Graphdiyne-Based All-Solid-State Passively Q-Switched Tm:YAP Laser at 2 μm
Abstract
1. Introduction
2. Preparation and Characterization of Saturable Absorber Devices
2.1. Materials
2.2. Devices
3. Experimental Setup
4. Results and Discussion
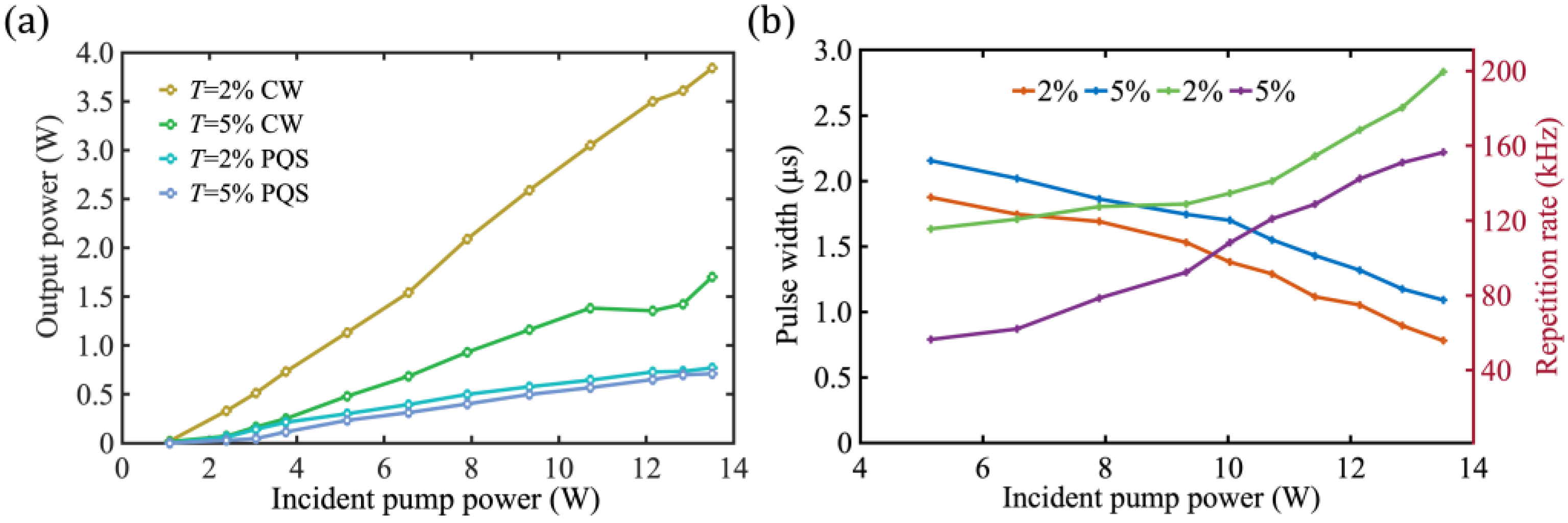
4.1. Results
4.2. Discussion
5. Conclusions
Author Contributions
Funding
Data Availability Statement
Conflicts of Interest
References
- Hakobyan, S.; Wittwer, V.J.; Hasse, K.; Krankel, C.; Sudmeyer, T.; Calmano, T. Highly efficient Q-switched Yb:YAG channel waveguide laser with 5.6 W of average output power. Opt. Lett. 2016, 41, 4715–4718. [Google Scholar] [CrossRef] [PubMed]
- Li, P.F.; Chen, Y.; Yang, T.S.; Wang, Z.Y.; Lin, H.; Xu, Y.H.; Li, L.; Mu, H.R.; Shivananju, B.N.; Zhang, Y.P.; et al. Two-Dimensional CH3NH3PbI3 Perovskite Nanosheets for Ultrafast Pulsed Fiber Lasers. ACS Appl. Mater. Interfaces 2017, 9, 12759–12765. [Google Scholar] [CrossRef] [PubMed]
- Novoselov, K.S.; Geim, A.K.; Morozov, S.V.; Jiang, D.; Zhang, Y.; Dubonos, S.V.; Grigorieva, I.V.; Firsov, A.A. Electric field effect in atomically thin carbon films. Science 2004, 306, 666–669. [Google Scholar] [CrossRef] [PubMed]
- Yu, Z.H.; Song, Y.R.; Tian, J.R.; Dou, Z.Y.; Guoyu, H.Y.; Li, K.X.; Li, H.W.; Zhang, X.P. High-repetition-rate Q-switched fiber laser with high quality topological insulator Bi2Se3 film. Opt. Express 2014, 22, 11508–11515. [Google Scholar] [CrossRef] [PubMed]
- Cheng, P.Y.; Du, Y.Q.; Han, M.M.; Shu, X.W. Mode-locked and Q-switched mode-locked fiber laser based on a ferroferric-oxide nanoparticles saturable absorber. Opt. Express 2020, 28, 13177–13186. [Google Scholar] [CrossRef] [PubMed]
- Su, X.C.; Nie, H.K.; Wang, Y.R.; Li, G.R.; Yan, B.Z.; Zhang, B.T.; Yang, K.J.; He, J.L. Few-layered ReS2 as saturable absorber for 2.8 μm solid state laser. Opt. Lett. 2017, 42, 3502–3505. [Google Scholar] [CrossRef]
- Lin, T.; Sun, H.; Wang, X.; Mao, D.; Wang, Y.G.; Li, L.; Duan, L.N. Passively Q-switched Nd:YAG laser with a MoS2 solution saturable absorber. Laser Phys. 2015, 25, 125805. [Google Scholar] [CrossRef]
- Lin, J.; Hu, Y.Y.; Chen, C.J.; Gu, C.; Xu, L.X. Wavelength-tunable Yb-doped passively Q-switching fiber laser based on WS2 saturable absorber. Opt. Express 2015, 23, 29059–29064. [Google Scholar] [CrossRef]
- Cheng, C.; Liu, H.L.; Tan, Y.; de Aldana, J.R.V.; Chen, F. Passively Q-switched waveguide lasers based on two-dimensional transition metal diselenide. Opt. Express 2016, 24, 10385–10390. [Google Scholar] [CrossRef]
- Zhang, M.; Wu, Q.; Zhang, F.; Chen, L.L.; Jin, X.X.; Hu, Y.W.; Zheng, Z.; Zhang, H. 2D Black Phosphorus Saturable Absorbers for Ultrafast Photonics. Adv. Opt. Mater. 2019, 7, 1800224. [Google Scholar] [CrossRef]
- Wang, M.K.; Zhu, J.; Zi, Y.; Wu, Z.G.; Hu, H.G.; Xie, Z.J.; Zhang, Y.; Hu, L.P.; Huang, W.C. Functional two-dimensional black phosphorus nanostructures towards next-generation devices. J. Mater. Chem. A 2021, 9, 12433–12473. [Google Scholar] [CrossRef]
- Huang, W.C.; Li, C.; Gao, L.F.; Zhang, Y.; Wang, Y.Z.; Huang, Z.Y.N.; Chen, T.T.; Hu, L.P.; Zhang, H. Emerging black phosphorus analogue nanomaterials for high-performance device applications. J. Mater. Chem. C 2020, 8, 1172–1197. [Google Scholar] [CrossRef]
- Wu, Q.; Wang, Y.Z.; Huang, W.C.; Wang, C.; Zheng, Z.; Zhang, M.; Zhang, H. MXene-based high-performance all-optical modulators for actively Q-switched pulse generation. Photonics Res. 2020, 8, 1140–1147. [Google Scholar] [CrossRef]
- Wang, M.K.; Zhu, J.; Zi, Y.; Huang, W.C. 3D MXene Sponge: Facile Synthesis, Excellent Hydrophobicity, and High Photothermal Efficiency for Waste Oil Collection and Purification. ACS Appl. Mater. Interfaces 2021, 13, 47302–47312. [Google Scholar] [CrossRef]
- Huang, W.C.; Ma, C.Y.; Li, C.; Zhang, Y.; Hu, L.P.; Chen, T.T.; Tang, Y.F.; Ju, J.F.; Zhang, H. Highly stable MXene (V2CTx)-based harmonic pulse generation. Nanophotonics 2020, 9, 2577–2585. [Google Scholar] [CrossRef]
- Niu, Z.Q.; Li, G.Q.; Yang, K.J.; Li, T.; Zhao, J.; Zhao, S.Z.; Li, D.C.; Qiao, W.C.; Chu, H.W.; Feng, T.L.; et al. Doubly Q-switched Tm:YAP laser with g-C3N4 saturable absorber and AOM. Opt. Mater. 2019, 96, 109306. [Google Scholar] [CrossRef]
- Jin, C.J.; Bai, Y.; Li, L.F.; Jiang, T.; Ren, Z.Y.; Bai, J.T. A single-frequency, graphene-based passively Q-switched Tm: YAP laser. Laser Phys. 2015, 25, 015001. [Google Scholar] [CrossRef]
- Sun, Z.P. Optical Modulators with Two-dimensional Layered Materials. In Proceedings of the Progress in Electromagnetic Research Symposium (PIERS), Shanghai, China, 8–11 August 2016; p. 3851. [Google Scholar]
- Zheng, Z.X.; Guo, C.Y.; Wang, E.H.; He, Z.J.; Liang, T.X.; Yang, T.; Hou, X.M. The oxidation and thermal stability of two-dimensional transition metal carbides and/or carbonitrides (MXenes) and the improvement based on their surface state. Inorg. Chem. Front. 2021, 8, 2164–2182. [Google Scholar] [CrossRef]
- Xu, Y.P.; Zhu, X.H.; Lu, Z.B.; Zhang, G.G. Effects of oxygen atoms and oxygen molecules on the electronic properties of modified black phosphorus. Chem. Phys. 2021, 550, 111285. [Google Scholar] [CrossRef]
- Gao, X.; Liu, H.B.; Wang, D.; Zhang, J. Graphdiyne: Synthesis, properties, and applications. Chem. Soc. Rev. 2019, 48, 908–936. [Google Scholar] [CrossRef]
- Huang, C.S.; Li, Y.J.; Wang, N.; Xue, Y.R.; Zuo, Z.C.; Liu, H.B.; Li, Y.L. Progress in Research into 2D Graphdiyne-Based Materials. Chem. Rev. 2018, 118, 7744–7803. [Google Scholar] [CrossRef] [PubMed]
- Li, G.X.; Li, Y.L.; Liu, H.B.; Guo, Y.B.; Li, Y.J.; Zhu, D.B. Architecture of graphdiyne nanoscale films. Chem. Commun. 2010, 46, 3256–3258. [Google Scholar] [CrossRef] [PubMed]
- Wu, Q.; Chen, S.; Bao, W.L.; Wu, H.B. Femtosecond Pulsed Fiber Laser Based on Graphdiyne-Modified Tapered Fiber. Nanomaterials 2022, 12, 2050. [Google Scholar] [CrossRef]
- Zu, Y.Q.; Guo, J.; Hao, Q.Q.; Zhang, F.; Wang, C.; Liu, J.; Wang, B. Graphdiyne as a saturable absorber for 2-μm all-solid-state Q-switched laser. Sci. China-Mater. 2021, 64, 683–690. [Google Scholar] [CrossRef]
- Zong, M.Y.; Zu, Y.Q.; Guo, J.; Zhang, Z.; Liu, J.J.; Ge, Y.Q.; Liu, J.; Su, L.B. Broadband nonlinear optical response of graphdiyne for mid-infrared solid-state lasers. Sci. China-Phys. Mech. Astron. 2021, 64, 294214. [Google Scholar] [CrossRef]
- Yang, Q.; Zhang, X.Y.; Yang, Z.X.; Ren, X.H.; Wang, J.; Li, Q.D.; Cui, X.L.; Zhu, X.L. Broadband gamma-graphyne saturable absorber for Q-switched solid-state laser. Appl. Phys. Express 2019, 12, 122006. [Google Scholar] [CrossRef]
- Matsuoka, R.; Sakamoto, R.; Hoshiko, K.; Sasaki, S.; Masunaga, H.; Nagashio, K.; Nishihara, H. Crystalline Graphdiyne Nanosheets Produced at a Gas/Liquid or Liquid/Liquid Interface. J. Am. Chem. Soc. 2017, 139, 3145–3152. [Google Scholar] [CrossRef]
- Zhou, J.Y.; Gao, X.; Liu, R.; Xie, Z.Q.; Yang, J.; Zhang, S.Q.; Zhang, G.M.; Liu, H.B.; Li, Y.L.; Zhang, J.; et al. Synthesis of Graphdiyne Nanowalls Using Acetylenic Coupling Reaction. J. Am. Chem. Soc. 2015, 137, 7596–7599. [Google Scholar] [CrossRef] [PubMed]
- Hu, Y.; Wang, M.K.; Hu, L.P.; Hu, Y.L.; Guo, J.; Xie, Z.J.; Wei, S.R.; Wang, Y.H.; Zi, Y.; Zhang, H.; et al. Recent advances in two-dimensional graphdiyne for nanophotonic applications. Chem. Eng. J. 2022, 450, 138228. [Google Scholar] [CrossRef]
- Yan, B.Z.; Zhang, B.T.; He, J.L.; Nie, H.K.; Li, G.R.; Liu, J.T.; Shi, B.N.; Wang, R.H.; Yang, K.J. Ternary chalcogenide Ta2NiS5 as a saturable absorber for a 1.9 μm passively Q-switched bulk laser. Opt. Lett. 2019, 44, 451–454. [Google Scholar] [CrossRef]
- Chu, Z.Z.; Liu, J.; Guo, Z.N.; Zhang, H. 2 μm passively Q-switched laser based on black phosphorus. Opt. Mater. Express 2016, 6, 2374–2379. [Google Scholar] [CrossRef]
- Zu, Y.Q.; Zhang, C.; Guo, X.S.; Liang, W.Y.; Liu, J.; Su, L.B.; Zhang, H. A solid-state passively Q-switched Tm,Gd:CaF2 laser with a Ti3C2Tx MXene absorber near 2 μm. Laser Phys. Lett. 2019, 16, 015803. [Google Scholar] [CrossRef]
- Ran, B.F.; Sun, H.Y.; Ma, Y.F. Two-dimensional tin diselenide passively Q-switched 2 μm Tm:YAP laser. Infrared Phys. Technol. 2020, 105, 103227. [Google Scholar] [CrossRef]
- Ma, Y.F.; Sun, H.Y.; Ran, B.F.; Zhang, S.C.; Zhang, H.; Tittel, F.K.; Lv, Z.W. Passively Q-switched Tm:YAlO3 laser based on WS2/MoS2 two-dimensional nanosheets at 2 µm. Opt. Laser Technol. 2020, 126, 106084. [Google Scholar] [CrossRef]
- Li, S.C.; Li, L.J.; Qi, T.Q.; Wu, Z.Y.; Duan, X.M.; Yang, X.N.; Shen, Y.J. Passively Q-switched Tm:YAP laser with a lead zirconate titanate saturable absorber. Appl. Opt. 2021, 60, 8097–8102. [Google Scholar] [CrossRef]
- Liu, W.X.; Zu, Y.Q.; Guo, J.; Huang, S.J.; Li, D.K.; Liu, J.; Liu, D.H.; Ge, Y.Q. Watt-level graphdiyne passively Q-switched Tm:YAP laser at similar to 2 μm. Optik 2021, 242, 167208. [Google Scholar] [CrossRef]
- Zhang, C.; Hao, Q.Q.; Zu, Y.Q.; Zong, M.Y.; Guo, J.; Zhang, F.; Ge, Y.Q.; Liu, J. Graphdiyne Saturable Absorber for Passively Q-Switched Ho3+-Doped Laser. Nanomaterials 2020, 10, 1848. [Google Scholar] [CrossRef] [PubMed]
- Xie, Y.X.; Kong, L.C.; Qin, Z.P.; Xie, G.Q.; Zhang, J. Black phosphorus-based saturable absorber for Q-switched Tm: YAG ceramic laser. Opt. Eng. 2016, 55, 081307. [Google Scholar] [CrossRef]
- Yuan, J.H.; Li, J.R.; Li, L.J.; Han, J.; Shen, Y.J.; Li, Y.Y.; Wu, Z.Y.; Li, S.C. A Passively Q-switched Tm:YAlO3 bulk laser with a MXene Ti3C2Tx saturable absorber. Optik 2022, 252, 168509. [Google Scholar] [CrossRef]
- Li, L.J.; Zhou, L.; Li, T.X.; Yang, X.N.; Xie, W.Q.; Duan, X.M.; Shen, Y.J.; Yang, Y.Q.; Yang, W.L.; Zhang, H. Passive mode-locking operation of a diode-pumped Tm:YAG laser with a MoS2 saturable absorber. Opt. Laser Technol. 2020, 124, 105986. [Google Scholar] [CrossRef]
- Gao, P.; Huang, H.Z.; Wang, X.H.; Liu, H.G.; Huang, J.H.; Weng, W.; Dai, S.T.; Li, J.H.; Lin, W.X. Passively Q-switched solid-state Tm:YAG laser using topological insulator Bi2Te3 as a saturable absorber. Appl. Opt. 2018, 57, 2020–2024. [Google Scholar] [CrossRef] [PubMed]
- Hu, Y.Y.; Yang, X.N.; Li, L.J.; Gao, Q.; Li, S.C.; Wu, Z.Y.; Yang, Y.Q.; Cui, H.Y.; Zhou, S. A passively Q-switched operation of Tm:YAP laser with a Nb2AlC-based saturable absorber. Optik 2022, 256, 168743. [Google Scholar] [CrossRef]






| Saturable Absorbers | Crystal | Central Wavelength (nm) | Average Output Power (mW) | Repetition Frequency (kHz) | Pulse Width (μs) | Year | Ref. |
|---|---|---|---|---|---|---|---|
| Graphene | Tm:YAP | 1936.6 | 1370 | 98.6 | 2.164 | 2016 | [32] |
| BP | Tm:YAP | 1988.0 | 151 | 19.3 | 1.780 | 2016 | [32] |
| MXene | Tm,Gd:CaF2 | 1906.0 | 1927 | 19.61 | 2.390 | 2019 | [33] |
| SnSe2 | Tm:YAP | 1936.0 | 411 | 43.2 | 2.400 | 2020 | [34] |
| WS2 | Tm:YALO3 | 1936.0 | 110 | 34.7 | 2.650 | 2020 | [35] |
| PZT | Tm:YAP | 1991.9 | 810 | 175.0 | 1.690 | 2020 | [36] |
| GDY | Tm:YAP | 1936.6 | 1370 | 98.59 | 2.164 | 2020 | [37] |
| GDY | Ho:YLF | 2062.1 | 443 | 29.72 | 1.380 | 2021 | [38] |
| GDY | Tm:YLF | 1908.4 | 1290 | 91.58 | 2.207 | 2021 | [25] |
| GDY | Tm:YAP | 1985.8 | 770 | 199.6 | 0.785 | 2023 | This work |
Disclaimer/Publisher’s Note: The statements, opinions and data contained in all publications are solely those of the individual author(s) and contributor(s) and not of MDPI and/or the editor(s). MDPI and/or the editor(s) disclaim responsibility for any injury to people or property resulting from any ideas, methods, instructions or products referred to in the content. |
© 2023 by the authors. Licensee MDPI, Basel, Switzerland. This article is an open access article distributed under the terms and conditions of the Creative Commons Attribution (CC BY) license (https://creativecommons.org/licenses/by/4.0/).
Share and Cite
Wu, Q.; Wang, Y.; Zhao, G.; Wu, H.; Hu, Y.; Wang, M. Graphdiyne-Based All-Solid-State Passively Q-Switched Tm:YAP Laser at 2 μm. Nanomaterials 2023, 13, 2171. https://doi.org/10.3390/nano13152171
Wu Q, Wang Y, Zhao G, Wu H, Hu Y, Wang M. Graphdiyne-Based All-Solid-State Passively Q-Switched Tm:YAP Laser at 2 μm. Nanomaterials. 2023; 13(15):2171. https://doi.org/10.3390/nano13152171
Chicago/Turabian StyleWu, Qing, Yanyu Wang, Gang Zhao, Haibin Wu, Yi Hu, and Mengke Wang. 2023. "Graphdiyne-Based All-Solid-State Passively Q-Switched Tm:YAP Laser at 2 μm" Nanomaterials 13, no. 15: 2171. https://doi.org/10.3390/nano13152171
APA StyleWu, Q., Wang, Y., Zhao, G., Wu, H., Hu, Y., & Wang, M. (2023). Graphdiyne-Based All-Solid-State Passively Q-Switched Tm:YAP Laser at 2 μm. Nanomaterials, 13(15), 2171. https://doi.org/10.3390/nano13152171

