Ultracompact MXene V2C-Improved Temperature Sensor by a Runway-Type Microfiber Knot Resonator
Abstract
:1. Introduction
2. Device Fabrication and Materials Characterization
3. Results and Discussion
4. Conclusions
Author Contributions
Funding
Informed Consent Statement
Conflicts of Interest
References
- Li, J.; Yan, H.; Dang, H.; Meng, F. Structure design and application of hollow core microstructured optical fiber gas sensor: A review. Opt. Laser Technol. 2021, 135, 106658. [Google Scholar] [CrossRef]
- Pu, S.; Luo, L.; Tang, J.; Mao, L.; Zeng, X. Ultrasensitive Refractive-Index Sensors Based on Tapered Fiber Coupler with Sagnac Loop. IEEE Photonics Technol. Lett. 2016, 28, 1073–1076. [Google Scholar] [CrossRef]
- Xia, F.; Liu, B.; Ying, Y. Systematic investigation of spectral characteristics and sensing characteristics of microfiber knot resonator. J. Opt. 2022, 24, 035002. [Google Scholar] [CrossRef]
- Tong, L.; Zi, F.; Guo, X.; Lou, J. Optical microfibers and nanofibers: A tutorial. Opt. Commun. 2012, 285, 4641–4647. [Google Scholar] [CrossRef]
- Li, Y.; Pu, S.; Zhao, Y.; Yao, T. Fiber-Optic Magnetic Field Sensing Based on Microfiber Knot Resonator with Magnetic Fluid Cladding. Sensors 2018, 18, 4358. [Google Scholar] [CrossRef] [PubMed]
- Wu, Q.; Jin, X.; Chen, S.; Jiang, X.; Hu, Y.; Jiang, Q.; Wu, L.; Li, J.; Zheng, Z.; Zhang, M.; et al. MXene-based saturable absorber for femtosecond mode-locked fiber lasers. Opt. Express 2019, 27, 10159–10170. [Google Scholar] [CrossRef]
- Wu, Q.; Chen, S.; Wang, Y.Z.; Wu, L.M.; Jiang, X.T.; Zhang, F.; Jin, X.X.; Jiang, Q.Y.; Zheng, Z.; Li, J.Q.; et al. MZI-Based All-Optical Modulator Using MXene Ti3C2Tx (T = F, O, or OH) Deposited Microfiber. Adv. Mater. Technol. 2019, 4, 1800532. [Google Scholar] [CrossRef]
- Wu, Q.; Chen, S.; Guan, L.X.; Wu, H.B. Highly Sensitive Photothermal Fiber Sensor Based on MXene Device and Vernier Effect. Nanomaterials 2022, 12, 766. [Google Scholar] [CrossRef]
- Wu, Q.; Chen, S.; Bao, W.; Wu, H. Femtosecond Pulsed Fiber Laser Based on Graphdiyne-Modified Tapered Fiber. Nanomaterials 2022, 12, 2050. [Google Scholar] [CrossRef]
- Wu, Q.; Zhang, M.; Wang, Y.; Huang, W.; Zheng, Z.; Zhang, H. All-optical light control in MXene-deposited microfiber knot resonator. In Proceedings of the Conference on Lasers and Electro-Optics, Washington, DC, USA, 10–15 May 2020; p. JTu2B.17. [Google Scholar]
- Amala, G.; Saravanan, J.; Yoo, D.J.; Kim, A.R.; Kumar, G.G. An environmentally benign one pot green synthesis of reduced graphene oxide based composites for the enzyme free electrochemical detection of hydrogen peroxide. New J. Chem. 2017, 41, 4022–4030. [Google Scholar] [CrossRef]
- Gabunada, J.C.; Vinothkannan, M.; Kim, D.H.; Kim, A.R.; Yoo, D.J. Magnetite Nanorods Stabilized by Polyaniline/Reduced Graphene Oxide as a Sensing Platform for Selective and Sensitive Non-enzymatic Hydrogen Peroxide Detection. Electroanalysis 2019, 31, 1524–1533. [Google Scholar] [CrossRef]
- Gan, X.; Zhao, C.; Wang, Y.; Mao, D.; Fang, L.; Han, L.; Zhao, J. Graphene-assisted all-fiber phase shifter and switching. Optica 2015, 2, 468–471. [Google Scholar] [CrossRef]
- Wang, Y.; Wu, Q.; Wang, H.; Liu, J.; Zheng, Z.; Zhang, M.; Zhang, H. Thermally tunable microfiber knot resonator with flexible graphene heater. Chin. Opt. Lett. 2021, 19, 051301. [Google Scholar] [CrossRef]
- Song, Y.; Liang, Z.; Jiang, X.; Chen, Y.; Li, Z.; Lu, L.; Ge, Y.; Wang, K.; Zheng, J.; Lu, S.; et al. Few-layer antimonene decorated microfiber: Ultra-short pulse generation and all-optical thresholding with enhanced long term stability. 2D Mater. 2017, 4, 045010. [Google Scholar] [CrossRef]
- Song, Y.; Chen, Y.; Jiang, X.; Liang, W.; Wang, K.; Liang, Z.; Ge, Y.; Zhang, F.; Wu, L.; Zheng, J.; et al. Nonlinear Few-Layer Antimonene-Based All-Optical Signal Processing: Ultrafast Optical Switching and High-Speed Wavelength Conversion. Adv. Opt. Mater. 2018, 6, 1701287. [Google Scholar] [CrossRef]
- Tao, W.; Zhu, X.; Yu, X.; Zeng, X.; Xiao, Q.; Zhang, X.; Ji, X.; Wang, X.; Shi, J.; Zhang, H.; et al. Black Phosphorus Nanosheets as a Robust Delivery Platform for Cancer Theranostics. Adv. Mater. 2017, 29, 1603276. [Google Scholar] [CrossRef]
- Zhang, M.; Wu, Q.; Zhang, F.; Chen, L.; Jin, X.; Hu, Y.; Zheng, Z.; Zhang, H. 2D Black Phosphorus Saturable Absorbers for Ultrafast Photonics. Adv. Opt. Mater. 2019, 7, 1800224. [Google Scholar] [CrossRef]
- Wu, Q.; Wang, Y.; Huang, W.; Wang, C.; Zheng, Z.; Zhang, M.; Zhang, H. MXene-based high-performance all-optical modulators for actively Q-switched pulse generation. Photonics Res. 2020, 8, 1140–1147. [Google Scholar] [CrossRef]
- Wu, Q.; Huang, W.; Wang, Y.; Wang, C.; Zheng, Z.; Chen, H.; Zhang, M.; Zhang, H. All-Optical Control of Microfiber Knot Resonator Based on 2D Ti2CTx MXene. Adv. Opt. Mater. 2020, 8, 1900977. [Google Scholar] [CrossRef]
- Wu, Q.; Zhang, M.; Wang, Y.; Huang, W.; Zheng, Z.; Zhang, H. MXene-based all-optical microfiber knot resonator for active Q-switching. In Proceedings of the Conference on Lasers and Electro-Optics, Washington, DC, USA, 10–15 May 2020; p. JW2E.17. [Google Scholar]
- Li, R.; Zhang, L.; Shi, L.; Wang, P. MXene Ti3C2: An Effective 2D Light-to-Heat Conversion Material. ACS Nano 2017, 11, 3752–3759. [Google Scholar] [CrossRef]
- Wu, Q.; Tan, L.; Liu, X.; Li, Z.; Zhang, Y.; Zheng, Y.; Liang, Y.; Cui, Z.; Zhu, S.; Wu, S. The enhanced near-infrared photocatalytic and photothermal effects of MXene-based heterojunction for rapid bacteria-killing. Appl. Catal. B Environ. 2021, 297, 120500. [Google Scholar] [CrossRef]
- Yang, B.; Tang, P.-f.; Liu, C.-j.; Li, R.; Li, X.-d.; Chen, J.; Qiao, Z.-q.; Zhang, H.-p.; Yang, G.-c. An efficient light-to-heat conversion coupling photothermal effect and exothermic chemical reaction in Au NRs/V2C MXene membranes for high-performance laser ignition. Def. Technol. 2022, 18, 834–842. [Google Scholar] [CrossRef]
- Gao, L.; Chen, H.; Zhang, F.; Mei, S.; Zhang, Y.; Bao, W.; Ma, C.; Yin, P.; Guo, J.; Jiang, X.; et al. Ultrafast Relaxation Dynamics and Nonlinear Response of Few-Layer Niobium Carbide MXene. Small Methods 2020, 4, 2000250. [Google Scholar] [CrossRef]
- Ahmad, H.; Kamely, A.A.; Zaini, M.K.A.; Samion, M.Z.; Chong, W.Y.; Zamzuri, A.K.; Lim, K.S. Generation of four-wave mixing with nonlinear Vanadium-carbide (V2C)-deposited side-polished fiber (SPF) in 1.5- and 2.0-µm wavelength operation. Opt. Laser Technol. 2022, 145, 107458. [Google Scholar] [CrossRef]
- Sun, X.; Sun, Q.; Jia, W.; Xu, Z.; Wo, J.; Liu, D.; Zhang, L. Graphene Coated Microfiber for Temperature Sensor. In Proceedings of the International Photonics and OptoElectronics Meetings, Wuhan, China, 18–21 June 2014; p. FF4B.3. [Google Scholar]
- Harun, S.W.; Lim, K.S.; Damanhuri, S.S.A.; Ahmad, H. Microfiber loop resonator based temperature sensor. J. Eur. Opt. Soc. Rapid Publ. 2011, 6, 11026. [Google Scholar] [CrossRef]
- Lu, H.; Tian, Z.; Yu, H.; Yang, B.; Jing, G.; Liao, G.; Zhang, J.; Yu, J.; Tang, J.; Luo, Y.; et al. Optical fiber with nanostructured cladding of TiO2 nanoparticles self-assembled onto a side polished fiber and its temperature sensing. Opt. Express 2014, 22, 32502–32508. [Google Scholar] [CrossRef]
- Sun, Q.; Sun, X.; Jia, W.; Xu, Z.; Luo, H.; Liu, D.; Zhang, L. Graphene-Assisted Microfiber for Optical-Power-Based Temperature Sensor. IEEE Photonics Technol. Lett. 2016, 28, 383–386. [Google Scholar] [CrossRef]
- Zhang, J.; Liao, G.; Jin, S.; Cao, D.; Wei, Q.; Lu, H.; Yu, J.; Cai, X.; Tan, S.; Xiao, Y.; et al. All-fiber-optic temperature sensor based on reduced graphene oxide. Laser Phys. Lett. 2014, 11, 035901. [Google Scholar] [CrossRef]
- Guan, Y.; Jiang, S.; Cong, Y.; Wang, J.; Dong, Z.; Zhang, Q.; Yuan, G.; Li, Y.; Li, X. A hydrofluoric acid-free synthesis of 2D vanadium carbide (V2C) MXene for supercapacitor electrodes. 2D Mater. 2020, 7, 025010. [Google Scholar] [CrossRef]
- Ghasali, E.; Orooji, Y.; Azarniya, A.; Alizadeh, M.; Kazem-zad, M.; TouradjEbadzadeh. Production of V2C MXene using a repetitive pattern of V2AlC MAX phase through microwave heating of Al-V2O5-C system. Appl. Surf. Sci. 2021, 542, 148538. [Google Scholar] [CrossRef]
- Champagne, A.; Shi, L.; Ouisse, T.; Hackens, B.; Charlier, J.-C. Electronic and vibrational properties ofV2C-based MXenes: From experiments to first-principles modeling. Phys. Rev. B 2018, 97, 115439. [Google Scholar] [CrossRef]
- Lu, H.; Wang, Z.; Huang, Z.; Tao, J.; Xiong, H.; Qiu, W.; Guan, H.; Dong, H.; Dong, J.; Zhu, W.; et al. Resonance-assisted light–control–light characteristics of SnS2 on a microfiber knot resonator with fast response. Photonics Res. 2018, 6, 1137–1143. [Google Scholar] [CrossRef]
- Chen, G.; Zhang, Z.; Wang, X.; Li, H.; Jiang, M.; Guan, H.; Qiu, W.; Lu, H.; Dong, J.; Zhu, W.; et al. Highly sensitive all-optical control of light in WS2 coated microfiber knot resonator. Opt. Express 2018, 26, 27650–27658. [Google Scholar] [CrossRef] [PubMed]
- Frawley, M.C.; Petcu-Colan, A.; Truong, V.G.; Nic Chormaic, S. Higher order mode propagation in an optical nanofiber. Opt. Commun. 2012, 285, 4648–4654. [Google Scholar] [CrossRef]
- Le, A.D.D.; Han, Y.-G. Relative Humidity Sensor Based on a Few-Mode Microfiber Knot Resonator by Mitigating the Group Index Difference of a Few-Mode Microfiber. J. Light. Technol. 2018, 36, 904–909. [Google Scholar] [CrossRef]
- Stetsenko, M.O.; Voznyi, A.A.; Kosyak, V.V.; Rudenko, S.P.; Maksimenko, L.S.; Serdega, B.K.; Opanasuk, A.S. Plasmonic Effects in Tin Disulfide Nanostructured Thin Films Obtained by the Close-Spaced Vacuum Sublimation. Plasmonics 2017, 12, 1213–1220. [Google Scholar] [CrossRef]
- Wu, Q.; Ran, J.H.; Zheng, T.; Wu, H.B.; Liao, Y.B.; Wang, F.P.; Chen, S. MXene V2C-coated runway-type microfiber knot resonator for an all-optical temperature sensor. RSC Adv. 2023, 13, 19366–19372. [Google Scholar] [CrossRef] [PubMed]








| Structure | λres (nm) | ERmax (dB) | Q (10−3) | FSR (nm) |
|---|---|---|---|---|
| device without V2C | 1544.7 | 11.74 | 1.7163 | 3.8 |
| device with V2C | 1534.2 | 14.1 | 1.9178 | 3.9 |
| λres (nm) | ER at 25 °C (dB) | ΔT at 70 °C (dB) | ΔT/Δn (dB/°C) | ΔER/Δn (dB/°C) |
|---|---|---|---|---|
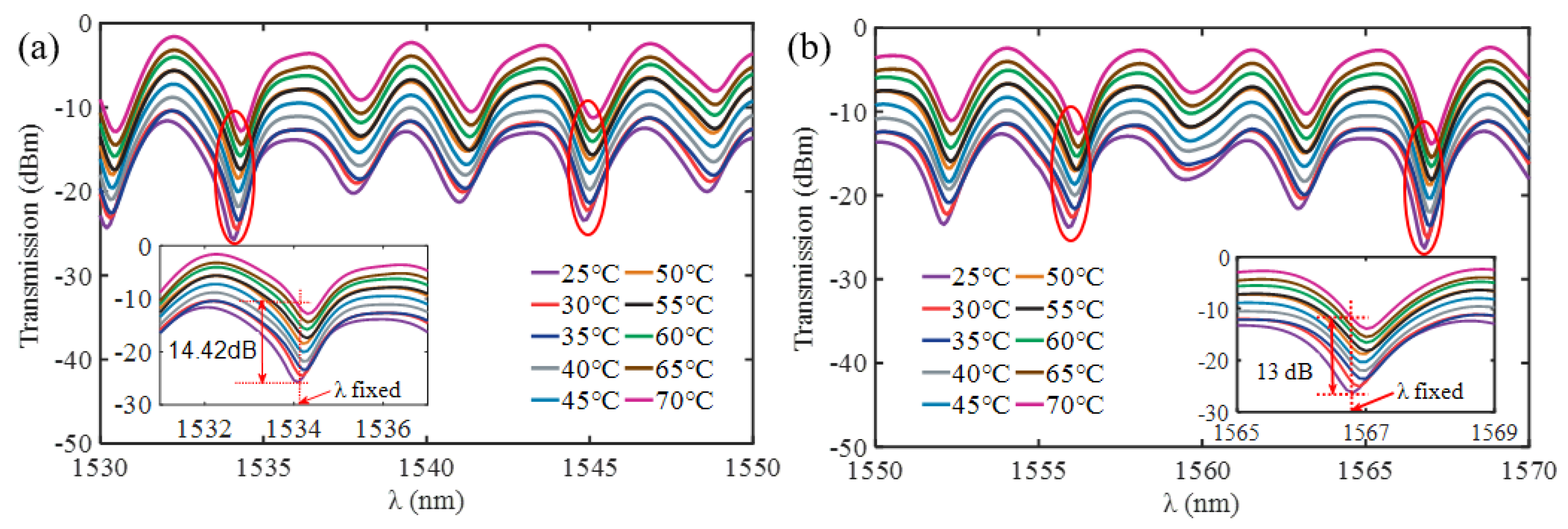
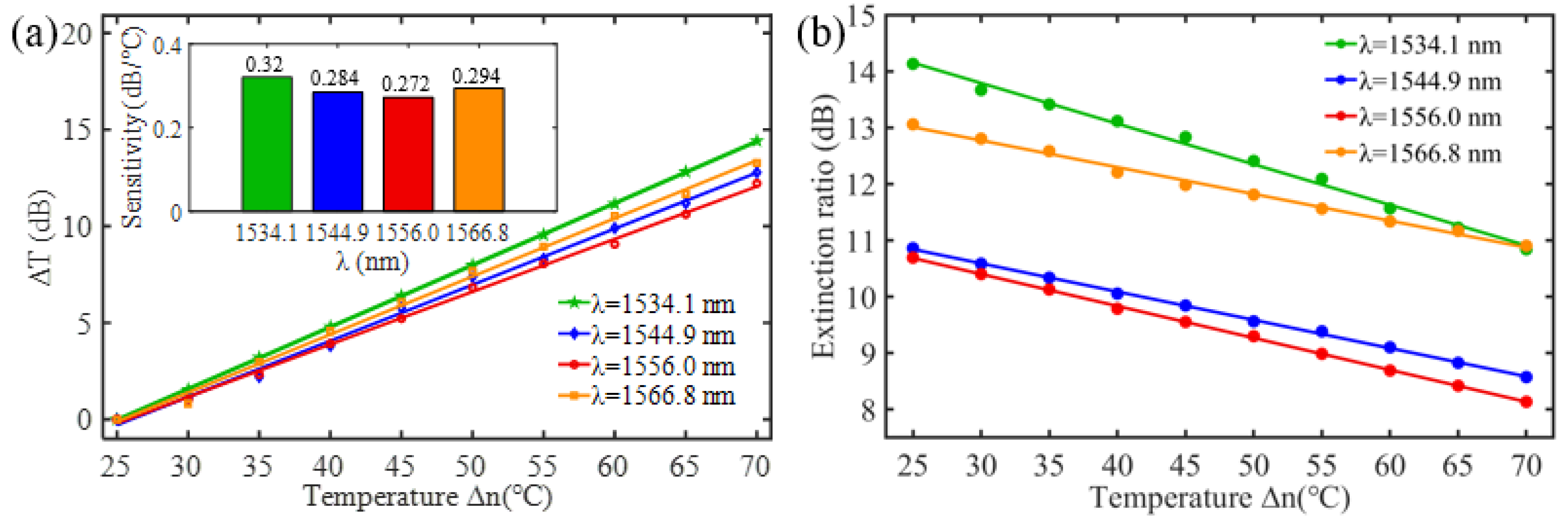
| 1534.1 | 14.1 | 14.42 | 0.320 | −0.073 |
| 1544.9 | 11.1 | 12.79 | 0.284 | −0.051 |
| 1556.0 | 10.8 | 12.22 | 0.272 | −0.056 |
| 1566.8 | 13.1 | 13.27 | 0.295 | −0.047 |
| Microfiber Diameter | ![]() | ![]() | ![]() | ![]() | ![]() |
| ΔT vs. temperature | ![]() | ![]() | ![]() | ![]() | ![]() |
| Sensitivity (dB/°C) | 0.24 | 0.27 | 0.32 | 0.30 | 0.28 |
| Normalized sensitivity (dB/°C/mm) | ~1.66 | ~1.86 | ~2.21 | ~2.07 | ~1.93 |
| Different Concentrations | ![]() | ![]() | ![]() | ![]() | ![]() |
| Concentration (mg/mL) | ~2 | ~4 | ~6 | ~8 | ~10 |
| ΔT vs. temperature | ![]() | ![]() | ![]() | ![]() | ![]() |
| Sensitivity (dB/°C) | 0.16 | 0.18 | 0.23 | 0.32 | 0.25 |
| Normalized sensitivity (dB/°C/mm) | ~1.10 | ~1.24 | ~1.59 | ~2.21 | ~1.72 |
| Type of Structure | Sensitivity (dB/°C) | Temperature (°C) | Ref. |
|---|---|---|---|
| MF a with Graphene | 0.03 | 20–75 | [27] |
| MLR b | 0.043 | 25–60 | [28] |
| SPF c with TiO2 | 0.044 | −7.8–77.6 | [29] |
| MF with Graphene | 0.1018 | 30–80 | [30] |
| SPF with rGO d | 0.134 | −7.8–77 | [31] |
| Runway-type MKR + V2C | 0.32 | 25–70 | This work |
Disclaimer/Publisher’s Note: The statements, opinions and data contained in all publications are solely those of the individual author(s) and contributor(s) and not of MDPI and/or the editor(s). MDPI and/or the editor(s) disclaim responsibility for any injury to people or property resulting from any ideas, methods, instructions or products referred to in the content. |
© 2023 by the authors. Licensee MDPI, Basel, Switzerland. This article is an open access article distributed under the terms and conditions of the Creative Commons Attribution (CC BY) license (https://creativecommons.org/licenses/by/4.0/).
Share and Cite
Chen, S.; Ran, J.; Zheng, T.; Wu, Q. Ultracompact MXene V2C-Improved Temperature Sensor by a Runway-Type Microfiber Knot Resonator. Nanomaterials 2023, 13, 2354. https://doi.org/10.3390/nano13162354
Chen S, Ran J, Zheng T, Wu Q. Ultracompact MXene V2C-Improved Temperature Sensor by a Runway-Type Microfiber Knot Resonator. Nanomaterials. 2023; 13(16):2354. https://doi.org/10.3390/nano13162354
Chicago/Turabian StyleChen, Si, Junhong Ran, Tong Zheng, and Qing Wu. 2023. "Ultracompact MXene V2C-Improved Temperature Sensor by a Runway-Type Microfiber Knot Resonator" Nanomaterials 13, no. 16: 2354. https://doi.org/10.3390/nano13162354
APA StyleChen, S., Ran, J., Zheng, T., & Wu, Q. (2023). Ultracompact MXene V2C-Improved Temperature Sensor by a Runway-Type Microfiber Knot Resonator. Nanomaterials, 13(16), 2354. https://doi.org/10.3390/nano13162354





















