Dissolution Reaction and Surface Modification of UICC Amosite in Mimicked Gamble’s Solution: A Step towards Filling the Gap between Asbestos Toxicity and Its Crystal Chemical Features
Abstract
:1. Introduction
2. Materials and Methods
2.1. Materials
2.2. Dissolution in MGS
2.3. FE-SEM Investigation
2.4. HR-TEM Investigation
2.5. Powder X-ray Diffraction (PXRD)
2.6. XPS Investigation
3. Results
3.1. Morphological Investigation
3.2. Structural Analysis
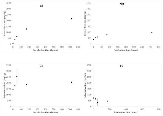
3.3. Dissolution Process
3.4. Surface Chemistry
4. Discussion
5. Conclusions
Supplementary Materials
Author Contributions
Funding
Data Availability Statement
Acknowledgments
Conflicts of Interest
References
- Skinner, H.C.W. Mineralogy of Asbestos Minerals. Indoor Built Environ. 2003, 12, 385–389. [Google Scholar] [CrossRef]
- Kim, S.-Y.; Kim, Y.-C.; Kim, Y.; Hong, W.-H. Predicting the Mortality from Asbestos-Related Diseases Based on the Amount of Asbestos Used and the Effects of Slate Buildings in Korea. Sci. Total Environ. 2016, 542, 1–11. [Google Scholar] [CrossRef]
- Iwaszko, J. Making Asbestos-Cement Products Safe Using Heat Treatment. Case Stud. Constr. Mater. 2019, 10, e00221. [Google Scholar] [CrossRef]
- Spasiano, D.; Pirozzi, F. Treatments of Asbestos Containing Wastes. J. Environ. Manag. 2017, 204, 82–91. [Google Scholar] [CrossRef] [PubMed]
- Gualtieri, A.F. Bridging the Gap between Toxicity and Carcinogenicity of Mineral Fibres by Connecting the Fibre Crystal-Chemical and Physical Parameters to the Key Characteristics of Cancer. Curr. Res. Toxicol. 2021, 2, 42–52. [Google Scholar] [CrossRef]
- IARC Working Group on the Evaluation of Carcinogenic Risks to Humans. Arsenic, Metals, Fibres and Dusts. In Proceedings of the IARC Monographs on the Evaluation of Carcinogenic Risks to Humans, Lion, France, 17–24 March 2009; published in 2012; No. 100C. p. 501.
- International Ban Asbestos Secretariat. Available online: http://ibasecretariat.org/alpha_ban_list.php (accessed on 5 May 2020).
- Fubini, B.; Mollo, L. Role of Iron in the Reactivity of Mineral Fibers. Toxicol. Lett. 1995, 82–83, 951–960. [Google Scholar] [CrossRef] [PubMed]
- Donaldson, K.; Murphy, F.A.; Duffin, R.; Poland, C.A. Asbestos, Carbon Nanotubes and the Pleural Mesothelium: A Review of the Hypothesis Regarding the Role of Long Fibre Retention in the Parietal Pleura, Inflammation and Mesothelioma. Part. Fibre Toxicol. 2010, 7, 5. [Google Scholar] [CrossRef]
- Bernstein, D.; Dunnigan, J.; Hesterberg, T.; Brown, R.; Velasco, J.A.L.; Barrera, R.; Hoskins, J.; Gibbs, A. Health Risk of Chrysotile Revisited. Crit. Rev. Toxicol. 2013, 43, 154–183. [Google Scholar] [CrossRef]
- Bonneau, L.; Malard, C.; Pezerat, H. Studies on surface properties of asbestos. 2. Role of dimensional characteristics and surface properties of mineral fibers in the induction of pleural tumors. Environ. Res. 1986, 41, 268–275. [Google Scholar] [CrossRef]
- Bonneau, L.; Suquet, H.; Malard, C.; Pezerat, H. Studies on surface properties of asbestos. 1. Active sites on surface of chrysotile and amphiboles. Environ. Res. 1986, 41, 251–267. [Google Scholar] [CrossRef]
- Gilmour, P.S.; Brown, D.M.; Beswik, P.H.; Macnee, W.; Rahman, I.; Donaldson, K. Free radical activity of industrial fibers: Role of iron in oxidative stress and activation of transcription factors. Environ. Health Perspect. 1997, 105, 1313–1317. [Google Scholar] [PubMed]
- Fubini, B. Physico-chemical and cell free assays to evaluate the potential carcinogenicity of fibres. In Mechanisms of Fibre Carcinogenesis; Kane, A.B., Boffetta, P., Saracci, R., Wilbourn, J., Eds.; IARC Scientific Publication: Lyon, France, 1996; p. 140. [Google Scholar]
- Fubini, B.; Otero Arean, C. Chemical aspects of the toxicity of inhaled mineral dusts. Chem. Soc. Rev. 1999, 28, 373–381. [Google Scholar] [CrossRef]
- Van Oss, C.J.; Naim, J.O.; Costanzo, P.M.; Giese Jr, R.F.; Wu, W.; Sorling, A.F. Impact of different asbestos species and other mineral particles on pulmonary pathogenesis: Clay. Clay Min. 1999, 47, 697–707. [Google Scholar] [CrossRef]
- Hardy, J.A.; Aust, A.E. Iron in Asbestos Chemistry and Carcinogenicity. Chem. Rev. 1995, 95, 97–118. [Google Scholar] [CrossRef]
- Fenoglio, I.; Prandi, L.; Tomatis, M.; Fubini, B. Free Radical Generation in the Toxicity of Inhaled Mineral Particles: The Role of Iron Speciation at the Surface of Asbestos and Silica. Redox Rep. 2001, 6, 235–241. [Google Scholar] [CrossRef]
- Kamp, D.W. Asbestos-induced lung diseases: An update. Transl. Res. 2009, 153, 143–152. [Google Scholar] [CrossRef]
- Liu, G.; Cheresh, P.; Kamp, D.W. Molecular Basis of Asbestos-Induced Lung Disease. Annu. Rev. Pathol. Mech. Dis. 2013, 8, 161–187. [Google Scholar] [CrossRef]
- Gualtieri, A.F. Introduction. In Mineral Fibres: Crystal Chemistry, Chemical-Physical Properties, Biological Interaction and Toxicity; Gualtieri, A.F., Ed.; European Mineralogical Union: Brussels, Belgium, 2017; Volume 18, pp. 1–16. ISBN 9780903056656. [Google Scholar]
- Andreozzi, G.B.; Pacella, A.; Corazzari, I.; Tomatis, M.; Turci, F. Surface Reactivity of Amphibole Asbestos: A Comparison between Crocidolite and Tremolite. Sci. Rep. 2017, 7, 14696. [Google Scholar] [CrossRef]
- Pacella, A.; Andreozzi, G.B.; Corazzari, I.; Tomatis, M.; Turci, F. Surface Reactivity of Amphibole Asbestos. A Comparison between Two Tremolite Samples with Different Surface Area. Period. Miner. 2018, 87, 195–205. [Google Scholar] [CrossRef]
- Pacella, A.; Tomatis, M.; Viti, C.; Bloise, A.; Arrizza, L.; Ballirano, P.; Turci, F. Thermal Inertization of Amphibole Asbestos Modulates Fe Topochemistry and Surface Reactivity. J. Hazard. Mater. 2020, 398, 123119. [Google Scholar] [CrossRef]
- Pacella, A.; Ballirano, P.; Fantauzzi, M.; Rossi, A.; Nardi, E.; Capitani, G.; Arrizza, L.; Montereali, M.R. Surface and Bulk Modifications of Amphibole Asbestos in Mimicked Gamble’s Solution at Acidic PH. Sci. Rep. 2021, 11, 14249. [Google Scholar] [CrossRef]
- Ballirano, P.; Skogby, H.; Gianchiglia, F.; Di Carlo, M.C.; Campopiano, A.; Cannizzaro, A.; Olori, A.; Pacella, A. Chemical and Structural Characterization of UICC Amosite Fibres from Penge Mine (South Africa). Period. Miner. 2022, 91, 143–154. [Google Scholar] [CrossRef]
- Cheary, R.W.; Coelho, A. A Fundamental Parameters Approach to X-Ray Line-Profile Fitting. J. Appl. Crystallogr. 1992, 25, 109–121. [Google Scholar] [CrossRef]
- Young, R.A. Introduction to the Rietveld Method. In The Rietveld Method; Young, R.A., Ed.; Oxford University Press: Oxford, UK, 1993; Volume 8, pp. 252–254. ISBN 0198555776. [Google Scholar]
- Järvinen, M. Application of Symmetrized Harmonics Expansion to Correction of the Preferred Orientation Effect. J. Appl. Crystallogr. 1993, 26, 525–531. [Google Scholar] [CrossRef]
- Sabine, T.M.; Hunter, B.A.; Sabine, W.R.; Ball, C.J. Analytical expressions for the transmission factor and peak shift in absorbing cylindrical specimens. J. Appl. Crystallogr. 1998, 31, 47–51. [Google Scholar] [CrossRef]
- Ballirano, P. Effects of the Choice of Different Ionization Level for Scattering Curves and Correction for Small Preferred Orientation in Rietveld Refinement: The MgAl2O4 Test Case. J. Appl. Crystallogr. 2003, 36, 1056–1061. [Google Scholar] [CrossRef]
- ISO 15472:2010; Surface Chemical Analysis—X-ray Photoelectron Spectrometers—Calibration of Energy Scales. ISO: Geneva, Switzerland, 2010. Available online: https://www.iso.org/standard/55796.html (accessed on 2 October 2023).
- Fantauzzi, M.; Pacella, A.; Atzei, D.; Gianfagna, A.; Andreozzi, G.B.; Rossi, A. Combined Use of X-Ray Photoelectron and Mössbauer Spectroscopic Techniques in the Analytical Characterization of Iron Oxidation State in Amphibole Asbestos. Anal. Bioanal. Chem. 2010, 396, 2889–2898. [Google Scholar] [CrossRef]
- Scofield, J.H. Hartree-Slater Subshell Photoionization Cross-Sections at 1254 and 1487 EV. J. Electron Spectros. Relat. Phenomena 1976, 8, 129–137. [Google Scholar] [CrossRef]
- Reilman, R.F.; Msezane, A.; Manson, S.T. Relative Intensities in Photoelectron Spectroscopy of Atoms and Molecules. J. Electron Spectros. Relat. Phenomena 1976, 8, 389–394. [Google Scholar] [CrossRef]
- Hirschmann, M.; Evans, B.W.; Yang, H. Composition and Temperature Dependence of Fe-Mg Ordering in Cummingtonite-Grunerite as Determined by X-Ray Diffraction. Amer. Miner. 1994, 79, 862–877. [Google Scholar]
- Schott, J.; Berner, R.A.; Sjöberg, E.L. Mechanism of Pyroxene and Amphibole Weathering—I. Experimental Studies of Iron-Free Minerals. Geochim. Cosmochim. Acta 1981, 45, 2123–2135. [Google Scholar] [CrossRef]
- Brantley, S.L.; Chen, Y. Chemical Weathering Rates of Pyroxenes and Amphiboles. Rev. Mineral. Geochem. 1995, 31, 119–172. [Google Scholar]
- Germine, M.; Puffer, J.H. Analytical Transmission Electron Microscopy of Amphibole Fibers From the Lungs of Quebec Miners. Arch. Environ. Occup. Health 2015, 70, 323–331. [Google Scholar] [CrossRef] [PubMed]
- Germine, M.; Puffer, J.H. Tremolite–actinolite fiber coatings of sub-nanometer silica-rich particles in lungs from deceased Quebec miners. Toxicol. Ind. Health. 2020, 36, 146–152. [Google Scholar] [CrossRef]
- Schott, J.; Berner, R.A. X-Ray Photoelectron Studies of the Mechanism of Iron Silicate Dissolution during Weathering. Geochim. Cosmochim. Acta 1983, 47, 2233–2240. [Google Scholar] [CrossRef]
- Siever, R.; Woodford, N. Dissolution Kinetics and the Weathering of Mafic Minerals. Geochim. Cosmochim. Acta 1979, 43, 717–724. [Google Scholar] [CrossRef]
- Speil, S.; Leineweber, J.P. Asbestos Minerals in Modern Technology. Environ. Res. 1969, 2, 166–208. [Google Scholar] [CrossRef]
- Hesterberg, T.W.; Miiller, W.C.; Musselman, R.P.; Kamstrup, O.; Hamilton, R.D.; Thevenaz, P. Biopersistence of Man-Made Vitreous Fibers and Crocidolite Asbestos in the Rat Lung Following Inhalation. Fundam. Appl. Toxicol. 1996, 29, 267–279. [Google Scholar] [CrossRef]
- Hesterberg, T.W.; Hart, G.A.; Chevalier, J.; Miiller, W.C.; Hamilton, R.D.; Bauer, J.; Thevenaz, P. The Importance of Fiber Biopersistence and Lung Dose in Determining the Chronic Inhalation Effects of X607, RCF1, and Chrysotile Asbestos in Rats. Toxicol. Appl. Pharmacol. 1998, 153, 68–82. [Google Scholar] [CrossRef]
- Hesterberg, T.W.; Chase, G.; Axten, C.; Miller, W.C.; Musselman, R.P.; Kamstrup, O.; Hadley, J.; Morscheidt, C.; Bernstein, D.M.; Thevenaz, P. Biopersistence of Synthetic Vitreous Fibers and Amosite Asbestos in the Rat Lung Following Inhalation. Toxicol. Appl. Pharmacol. 1998, 151, 262–275. [Google Scholar] [CrossRef]
- Bernstein, D.M.; Chevalier, J.; Smith, P. Comparison of Calidria Chrysotile Asbestos to Pure Tremolite: Inhalation Biopersistence and Histopathology Following Short-Term Exposure. Inhal. Toxicol. 2003, 15, 1387–1419. [Google Scholar] [CrossRef] [PubMed]
- Enrico Favero-Longo, S.; Turci, F.; Tomatis, M.; Compagnoni, R.; Piervittori, R.; Fubini, B. The Effect of Weathering on Ecopersistence, Reactivity, and Potential Toxicity of Naturally Occurring Asbestos and Asbestiform Minerals. J. Toxicol. Environ. Health Part A 2009, 72, 305–314. [Google Scholar] [CrossRef] [PubMed]
- Hawthorne, F.C.; Oberti, R. Amphiboles: Crystal Chemistry. In Amphiboles: Crystal Chemistry, Occurrence, and Health Issues; Hawthorne, F.C., Oberti, R., Della Ventura, G., Mottana, A., Eds.; Walter de Gruyter GmbH & Co. KG: Berlin, Germany, 2007; Volume 67, pp. 1–54. ISBN 0-939950-79-0. [Google Scholar]




| Phases | Pristine | A-720 h | 
|---|---|---|
| Amosite | 94.87(8) | 95.74(8) | 
| Quartz | 3.79(5) | 3.86(7) | 
| Ankerite | 0.76(4) | |
| Garnet | 0.58(4) | 0.40(4) | 
| Stilpnomelane | traces | traces | 
| Biotite/annite | traces | traces | 
| Hydrated sulphates | - | traces | 
| Sample | O | Si | Mg | Fe | Na | Ca | 
|---|---|---|---|---|---|---|
| Bulk | 62.1 | 20.5 | 5.0 | 11.9 | 0.3 | 0.2 | 
| Pristine | 57.8 (0.4) | 28.4 (0.5) | 7.3 (0.2) | 5.9 (0.3) | n.d. | 0.6 (0.2) | 
| A-1 h | 62.1 (0.7) | 24.7 (0.8) | 6.0 (0.8) | 4.9 (0.1) | 2.0 (0.3) | 0.3 (0.1) | 
| A-24 h | 62.4 (0.6) | 24.8 (0.7) | 5.5 (0.2) | 5.35 (0.05) | 1.8 (0.3) | 0.15 (0.03) | 
| A-48 h | 63.1 (0.5) | 24.5 (0.2) | 4.6 (0.4) | 5.9 (0.1) | 1.9 (0.4) | n.d. | 
| A-168 h | 63.6 (0.6) | 23.4 (0.4) | 5.3 (0.3) | 6.1 (0.2) | 1.5 (0.2) | n.d. | 
| A-720 h | 63.7 (0.2) | 24.4 (0.7) | 4.5 (0.4) | 6.2 (0.2) | 1.1 (0.1) | n.d. | 
| A: UICC Amosite (This Work) | B: UICC Crocidolite (Pacella et al. [25]) | C: Tremolite (Pacella et al. [25]) | |||||||||
|---|---|---|---|---|---|---|---|---|---|---|---|
| Sample | Fe(II)-O | Fe(III)-O | Fe-OOH | Sample | Fe(II)-O | Fe(III)-O | Fe-OOH | Sample | Fe(II)-O | Fe(III)-O | Fe-OOH | 
| Pristine | 71(3) | 3(1) | 26(4) | Pristine | 29 | 10 | 61 | Pristine | 21(1) | 19(1) | 60(1) | 
| A-1 h | 59(3) | 18(4) | 23(2) | T-1 h | 11(2) | 5(1) | 84(3) | C-1 h | 24(1) | 20.8(0.2) | 55.3(0.2) | 
| A-24 h | 65(1) | 12(1) | 23(1) | T-24 h | 13(1) | 2(1) | 85(1) | C-24 h | 25(1) | 23(1) | 53(2) | 
| A-48 h | 59(3) | 15(2) | 26(4) | T-48 h | 19(1) | 3(1) | 78(2) | C-48 h | 30.5(0.2) | 20.6(0.9) | 49(1) | 
| A-168 h | 56(1) | 18.0(0.1) | 26(1) | T-168 h | 13(1) | 10(2) | 77(3) | C-168 h | 28.9(0.1) | 23(3) | 48(3) | 
| A-720 h | 59(5) | 15(3) | 26(2) | T-720 h | 15(2) | 8(2) | 77(2) | C-720 h | 29(2) | 18(1) | 53(1) | 
| Sample | Si/Mg | Si/Fe | Si/O | 
|---|---|---|---|
| Pristine | 3.9(0.2) | 4.8(0.3) | 0.49(0.01) | 
| A-1 h | 4.1(0.7) | 5.0(0.3) | 0.40(0.02) | 
| A-24 h | 4.5(0.3) | 4.6(0.2) | 0.40(0.02) | 
| A-48 h | 5.3(0.5) | 4.2(0.1) | 0.39(0.01) | 
| A-168 h | 4.4(0.3) | 3.8(0.2) | 0.37(0.01) | 
| A-720 h | 5.4(0.6) | 3.9(0.2) | 0.38(0.01) | 
| Disclaimer/Publisher’s Note: The statements, opinions and data contained in all publications are solely those of the individual author(s) and contributor(s) and not of MDPI and/or the editor(s). MDPI and/or the editor(s) disclaim responsibility for any injury to people or property resulting from any ideas, methods, instructions or products referred to in the content. | 
© 2023 by the authors. Licensee MDPI, Basel, Switzerland. This article is an open access article distributed under the terms and conditions of the Creative Commons Attribution (CC BY) license (https://creativecommons.org/licenses/by/4.0/).
Share and Cite
Pacella, A.; Ballirano, P.; Di Carlo, M.C.; Fantauzzi, M.; Rossi, A.; Nardi, E.; Viti, C.; Arrizza, L.; Campopiano, A.; Cannizzaro, A.; et al. Dissolution Reaction and Surface Modification of UICC Amosite in Mimicked Gamble’s Solution: A Step towards Filling the Gap between Asbestos Toxicity and Its Crystal Chemical Features. Nanomaterials 2023, 13, 2933. https://doi.org/10.3390/nano13222933
Pacella A, Ballirano P, Di Carlo MC, Fantauzzi M, Rossi A, Nardi E, Viti C, Arrizza L, Campopiano A, Cannizzaro A, et al. Dissolution Reaction and Surface Modification of UICC Amosite in Mimicked Gamble’s Solution: A Step towards Filling the Gap between Asbestos Toxicity and Its Crystal Chemical Features. Nanomaterials. 2023; 13(22):2933. https://doi.org/10.3390/nano13222933
Chicago/Turabian StylePacella, Alessandro, Paolo Ballirano, Maria Cristina Di Carlo, Marzia Fantauzzi, Antonella Rossi, Elisa Nardi, Cecilia Viti, Lorenzo Arrizza, Antonella Campopiano, Annapaola Cannizzaro, and et al. 2023. "Dissolution Reaction and Surface Modification of UICC Amosite in Mimicked Gamble’s Solution: A Step towards Filling the Gap between Asbestos Toxicity and Its Crystal Chemical Features" Nanomaterials 13, no. 22: 2933. https://doi.org/10.3390/nano13222933
APA StylePacella, A., Ballirano, P., Di Carlo, M. C., Fantauzzi, M., Rossi, A., Nardi, E., Viti, C., Arrizza, L., Campopiano, A., Cannizzaro, A., Bloise, A., & Montereali, M. R. (2023). Dissolution Reaction and Surface Modification of UICC Amosite in Mimicked Gamble’s Solution: A Step towards Filling the Gap between Asbestos Toxicity and Its Crystal Chemical Features. Nanomaterials, 13(22), 2933. https://doi.org/10.3390/nano13222933
 
        


 
       