- Kelly, L.; Coronado, E.; Zhao, L.L.; Schatz, G.C. The Optical Properties of Metal Nanoparticles: The Influence of Size, Shape, and Dielectric Environment. J. Phys. Chem. B 2003, 107, 668–677. [Google Scholar] [CrossRef]
- Van Duyne, R.P.; Hulteen, J.C.; Treichel, D.A. Atomic force microscopy and surface-enhanced Raman spectroscopy. I. Ag island films and Ag film over polymer nanosphere surfaces supported on glass. J. Chem. Phys. 1993, 99, 2101–2115. [Google Scholar] [CrossRef]
- Hulteen, J.C.; Van Duyne, R.P. Nanosphere lithography: A materials general fabrication process for periodic particle array surfaces. J. Vac. Sci. Technol. A 1995, A13, 1553–1558. [Google Scholar] [CrossRef]
- Kahl, M.; Voges, E. Analysis of plasmon resonance and surface-enhanced Raman scattering on periodic silver structures. Phys. Rev. B 2000, 61, 14078. [Google Scholar] [CrossRef]
- Hornyak, G.L.; Patrissi, C.J.; Martin, C.R.; Valmalette, J.C.; Dutta, J.; Hofmann, H. Dynamic Maxwell-Garnett optical modeling of nanogold-porous oxide composites: Mie and Kappa influence on absorption maxima. Nanostructured Mater. 1997, 9, 575–578. [Google Scholar] [CrossRef]
- Oldenburg, S.J.; Averitt, R.D.; Westcott, S.L.; Halas, N.J. Nanoengineering of optical resonances. Chem. Phys. Lett. 1998, 288, 243–247. [Google Scholar] [CrossRef]
- Liao, P.F.; Stem, M.B. Surface-enhanced Raman scattering on gold and aluminum particle arrays. Opt. Lett. 1982, 7, 483–485. [Google Scholar] [CrossRef]
- Collier, C.P.; Saykally, R.J.; Shiang, J.J.; Henrichs, S.E.; Heath, J.R. Reversible Tuning of Silver Quantum Dot Monolayers Through the Metal-Insulator Transition. Science 1997, 277, 1978–1981. [Google Scholar] [CrossRef]
- Wang, Z.L.; Petroski, J.M.; Green, T.C.; El-Sayed, M.A. Shape Transformation and Surface Melting of Cubic and Tetrahedral Platinum Nanocrystals. J. Phys. Chem. B 1998, 102, 6145–6151. [Google Scholar] [CrossRef]
- Yu, Y.Y.; Chang, S.S.; Lee, C.L.; Wang, C.R.C. Gold Nanorods: Electrochemical Synthesis and Optical Properties. J. Phys. Chem. B 1997, 101, 6661–6664. [Google Scholar] [CrossRef]
- Jin, R.; Cao, Y.; Mirkin, C.A.; Kelly, K.L.; Schatz, G.C.; Zheng, J.-G. Photoinduced conversion of silver nanospheres to nanoprisms. Science 2001, 294, 1901–1903. [Google Scholar] [CrossRef] [PubMed]
- Shen, J.; Wu, S.; Huang, J.; Zhang, Q.; Wang, K. Localized surface plasmon resonance effect on photo-induced alignment of films composed of silver nanoparticles and azopolymers with cyano or methyl substitutes on azobenzene moieties. Thin Solid Films 2010, 518, 2128–2133. [Google Scholar] [CrossRef]
- Manna, A.; Chen, P.L.; Akiyama, H.; Wei, T.; Tamada, K.; Knoll, W. Optimized photoisomerization on gold nanoparticles capped by unsymmetrical azobenzene disulfides. Chem. Mater. 2003, 15, 20–28. [Google Scholar] [CrossRef]
- Manna, D.; Udayabhaskararao, T.; Zhao, H.; Klajn, R. Orthogonal Light-Induced Self-Assembly of Nanoparticles using Differently Substituted Azobenzenes. Angew. Chem. Int. Ed. 2015, 54, 12394–12397. [Google Scholar] [CrossRef] [PubMed]
- Sidhaye, D.S.; Kashyap, S.; Sastry, M.; Hotha, S.; Prasad, B.L.V. Gold nanoparticle networks with photoresponsive interparticle spacings. Langmuir 2005, 21, 7979–7984. [Google Scholar] [CrossRef]
- Shin, K.; Shin, E.J. Photoresponsive Azobenzene-modified Gold Nanoparticle. Bull. Korean Chem. Soc. 2008, 29, 1259–1262. [Google Scholar] [CrossRef][Green Version]
- Klajn, R.; Wesson, P.J.; Bishop, L.J.M.; Grzybowski, B.A. Writing self-erasing images using metastable nanoparticle “inks”. Angew. Chem. Int. Ed. 2009, 48, 7035–7039. [Google Scholar] [CrossRef]
- Kunfi, A.; Ábrahám, A.; Gyulai, G.; Kiss, E.; London, G. Light-Induced and Thermal Isomerization of Azobenzenes on Immobilized Gold Nanoparticle Aggregates. ChemPlusChem 2022, 87, e202200153. [Google Scholar] [CrossRef]
- Sunaga, N.; Haraguchi, T.; Akitsu, T. Orientation of Chiral Schiff Base Metal Complexes Involving Azo-Groups for Induced CD on Gold Nanoparticles by Polarized UV Light Irradiation. Symmetry 2019, 11, 1094. [Google Scholar] [CrossRef]
- Loșmanschii, C.; Achimova, E.; Abaskin, V.; Mesalchin, A.; Prisacar, A.; Botnari, V. Optical Properties and Photoinduced Anisotropy of PEPC-co-SY3 Nanocomposite. In Proceedings of the 6th International Conference on Nanotechnologies and Biomedical Engineering, Chisinau, Moldova, 20–23 September 2023; Volume 91, pp. 156–165. [Google Scholar] [CrossRef]
- Krahne, R.; Morello, G.; Figuerola, A.; George, C.; Deka, S.; Manna, L. Physical properties of elongated inorganic nanoparticles. Phys. Rep. 2011, 501, 75–221. [Google Scholar] [CrossRef]
- Bowker, M.; Smith, R.D.; Bennett, R.A. Anisotropic spillover from elongated nanoparticles. Surf. Sci. 2001, 478, L309–L312. [Google Scholar] [CrossRef]
- Huynh, W.U.; Dittmer, J.J.; Alivisatos, A.P. Hybrid Nanorod-Polymer Solar Cells. Science 2002, 295, 2425–2427. [Google Scholar] [CrossRef] [PubMed]
- Xia, Y.; Yang, P.; Sun, Y.; Wu, Y.; Mayers, B.; Gates, B.; Yin, Y.; Kim, F.; Yan, H. One-Dimensional Nanostructures: Synthesis, Characterization, and Applications. Adv. Mater. 2003, 15, 353–389. [Google Scholar] [CrossRef]
- Murphy, C.J.; Sau, T.K.; Gole, A.M.; Orendorff, C.J.; Gao, J.; Gou, L.; Hunyadi, S.E.; Li, T. Anisotropic metal nanoparticles: Synthesis, assembly, and optical applications. J. Phys. Chem. B 2005, 109, 13857–13870. [Google Scholar] [CrossRef] [PubMed]
- Burda, C.; Chen, X.; Narayanan, R.; El-Sayed, M.A. Chemistry and Properties of Nanocrystals of Different Shapes. Chem. Rev. 2005, 105, 1025–1102. [Google Scholar] [CrossRef] [PubMed]
- Heo, Y.W.; Norton, D.P.; Tien, L.C.; Kwon, Y.; Kang, B.S.; Ren, F.; Pearton, S.J.; LaRoche, J.R. ZnO nanowire growth and devices. Mater. Sci. Eng. 2004, 47, 1–47. [Google Scholar] [CrossRef]
- Cao, L.; Wu, S.; Hao, J.; Zhu, C.; He, Z.; Zhang, Z.; Zong, S.; Zhang, F.; Jin, G. Enhanced diffraction efficiency of mixed volume gratings with nanorod dopants in polymeric nanocomposite. Appl. Phys. Lett. 2017, 111, 141104. [Google Scholar] [CrossRef]
- Dall’Agnol, F.F.; Oliveira, O.N., Jr.; Giacometti, J.A. Influence from the free volume on the photoinduced birefringence in azocompound-containing polymers. Macromolecules 2006, 39, 4914–4919. [Google Scholar] [CrossRef]
- Merkel, T.C.; Freeman, B.D.; Spontak, R.J.; He, Z.; Pinnau, I.; Meakin, P.; Hill, A.J. Ultrapermeable, reverse-selective nanocomposite membranes. Science 2002, 296, 519–522. [Google Scholar] [CrossRef]
- Lazarova, K.; Christova, D.; Karashanova, D.; Georgieva, B.; Marovska, G.; Slavov, A.; Babeva, T. Blending Approach Preparation of PVA-g-PMA Films with Embedded “Green” Synthesized Silver Nanoparticles for Acetone Optical Detection. Sensors 2023, 23, 2941. [Google Scholar] [CrossRef]
- Tambosco, F.L.; Révora, C.; Volonnino, G.F.; Goyanes, S.; Capeluto, M.G.; Ledesma, S. Optimization of azopolymer films for optical memory applications by using ethylene glycol as a free-volume generator. Opt. Pura Apl. 2023, 56, 51149. [Google Scholar] [CrossRef]
- Henzl, J.; Mehlhorn, M.; Gawronski, H.; Rieder, K.-H.; Morgenstern, K. Reversible cis–trans isomerization of a single azobenzene molecule. Angew. Chem. Int. Ed. 2006, 45, 603–606. [Google Scholar] [CrossRef]









| Nanosphere | Nanorod | |
|---|---|---|
| Shape | ![]() | ![]() |
| Birefringence dependance on concentration | ![]() | ![]() |
| No. | NP Type | NP Size | NP Shape | NP Concentration, Optimal | Matrix: Polymer, Copolymer or Dye | Birefringence Increase/Max Value | DE Increase/Max Value | SR Height Increase/Max Value | Refs. |
|---|---|---|---|---|---|---|---|---|---|
| Non-metallic nanoparticles: QDs, CNT, CNF, oxides, semiconductors | |||||||||
| 1 | QDs CdS366 CdS433 CdS441 | 2.43 nm 4.57 nm 4.89 nm | DR-1 | Enhancement of global absorbance | [136] | ||||
| 2 | chalcogenide QDs Cd0.2Zn0.8Se | 3.5 nm | Sphere | 1.5% | PEPC-co-DO | - | 1.24 to 1.28% | No increase | [134,135] |
| 3 | CNT | 140 nm | Tubes | 0.5% | P0C6 and M0C6 | 0.068 to 0.087 28% | - | - | [137] |
| 4 | CNF | Fibers | 0.5% | P0C6 and M0C6 | 0.068 to 0.097 42% | - | - | [137] | |
| 5 | CNT | 1.5 μm/20–40 nm | Tubes | 0.0005 g in 0.0025 g DO3 | Poly(lactic acid) (PLA) and Disperse Orange 3 (DO3) | Enhancement of the degree of photoinduced optical anisotropy in a wide temperature range | [138] | ||
| 6 | SWCNT | μm/2–50 nm | Tubes | 0.2–0.4 mg/mL | P1,P2,P3 azobenzene/pyrene (1/1; 1/1; 0.7/0.3) | 0.015 to 0.018 | The thermal stability increased | [167] | |
| 7 | SWCNT | 1.5 nm/2 μm | Tubes | 0.42, 0.56% | PMMA/Azo chromophore | Switching amplitudes up to 28% were achieved | [168] | ||
| 8 | MWCNT | 20–30 nm/15 μm | Tubes | 0.5% | PMMA/Azo benzene chromophore | Switching amplitudes up to 10% were achieved | [169] | ||
| 9 | ZnO | <50 nm | Sphere | 0.5% | P1, P2, P1-2 | 47%, 19%, 41%, to 0.082 | - | - | [139] |
| 10 | ZnO | <100 nm | Sphere | 0.5% | P1, P1-2 | decrease | [166] | ||
| 11 | ZnO | 5 nm 9/60 nm | Sphere, nanorods | AZO | Absorption studied | [142] | |||
| 12 | ZnO | <50 nm | Sphere | 10% | PAZO | 34% | 20%, twice | 9 nm; 42 nm 625 lines/mm; 1250 lines/mm | [128,141] |
| 13 | ZnO | 60–100 nm | sphere | 90 s deposition | PAZO | 20% | - | - | [140] |
| 14 | SiO2 | 2.5% and 5% | PMMA–BDK–MR | Studied the optical, chemical, and thermal properties: absorption and the thermal stability | [143] | ||||
| 15 | SiO2 | 5–15 nm | Sphere | P1 | 20% | - | - | [144] | |
| 16 | TiO2 | Nanoporous film | Nanoporous film | PDR19/TiO2 3% | PDR19 | - | 0.04 to 0.14% | - | [145] |
| 17 | TiO2 | 21 nm | Sphere | 3% | PAZO/methanol | 0.0757–0.0795 5% | 25.1–27.2% | 337–530 nm | [148] |
| 18 | TiO2 | 21 nm | Sphere | 1% | PAZO/water | 0.0725–0.076 5% | 10.5–12.6% | 120–275 nm | [147,148] |
| 19 | TiO2 SG | Sol–gel (SG) | Sol–gel (SG) | 10–99,67% | (PCBS) or PAZO | Absorption and reversible isomerization studied | [146] | ||
| 20 | α-FeOOH | 15/150 nm | Nanorods | 0, 0.5, 1 *, 2, 5, 7.5, 10, 15% | PAZO | 0.065 to 0.1 54% | 18.5% to 26.9% | 170 to 280 nm | [129,150] |
| 21 | (GeTe4)100−x Cux | 50–100 nm | Sphere | 1% | PAZO | 0.07 to 0.09 29% | - | - | [149] |
| 22 | MFI | 15 × 25 nm | Plate-like morphology | 1% | P1 | 25% | - | - | [151] |
| 23 | Upconverting nanoparticles (UCNPs) | 50 nm 57 nm | Hexagons | 10% 20% | PAzo | Absorption studied and anticounterfeiting applications | [152] | ||
| Metallic nanoparticles and metallic complexes | |||||||||
| 24 | Ag | 10 nm | Sphere | 8.4 ng | Copolym | 50% | - | - | [157] |
| 25 | Ag | 10 nm | Sphere | 2.2, 3.3, 4.5, 5.6% | Poly(AzoCN-co-HEMA (442;514 nm) | Increased rewriting stability | [155] | ||
| 26 | Ag | 5 nm | Sphere | - | Azo-SH/PMMA | Absorption studied | [170] | ||
| 27 | Ag | 8 nm | Sphere | 0.5–1.5% | p4VP(DY7)1.0 | - | 2.4 to 4.2% | 90–110 nm | [161] |
| 28 | Ag | 30 nm | Sphere | 0–2% | p4VP(DY7)1.0 | - | decrease | decrease | [161] |
| 29 | Ag | 50 nm | Sphere | 0–2% | p4VP(DY7)1.0 | - | decrease | decrease | [161] |
| 30 | Ag | 5 nm | 0, 0.03, 0.06, 0.09, 0.12%, | PAZO | - | 36% >2x | 225 to 400 nm | [132] | |
| 31 | Ag-Au (30%Ag/70% Au) | 5 nm | 0, 0.04, 0.08, 0.12, 0.15% | PAZO | - | 33% >2x | 225 to 325 nm | [132] | |
| 32 | Ti/Ag SG | sol–gel (SG) | Sol–gel (SG) | 10–99.67% | (PCBS) or PAZO | 10 times | - | - | [146] |
| 33 | Au | 5.2 nm | Sphere | - | C6AzSSC12 | Absorption and sedimentation studied | [204] | ||
| 34 | Au | - | - | 0.03, 0.06, 0.1, 0.13% | SE-AEC-MMA azoterpolymer | - | - | 45–100 nm 2.2x | [154] |
| 35 | Au | 15 nm | 0.2–2% 0.7% | DR1/Au-NPs/PMMA | - | 2.5x | - | [153] | |
| 36 | Au | 10 nm | Sphere | 0, 0.015, 0.03, 0.045, 0.06, 0.24% | PAZO | 0.07–0.08 14% | 25.4–28.6% | 330–360 nm | [156,158] |
| 37 | Au | 20 nm | Sphere | 0, 0.015, 0.03, 0.045, 0.06, 0.24% | PAZO | 0.07–0.087 24% | 25.4–26.8% | - | [158] |
| 38 | Au | 30 nm | Sphere | 0, 0.015, 0.03, 0.045, 0.06, 0.24% | PAZO | 0.07–0.077 1% | 25.4–26.2% | - | [158] |
| 39 | Au | 40 nm | Sphere | 0, 0.015, 0.03, 0.045, 0.06, 0.24% | PAZO | 0.07–0.074 5% | - | 330–340 nm | [158] |
| 40 | Au | 10–15 nm | Sphere | 2.91 × 10−4 M | MO/polyvinylpyrrolidone (PVP) | 0.0027 to 0.007 or 2.6x | - | - | [160] |
| 41 | Au | 5–18 nm | Sphere | - | MO/polyvinylpyrrolidone (PVP) | 9.8 × 10−4 to 1.6 × 10−3 63% | 0.12–0.42% 3.2x | - | [159] |
| 42 | Au | 25 nm | Sphere | 0, 0.0004, 0.0006, 0.001 mg/mL | PEPC-co-SY3 | Photoinduced changes in absorption, azimuth, and ellipticity | [211] | ||
| 43 | PDA/Au Polydopamine/Au | 30–50 nm 30–80 nm 600–900 nm | Azobenzene derivatives with different spacer lengths AzoC2SH, AzoC3SH, AzoC6SH | The thermal isomerization was accelerated for particle-bound azobenzenes compared to those in solution | [209] | ||||
| 44 | Ni(II) 3-amino- 5,5′-dimethylhydantoin (NLP) | 1, 2, 5% | PAZO | 0.08–0.093 16% | 24–33% | 321–586 nm | [162,163] | ||
| 45 | Cu(II) 3-amino-5,5′-dimethylhydantoin (CLP) | 1, 2, 5% | PAZO | 0.08–0.091 14% | 24–31.1% | 321–557 nm | [162,163] | ||
Disclaimer/Publisher’s Note: The statements, opinions and data contained in all publications are solely those of the individual author(s) and contributor(s) and not of MDPI and/or the editor(s). MDPI and/or the editor(s) disclaim responsibility for any injury to people or property resulting from any ideas, methods, instructions or products referred to in the content. |
© 2023 by the authors. Licensee MDPI, Basel, Switzerland. This article is an open access article distributed under the terms and conditions of the Creative Commons Attribution (CC BY) license (https://creativecommons.org/licenses/by/4.0/).
Share and Cite
Nazarova, D.; Nedelchev, L.; Berberova-Buhova, N.; Mateev, G. Nanocomposite Photoanisotropic Materials for Applications in Polarization Holography and Photonics. Nanomaterials 2023, 13, 2946. https://doi.org/10.3390/nano13222946
Nazarova D, Nedelchev L, Berberova-Buhova N, Mateev G. Nanocomposite Photoanisotropic Materials for Applications in Polarization Holography and Photonics. Nanomaterials. 2023; 13(22):2946. https://doi.org/10.3390/nano13222946
Chicago/Turabian StyleNazarova, Dimana, Lian Nedelchev, Nataliya Berberova-Buhova, and Georgi Mateev. 2023. "Nanocomposite Photoanisotropic Materials for Applications in Polarization Holography and Photonics" Nanomaterials 13, no. 22: 2946. https://doi.org/10.3390/nano13222946
APA StyleNazarova, D., Nedelchev, L., Berberova-Buhova, N., & Mateev, G. (2023). Nanocomposite Photoanisotropic Materials for Applications in Polarization Holography and Photonics. Nanomaterials, 13(22), 2946. https://doi.org/10.3390/nano13222946





