Thermophase Seebeck Coefficient in Hybridized Superconductor-Quantum-Dot-Superconductor Josephson Junction Side-Coupled to Majorana Nanowire
Abstract
1. Introduction
2. Model and Method
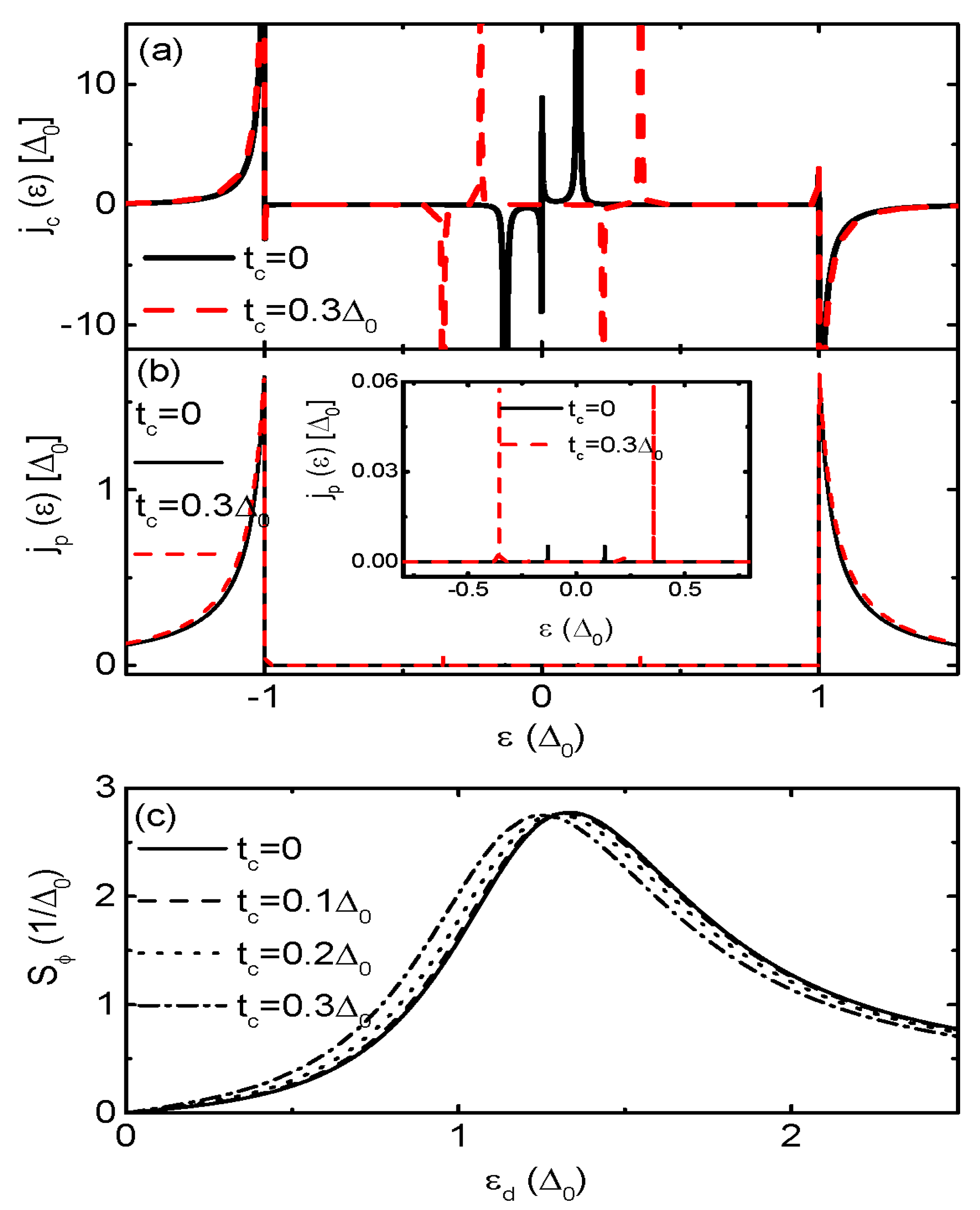
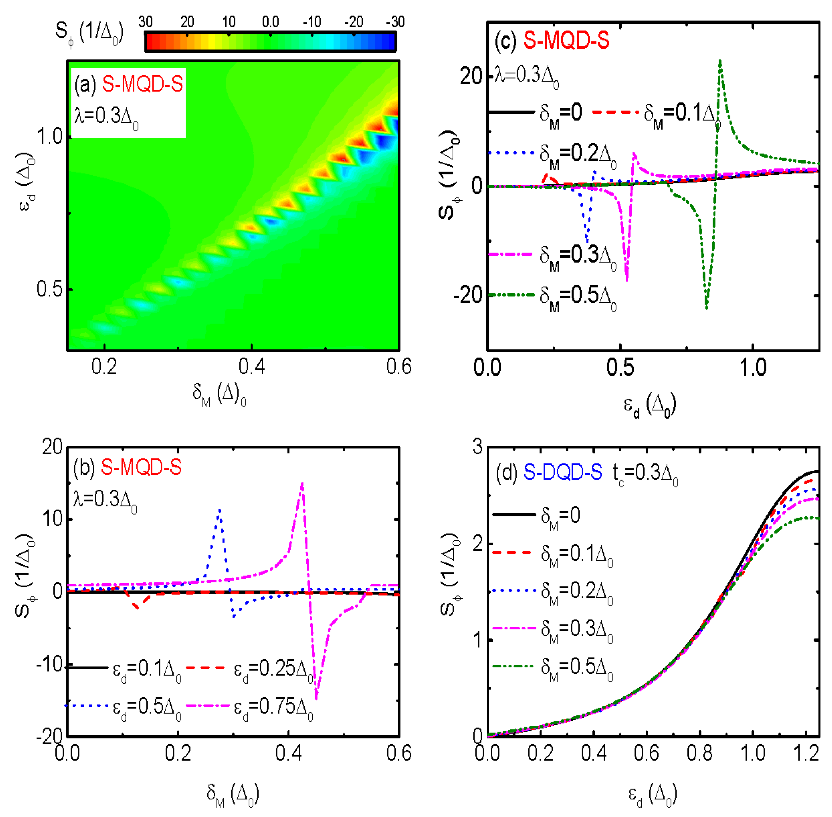
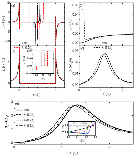
3. Numerical Results
4. Summary
Author Contributions
Funding
Data Availability Statement
Conflicts of Interest
References
- Chen, G.; Dresselhaus, M.S.; Dresselhaus, G.; Fleurial, J.P.; Cailla, T. Recent developments in thermoelectric materials. Int. Mater. Rev. 2003, 48, 45. [Google Scholar] [CrossRef]
- Dubi, Y.; Ventra, M.D. Colloquium: Heat flow and thermoelectricity in atomic and molecular junctions. Rev. Mod. Phys. 2013, 83, 131. [Google Scholar] [CrossRef]
- Chen, L.C.; Chen, P.Q.; Li, W.J.; Zhang, Q.; Struzhkin, V.V.; Goncharov, A.F.; Ren, Z.; Chen, X.J. Enhancement of thermoelectric performance across the topological phase transition in dense lead selenide. Nat. Mater. 2019, 18, 1321. [Google Scholar] [CrossRef] [PubMed]
- Guttman, G.D.; Nathanson, B.; Ben-Jacob, E.; Bergman, D.J. Thermoelectric and thermophase effects in Josephson junctions. Phys. Rev. B 1997, 55, 12691. [Google Scholar] [CrossRef]
- Giazotto, F.; Heikkil, T.T.; Bergeret, F.S. Very Large Thermophase in Ferromagnetic Josephson Junctions. Phys. Rev. Lett. 2015, 114, 067001. [Google Scholar] [CrossRef]
- Kleeorin, Y.; Meir, Y.; Giazotto, F.; Dubi, Y. Large Tunable Thermophase in Superconductor-Quantum Dot-Superconductor Josephson Junctions. Sci. Rep. 2016, 6, 35116. [Google Scholar] [CrossRef]
- Pershoguba, S.S.; Glazman, L.I. Thermopower and thermal conductance of a superconducting quantum point contact. Phys. Rev. B 2019, 99, 134514. [Google Scholar] [CrossRef]
- Kumar, B.; Verma, S.; Ajay. Phase and Thermal-Driven Transport Across T-Shaped Double Quantum Dot Josephson Junction. J. Supercond. Nov. Magn. 2023, 36, 831. [Google Scholar] [CrossRef]
- Marchegiani, G.; Braggio, A.; Giazotto, F. Phase-tunable thermoelectricity in a Josephson junction. Phys. Rev. Res. 2020, 2, 043091. [Google Scholar] [CrossRef]
- De Franceschi, S.; Kouwenhoven, L.; Schonenberger, C.; Wernsdorfer, W. Hybrid superconductor-quantum dot devices. Nat. Nanotechnol. 2010, 5, 703. [Google Scholar] [CrossRef]
- Burkard, G.; Gullans, M.J.; Mi, X.; Petta, J.R. Superconductor Csemiconductor hybrid-circuit quantum electrodynamics. Nat. Rev. Phys. 2020, 2, 129. [Google Scholar] [CrossRef]
- Frolov, S.M.; Manfra, M.J.; Sau, J.D. Topological superconductivity in hybrid devices. Nat. Phys. 2020, 16, 718. [Google Scholar] [CrossRef]
- Sun, Q.F.; Wang, J.; Lin, T.H. Photon-assisted andreev tunneling through a mesoscopic hybrid system. Phys. Rev. B 1999, 59, 13126. [Google Scholar] [CrossRef]
- Sun, Q.F.; Wang, J.; Lin, T.H. Control of the supercurrent in a mesoscopic four-terminal Josephson junction. Phys. Rev. B 2000, 62, 648. [Google Scholar] [CrossRef]
- Zhu, Y.; Sun, Q.F.; Lin, T.H. Andreev bound states and the π-junction transition in a superconductor/quantum-dot/superconductor system. J. Phys. Condens. Matter 2001, 13, 8783. [Google Scholar] [CrossRef]
- Cheng, S.G.; Sun, Q.F. Josephson current transport through T-shaped double quantum dots. J. Phys. Condens. Matter 2008, 20, 505202. [Google Scholar] [CrossRef]
- Hwang, S.Y.; Sanchez, D.; Lopez, R. A hybrid superconducting quantum dot acting as an efficient charge and spin Seebeck diode. New J. Phys. 2016, 18, 093024. [Google Scholar] [CrossRef]
- Kamp, M.; Sothmann, B. Phase-dependent heat and charge transport through superconductor Cquantum dot hybrids. Phys. Rev. B 2019, 99, 045428. [Google Scholar] [CrossRef]
- Hanson, R.; Kouwenhoven, L.P.; Petta, J.R.; Tarucha, S.; Vandersypen, L.M.K. Spins in few-electron quantum dots. Rev. Mod. Phys. 2007, 79, 1217. [Google Scholar] [CrossRef]
- Giazotto, F.; Martinez-Perez, M. The Josephson heat interferometer. Nature 2012, 492, 401. [Google Scholar] [CrossRef]
- Martinez-Perez, M.J.; Giazotto, F. Fully balanced heat interferometer. Appl. Phys. Lett. 2013, 102, 092602. [Google Scholar] [CrossRef]
- Martinez-Perez, M.J.; Giazotto, F. Efficient phase-tunable Josephson thermal rectifier. Appl. Phys. Lett. 2013, 102, 1826. [Google Scholar] [CrossRef]
- Giazotto, F.; Robinson, J.W.A.; Moodera, J.S.; Bergeret, F.S. Proposal for a phase-coherent thermoelectric transistor. Appl. Phys. Lett. 2014, 105, 062602. [Google Scholar] [CrossRef]
- Giazotto, F.; Solinas, P.; Braggio, A.; Bergeret, F.S. Ferromagnetic-Insulator-Based Superconducting Junctions as Sensitive Electron Thermometers. Phys. Rev. Appl. 2015, 4, 044016. [Google Scholar] [CrossRef]
- Germanese, G.; Paolucci, F.; Marchegiani, G.; Braggio, A.; Giazotto, F. Bipolar thermoelectric Josephson engine. Nat. Nanotechnol. 2022, 17, 1084. [Google Scholar] [CrossRef] [PubMed]
- Solinas, P.; Bosisio, R.; Giazotto, F. Microwave quantum refrigeration based on the Josephson effect. Phys. Rev. B 2016, 93, 224521. [Google Scholar] [CrossRef]
- Ando, F.; Miyasaka, Y.; Li, T.; Ishizuka, J.; Arakawa, T.; Shiota, Y.; Moriyama, T.; Yanase, Y.; Ono, T. Observation of superconducting diode effect. Nature 2020, 584, 373. [Google Scholar] [CrossRef]
- Strambini, E.; Spies, M.; Ligato, N.; Ilic, S.; Rouco, S.M.; Gonzalez-Orellana, C.; Ilyn, M.; Rogero, C.; Bergeret, F.S.; Moodera, J.S.; et al. Superconducting spintronic tunnel diode. Nat. Commun. 2022, 13, 2431. [Google Scholar] [CrossRef]
- Timossi, G.F.; Fornieri, A.; Paolucci, F.; Puglia, C.; Giazotto, F. Phase-Tunable Josephson Thermal Router. Nano Lett. 2018, 18, 1764. [Google Scholar] [CrossRef]
- Paolucci, F.; Marchegiani, G.; Strambini, E.; Giazotto, F. Phase-Tunable Thermal Logic: Computation with Heat. Phys. Rev. Appl. 2018, 10, 024003. [Google Scholar] [CrossRef]
- Sothmann, B.; Hankiewicz, E.M. Fingerprint of topological Andreev bound states in phase-dependent heat transport. Phys. Rev. B 2016, 94, 081407(R). [Google Scholar] [CrossRef]
- Qi, X.L.; Zhang, S.C. Topological insulators and superconductors. Rev. Mod. Phys. 2011, 83, 1057. [Google Scholar] [CrossRef]
- Mourik, V.; Zuo, K.; Frolov, S.M. Signatures of Majorana fermions in hybrid superconductor-semiconductor nanowire devices. Science 2012, 336, 1003. [Google Scholar] [CrossRef] [PubMed]
- Alicea, J.; Oreg, Y.; Refael, G. Non-abelian statistics and topological quantum information processing in 1d wire networks. Nat. Phys. 2011, 7, 412. [Google Scholar] [CrossRef]
- Liu, X.; Li, X.; Deng, D.L.; Liu, X.J.; Das, S.D. Majorana spintronics. Phys. Rev. B 2016, 94, 014511. [Google Scholar] [CrossRef]
- Hou, C.Y.; Shtengel, K.; Refael, G.; Goldbart, P.M. Ettingshausen effect due to Majorana modes. New. J. Phys. 2012, 14, 105005. [Google Scholar] [CrossRef][Green Version]
- Hou, C.Y.; Shtengel, K.; Refael, G. Thermopower and Mott formula for a Majorana edge state. Phys. Rev. B 2012, 88, 075304. [Google Scholar] [CrossRef]
- Lopez, R.; Lee, M.; Serra, L.; Lim, J. Thermoelectrical detection of majorana states. Phys. Rev. B 2014, 89, 205418. [Google Scholar] [CrossRef]
- Leijnse, M. Thermoelectric signatures of a Majorana bound state coupled to a quantum dot. New J. Phys. 2014, 16, 015029. [Google Scholar] [CrossRef]
- Ramos-Andrade, J.P.; Avalos-Ovando, O.; Orellana, P.A.; Ulloa, S.E. Thermoelectric transport through Majorana bound states and violation of Wiedemann-Franz law. Phys. Rev. B 2016, 94, 155436. [Google Scholar] [CrossRef]
- Ricco, L.S.; Dessotti, F.A.; Shelykh, I.A.; Figueira, F.S.; Seridonio, A.C. Tuning of heat and charge transport by Majorana fermions. Sci. Rep. 2018, 8, 2790. [Google Scholar] [CrossRef] [PubMed]
- Hong, L.; Chi, F.; Fu, Z.G.; Hou, Y.F.; Wang, Z. Large enhancement of thermoelectric effect by majorana bound states coupled to a quantum dot. J. Appl. Phys. 2020, 127, 124302. [Google Scholar] [CrossRef]
- Laroche, D.; Bouman, D.; van Woerkom, D.J.; Proutski, A.; Murthy, C.; Pikulin, D.I.; Geresdi, A. Observation of the 4π-periodic Josephson effect in indium arsenide nanowires. Nat. Commun. 2019, 10, 245. [Google Scholar] [CrossRef]
- YacobyPierce, A.; Das, A.; Ronen, Y.; Most, Y.; Oreg, Y.; Heiblum, M.; Shtrikman, H. Zero-bias peaks and splitting in an Al-InAs nanowire topological superconductor as a signature of Majorana fermions. Nat. Phys. 2012, 8, 887. [Google Scholar] [CrossRef]
- Chi, F.; Fu, Z.G.; Liu, J.; Li, K.; Wang, Z.; Zhang, P. Thermoelectric Effect in a Correlated Quantum Dot Side-Coupled to Majorana Bound States. Nanoscale Res. Lett. 2020, 15, 79. [Google Scholar] [CrossRef] [PubMed]
- Liu, D.E.; Baranger, H.U. Detecting a majorana-fermion zero mode using a quantum dot. Phys. Rev. B 2011, 84, 201308R. [Google Scholar] [CrossRef]
- Wang, S.X.; Li, Y.X.; Liu, J.J. Resonant Andreev reflection in a normal-metal/quantum-dot/superconductor system with coupled Majorana bound states. Chin. Phys. B 2016, 25, 037304. [Google Scholar] [CrossRef]
- Chi, F.; Jia, Q.S.; Liu, J.; Gao, Q.G.; Yi, Z.C.; Liu, L.M. Electronic Tunnelling in Superconductor/Quantum-Dot Josephson Junction Side-Coupled to Majorana Nanowire. Coatings 2023, 13, 612. [Google Scholar] [CrossRef]
- Chi, F.; Jia, Q.-S.; Liu, J.; Gao, Q.-G.; Yi, Z.-C.; Liu, L.-M. Enhancement of the Josephson Current in a Quantum Dot Connected to Majorana Nanowires. Nanomaterials 2023, 13, 1482. [Google Scholar] [CrossRef]
- Zhang, H.R.; Sun, L.L.; Liu, J. Josephson dc Current through T-Shaped Double-Quantum-Dots Hybridized to Majorana Nanowires. Coatings 2023, 13, 523. [Google Scholar] [CrossRef]
- Baranski, J.; Domanski, T. Fano-type interference in quantum dots coupled between metallic and superconducting leads. Phys. Rev. B 2011, 84, 195424. [Google Scholar] [CrossRef]
- Xu, L.T.; Li, X.Q.; Sun, Q.F. Majorana dc Josephson current mediated by a quantum dot. J. Phys. Condens. Matter 2017, 29, 195301. [Google Scholar] [CrossRef] [PubMed]






Disclaimer/Publisher’s Note: The statements, opinions and data contained in all publications are solely those of the individual author(s) and contributor(s) and not of MDPI and/or the editor(s). MDPI and/or the editor(s) disclaim responsibility for any injury to people or property resulting from any ideas, methods, instructions or products referred to in the content. |
© 2023 by the authors. Licensee MDPI, Basel, Switzerland. This article is an open access article distributed under the terms and conditions of the Creative Commons Attribution (CC BY) license (https://creativecommons.org/licenses/by/4.0/).
Share and Cite
Gao, Y.; Zhang, X.; Yi, Z.; Liu, L.; Chi, F. Thermophase Seebeck Coefficient in Hybridized Superconductor-Quantum-Dot-Superconductor Josephson Junction Side-Coupled to Majorana Nanowire. Nanomaterials 2023, 13, 2489. https://doi.org/10.3390/nano13172489
Gao Y, Zhang X, Yi Z, Liu L, Chi F. Thermophase Seebeck Coefficient in Hybridized Superconductor-Quantum-Dot-Superconductor Josephson Junction Side-Coupled to Majorana Nanowire. Nanomaterials. 2023; 13(17):2489. https://doi.org/10.3390/nano13172489
Chicago/Turabian StyleGao, Yumei, Xiaoyan Zhang, Zichuan Yi, Liming Liu, and Feng Chi. 2023. "Thermophase Seebeck Coefficient in Hybridized Superconductor-Quantum-Dot-Superconductor Josephson Junction Side-Coupled to Majorana Nanowire" Nanomaterials 13, no. 17: 2489. https://doi.org/10.3390/nano13172489
APA StyleGao, Y., Zhang, X., Yi, Z., Liu, L., & Chi, F. (2023). Thermophase Seebeck Coefficient in Hybridized Superconductor-Quantum-Dot-Superconductor Josephson Junction Side-Coupled to Majorana Nanowire. Nanomaterials, 13(17), 2489. https://doi.org/10.3390/nano13172489
