Effects of Cationic and Anionic Surfaces on the Perpendicular and Lateral Forces and Binding of Aspergillus niger Conidia
Abstract
1. Introduction
2. Methods and Materials
2.1. Spin Coated Surfaces
2.2. Determination of Surface Topography Images and Roughness Values (Ra)
2.3. Hardness of the Coatings
2.4. Wettability of the Surfaces
2.5. Preparation of Conidia
2.6. Imaging of Fungal Spores
2.7. Perpendicular Force Measurements
2.8. Lateral Force Measurements Using Fungal Spores
2.9. Attachment Assays
2.10. Adhesion Assays
2.11. Retention Assays
2.12. Multifractal Analysis (MFA)
2.13. Statistical Analysis
3. Results
3.1. Perpendicular force measurements
3.2. Lateral Force Measurements
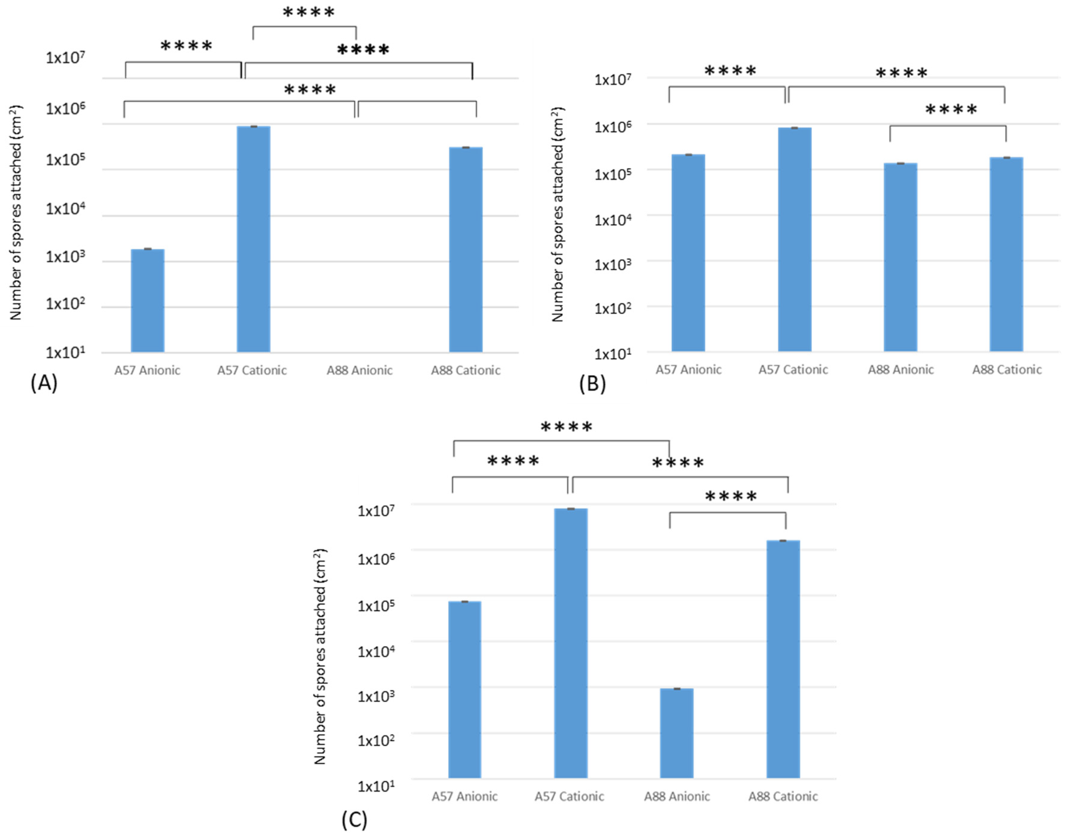
3.3. Attachment, Adhesion, and Retention Assays
3.4. Multifractal Analysis (MFA)
4. Discussion
4.1. Perpendicular and Lateral Force Measurements
4.2. Binding Assays and Multifractal Analysis
5. Conclusions
Author Contributions
Funding
Data Availability Statement
Acknowledgments
Conflicts of Interest
References
- WHO. Fungal Priority Pathogens List to Guide Research, Development and Public Health Action; World Health Organization: Geneva, Switzerland, 2022; ISBN 978-92-4-006024-1. [Google Scholar]
- Alfei, S.; Schito, A.M. Positively charged polymers as promising devices against multidrug resistant gram-negative bacteria: A review. Polymers 2020, 23, 1195. [Google Scholar] [CrossRef] [PubMed]
- Atchad, E.; Jean-Baptiste, S.; Houzé, S.; Chabut, C.; Massias, L.; Castier, Y.; Brugière, O.; Mal, H.; Montravers, P. Fatal invasive Aspergillosis caused by Aspergillus niger after bilateral lung transplantation. Med. Mycol. Case Rep. 2017, 17, 4–7. [Google Scholar] [CrossRef]
- Balajee, S.A.; Kano, R.; Baddley, J.W.; Moser, S.A.; Marr, K.A.; Alexander, B.D.; Andes, D.; Kontoyiannis, D.P.; Perrone, G.; Peterson, S.; et al. Molecular identification of Aspergillus species collected for the transplant-associated infection surveillance network. J. Clin. Microbiol. 2009, 47, 3138–3141. [Google Scholar] [CrossRef]
- Schuster, E.; Dunn-Coleman, N.; Frisvad, J.C.; Van Dijck, P.W. On the safety of Aspergillus niger—A review. Appl. Microbiol. Biotechnol. 2002, 59, 426–435. [Google Scholar]
- Wiggins, J.; Clark, T.J.; Corrin, B. Chronic necrotising pneumonia caused by Aspergillus niger. Thorax 1989, 44, 440–441. [Google Scholar] [CrossRef]
- Binder, R.E.; Faling, F.J.; Pugatch, R.D.; Mahasaen, C.; Snider, G.L. Chronic necrotizing pulmonary Aspergillosis: A discrete clinical entity. Medicine 1982, 61, 109–124. [Google Scholar] [CrossRef]
- Denning, D.W. Invasive Aspergillosis. Clin. Infect. Dis. 1998, 26, 781–805. [Google Scholar] [CrossRef]
- Person, A.K.; Chudgar, S.M.; Norton, B.L.; Tong, B.C.; Stout, J.E. Aspergillus niger: An unusual cause of invasive pulmonary Aspergillosis. J. Med. Microbiol. 2010, 59, 834–838. [Google Scholar] [CrossRef] [PubMed]
- Fianchi, L.; Picardi, M.; Cudillo, L.; Corvatta, L.; Mele, L.; Trapè, G.; Girmenia, C.; Pagano, L. Aspergillus niger infection in patients with haematological diseases: A report of eight cases. Mycoses 2004, 47, 163–167. [Google Scholar] [CrossRef]
- Trovato, L.; Calvo, M.; Migliorisi, G.; Astuto, M.; Oliveri, F.; Oliveri, S. Fatal VAP-related pulmonary aspergillosis by Aspergillus niger in a positive COVID-19 patient. Respir. Med. Case Rep. 2021, 32, 101367. [Google Scholar] [CrossRef] [PubMed]
- Tisne, J.; Millán, J.; Rivas, P.; Adiego, I.; Castellote, A.; Valles, H. Otomicosis y aplicación tópica de timerosal. Estudio de 152 casos [Otomycosis and topical application of Thimerosal: Study of 152 cases]. Acta Otorrinolaringol. Esp. 1995, 46, 85–89. [Google Scholar]
- Coad, B.R.; Kidd, S.E.; Ellis, D.H.; Griesser, H.J. Biomaterials surfaces capable of resisting fungal attachment and biofilm formation. Biotechnol. Adv. 2014, 32, 296–307. [Google Scholar] [CrossRef]
- Bowen, R.; Lovitt, R.W.; Wright, C.J. Direct quantification of Aspergillus niger spore adhesion to mica in air using an atomic force microscope. Colloids Surf. A Physiochem. Eng. 2000, 173, 205–210. [Google Scholar] [CrossRef]
- Villena, G.K.; Gutierrez-Correa, M. Production of cellulase by Aspergillus niger biofilms developed on polyester cloth. Lett. Appl. Microbiol. 2006, 43, 262–268. [Google Scholar] [CrossRef] [PubMed]
- Villena, G.K.; Fujikawa, T.; Tsuyumu, S.; Gutierrez-Correa, M. Structural analysis of biofilms and pellets of Aspergillus niger by confocal laser scanning microscopy and cryo scanning electron microscopy. Bioresour. Technol. 2010, 101, 1920–1926. [Google Scholar] [CrossRef]
- Ramage, G.; Rajendran, R.; Gutierrez-Correa, M.; Jones, B.; Williams, C. Aspergillus biofilms: Clinical and industrial significance. FEMS Microbiol. Lett. 2011, 324, 89–97. [Google Scholar] [CrossRef]
- Lord, M.S.; Stenzel, M.H.; Simmons, A.; Milthorpe, B.K. The effect of charged groups on protein interactions with poly(HEMA) hydrogels. Biomaterials 2006, 27, 567–575. [Google Scholar] [CrossRef]
- Lei, H.Y.; Wang, M.M.; Tang, Z.C.; Luan, Y.F.; Liu, W.; Song, B.; Chen, H. Control of lysozyme adsorption by pH on surfaces modified with polyampholyte brushes. Langmuir 2014, 30, 501–508. [Google Scholar] [CrossRef]
- Bert-Ewald, P.; Andreas, W.; Ulrike, B.; Manfred, R.; Sylvia, D.; Arno, K.; Rainer, K.; André, F. The role of initial spore adhesion in pellet and biofilm formation in Aspergillus niger. Fungal Genet. Biol. 2012, 49, 30–38. [Google Scholar]
- Cole, G.T.; Sekiya, T.; Kasai, R.; Yokoyama, T.; Nozawa, Y. Surface ultrastructure and chemical composition of the cell walls of conidial fungi. Exp. Mycol. 1979, 3, 132–156. [Google Scholar] [CrossRef]
- Bowen, W.R.; Lovitt, R.W.; Wright, C.J. Direct quantification of Aspergillus niger spore adhesion in liquid using an atomic force microscopy. J. Colloid Interface Sci. 2000, 228, 428–433. [Google Scholar] [CrossRef]
- Whitehead, K.A.; Deisenroth, T.; Preuss, A.; Liauw, C.M.; Verran, J. The effect of surface properties on the strength of attachment of fungal spores using AFM perpendicular force measurements. Colloids Surf. B Biointerfaces 2011, 82, 483–489. [Google Scholar] [CrossRef]
- Whitehead, K.A.; Rodgers, D.; Colligon, J.; Wright, C.; Verran, J. Use of the Atomic Force Microscope to determine the effect of substratum surface topography on the ease of bacterial removal. Colloids Surf. B Biointerfaces 2006, 51, 44–53. [Google Scholar] [CrossRef] [PubMed]
- Whitehead, K.A.; Deisenroth, T.; Preuss, A.; Liauw, C.M.; Verran, J. Lateral force removal of fungal spores to demonstrate how surface properties affect fungal spore retention. Philos. Trans. R. Soc. A 2022, 380, 20210344–20210356. [Google Scholar] [CrossRef] [PubMed]
- Al-Radha, A.S.D.; Dymock, D.; Younes, C.; O’Sullivan, D. Surface properties of titanium and zirconia dental implant materials and their effect on bacterial adhesion. J. Dent. 2012, 40, 146–153. [Google Scholar] [CrossRef]
- Breki, C.-M.; Dimitrakopoulou-Strauss, A.; Hassel, J.; Theoharis, T.; Sachpekidis, C.; Pan, L.; Provata, A. Fractal and multifractal analysis of PET-CT images of metastatic melanoma before and after treatment with ipilimumab. EJNMMI Res. 2016, 6, 61–76. [Google Scholar] [CrossRef] [PubMed]
- Yildiz, K.; Yildiz, Z. Evaluation of nano-filler dispersion quality in polymeric films with binary feature characteristics and fractal analysis. IET Image Process. 2020, 14, 2006–2012. [Google Scholar] [CrossRef]
- Ivanov, P.C.; Amaral, L.; Goldberger, A.; Havlin, S.; Rsenblum, M.; Struzik, Z.; Stanley, H. Multifractality in human heartbeat dynamics. Nature 1999, 399, 461–465. [Google Scholar] [CrossRef]
- Goldberger, A.L. Fractal dynamics in physiology: Alterations with disease and aging. Proc. Natl. Acad. Sci. USA 2002, 99, 2466–2472. [Google Scholar] [CrossRef]
- Kropp, J.; Block, A.; Bloh, W.; Klenke, T.; Schellnhuber, H. Multifractal characterization of microbially induced magnesian calcite formation in recent tidal flat sediments. Sediment. Geol. 1997, 109, 37–51. [Google Scholar] [CrossRef]
- Deupree, S.M.; Schoenfisch, M.H. Morphological analysis of the antimicrobial action of nitric oxide on Gram-negative pathogens using atomic force microscopy. Acta Biomater. 2009, 5, 1405–1415. [Google Scholar] [CrossRef] [PubMed]
- Lynch, S. Python for Scientific Computing and Artificial Intelligence; CRC Press: Boca Raton, FL, USA, 2023. [Google Scholar]
- Lynch, S. Dynamical Systems with Applications Using Python; Springer International Publishing: Berlin/Heidelberg, Germany, 2018. [Google Scholar]
- Slate, A.J.; Whitehead, K.A.; Lynch, S.; Foster, C.W.; Banks, C.E. Electrochemical decoration of additively manufactured graphene macroelectrodes with MoO2 nanowires: An approach to demonstrate the surface morphology. J. Phys. Chem. C 2020, 124, 15377–15385. [Google Scholar] [CrossRef]
- Wargenau, A.; Kampen, I.; Kwade, A. Linking aggregation of Aspergillus niger spores to surface electrostatics: A theoretical approach. Biointerphases 2013, 8, 7–19. [Google Scholar] [CrossRef] [PubMed]
- Grunbacher, A.; Throm, T.; Seidel, C.; Gutt, B.; Röhrig, J.; Strunk, T.; Vincze, P.; Walhiem, S.; Schimmet, T.; Wenzel, W.; et al. Six hydrophobins are involved in hydrophobin rodlet formation in Aspergillus nidulans and contribute to hydrophobicity of the spore surface. PLoS ONE 2014, 9, e94546. [Google Scholar] [CrossRef] [PubMed]
- Scholtmeijer, K.; Wessels, J.G.H.; Woster, H.A.B. Fungal hydrophobins in medical and technical applications. Appl. Microbiol. Biotechnol. 2001, 56, 1–8. [Google Scholar] [CrossRef] [PubMed]
- Wosten, H.A.B. Hydrophobins: Multipurpose proteins. Ann. Rev. Microbiol. 2001, 55, 625–646. [Google Scholar] [CrossRef]
- Linder, M.B.; Szilvay, G.R.; Nakari-Setala, T.; Penttila, M.E. Hydrophobins: The protein amphiphiles of filamentous fungi. FEMS Microbiol. Rev. 2005, 29, 877–896. [Google Scholar] [CrossRef] [PubMed]
- Cole, G.T.; Pope, L.M. The Fungal Spore: Morphogenetic Controls; Turian, G., Hohl, H.R., Eds.; Academic Press: London, UK, 1981; p. 194. [Google Scholar]
- Wargenau, A.; Fleißner, A.; Bolten, C.J.; Rohde, M.; Kampen, I.; Kwade, A. On the origin of the electrostatic surface potential of Aspergillus niger spores in acidic environments. Res. Microbiol. 2011, 162, 1011–1017. [Google Scholar] [CrossRef]
- Whitehead, K.A.; Liauw, C.M.; Lynch, S.; El Mohtadi, M.; Preuss, A.; Deisenroth, T.; Verran, J. Diverse surface properties reveal that substratum roughness affects fungal spore binding. iScience 2021, 24, 101962–101976. [Google Scholar] [CrossRef]
- Grunér, M.S.; Szilvay, G.R.; Berglin, M.; Lienemann, M.; Laaksonen, P.; Linder, M.B. Self-assembly of class II hydrophobins on polar surfaces. Langmuir 2012, 28, 4293–4300. [Google Scholar] [CrossRef] [PubMed][Green Version]
- Szilvay, G.R.; Paananen, A.; Laurikainen, K.; Vuorimaa, E.; Lemmetyinen, H.; Peltonen, J.; Linder, M.B. Self-assembled hydrophobin protein films at the air-water interface: Structural analysis and molecular engineering. Biochemistry 2007, 46, 2345–2354. [Google Scholar] [CrossRef] [PubMed]
- Khandwekar, A.P.; Patil, D.P.; Hardikar, A.A.; Shouche, Y.S.; Doble, M. In vivo modulation of foreign body response on polyurethane by surface entrapment technique. J. Biomed. Mater. Res. A 2010, 95, 413–423. [Google Scholar] [CrossRef]
- Wibisono, Y.; Yandi, W.; Golabi, M.; Nugraha, R.; Cornelissen, E.R.; Kemperman, A.J.B.; Ederth, T.; Nijmeijer, K. Hydrogelcoated feed spacers in two-phase flow cleaning in spiral wound membrane elements: A novel platform for eco-friendly biofouling mitigation. Water Res. 2015, 71, 171–186. [Google Scholar] [CrossRef]
- Yang, W.J.; Neoh, K.G.; Kang, E.T.; Lee, S.S.C.; Teo, S.L.M.; Rittschof, D. Functional polymer brushes via surface-initiated atom transfer radical graft polymerization for combating marine biofouling. Biofouling 2012, 28, 895–912. [Google Scholar] [CrossRef] [PubMed]
- Metz, B.; Kossen, N.W.F. The growth of molds in the form of pellets—A literature review. Biotechnol. Bioeng. 1977, 19, 781–799. [Google Scholar] [CrossRef]
- Grimm, L.H.; Kelly, S.; Volkerding, I.I.; Krull, R.; Hempel, D.C. Influence of mechanical stress and surface interaction on the aggregation of Aspergillus niger conidia. Biotechnol. Bioeng. 2005, 92, 879–888. [Google Scholar] [CrossRef]
- Jones, P.; Moore, D.; Trinci, A.P.J. Effects of Junlon and Hostacerin on the electrokinetic properties of spores of Aspergillus niger, Phanerochaete chrysosporium and Geotrichum candidum. J. Gen. Microbiol. 1988, 134, 235–240. [Google Scholar] [CrossRef][Green Version]
- Seviour, R.J.; Read, M.A. Electrophoretic mobility of conidia of Aspergillus niger, and the role of their surface properties in pelleting. Trans. Br. Mycol. Soc. 1985, 84, 745–747. [Google Scholar] [CrossRef]
- Lynch, S. Dynamical Systems with Applications Using MATLAB; Springer International Publishing: Berlin/Heidelberg, Germany, 2014. [Google Scholar]
- Salat, H.P.P.; Murcio Villanueva, R.; Arcaute, E. Multifractal methodology. Phys. A 2017, 473, 467–487. [Google Scholar] [CrossRef]
- Whitehead, K.A.; Liauw, C.M.; Wilson-Nieuwenhuis, J.S.T.; Slate, A.J.; Deisenroth, T.; Preuss, A.; Verran, J. The effect of the surface properties of poly (methyl methacrylate) on the attachment, adhesion and retention of fungal conidia. AIMS Bioeng. 2020, 7, 165–178. [Google Scholar] [CrossRef]
- Liauw, C.M.; Slate, A.J.; Butler, J.A.; Wilson-Nieuwenhuis, J.S.T.; Deisenroth, T.; Preuss, A.; Verran, J.; Whitehead, K.A. The effect of surface hydrophobicity on the attachment of fungal conidia to substrates of polyvinyl acetate and polyvinyl alcohol. J. Polym. Environ. 2020, 28, 1450–1464. [Google Scholar] [CrossRef]







| Nanoindentation (GPa) | Ra (nm) | Contact Angle (°) | |
|---|---|---|---|
| Anionic | 0.7 ± 0.2 | 2.4 ± 0.6 | 55 ± 0.8 |
| Cationic | 0.5 ± 0.01 | 21.9 ± 11.5 | 37 ± 3.1 |
Disclaimer/Publisher’s Note: The statements, opinions and data contained in all publications are solely those of the individual author(s) and contributor(s) and not of MDPI and/or the editor(s). MDPI and/or the editor(s) disclaim responsibility for any injury to people or property resulting from any ideas, methods, instructions or products referred to in the content. |
© 2023 by the authors. Licensee MDPI, Basel, Switzerland. This article is an open access article distributed under the terms and conditions of the Creative Commons Attribution (CC BY) license (https://creativecommons.org/licenses/by/4.0/).
Share and Cite
Whitehead, K.A.; Lynch, S.; Amin, M.; Deisenroth, T.; Liauw, C.M.; Verran, J. Effects of Cationic and Anionic Surfaces on the Perpendicular and Lateral Forces and Binding of Aspergillus niger Conidia. Nanomaterials 2023, 13, 2932. https://doi.org/10.3390/nano13222932
Whitehead KA, Lynch S, Amin M, Deisenroth T, Liauw CM, Verran J. Effects of Cationic and Anionic Surfaces on the Perpendicular and Lateral Forces and Binding of Aspergillus niger Conidia. Nanomaterials. 2023; 13(22):2932. https://doi.org/10.3390/nano13222932
Chicago/Turabian StyleWhitehead, Kathryn A., Stephen Lynch, Mohsin Amin, Ted Deisenroth, Christopher M. Liauw, and Joanna Verran. 2023. "Effects of Cationic and Anionic Surfaces on the Perpendicular and Lateral Forces and Binding of Aspergillus niger Conidia" Nanomaterials 13, no. 22: 2932. https://doi.org/10.3390/nano13222932
APA StyleWhitehead, K. A., Lynch, S., Amin, M., Deisenroth, T., Liauw, C. M., & Verran, J. (2023). Effects of Cationic and Anionic Surfaces on the Perpendicular and Lateral Forces and Binding of Aspergillus niger Conidia. Nanomaterials, 13(22), 2932. https://doi.org/10.3390/nano13222932

