Air Stabilization of Li7P3S11 Solid-State Electrolytes through Laser-Based Processing
Abstract
1. Introduction
2. Materials and Methods
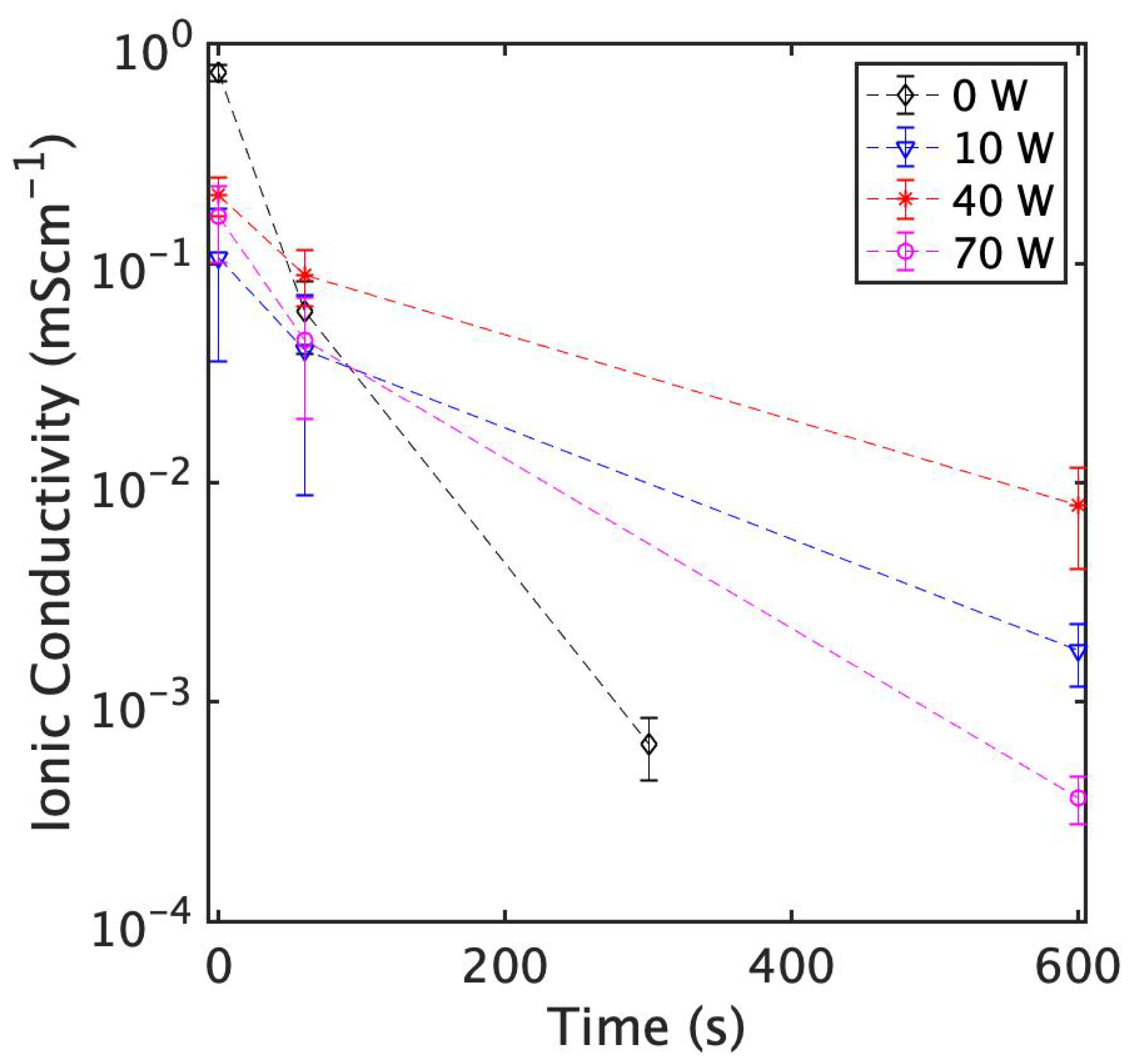
3. Results and Discussion
4. Conclusions
Supplementary Materials
Author Contributions
Funding
Data Availability Statement
Conflicts of Interest
References
- Kraytsberg, A.; Ein-Eli, Y. Recent Developments in the Field of Sulfide Ceramic Solid-State Electrolytes. Energy Technol. 2023, 11, 2201291. [Google Scholar] [CrossRef]
- Liu, Y.; Sun, Q.; Wang, D.; Adair, K.; Liang, J.; Sun, X. Development of the cold sintering process and its application in solid-state lithium batteries. J. Power Sources 2018, 393, 193–203. [Google Scholar] [CrossRef]
- Song, Y.B.; Kim, D.H.; Kwak, H.; Han, D.; Kang, S.; Lee, J.H.; Bak, S.M.; Nam, K.W.; Lee, H.W.; Jung, Y.S. Tailoring Solution-Processable Li Argyrodites Li6+xP1−xMxS5I (M = Ge, Sn) and Their Microstructural Evolution Revealed by Cryo-TEM for All-Solid-State Batteries. Nano Lett. 2020, 20, 4337–4345. [Google Scholar] [CrossRef]
- Fan, L.; Wei, S.; Li, S.; Li, Q.; Lu, Y. Recent progress of the solid-state electrolytes for high-energy metal-based batteries. Adv. Energy Mater. 2018, 8, 1702657. [Google Scholar] [CrossRef]
- Kim, D.H.; Oh, D.Y.; Park, K.H.; Choi, Y.E.; Nam, Y.J.; Lee, H.A.; Lee, S.M.; Jung, Y.S. Infiltration of solution-processable solid electrolytes into conventional Li-ion-battery electrodes for all-solid-state Li-ion batteries. Nano Lett. 2017, 17, 3013–3020. [Google Scholar] [CrossRef] [PubMed]
- Seino, Y.; Takada, K.; Kim, B.C.; Zhang, L.; Ohta, N.; Wada, H.; Osada, M.; Sasaki, T. Synthesis of phosphorous sulfide solid electrolyte and all-solid-state lithium batteries with graphite electrode. Solid State Ionics 2005, 176, 2389–2393. [Google Scholar] [CrossRef]
- Cao, Y.; Meng, X.; Elam, J.W. Atomic Layer Deposition of LixAlyS Solid-State Electrolytes for Stabilizing Lithium-Metal Anodes. ChemElectroChem 2016, 3, 858–863. [Google Scholar] [CrossRef]
- Lutkenhaus, J.L.; Flouda, P. Ceramic Electrolytes Get “Tough” on Lithium Metal Batteries. Matter 2020, 3, 14–15. [Google Scholar] [CrossRef]
- Wang, X.; Chen, J.; Mao, Z.; Wang, D. Effective resistance to dendrite growth of NASICON solid electrolyte with lower electronic conductivity. Chem. Eng. J. 2022, 427, 130899. [Google Scholar] [CrossRef]
- Lin, Y.; Liu, K.; Xiong, C.; Wu, M.; Zhao, T. A composite solid electrolyte with an asymmetric ceramic framework for dendrite-free all-solid-state Li metal batteries. J. Mater. Chem. A 2021, 9, 9665–9674. [Google Scholar] [CrossRef]
- Wang, S.; Wu, Y.; Ma, T.; Chen, L.; Li, H.; Wu, F. Thermal Stability between Sulfide Solid Electrolytes and Oxide Cathode. ACS Nano 2022, 16, 16158–16176. [Google Scholar] [CrossRef] [PubMed]
- Yao, X.; Liu, D.; Wang, C.; Long, P.; Peng, G.; Hu, Y.S.; Li, H.; Chen, L.; Xu, X. High-energy all-solid-state lithium batteries with ultralong cycle life. Nano Lett. 2016, 16, 7148–7154. [Google Scholar] [CrossRef] [PubMed]
- Kim, K.J.; Balaish, M.; Wadaguchi, M.; Kong, L.; Rupp, J.L. Solid-state Li–metal batteries: Challenges and horizons of oxide and sulfide solid electrolytes and their interfaces. Adv. Energy Mater. 2021, 11, 2002689. [Google Scholar] [CrossRef]
- Wan, H.; Mwizerwa, J.P.; Han, F.; Weng, W.; Yang, J.; Wang, C.; Yao, X. Grain-boundary-resistance-less Na3SbS4−xSex solid electrolytes for all-solid-state sodium batteries. Nano Energy 2019, 66, 104109. [Google Scholar] [CrossRef]
- Sakuda, A.; Hayashi, A.; Tatsumisago, M. Sulfide solid electrolyte with favorable mechanical property for all-solid-state lithium battery. Sci. Rep. 2013, 3, 2261. [Google Scholar] [CrossRef]
- Dawson, J.A.; Canepa, P.; Clarke, M.J.; Famprikis, T.; Ghosh, D.; Islam, M.S. Toward understanding the different influences of grain boundaries on ion transport in sulfide and oxide solid electrolytes. Chem. Mater. 2019, 31, 5296–5304. [Google Scholar] [CrossRef]
- Kwak, H.; Park, K.H.; Han, D.; Nam, K.W.; Kim, H.; Jung, Y.S. Li+ conduction in air-stable Sb-Substituted Li4SnS4 for all-solid-state Li-Ion batteries. J. Power Sources 2020, 446, 227338. [Google Scholar] [CrossRef]
- Kanno, R.; Hata, T.; Kawamoto, Y.; Irie, M. Synthesis of a new lithium ionic conductor, thio-LISICON–lithium germanium sulfide system. Solid State Ionics 2000, 130, 97–104. [Google Scholar] [CrossRef]
- Wang, S.; Fang, R.; Li, Y.; Liu, Y.; Xin, C.; Richter, F.H.; Nan, C.W. Interfacial challenges for all-solid-state batteries based on sulfide solid electrolytes. J. Mater. 2021, 7, 209–218. [Google Scholar] [CrossRef]
- Calpa, M.; Rosero-Navarro, N.C.; Miura, A.; Tadanaga, K. Preparation of sulfide solid electrolytes in the Li2S–P2S5 system by a liquid phase process. Inorg. Chem. Front. 2018, 5, 501–508. [Google Scholar] [CrossRef]
- Zhou, J.; Chen, P.; Wang, W.; Zhang, X. Li7P3S11 electrolyte for all-solid-state lithium-ion batteries: Structure, synthesis, and applications. Chem. Eng. J. 2022, 446, 137041. [Google Scholar] [CrossRef]
- Kerman, K.; Luntz, A.; Viswanathan, V.; Chiang, Y.M.; Chen, Z. practical challenges hindering the development of solid state Li-ion batteries. J. Electrochem. Soc. 2017, 164, A1731. [Google Scholar] [CrossRef]
- Schnell, J.; Günther, T.; Knoche, T.; Vieider, C.; Köhler, L.; Just, A.; Keller, M.; Passerini, S.; Reinhart, G. All-solid-state lithium-ion and lithium metal batteries–paving the way to large-scale production. J. Power Sources 2018, 382, 160–175. [Google Scholar] [CrossRef]
- Tufail, M.K.; Ahmad, N.; Zhou, L.; Faheem, M.; Yang, L.; Chen, R.; Yang, W. Insight on air-induced degradation mechanism of Li7P3S11 to design a chemical-stable solid electrolyte with high Li2S utilization in all-solid-state Li/S batteries. Chem. Eng. J. 2021, 425, 130535. [Google Scholar] [CrossRef]
- Chiu, K.C.; Chang, J.K.; Su, Y.S. Recent Configurational Advances for Solid-State Lithium Batteries Featuring Conversion-Type Cathodes. Molecules 2023, 28, 4579. [Google Scholar] [CrossRef]
- Yu, P.; Ahmad, N.; Zeng, C.; Lv, L.; Dong, Q.; Yang, W. Tailored Li7P3S11 Electrolyte by In2S3 Doping Suppresses Electrochemical Decomposition for High-Performance All-Solid-State Lithium–Sulfur Batteries. ACS Appl. Energy Mater. 2022, 5, 13429–13438. [Google Scholar] [CrossRef]
- Liu, G.; Xie, D.; Wang, X.; Yao, X.; Chen, S.; Xiao, R.; Li, H.; Xu, X. High air-stability and superior lithium ion conduction of Li3+3xP1−xZnxS4−xOx by aliovalent substitution of ZnO for all-solid-state lithium batteries. Energy Storage Mater. 2019, 17, 266–274. [Google Scholar] [CrossRef]
- Nikodimos, Y.; Su, W.N.; Bezabh, H.; Tsai, M.C.; Yang, C.C.; Hwang, B. Effect of selected dopants on conductivity and moisture stability of Li3PS4 sulfide solid electrolyte: A first-principles study. Mater. Today Chem. 2022, 24, 100837. [Google Scholar] [CrossRef]
- Song, S.; Lu, J.; Zheng, F.; Duong, H.M.; Lu, L. A facile strategy to achieve high conduction and excellent chemical stability of lithium solid electrolytes. RSC Adv. 2015, 5, 6588–6594. [Google Scholar] [CrossRef]
- Jiang, Z.; Liang, T.; Liu, Y.; Zhang, S.; Li, Z.; Wang, D.; Wang, X.; Xia, X.; Gu, C.; Tu, J. Improved ionic conductivity and Li dendrite suppression capability toward Li7P3S11-based solid electrolytes triggered by Nb and O cosubstitution. ACS Appl. Mater. Interfaces 2020, 12, 54662–54670. [Google Scholar] [CrossRef]
- Guo, Y.; Guan, H.; Peng, W.; Li, X.; Ma, Y.; Song, D.; Zhang, H.; Li, C.; Zhang, L. Enhancing the electrochemical performances of Li7P3S11 electrolyte through P2O5 substitution for all-solid-state lithium battery. Solid State Ionics 2020, 358, 115506. [Google Scholar] [CrossRef]
- Liang, J.; Chen, N.; Li, X.; Li, X.; Adair, K.R.; Li, J.; Wang, C.; Yu, C.; Norouzi Banis, M.; Zhang, L.; et al. Li10Ge(P1−xSbx)2S12 lithium-ion conductors with enhanced atmospheric stability. Chem. Mater. 2020, 32, 2664–2672. [Google Scholar] [CrossRef]
- Liang, J.; Li, X.; Wang, C.; Kim, J.T.; Yang, R.; Wang, J.; Sun, X. Current Status and Future Directions in Environmental Stability of Sulfide Solid-State Electrolytes for All-Solid-State Batteries. Energy Mater. Adv. 2023, 4, 0021. [Google Scholar] [CrossRef]
- Byeon, Y.W.; Kim, H. Review on interface and interphase issues in sulfide solid-state electrolytes for all-solid-state Li-metal batteries. Electrochem 2021, 2, 452–471. [Google Scholar] [CrossRef]
- Zhao, B.; Shi, Y.; Wu, J.; Xing, C.; Liu, Y.; Ma, W.; Liu, X.; Jiang, Y.; Zhang, J. Stabilizing Li7P3S11/lithium metal anode interface by in situ bifunctional composite layer. Chem. Eng. J. 2022, 429, 132411. [Google Scholar] [CrossRef]
- Tan, D.H.; Banerjee, A.; Deng, Z.; Wu, E.A.; Nguyen, H.; Doux, J.M.; Wang, X.; Cheng, J.h.; Ong, S.P.; Meng, Y.S.; et al. Enabling thin and flexible solid-state composite electrolytes by the scalable solution process. ACS Appl. Energy Mater. 2019, 2, 6542–6550. [Google Scholar] [CrossRef]
- Ramos, E.; Browar, A.; Roehling, J.; Ye, J. CO2 Laser Sintering of Garnet-Type Solid-State Electrolytes. ACS Energy Lett. 2022, 7, 3392–3400. [Google Scholar] [CrossRef]
- Kuwata, N.; Kawamura, J.; Toribami, K.; Hattori, T.; Sata, N. Thin-film lithium-ion battery with amorphous solid electrolyte fabricated by pulsed laser deposition. Electrochem. Commun. 2004, 6, 417–421. [Google Scholar] [CrossRef]
- Sakuda, A.; Hayashi, A.; Hama, S.; Tatsumisago, M. Preparation of Highly Lithium-Ion Conductive 80Li2S·20P2S5 Thin-Film Electrolytes Using Pulsed Laser Deposition. J. Am. Ceram. Soc. 2010, 93, 765–768. [Google Scholar] [CrossRef]
- Liu, Z.; Fu, W.; Payzant, E.A.; Yu, X.; Wu, Z.; Dudney, N.J.; Kiggans, J.; Hong, K.; Rondinone, A.J.; Liang, C. Anomalous high ionic conductivity of nanoporous β-Li3PS4. J. Am. Chem. Soc. 2013, 135, 975–978. [Google Scholar] [CrossRef]
- Wu, C.W.; Ren, X.; Zhou, W.X.; Xie, G.; Zhang, G. Thermal stability and thermal conductivity of solid electrolytes. APL Mater. 2022, 10, 040902. [Google Scholar] [CrossRef]
- Wang, S.; Wu, Y.; Li, H.; Chen, L.; Wu, F. Improving thermal stability of sulfide solid electrolytes: An intrinsic theoretical paradigm. InfoMat 2022, 4, e12316. [Google Scholar] [CrossRef]
- Mizuno, F.; Hayashi, A.; Tadanaga, K.; Tatsumisago, M. New lithium-ion conducting crystal obtained by crystallization of the Li2S–P2S5 glasses. Electrochem.-Solid-State Lett. 2005, 8, A603. [Google Scholar] [CrossRef]
- Hood, Z.D.; Kates, C.; Kirkham, M.; Adhikari, S.; Liang, C.; Holzwarth, N.A. Structural and electrolyte properties of Li4P2S6. Solid State Ionics 2016, 284, 61–70. [Google Scholar] [CrossRef]
- Wang, Z.; Jiang, Y.; Wu, J.; Jiang, Y.; Huang, S.; Zhao, B.; Chen, Z.; Zhang, J. Reaction mechanism of Li2S-P2S5 system in acetonitrile based on wet chemical synthesis of Li7P3S11 solid electrolyte. Chem. Eng. J. 2020, 393, 124706. [Google Scholar] [CrossRef]
- Kato, A.; Kowada, H.; Deguchi, M.; Hotehama, C.; Hayashi, A.; Tatsumisago, M. XPS and SEM analysis between Li/Li3PS4 interface with Au thin film for all-solid-state lithium batteries. Solid State Ionics 2018, 322, 1–4. [Google Scholar] [CrossRef]
- Wenzel, S.; Weber, D.A.; Leichtweiss, T.; Busche, M.R.; Sann, J.; Janek, J. Interphase formation and degradation of charge transfer kinetics between a lithium metal anode and highly crystalline Li7P3S11 solid electrolyte. Solid State Ionics 2016, 286, 24–33. [Google Scholar] [CrossRef]
- Auvergniot, J.; Cassel, A.; Foix, D.; Viallet, V.; Seznec, V.; Dedryvère, R. Redox activity of argyrodite Li6PS5Cl electrolyte in all-solid-state Li-ion battery: An XPS study. Solid State Ionics 2017, 300, 78–85. [Google Scholar] [CrossRef]
- Wang, C.; Adair, K.R.; Liang, J.; Li, X.; Sun, Y.; Li, X.; Wang, J.; Sun, Q.; Zhao, F.; Lin, X.; et al. Solid-state plastic crystal electrolytes: Effective protection interlayers for sulfide-based all-solid-state lithium metal batteries. Adv. Funct. Mater. 2019, 29, 1900392. [Google Scholar] [CrossRef]






Disclaimer/Publisher’s Note: The statements, opinions and data contained in all publications are solely those of the individual author(s) and contributor(s) and not of MDPI and/or the editor(s). MDPI and/or the editor(s) disclaim responsibility for any injury to people or property resulting from any ideas, methods, instructions or products referred to in the content. |
© 2023 by the authors. Licensee MDPI, Basel, Switzerland. This article is an open access article distributed under the terms and conditions of the Creative Commons Attribution (CC BY) license (https://creativecommons.org/licenses/by/4.0/).
Share and Cite
Eatmon, Y.; Stiles, J.W.; Hayashi, S.; Rupp, M.; Arnold, C. Air Stabilization of Li7P3S11 Solid-State Electrolytes through Laser-Based Processing. Nanomaterials 2023, 13, 2210. https://doi.org/10.3390/nano13152210
Eatmon Y, Stiles JW, Hayashi S, Rupp M, Arnold C. Air Stabilization of Li7P3S11 Solid-State Electrolytes through Laser-Based Processing. Nanomaterials. 2023; 13(15):2210. https://doi.org/10.3390/nano13152210
Chicago/Turabian StyleEatmon, Yannick, Joseph W. Stiles, Shuichiro Hayashi, Marco Rupp, and Craig Arnold. 2023. "Air Stabilization of Li7P3S11 Solid-State Electrolytes through Laser-Based Processing" Nanomaterials 13, no. 15: 2210. https://doi.org/10.3390/nano13152210
APA StyleEatmon, Y., Stiles, J. W., Hayashi, S., Rupp, M., & Arnold, C. (2023). Air Stabilization of Li7P3S11 Solid-State Electrolytes through Laser-Based Processing. Nanomaterials, 13(15), 2210. https://doi.org/10.3390/nano13152210

