Printed Electrodes Based on Vanadium Dioxide and Gold Nanoparticles for Asymmetric Supercapacitors
Abstract
:1. Introduction
2. Materials and Methods
2.1. Synthesis of VO2 Nanoparticles
2.2. VO2 Ink Preparation
2.3. Electrodes Printing and Testing
2.4. Materials Characterization
3. Results and Discussion
3.1. Structural and Morphological Properties
3.2. Electrochemical Performance
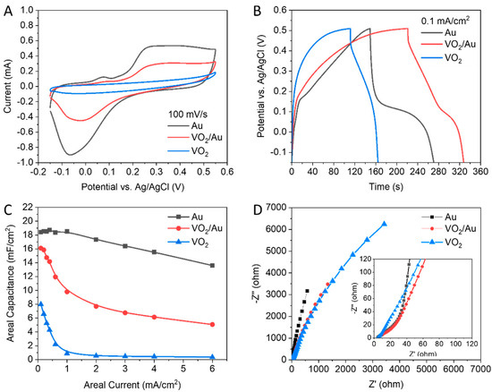
3.2.1. Evaluation of Half-Cell Electrodes
3.2.2. Performance of Full-Cell Supercapacitors
4. Conclusions
Supplementary Materials
Author Contributions
Funding
Data Availability Statement
Acknowledgments
Conflicts of Interest
References
- Guan, L.; Yu, L.; Chen, G.Z. Capacitive and non-capacitive faradaic charge storage. Electrochim. Acta 2016, 206, 464–478. [Google Scholar] [CrossRef]
- Zhao, H.; Liu, L.; Vellacheri, R.; Lei, Y. Recent advances in designing and fabricating self-supported nanoelectrodes for supercapacitors. Adv. Sci. 2017, 4, 1700188. [Google Scholar] [CrossRef] [PubMed]
- Wang, G.; Zhang, L.; Zhang, J. A review of electrode materials for electrochemical supercapacitors. Chem. Soc. Rev. 2012, 41, 797–828. [Google Scholar] [CrossRef] [PubMed]
- Zhou, W.; Zeng, G.; Jin, H.; Jiang, S.; Huang, M.; Zhang, C.; Chen, H. Bio-Template Synthesis of V2O3@ Carbonized Dictyophora Composites for Advanced Aqueous Zinc-Ion Batteries. Molecules 2023, 28, 2147. [Google Scholar] [CrossRef] [PubMed]
- Deng, W.; Xu, Y.; Zhang, X.; Li, C.; Liu, Y.; Xiang, K.; Chen, H. (NH4) 2Co2V10O28· 16H2O/(NH4) 2V10O25· 8H2O heterostructure as cathode for high-performance aqueous Zn-ion batteries. J. Alloys Compd. 2022, 903, 163824. [Google Scholar] [CrossRef]
- Li, D.; Guo, H.; Jiang, S.; Zeng, G.; Zhou, W.; Li, Z. Microstructures and electrochemical performances of TiO 2-coated Mg–Zr co-doped NCM as a cathode material for lithium-ion batteries with high power and long circular life. N. J. Chem. 2021, 45, 19446–19455. [Google Scholar] [CrossRef]
- Deng, W.-N.; Li, Y.-H.; Xu, D.-F.; Zhou, W.; Xiang, K.-X.; Chen, H. Three-dimensional hierarchically porous nitrogen-doped carbon from water hyacinth as selenium host for high-performance lithium–selenium batteries. Rare Met. 2022, 41, 3432–3445. [Google Scholar] [CrossRef]
- Wen, X.; Luo, J.; Xiang, K.; Zhou, W.; Zhang, C.; Chen, H. High-performance monoclinic WO3 nanospheres with the novel NH4+ diffusion behaviors for aqueous ammonium-ion batteries. Chem. Eng. J. 2023, 458, 141381. [Google Scholar] [CrossRef]
- Wang, J.; Dong, S.; Ding, B.; Wang, Y.; Hao, X.; Dou, H.; Xia, Y.; Zhang, X. Pseudocapacitive materials for electrochemical capacitors: From rational synthesis to capacitance optimization. Natl. Sci. Rev. 2017, 4, 71–90. [Google Scholar] [CrossRef]
- Xiao, J.; Li, H.; Zhang, H.; He, S.; Zhang, Q.; Liu, K.; Jiang, S.; Duan, G.; Zhang, K. Nanocellulose and its derived composite electrodes toward supercapacitors: Fabrication, properties, and challenges. J. Bioresour. Bioprod. 2022, 7, 245–269. [Google Scholar] [CrossRef]
- Iro, Z.S.; Subramani, C.; Dash, S. A brief review on electrode materials for supercapacitor. Int. J. Electrochem. Sci 2016, 11, 10628–10643. [Google Scholar] [CrossRef]
- Santos, J.P.A.; Pinzón, M.J.; Santos, É.A.; Vicentini, R.; Pagan, C.J.B.; Da Silva, L.M.; Zanin, H. Boosting energy-storage capability in carbon-based supercapacitors using low-temperature water-in-salt electrolytes. J. Energy Chem. 2022, 70, 521–530. [Google Scholar] [CrossRef]
- Bai, L.; Huang, H.; Yu, S.; Zhang, D.; Huang, H.; Zhang, Y. Role of transition metal oxides in g-C3N4-based heterojunctions for photocatalysis and supercapacitors. J. Energy Chem. 2022, 64, 214–235. [Google Scholar] [CrossRef]
- Szilágyi, P.Á.; Sobrido, A.J. Performance and potential of porous carbons derived of electrospun metal–organic frameworks for supercapacitor applications. J. Energy Chem. 2022, 73, 348–353. [Google Scholar] [CrossRef]
- Abdah, M.A.A.M.; Awan, H.T.A.; Mehar, M.; Mustafa, M.N.; Walvekar, R.; Alam, M.W.; Khalid, M.; Umapathi, R.; Chaudhary, V. Advancements in MXene-polymer composites for high-performance supercapacitor applications. J. Energy Storage 2023, 63, 106942. [Google Scholar] [CrossRef]
- Etman, A.E.-S.; Ibrahim, A.M.; Darwish, F.A.-Z.M.; Qasim, K.F. A 10 years-developmental study on conducting polymers composites for supercapacitors electrodes: A review for extensive data interpretation. J. Ind. Eng. Chem. 2023, 122, 27–45. [Google Scholar] [CrossRef]
- Vaseem, M.; Zhen, S.; Yang, S.; Li, W.; Shamim, A. Development of VO2-Nanoparticle-Based Metal–Insulator Transition Electronic Ink. Adv. Electron. Mater. 2019, 5, 1800949. [Google Scholar] [CrossRef]
- Imada, M.; Fujimori, A.; Tokura, Y. Metal-insulator transitions. Rev. Mod. Phys. 1998, 70, 1039. [Google Scholar] [CrossRef]
- Banerjee, J.; Dutta, K. An overview on the use of metal vanadium oxides and vanadates in supercapacitors and rechargeable batteries. Int. J. Energy Res. 2022, 46, 3983–4000. [Google Scholar] [CrossRef]
- Jiang, X.; Lu, W.; Yu, X.; Song, S.; Xing, Y. Fabrication of a vanadium nitride/N-doped carbon hollow nanosphere composite as an efficient electrode material for asymmetric supercapacitors. Nanoscale Adv. 2020, 2, 3865–3871. [Google Scholar] [CrossRef]
- Ndiaye, N.M.; Sylla, N.F.; Ngom, B.D.; Barzegar, F.; Momodu, D.; Manyala, N. High-performance asymmetric supercapacitor based on vanadium dioxide/activated expanded graphite composite and carbon-vanadium oxynitride nanostructures. Electrochim. Acta 2019, 316, 19–32. [Google Scholar] [CrossRef]
- Fan, Y.; Ouyang, D.; Li, B.-W.; Dang, F.; Ren, Z. Two-Dimensional VO2 Mesoporous Microarrays for High-Performance Supercapacitor. Nanoscale Res. Lett. 2018, 13, 142. [Google Scholar] [CrossRef] [PubMed]
- Mao, F.; Long, L.; Zeng, G.; Chen, H.; Li, Y.; Zhou, W. Achieving excellent electromagnetic wave absorption property by constructing VO2 coated biomass carbon heterostructures. Diam. Relat. Mater. 2022, 130, 109422. [Google Scholar] [CrossRef]
- Mao, F.; Fan, X.; Long, L.; Li, Y.; Chen, H.; Zhou, W. Constructing 3D hierarchical CNTs/VO2 composite microspheres with superior electromagnetic absorption performance. Ceram. Int. 2023, 49, 16924–16931. [Google Scholar] [CrossRef]
- Yan, Y.; Li, B.; Guo, W.; Pang, H.; Xue, H. Vanadium based materials as electrode materials for high performance supercapacitors. J. Power Sources 2016, 329, 148–169. [Google Scholar] [CrossRef]
- Basu, R.; Ghosh, S.; Bera, S.; Das, A.; Dhara, S. Phase-pure VO2 nanoporous structure for binder-free supercapacitor performances. Sci. Rep. 2019, 9, 1–11. [Google Scholar] [CrossRef]
- Zhang, J.; Chen, L.; Wang, Y.; Cai, S.; Yang, H.; Yu, H.; Ding, F.; Huang, C.; Liu, X. VO2 (B)/graphene composite-based symmetrical supercapacitor electrode via screen printing for intelligent packaging. Nanomaterials 2018, 8, 1020. [Google Scholar] [CrossRef]
- Ndiaye, N.M.; Masikhwa, T.; Ngom, B.; Madito, M.; Oyedotun, K.O.; Dangbegnon, J.K.; Manyala, N. Effect of growth time on solvothermal synthesis of vanadium dioxide for electrochemical supercapacitor application. Mater. Chem. Phys. 2018, 214, 192–200. [Google Scholar] [CrossRef]
- Rakhi, R.B.; Nagaraju, D.H.; Beaujuge, P.; Alshareef, H.N. Supercapacitors based on two dimensional VO2 nanosheet electrodes in organic gel electrolyte. Electrochim. Acta 2016, 220, 601–608. [Google Scholar] [CrossRef]
- Alhebshi, N.A.; Vaseem, M.; Minyawi, B.A.; AlAmri, A.M.; Shamim, A. Single and Double Layer of Monoclinic VO2 Ink-Based Printed and Interdigitated Supercapacitors. Energy Technol. 2022, 10, 2200432. [Google Scholar] [CrossRef]
- Velmurugan, R.; Premkumar, J.; Pitchai, R.; Ulaganathan, M.; Subramanian, B. Robust, flexible, and binder free highly crystalline V2O5 thin film electrodes and their superior supercapacitor performances. ACS Sustain. Chem. Eng. 2019, 7, 13115–13126. [Google Scholar] [CrossRef]
- Railanmaa, A.; Kujala, M.; Keskinen, J.; Kololuoma, T.; Lupo, D. Highly flexible and non-toxic natural polymer gel electrolyte for printed supercapacitors for IoT. Appl. Phys. A 2019, 125, 1–7. [Google Scholar] [CrossRef]
- Giannakou, P. Printed Transition Metal Oxide Electrochemical Capacitors for Energy Harvesting Applications. Doctoral Dissertation, University of Surrey, Guildford, England, 2020. [Google Scholar]
- Gulzar, U.; Glynn, C.; O’Dwyer, C. Additive manufacturing for energy storage: Methods, designs and material selection for customizable 3D printed batteries and supercapacitors. Curr. Opin. Electrochem. 2020, 20, 46–53. [Google Scholar] [CrossRef]
- Zhang, Y.-Z.; Wang, Y.; Cheng, T.; Yao, L.-Q.; Li, X.; Lai, W.-Y.; Huang, W. Printed supercapacitors: Materials, printing and applications. Chem. Soc. Rev. 2019, 48, 3229–3264. [Google Scholar] [CrossRef]
- Yang, S.; Vaseem, M.; Shamim, A. Fully inkjet-printed VO2-based radio-frequency switches for flexible reconfigurable components. Adv. Mater. Technol. 2019, 4, 1800276. [Google Scholar] [CrossRef]
- Mathies, F.; List-Kratochvil, E.J.; Unger, E.L. Advances in inkjet-printed metal halide perovskite photovoltaic and optoelectronic devices. Energy Technol. 2020, 8, 1900991. [Google Scholar] [CrossRef]
- Lu, S.; Franklin, A.D. Printed carbon nanotube thin-film transistors: Progress on printable materials and the path to applications. Nanoscale 2020, 12, 23371–23390. [Google Scholar] [CrossRef]
- Griffith, M.J.; Holmes, N.P.; Elkington, D.C.; Cottam, S.; Stamenkovic, J.; Kilcoyne, A.D.; Andersen, T.R. Manipulating nanoscale structure to control functionality in printed organic photovoltaic, transistor and bioelectronic devices. Nanotechnology 2019, 31, 92002. [Google Scholar] [CrossRef]
- Alam, A.; Saeed, G.; Lim, S. Screen-printed activated carbon/silver nanocomposite electrode material for a high performance supercapacitor. Mater. Lett. 2020, 273, 127933. [Google Scholar] [CrossRef]
- Sang Tran, T.; Dutta, N.K.; Roy Choudhury, N. Graphene-based inks for printing of planar micro-supercapacitors: A review. Materials 2019, 12, 978. [Google Scholar] [CrossRef]
- Alamri, A.M.; Leung, S.; Vaseem, M.; Shamim, A.; He, J.-H. Fully inkjet-printed photodetector using a graphene/perovskite/graphene heterostructure. IEEE Trans. Electron. Devices 2019, 66, 2657–2661. [Google Scholar] [CrossRef]
- Li, W.; Zhang, H.; Kagita, S.; Shamim, A. All Screen-Printed, Polymer-Nanowire Based Foldable Electronics for mm-Wave Applications. Adv. Mater. Technol. 2021, 6, 2100525. [Google Scholar] [CrossRef]
- Vaseem, M.; Lee, K.M.; Hong, A.-R.; Hahn, Y.-B. Inkjet printed fractal-connected electrodes with silver nanoparticle ink. ACS Appl. Mater. Interfaces 2012, 4, 3300–3307. [Google Scholar] [CrossRef] [PubMed]
- Vaseem, M.; McKerricher, G.; Shamim, A. Robust design of a particle-free silver-organo-complex ink with high conductivity and inkjet stability for flexible electronics. ACS Appl. Mater. Interfaces 2016, 8, 177–186. [Google Scholar] [CrossRef] [PubMed]
- Abdolhosseinzadeh, S.; Schneider, R.; Verma, A.; Heier, J.; Nüesch, F.; Zhang, C. Turning trash into treasure: Additive free MXene sediment inks for screen-printed micro-supercapacitors. Adv. Mater. 2020, 32, 2000716. [Google Scholar] [CrossRef]
- Leroux, C.; Nihoul, G.; Van Tendeloo, G. From VO2 (B) to VO2 (R): Theoretical structures of VO 2 polymorphs and in situ electron microscopy. Phys. Rev. B 1998, 57, 5111. [Google Scholar] [CrossRef]
- Pohjalainen, E.; Räsänen, S.; Jokinen, M.; Yliniemi, K.; Worsley, D.A.; Kuusivaara, J.; Juurikivi, J.; Ekqvist, R.; Kallio, T.; Karppinen, M. Water soluble binder for fabrication of Li4Ti5O12 electrodes. J. Power Sources 2013, 226, 134–139. [Google Scholar] [CrossRef]
- Alshaikheid, H.S.M. The Electrical Properties of Supercapacitors Made of Graphene Nanocomposites. Master’s Thesis, King Abdulaziz University, Jeddah, Saudi Arabia, 2021. [Google Scholar]
- Zhang, S.; Pan, N. Supercapacitors Performance Evaluation. Adv. Energy Mater. 2015, 5, 1401401. [Google Scholar] [CrossRef]
- Béguin, F.; Frąckowiak, E. Supercapacitors: Materials, Systems, and Applications, 1st ed.; John Wiley & Sons: Weinheim, Germany, 2013. [Google Scholar]
- Zhao, L.; Miao, L.; Liu, C.; Li, C.; Asaka, T.; Kang, Y.; Iwamoto, Y.; Tanemura, S.; Gu, H.; Su, H. Solution-processed VO2-SiO2 composite films with simultaneously enhanced luminous transmittance, solar modulation ability and anti-oxidation property. Sci. Rep. 2014, 4, 7000. [Google Scholar] [CrossRef]
- Huang, M.; Wang, X.; Wang, J.; Meng, J.; Liu, X.; He, Q.; Geng, L.; An, Q.; Yang, J.; Mai, L. Proton/Mg2+ Co-Insertion Chemistry in Aqueous Mg-Ion Batteries: From the Interface to the Inner. Angew. Chem. Int. Ed. 2023, 62, e202308961. [Google Scholar] [CrossRef]
- Murthy, S.; Effiong, P.; Fei, C.C. Metal oxide nanoparticles in biomedical applications. In Metal Oxide Powder Technologies; Al-Douri, Y., Ed.; Elsevier: Amsterdam, The Netherlands, 2020; pp. 233–251. [Google Scholar] [CrossRef]








| Electrode | Max. CA at IA or v | Max. EA at PA | Reference |
|---|---|---|---|
| VO2 nanoporous | 33 mF cm−2 at 10 mV s−1 | 1.5 mWh cm−2 at ~150 mW cm−2 | Basu et al. [26] |
| VO2 nanorods | 99 F g−1 at 1 A g−1 | Not reported | Zhang et al. [27] |
| VO2 nanosheets | 663 F g−1 at 5 mV s−1 | Not reported | Ndiaye et al. [28] |
| VO2 nanosheet | 405 F g−1 at 1 A g−1 | 46 Wh kg−1 at 1.4 kW kg−1 | Rakhi et al. [29] |
| VO2 microparticles | 0.2 mF cm−2 at 5 mA cm−2 | 0.2 μWh cm−2 at 17.5 μW cm−2 | Alhebshi et al. [30] |
| V2O5 thin film | 5 mF cm−2 at 0.125 mA cm−2 | 0.68 μWh cm−2 at 95 μW cm−2 | Velmurugan et al. [31] |
Disclaimer/Publisher’s Note: The statements, opinions and data contained in all publications are solely those of the individual author(s) and contributor(s) and not of MDPI and/or the editor(s). MDPI and/or the editor(s) disclaim responsibility for any injury to people or property resulting from any ideas, methods, instructions or products referred to in the content. |
© 2023 by the authors. Licensee MDPI, Basel, Switzerland. This article is an open access article distributed under the terms and conditions of the Creative Commons Attribution (CC BY) license (https://creativecommons.org/licenses/by/4.0/).
Share and Cite
Minyawi, B.A.; Vaseem, M.; Alhebshi, N.A.; Al-Amri, A.M.; Shamim, A. Printed Electrodes Based on Vanadium Dioxide and Gold Nanoparticles for Asymmetric Supercapacitors. Nanomaterials 2023, 13, 2567. https://doi.org/10.3390/nano13182567
Minyawi BA, Vaseem M, Alhebshi NA, Al-Amri AM, Shamim A. Printed Electrodes Based on Vanadium Dioxide and Gold Nanoparticles for Asymmetric Supercapacitors. Nanomaterials. 2023; 13(18):2567. https://doi.org/10.3390/nano13182567
Chicago/Turabian StyleMinyawi, Bashaer A., Mohammad Vaseem, Nuha A. Alhebshi, Amal M. Al-Amri, and Atif Shamim. 2023. "Printed Electrodes Based on Vanadium Dioxide and Gold Nanoparticles for Asymmetric Supercapacitors" Nanomaterials 13, no. 18: 2567. https://doi.org/10.3390/nano13182567
APA StyleMinyawi, B. A., Vaseem, M., Alhebshi, N. A., Al-Amri, A. M., & Shamim, A. (2023). Printed Electrodes Based on Vanadium Dioxide and Gold Nanoparticles for Asymmetric Supercapacitors. Nanomaterials, 13(18), 2567. https://doi.org/10.3390/nano13182567

