Prediction of Temperature-Dependent Mechanical Properties for SWCNT/Cu Nanocomposite Metamaterials: A Molecular Dynamics Study
Abstract
1. Introduction
2. Materials and Methods
3. Results and Discussion
3.1. Determination of Gap
3.2. Effect of SWCNT Content
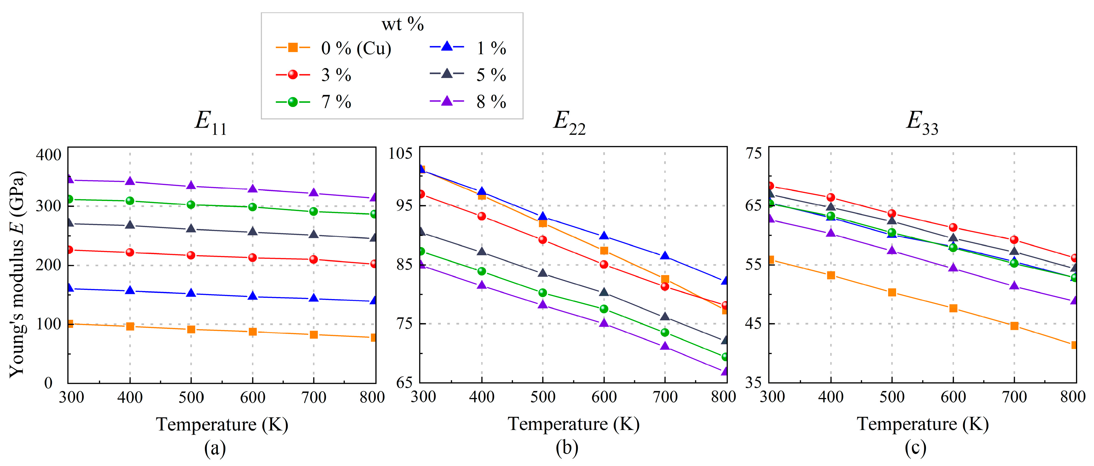
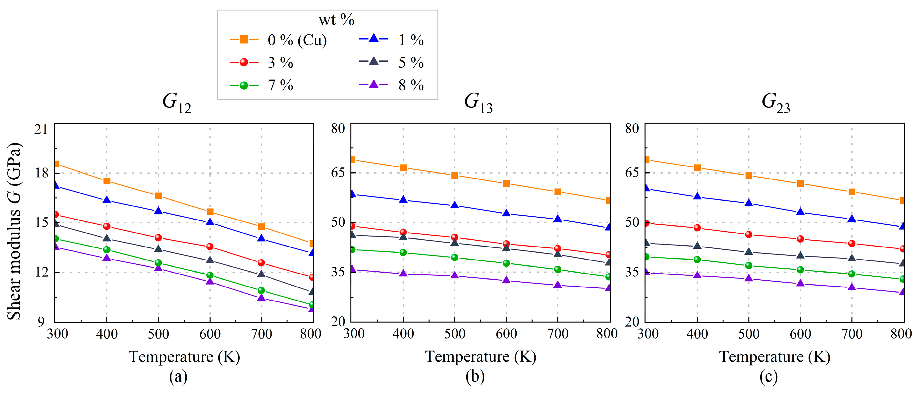
3.3. Effect of Temperature
4. Conclusions
- To sustain the stability in subsequent mechanical behavior, it is most important to determine the gap between Cu and SWCNT according to minimization of energy. The comparison between three gaps on stress distribution and crystal deformation after relaxation shows that the gap of 2.3 Å is optimum in the present case. The enhanced effect of SWCNT on the considered nanocomposite in various direction is different.
- As expected, elastic modulus E11 is significantly raised as it is along the length direction of SWCNT. In our simulation, E11 can reach about 399.3 GPa with 11.3 wt.% SWCNT, which is about four times that of the copper matrix. Whereas, E22 of nanocomposite is decreased because the effect of SWCNT in the y-direction is similar to a defect in this case. Unlike E11 and E22, E33 has an “inverse” trend with increase in SWCNT weight fraction, and the peak value of E33 is at 3.3 wt.% of around 68.5 GPa. These indicate that the considered nanocomposite is anisotropic in mechanics.
- In addition, we discovered that smaller diameter CNTs have a better enhanced effect and its nanocomposite has more remarkable auxeticity. Although the SWCNT with positive Poisson’s ratio weakens the auxeticity of copper, υ12 of SWCNT/Cu can still reach about −0.2.
- Finally, thermal effect is considered as temperature rises from 300 K to 800 K. With temperature increase, all elastic moduli and shear moduli are degraded due to the weakening of their own chemical bonds and interactions between SWCNT and Cu. However, at the same time, it is noted that the enhanced effect of SWCNT is relatively more obvious at a high temperature owing to the property degradation of SWCNT being less. On the whole, TECs α11 and α22 of nanocomposite are in between those of SWCNT and copper. However, an abnormal phenomenon is that TEC α33 is higher than that of any component material. Thus, we discussed the contributions of the three components (SWCNT, copper, and the gap) to the TEC in that direction to explain this phenomenon.
Author Contributions
Funding
Data Availability Statement
Acknowledgments
Conflicts of Interest
References
- Iijima, S. Helical microtubules of graphitic carbon. Nature 1991, 354, 56–58. [Google Scholar] [CrossRef]
- Iijima, S.; Ichihashi, T. Single-shell carbon nanotubes of 1-nm diameter. Nature 1993, 363, 603–604. [Google Scholar] [CrossRef]
- Zhang, R.F.; Zhang, Y.Y.; Wei, F. Controlled Synthesis of Ultralong Carbon Nanotubes with Perfect Structures and Extraordinary Properties. Acc. Chem. Res. 2017, 50, 179–189. [Google Scholar] [CrossRef] [PubMed]
- Chiba, T.; Yabuki, H.; Takashiri, M. High thermoelectric performance of flexible nanocomposite films based on Bi2Te3 nanoplates and carbon nanotubes selected using ultracentrifugation. Sci. Rep. 2023, 13, 3010. [Google Scholar] [CrossRef] [PubMed]
- Wang, G.J.; Cai, Y.P.; Ma, Y.J.; Tang, S.C.; Syed, J.A.; Cao, Z.H.; Meng, X.K. Ultrastrong and Stiff Carbon Nanotube/Aluminum-Copper Nanocomposite via Enhancing Friction between Carbon Nanotubes. Nano Lett. 2019, 19, 6255–6262. [Google Scholar] [CrossRef]
- Cao, L.; Chen, B.; Wan, J.; Kondoh, K.; Guo, B.; Shen, J.; Li, J.S. Superior high-temperature tensile properties of aluminum matrix composites reinforced with carbon nanotubes. Carbon 2022, 191, 403–414. [Google Scholar] [CrossRef]
- Liu, K.Y.; Li, J.S.; Wan, J.; Yan, Q.; Kondoh, K.; Shen, J.; Li, S.; Chen, B. Sintering-free fabrication of high-strength titanium matrix composites reinforced with carbon nanotubes. Carbon 2022, 197, 412–424. [Google Scholar] [CrossRef]
- Stein, J.; Lenczowski, B.; Frety, N.; Anglaret, E. Mechanical reinforcement of a high-performance aluminium alloy AA5083 with homogeneously dispersed multi-walled carbon nanotubes. Carbon 2012, 50, 2264–2272. [Google Scholar] [CrossRef]
- Pan, Q.Y.; Yu, X.P.; Yu, F.J. Creep and mechanical properties of aluminium A356 composites reinforced with coated and un-coated MWCNTs fabricated using the stir casting method. Mater. Sci. Technol. 2023, 39, 1100–1112. [Google Scholar] [CrossRef]
- Xu, L.S.; Chen, X.H.; Liu, X.J. Preparation and properties of carbon nanotubes reinforced Cu matrix composites for electronic packaging application. Appl. Mech. Mater. 2013, 275–277, 1789–1793. [Google Scholar] [CrossRef]
- Ishibe, T.; Kaneko, T.; Uematsu, Y.; Sato-Akaba, H.; Komura, M.; Iyoda, T.; Nakamura, Y. Tunable Thermal Switch via Order-Order Transition in Liquid Crystalline Block Copolymer. Nano Lett. 2022, 22, 6105–6111. [Google Scholar] [CrossRef] [PubMed]
- Wang, D.; Yan, A.; Liu, Y.; Wu, Z.; Gan, X.; Li, F.; Tao, J.; Li, C.; Yi, J. Interfacial Bonding Improvement through Nickel Decoration on Carbon Nanotubes in Carbon Nanotubes/Cu Composite Foams Reinforced Copper Matrix Composites. Nanomaterials 2022, 12, 2548. [Google Scholar] [CrossRef]
- Tian, D.; Liu, Y.; Yu, J.; Zhao, Q.; Tao, J.; Wu, Z.; Zhang, J.; Fan, Y.; Liu, Y.; Li, C.; et al. A Study of Silver Decoration on Carbon Nanotubes via Ultrasonic Chemical Synthesis and Their Reinforced Copper Matrix Composites. Nanomaterials 2023, 13, 887. [Google Scholar] [CrossRef] [PubMed]
- Cha, S.I.; Kim, K.T.; Arshad, S.N.; Mo, C.B.; Hong, S.H. Extraordinary strengthening effect of carbon nanotubes in metal-matrix nanocomposites processed by molecular-level mixing. Adv. Mater. 2005, 17, 1377–1381. [Google Scholar] [CrossRef] [PubMed]
- Kim, K.T.; Il Cha, S.; Gemming, T.; Eckert, J.; Hong, S.H. The Role of Interfacial Oxygen Atoms in the Enhanced Mechanical Properties of Carbon-Nanotube-Reinforced Metal Matrix Nanocomposites. Small 2008, 4, 1936–1940. [Google Scholar] [CrossRef] [PubMed]
- Lim, B.K.; Mo, C.B.; Nam, D.H.; Hong, S.H. Mechanical and Electrical Properties of Carbon Nanotube/Cu Nanocomposites by Molecular-Level Mixing and Controlled Oxidation Process. J. Nanosci. Nanotechnol. 2010, 10, 78–84. [Google Scholar] [CrossRef]
- Xue, Z.W.; Wang, L.D.; Zhao, P.T.; Xu, S.C.; Qi, J.L.; Fei, W.D. Microstructures and tensile behavior of carbon nanotubes reinforced Cu matrix composites with molecular-level dispersion. Mater. Des. 2012, 34, 298–301. [Google Scholar] [CrossRef]
- Kim, K.T.; Il Cha, S.; Hong, S.H.; Hong, S.H. Microstructures and tensile behavior of carbon nanotube reinforced Cu matrix nanocomposites. Mat. Sci. Eng. A-Struct. 2006, 430, 27–33. [Google Scholar] [CrossRef]
- Liu, J.; Xiong, D.-B.; Tan, Z.; Fan, G.; Guo, Q.; Su, Y.; Li, Z.; Zhang, D. Enhanced mechanical properties and high electrical conductivity in multiwalled carbon nanotubes reinforced copper matrix nanolaminated composites. Mat. Sci. Eng. A-Struct. 2018, 729, 452–457. [Google Scholar] [CrossRef]
- Chai, G.; Sun, Y.; Sun, J.J.; Chen, Q. Mechanical properties of carbon nanotube-copper nanocomposites. J. Micromech. Microeng. 2008, 18, 035013. [Google Scholar] [CrossRef]
- Daoush, W.M.; Lim, B.K.; Mo, C.B.; Nam, D.H.; Hong, S.H. Electrical and mechanical properties of carbon nanotube reinforced copper nanocomposites fabricated by electroless deposition process. Mater. Sci. Eng. A 2009, 513–514, 247–253. [Google Scholar] [CrossRef]
- Duan, K.; Li, L.; Hu, Y.J.; Wang, X.L. Damping characteristic of Ni-coated carbon nanotube/copper composite. Mater. Des. 2017, 133, 455–463. [Google Scholar] [CrossRef]
- Faria, B.; Guarda, C.; Silvestre, N.; Lopes, J.N.C.; Galhofo, D. Strength and failure mechanisms of cnt-reinforced copper nanocomposite. Compos. Part B Eng. 2018, 145, 108–120. [Google Scholar] [CrossRef]
- Wang, P.J.; Cao, Q.; Wang, H.P.; Nie, Y.T.; Liu, S.; Peng, Q. Fivefold enhancement of yield and toughness of copper nanowires via coating carbon nanotubes. Nanotechnology 2020, 31, 115703. [Google Scholar] [CrossRef]
- Yan, Y.P.; Lei, Y.X.; Liu, S. Tensile responses of carbon nanotubes-reinforced copper nanocomposites: Molecular dynamics simulation. Comput. Mater. Sci. 2018, 151, 273–277. [Google Scholar] [CrossRef]
- Shim, J.S.; Beom, H.G. Atomistic Investigation on the Blocking Phenomenon of Crack Propagation in Cu Substrate Reinforced by CNT. Nanomaterials 2023, 13, 575. [Google Scholar] [CrossRef]
- Evans, K.E. Auxetic polymers: A new range of materials. Endeavour 1991, 15, 170–174. [Google Scholar] [CrossRef]
- Saxena, K.K.; Das, R.; Calius, E.P. Three Decades of Auxetics Research—Materials with Negative Poisson’s Ratio: A Review. Adv. Eng. Mater. 2016, 18, 1847–1870. [Google Scholar] [CrossRef]
- Ma, C.; Lei, H.; Liang, J.; Wu, W.; Wang, T.; Fang, D. Macroscopic mechanical response of chiral-type cylindrical metastructures under axial compression loading. Mater. Des. 2018, 158, 198–212. [Google Scholar] [CrossRef]
- Fan, Y.; Wang, Y. The effect of negative Poisson’s ratio on the low-velocity impact response of an auxetic nanocomposite laminate beam. Int. J. Mech. Mater. Des. 2021, 17, 153–169. [Google Scholar] [CrossRef]
- Zhou, C.; Bai, L.; Gao, Y.; Liang, X.; Sun, J.; Yang, S.; Wen, M.; Wu, F.; Dong, H. Negative Poisson’s ratio effect of P2/m phosphine. J. Appl. Phys. 2022, 132, 205106. [Google Scholar] [CrossRef]
- Ren, X.; Das, R.; Phuong, T.; Tuan Duc, N.; Xie, Y.M. Auxetic metamaterials and structures: A review. Smart Mater. Struct. 2018, 27, 023001. [Google Scholar] [CrossRef]
- Li, C.; Shen, H.-S.; Yang, J. Design and nonlinear dynamics of FG curved sandwich beams with self-adapted auxetic 3D double-V meta-lattice core. Eng. Struct. 2022, 272, 115023. [Google Scholar] [CrossRef]
- Milstein, F.; Huang, K. Existence of a negative Poisson ratio in fcc crystals. Phys. Rev. B 1979, 19, 2030–2033. [Google Scholar] [CrossRef]
- Baughman, R.H.; Shacklette, J.M.; Zakhidov, A.A.; Stafstrom, S. Negative Poisson’s ratios as a common feature of cubic metals. Nature 1998, 392, 362–365. [Google Scholar] [CrossRef]
- Fan, Y.; Xiang, Y.; Shen, H.-S. Temperature-Dependent Mechanical Properties of Graphene/Cu Nanocomposites with In-Plane Negative Poisson’s Ratios. Research 2020, 2020, 5618021. [Google Scholar] [CrossRef] [PubMed]
- Fan, Y.; Shen, H.-S. Non-symmetric stiffness of origami-graphene metamaterial plates. Compos. Struct. 2022, 297, 115974. [Google Scholar] [CrossRef]
- Su, W.; Li, X.; Li, L.; Yang, D.; Wang, F.; Wei, X.; Zhou, W.; Kataura, H.; Xie, S.; Liu, H. Chirality-dependent electrical transport properties of carbon nanotubes obtained by experimental measurement. Nat. Commun. 2023, 14, 1672. [Google Scholar] [CrossRef] [PubMed]
- Zhang, H.-N.; Fan, Y.; Shen, H.-S. Chirality-Dependent and Intrinsic Auxeticity for Single-Walled Carbon Nanotubes. Materials 2022, 15, 8720. [Google Scholar] [CrossRef]
- Daw, M.S.; Baskes, M.I. Embedded-atom method: Derivation and application to impurities, surfaces, and other defects in metals. Phys. Rev. B 1984, 29, 6443–6453. [Google Scholar] [CrossRef]
- Foiles, S.M.; Baskes, M.I.; Daw, M.S. Embedded-atom-method functions for the fcc metals Cu, Ag, Au, Ni, Pd, Pt, and their alloys. Phys. Rev. B 1986, 33, 7983–7991. [Google Scholar] [CrossRef] [PubMed]
- Brenner, D.W.; Shenderova, O.A.; Harrison, J.A.; Stuart, S.J.; Ni, B.; Sinnott, S.B. A second-generation reactive empirical bond order (REBO) potential energy expression for hydrocarbons. J. Phys. Condens. Matter 2002, 14, 783–802. [Google Scholar] [CrossRef]
- Qian, C.; McLean, B.; Hedman, D.; Ding, F. A comprehensive assessment of empirical potentials for carbon materials. APL Mater. 2021, 9, 061102. [Google Scholar] [CrossRef]
- He, Y.Z.; Huang, F.; Li, H.; Sui, Y.W.; Wei, F.X.; Meng, Q.K.; Yang, W.M.; Qi, J.Q. Tensile mechanical properties of nano-layered copper/graphene composite. Phys. E 2017, 87, 233–236. [Google Scholar] [CrossRef]
- Zhang, C.; Lu, C.; Pei, L.Q.; Li, J.Q.; Wang, R.; Tieu, K. The negative Poisson’s ratio and strengthening mechanism of nanolayered graphene/Cu composites. Carbon 2019, 143, 125–137. [Google Scholar] [CrossRef]
- Huang, C.-W.; Chang, M.-P.; Fang, T.-H. Effects of temperature and repeat layer spacing on mechanical properties of graphene/polycrystalline copper nanolaminated composites under shear loading. Beilstein J. Nanotechnol. 2021, 12, 863–877. [Google Scholar] [CrossRef] [PubMed]
- Thompson, A.P.; Aktulga, H.M.; Berger, R.; Bolintineanu, D.S.; Brown, W.M.; Crozier, P.S.; Veld, P.J.i.t.; Kohlmeyer, A.; Moore, S.G.; Nguyen, T.D.; et al. LAMMPS-a flexible simulation tool for particle-based materials modeling at the atomic, meso, and continuum scales. Comput. Phys. Commun. 2022, 271, 108171. [Google Scholar] [CrossRef]
- Stukowski, A. Visualization and analysis of atomistic simulation data with OVITO-the Open Visualization Tool. Modelling Simul. Mater. Sci. Eng. 2010, 18, 015012. [Google Scholar] [CrossRef]
- Koti, V.; George, R.; Shakiba, A.; Murthy, K.V.S. Mechanical properties of Copper Nanocomposites Reinforced with Uncoated and Nickel Coated Carbon Nanotubes. FME Transactions 2018, 46, 623–630. [Google Scholar] [CrossRef]
- Duan, K.; Li, L.; Wang, F.; Meng, W.; Hu, Y.; Wang, X. Importance of Interface in the Coarse-Grained Model of CNT/Epoxy Nanocomposites. Nanomaterials 2019, 9, 1479. [Google Scholar] [CrossRef]
- Chu, K.; Jia, C.-c.; Li, W.-s.; Wang, P. Mechanical and electrical properties of carbon-nanotube-reinforced CuTi alloy matrix composites. Phys. Status Solidi A 2013, 210, 594–599. [Google Scholar] [CrossRef]
- Sun, Y.; Chen, Q. Diameter dependent strength of carbon nanotube reinforced composite. Appl. Phys. Lett. 2009, 95, 021901. [Google Scholar] [CrossRef]
- Shen, H.-S.; Zhang, C.-L. Thermal buckling and postbuckling behavior of functionally graded carbon nanotube-reinforced composite plates. Mater. Des. 2010, 31, 3403–3411. [Google Scholar] [CrossRef]
- Liu, J.; Fan, G.; Tan, Z.; Guo, Q.; Su, Y.; Li, Z.; Xiong, D.-B. Mechanical properties and failure mechanisms at high temperature in carbon nanotube reinforced copper matrix nanolaminated composite. Compos. Part A Appl. Sci. Manuf. 2019, 116, 54–61. [Google Scholar] [CrossRef]
- Zhao, K.J.; Chen, C.Q.; Shen, Y.P.; Lu, T.J. Molecular dynamics study on the nano-void growth in face-centered cubic single crystal copper. Comput. Mater. Sci. 2009, 46, 749–754. [Google Scholar] [CrossRef]










| Chiral Angle θ | Diameter d (Å) | (n, m) | υ12 at 4.3 K | υ12 at 300 K |
|---|---|---|---|---|
| 10.89° | 3.59 | (4, 1) | 0.0385 | 0.0437 |
| 8.95° | 4.36 | (5, 1) | 0.0583 | 0.0699 |
| 19.11° | 4.14 | (4, 2) | 0.0694 | 0.0792 |
| 7.59° | 5.13 | (6, 1) | 0.0816 | 0.0952 |
| 16.10° | 4.89 | (5, 2) | 0.0873 | 0.0988 |
| 6.59° | 5.91 | (7, 1) | 0.1061 | 0.1106 |
| 13.90° | 5.65 | (6, 2) | 0.1080 | 0.1143 |
| 5.82° | 6.69 | (8, 1) | 0.1282 | 0.1301 |
| 12.22° | 6.41 | (7, 2) | 0.1288 | 0.1312 |
| wt.% | T (K) | E11 (GPa) | E22 (GPa) | E33 (GPa) | G12 (GPa) | G13 (GPa) | G23 (GPa) |
|---|---|---|---|---|---|---|---|
| 0% | 300 | 101.10 | 101.14 | 55.890 | 18.562 | 68.975 | 68.946 |
| 400 | 96.807 | 96.712 | 53.235 | 17.537 | 66.548 | 66.555 | |
| 500 | 91.809 | 92.039 | 50.318 | 16.635 | 64.198 | 64.150 | |
| 600 | 87.792 | 87.414 | 47.655 | 15.659 | 61.737 | 61.746 | |
| 700 | 82.777 | 82.590 | 44.673 | 14.762 | 59.318 | 59.303 | |
| 800 | 77.524 | 77.287 | 41.410 | 13.772 | 56.722 | 56.683 | |
| 1% | 300 | 160.47 | 101.02 | 65.478 | 17.218 | 58.517 | 60.179 |
| 400 | 156.51 | 97.333 | 62.923 | 16.346 | 56.732 | 57.740 | |
| 500 | 151.69 | 93.078 | 60.041 | 15.691 | 55.113 | 55.789 | |
| 600 | 147.01 | 89.826 | 58.059 | 15.019 | 52.639 | 53.101 | |
| 700 | 143.65 | 86.397 | 55.533 | 14.037 | 51.043 | 51.025 | |
| 800 | 139.01 | 82.139 | 52.793 | 13.156 | 48.391 | 48.699 | |
| 3% | 300 | 226.24 | 96.918 | 68.336 | 15.496 | 48.932 | 49.838 |
| 400 | 221.55 | 93.174 | 66.362 | 14.778 | 47.061 | 48.416 | |
| 500 | 216.70 | 89.186 | 63.629 | 14.090 | 45.508 | 46.357 | |
| 600 | 212.46 | 85.026 | 61.311 | 13.561 | 43.547 | 45.030 | |
| 700 | 209.84 | 81.311 | 59.185 | 12.584 | 42.145 | 43.688 | |
| 800 | 202.13 | 78.090 | 56.100 | 11.707 | 40.216 | 42.060 | |
| 5% | 300 | 270.58 | 90.433 | 66.897 | 14.914 | 46.189 | 43.764 |
| 400 | 266.84 | 87.127 | 64.681 | 14.033 | 45.493 | 42.899 | |
| 500 | 261.25 | 83.460 | 62.333 | 13.397 | 43.732 | 41.059 | |
| 600 | 255.89 | 80.246 | 59.480 | 12.725 | 42.100 | 39.943 | |
| 700 | 251.02 | 76.117 | 57.167 | 11.876 | 40.322 | 39.127 | |
| 800 | 245.04 | 72.070 | 54.322 | 10.807 | 37.776 | 37.549 | |
| 7% | 300 | 312.01 | 87.278 | 65.314 | 14.039 | 41.793 | 39.616 |
| 400 | 308.74 | 83.872 | 63.241 | 13.380 | 40.911 | 38.842 | |
| 500 | 302.61 | 80.254 | 60.448 | 12.593 | 39.407 | 37.000 | |
| 600 | 298.22 | 77.512 | 57.843 | 11.833 | 37.694 | 35.759 | |
| 700 | 290.73 | 73.516 | 55.218 | 10.909 | 35.857 | 34.479 | |
| 800 | 286.50 | 69.370 | 52.770 | 10.039 | 33.608 | 32.890 | |
| 8% | 300 | 344.09 | 84.881 | 62.647 | 13.531 | 35.872 | 34.853 |
| 400 | 341.00 | 81.434 | 60.277 | 12.850 | 34.473 | 33.951 | |
| 500 | 334.00 | 78.165 | 57.300 | 12.243 | 33.924 | 33.109 | |
| 600 | 328.30 | 75.023 | 54.401 | 11.434 | 32.454 | 31.559 | |
| 700 | 321.57 | 71.129 | 51.350 | 10.443 | 31.072 | 30.365 | |
| 800 | 313.32 | 66.801 | 48.802 | 9.7921 | 30.050 | 28.922 |
| Case | E11 (GPa) | E22 (GPa) | G12 (GPa) | υ12 | υ21 |
|---|---|---|---|---|---|
| Case 1 | 114.99 | 115.07 | 21.499 | −0.1858 | −0.1855 |
| Case 2 | 84.649 | 53.750 | 2.9898 | −0.1439 | −0.0876 |
| Case 3 | 361.13 | 67.517 | 10.969 | −0.1506 | −0.0287 |
| Difference 2/1 | −26.4% | −53.3% | −86.1% | −22.6% | −52.8% |
| Difference 3/2 | 326.6% | 25.6% | 266.9% | 4.7% | −67.2% |
| Difference 3/1 | 214.1% | −41.3% | −49.0% | −18.9% | −84.5% |
| Case 4 | 95.885 | 74.560 | 8.4298 | −0.1497 | −0.1168 |
| Case 5 | 360.21 | 92.907 | 16.061 | −0.1200 | −0.0316 |
| Difference 4/1 | −16.6% | −35.2% | −60.8% | −19.4% | −37.0% |
| Difference 5/4 | 275.7% | 24.6% | 90.5% | −19.8% | −72.9% |
| Difference 5/1 | 213.3% | −19.3% | −25.3% | −35.4% | −83.0% |
| wt.% | T (K) | υ12 | υ21 | υ13 | υ31 | υ23 | υ32 |
|---|---|---|---|---|---|---|---|
| 0% | 300 | −0.2053 | −0.2053 | 0.9216 | 0.4216 | 0.9215 | 0.4216 |
| 400 | −0.2125 | −0.2133 | 0.9330 | 0.4228 | 0.9339 | 0.4232 | |
| 500 | −0.2217 | −0.2211 | 0.9476 | 0.4250 | 0.9467 | 0.4251 | |
| 600 | −0.2304 | −0.2308 | 0.9603 | 0.4262 | 0.9609 | 0.4265 | |
| 700 | −0.2409 | −0.2412 | 0.9763 | 0.4283 | 0.9766 | 0.4284 | |
| 800 | −0.2547 | −0.2553 | 0.9964 | 0.4309 | 0.9974 | 0.4310 | |
| 1% | 300 | −0.1745 | −0.1105 | 0.8326 | 0.2972 | 0.8370 | 0.4664 |
| 400 | −0.1779 | −0.1113 | 0.8371 | 0.2971 | 0.8393 | 0.4672 | |
| 500 | −0.1833 | −0.1131 | 0.8470 | 0.2966 | 0.8460 | 0.4672 | |
| 600 | −0.1894 | −0.1156 | 0.8603 | 0.2941 | 0.8501 | 0.4721 | |
| 700 | −0.1945 | −0.1183 | 0.8664 | 0.2910 | 0.8527 | 0.4708 | |
| 800 | −0.1996 | −0.1198 | 0.8754 | 0.2899 | 0.8562 | 0.4744 | |
| 3% | 300 | −0.1537 | −0.0692 | 0.7508 | 0.2068 | 0.8121 | 0.4983 |
| 400 | −0.1574 | −0.0688 | 0.7572 | 0.2043 | 0.8156 | 0.5017 | |
| 500 | −0.1637 | −0.0686 | 0.7677 | 0.2023 | 0.8215 | 0.5053 | |
| 600 | −0.1695 | −0.0734 | 0.7714 | 0.2006 | 0.8284 | 0.5073 | |
| 700 | −0.1762 | −0.0750 | 0.7833 | 0.2001 | 0.8316 | 0.5090 | |
| 800 | −0.1814 | −0.0752 | 0.7984 | 0.1980 | 0.8379 | 0.5102 | |
| 5% | 300 | −0.1463 | −0.0480 | 0.7075 | 0.1615 | 0.7975 | 0.5230 |
| 400 | −0.1505 | −0.0487 | 0.7136 | 0.1599 | 0.8011 | 0.5233 | |
| 500 | −0.1568 | −0.0526 | 0.7243 | 0.1583 | 0.8066 | 0.5244 | |
| 600 | −0.1620 | −0.0529 | 0.7318 | 0.1565 | 0.8105 | 0.5279 | |
| 700 | −0.1671 | −0.0549 | 0.7457 | 0.1585 | 0.8187 | 0.5297 | |
| 800 | −0.1739 | −0.0554 | 0.7554 | 0.1588 | 0.8265 | 0.5300 | |
| 7% | 300 | −0.1356 | −0.0409 | 0.6667 | 0.1272 | 0.8064 | 0.5287 |
| 400 | −0.1405 | −0.0405 | 0.6727 | 0.1278 | 0.8109 | 0.5312 | |
| 500 | −0.1474 | −0.0432 | 0.6810 | 0.1253 | 0.8148 | 0.5293 | |
| 600 | −0.1551 | −0.0446 | 0.6905 | 0.1209 | 0.8194 | 0.5321 | |
| 700 | −0.1616 | −0.0459 | 0.7097 | 0.1201 | 0.8253 | 0.5369 | |
| 800 | −0.1691 | −0.0455 | 0.7288 | 0.1224 | 0.8326 | 0.5361 | |
| 8% | 300 | −0.1290 | −0.0323 | 0.6324 | 0.1037 | 0.8189 | 0.5367 |
| 400 | −0.1332 | −0.0326 | 0.6385 | 0.1043 | 0.8235 | 0.5381 | |
| 500 | −0.1392 | −0.0348 | 0.6479 | 0.1041 | 0.8301 | 0.5381 | |
| 600 | −0.1472 | −0.0377 | 0.6632 | 0.1023 | 0.8358 | 0.5393 | |
| 700 | −0.1541 | −0.0383 | 0.6795 | 0.1046 | 0.8388 | 0.5413 | |
| 800 | −0.1629 | −0.0388 | 0.7013 | 0.1059 | 0.8451 | 0.5411 |
| wt.% | T (K) | α11 (×10−6 K−1) | α22 (×10−6 K−1) | α33 (×10−6 K−1) | ρ (g/cm3) |
|---|---|---|---|---|---|
| 0% | 300 | 16.659 | 16.715 | 16.677 | 8.8043 |
| 400 | 17.183 | 17.229 | 17.245 | 8.7597 | |
| 500 | 17.783 | 17.812 | 17.847 | 8.7138 | |
| 600 | 18.459 | 18.462 | 18.486 | 8.6665 | |
| 700 | 19.206 | 19.174 | 19.165 | 8.6177 | |
| 800 | 20.024 | 19.944 | 19.886 | 8.5673 | |
| 1% | 300 | 11.433 | 14.483 | 25.461 | 8.3552 |
| 400 | 11.420 | 14.899 | 25.504 | 8.3131 | |
| 500 | 11.407 | 15.165 | 26.073 | 8.2703 | |
| 600 | 11.394 | 15.338 | 26.996 | 8.2265 | |
| 700 | 11.381 | 15.476 | 28.104 | 8.1818 | |
| 800 | 11.368 | 15.636 | 29.228 | 8.1360 | |
| 3% | 300 | 8.3366 | 12.649 | 28.829 | 7.7709 |
| 400 | 8.3296 | 12.825 | 29.266 | 7.7328 | |
| 500 | 8.3227 | 13.000 | 29.920 | 7.6940 | |
| 600 | 8.3158 | 13.175 | 31.003 | 7.6542 | |
| 700 | 8.3089 | 13.349 | 32.299 | 7.6134 | |
| 800 | 8.3020 | 13.522 | 33.597 | 7.5717 | |
| 5% | 300 | 7.2747 | 11.668 | 30.072 | 7.3495 |
| 400 | 7.4919 | 11.823 | 30.590 | 7.3139 | |
| 500 | 7.4511 | 11.878 | 31.392 | 7.2778 | |
| 600 | 7.4719 | 11.742 | 32.544 | 7.2408 | |
| 700 | 7.2536 | 11.389 | 34.071 | 7.2030 | |
| 800 | 7.2484 | 11.376 | 35.754 | 7.1644 | |
| 7% | 300 | 6.5046 | 10.042 | 30.650 | 6.9240 |
| 400 | 6.5004 | 10.031 | 31.444 | 6.8913 | |
| 500 | 6.4962 | 10.021 | 32.462 | 6.8580 | |
| 600 | 6.4920 | 10.011 | 33.698 | 6.8240 | |
| 700 | 6.4878 | 10.001 | 35.151 | 6.7893 | |
| 800 | 6.4835 | 9.9914 | 36.814 | 6.7539 | |
| 8% | 300 | 6.0873 | 9.084 | 30.815 | 6.6027 |
| 400 | 6.0836 | 9.075 | 31.676 | 6.5722 | |
| 500 | 6.0799 | 9.067 | 33.193 | 6.5408 | |
| 600 | 6.0762 | 9.059 | 34.744 | 6.5087 | |
| 700 | 6.0725 | 9.051 | 36.278 | 6.4760 | |
| 800 | 6.0688 | 9.042 | 37.794 | 6.4430 | |
| 100% (7, 2) | 300 | 3.8150 | 5.5715 (α22 = α33) | − | |
| 400 | 3.8641 | 6.2998 (α22 = α33) | − | ||
| 500 | 3.9131 | 7.0267 (α22 = α33) | − | ||
| 600 | 3.9621 | 7.7521 (α22 = α33) | − | ||
| 700 | 4.0110 | 8.4758 (α22 = α33) | − | ||
| 800 | 4.0599 | 9.1977 (α22 = α33) | − | ||
Disclaimer/Publisher’s Note: The statements, opinions and data contained in all publications are solely those of the individual author(s) and contributor(s) and not of MDPI and/or the editor(s). MDPI and/or the editor(s) disclaim responsibility for any injury to people or property resulting from any ideas, methods, instructions or products referred to in the content. |
© 2023 by the authors. Licensee MDPI, Basel, Switzerland. This article is an open access article distributed under the terms and conditions of the Creative Commons Attribution (CC BY) license (https://creativecommons.org/licenses/by/4.0/).
Share and Cite
Zhang, H.-N.; Fan, Y.; Shen, H.-S. Prediction of Temperature-Dependent Mechanical Properties for SWCNT/Cu Nanocomposite Metamaterials: A Molecular Dynamics Study. Nanomaterials 2023, 13, 1885. https://doi.org/10.3390/nano13121885
Zhang H-N, Fan Y, Shen H-S. Prediction of Temperature-Dependent Mechanical Properties for SWCNT/Cu Nanocomposite Metamaterials: A Molecular Dynamics Study. Nanomaterials. 2023; 13(12):1885. https://doi.org/10.3390/nano13121885
Chicago/Turabian StyleZhang, Hai-Ning, Yin Fan, and Hui-Shen Shen. 2023. "Prediction of Temperature-Dependent Mechanical Properties for SWCNT/Cu Nanocomposite Metamaterials: A Molecular Dynamics Study" Nanomaterials 13, no. 12: 1885. https://doi.org/10.3390/nano13121885
APA StyleZhang, H.-N., Fan, Y., & Shen, H.-S. (2023). Prediction of Temperature-Dependent Mechanical Properties for SWCNT/Cu Nanocomposite Metamaterials: A Molecular Dynamics Study. Nanomaterials, 13(12), 1885. https://doi.org/10.3390/nano13121885

