Metal Contact Induced Unconventional Field Effect in Metallic Carbon Nanotubes
Abstract
1. Introduction
2. Materials and Methods
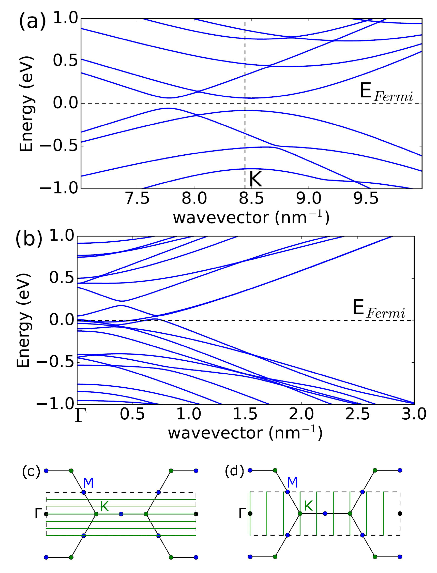
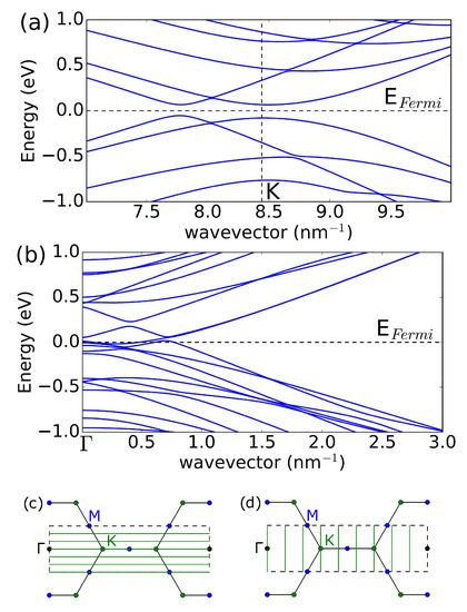
3. Results and Discussion
4. Conclusions
Author Contributions
Funding
Data Availability Statement
Acknowledgments
Conflicts of Interest
Abbreviations
| CNT | carbon nanotubes |
| FET | field effect transition |
| CNP | charge neutrality point |
References
- Jorio, A.; Dresselhaus, G.; Dresselhaus, M.S. Carbon Nanotubes: Advanced Topics in the Synthesis, Structure, Properties and Applications; Springer: Berlin/Heidelberg, Germany, 2008. [Google Scholar]
- De Volder, M.F.; Tawfick, S.H.; Baughman, R.H.; Hart, A.J. Carbon nanotubes: Present and future commercial applications. Science 2013, 339, 535–539. [Google Scholar] [CrossRef] [PubMed]
- Avouris, P.; Chen, Z.; Perebeinos, V. Carbon-based electronics. Nat. Nanotechnol. 2007, 2, 605–615. [Google Scholar] [CrossRef]
- Deng, J.; Patil, N.; Ryu, K.; Badmaev, A.; Zhou, C.; Mitra, S.; Wong, H.S.P. Carbon Nanotube Transistor Circuits: Circuit-Level Performance Benchmarking and Design Options for Living with Imperfections. In Proceedings of the 2007 IEEE International Solid-State Circuits Conference. Digest of Technical Papers, San Francisco, CA, USA, 11–15 February 2007; pp. 70–588. [Google Scholar] [CrossRef]
- Kang, S.J.; Kocabas, C.; Ozel, T.; Shim, M.; Pimparkar, N.; Alam, M.A.; Rotkin, S.V.; Rogers, J.A. High-performance electronics using dense, perfectly aligned arrays of single-walled carbon nanotubes. Nat. Nanotechnol. 2007, 2, 230–236. [Google Scholar] [CrossRef]
- Engel, M.; Small, J.P.; Steiner, M.; Freitag, M.; Green, A.A.; Hersam, M.C.; Avouris, P. Thin Film Nanotube Transistors Based on Self-Assembled, Aligned, Semiconducting Carbon Nanotube Arrays. ACS Nano 2008, 2, 2445–2452. [Google Scholar] [CrossRef] [PubMed]
- Cho, G.; Kim, Y.B.; Lombardi, F. Assessment of CNTFET based circuit performance and robustness to PVT variations. In Proceedings of the 2009 52nd IEEE International Midwest Symposium on Circuits and Systems, Cancun, Mexico, 2–5 August 2009; pp. 1106–1109. [Google Scholar] [CrossRef]
- Wong, H.S.P.; Akinwande, D. Carbon Nanotube and Graphene Device Physics; Cambridge University Press: Cambridge, UK, 2010. [Google Scholar]
- Franklin, A.D. The road to carbon nanotube transistors. Nature 2013, 498, 443–444. [Google Scholar] [CrossRef] [PubMed]
- Srivastava, N.; Banerjee, K. Performance Analysis of Carbon Nanotube Interconnects for VLSI Applications. In Proceedings of the 2005 IEEE/ACM International Conference on Computer-Aided Design, ICCAD’05, San Jose, CA, USA, 6–10 November 2005; IEEE Computer Society: Washington, DC, USA, 2005; pp. 383–390. [Google Scholar]
- Avouris, P.; Freitag, M.; Perebeinos, V. Carbon-nanotube photonics and optoelectronics. Nat. Photonics 2008, 2, 341–350. [Google Scholar] [CrossRef]
- Heinze, S.; Tersoff, J.; Martel, R.; Derycke, V.; Appenzeller, J.; Avouris, P. Carbon Nanotubes as Schottky Barrier Transistors. Phys. Rev. Lett. 2002, 89, 106801. [Google Scholar] [CrossRef] [PubMed]
- Appenzeller, J.; Knoch, J.; Derycke, V.; Martel, R.; Wind, S.; Avouris, P. Field-Modulated Carrier Transport in Carbon Nanotube Transistors. Phys. Rev. Lett. 2002, 89, 126801. [Google Scholar] [CrossRef]
- He, X.; Gao, W.; Xie, L.; Li, B.; Zhang, Q.; Lei, S.; Robinson, J.M.; Hároz, E.H.; Doorn, S.K.; Wang, W.; et al. Wafer-scale monodomain films of spontaneously aligned single-walled carbon nanotubes. Nat. Nanotechnol. 2016, 11, 633–638. [Google Scholar] [CrossRef]
- Liu, L.; Han, J.; Xu, L.; Zhou, J.; Zhao, C.; Ding, S.; Shi, H.; Xiao, M.; Ding, L.; Ma, Z.; et al. Aligned, high-density semiconducting carbon nanotube arrays for high-performance electronics. Science 2020, 368, 850–856. [Google Scholar] [CrossRef]
- Hartmann, M.; Hermann, S.; Marsh, P.F.; Rutherglen, C.; Wang, D.; Ding, L.; Peng, L.M.; Claus, M.; Schröter, M. CNTFET Technology for RF Applications: Review and Future Perspective. IEEE J. Microwaves 2021, 1, 275–287. [Google Scholar] [CrossRef]
- Cao, Q.; Han, S.J.; Tersoff, J.; Franklin, A.D.; Zhu, Y.; Zhang, Z.; Tulevski, G.S.; Tang, J.; Haensch, W. End-bonded contacts for carbon nanotube transistors with low, size-independent resistance. Science 2015, 350, 68–72. [Google Scholar] [CrossRef]
- Avouris, P.; Chen, J. Nanotube electronics and optoelectronics. Mater. Today 2006, 9, 46–54. [Google Scholar] [CrossRef]
- Léonard, F.; Talin, A.A. Electrical contacts to one- and two-dimensional nanomaterials. Nat. Nanotechnol. 2011, 6, 773–783. [Google Scholar] [CrossRef] [PubMed]
- Perebeinos, V.; Tersoff, J. Carbon nanotube deformation and collapse under metal contacts. Nano Lett. 2014, 14, 4376–4380. [Google Scholar] [CrossRef] [PubMed]
- Perebeinos, V.; Tersoff, J. Wetting Transition for Carbon Nanotube Arrays under Metal Contacts. Phys. Rev. Lett. 2015, 114, 085501. [Google Scholar] [CrossRef]
- Charlier, J.C.; Blase, X.; Roche, S. Electronic and transport properties of nanotubes. Rev. Mod. Phys. 2007, 79, 677–732. [Google Scholar] [CrossRef]
- Tans, S.J.; Verschueren, A.R.M.; Dekker, C. Room-temperature transistor based on a single carbon nanotube. Nature 1998, 393, 49–52. [Google Scholar] [CrossRef]
- Zhou, C.; Kong, J.; Dai, H. Intrinsic Electrical Properties of Individual Single-Walled Carbon Nanotubes with Small Band Gaps. Phys. Rev. Lett. 2000, 84, 5604–5607. [Google Scholar] [CrossRef]
- Amer, M.R.; Bushmaker, A.; Cronin, S.B. The Influence of Substrate in Determining the Band Gap of Metallic Carbon Nanotubes. Nano Lett. 2012, 12, 4843–4847. [Google Scholar] [CrossRef]
- Deshpande, V.V.; Chandra, B.; Caldwell, R.; Novikov, D.S.; Hone, J.; Bockrath, M. Mott Insulating State in Ultraclean Carbon Nanotubes. Science 2009, 323, 106–110. [Google Scholar] [CrossRef]
- Hafizi, R.; Tersoff, J.; Perebeinos, V. Band Structure and Contact Resistance of Carbon Nanotubes Deformed by a Metal Contact. Phys. Rev. Lett. 2017, 119, 207701. [Google Scholar] [CrossRef]
- Perebeinos, V.; Tersoff, J. Valence force model for phonons in graphene and carbon nanotubes. Phys. Rev. B 2009, 79, 241409. [Google Scholar] [CrossRef]
- Chopra, N.G.; Benedict, L.X.; Crespi, V.H.; Cohen, M.L.; Louie, S.G.; Zettl, A. Fully collapsed carbon nanotubes. Nature 1995, 377, 135–138. [Google Scholar] [CrossRef]
- Tomanek, D.; Zhong, W.; Krastev, E. Stability of multishell fullerenes. Phys. Rev. B 1993, 48, 15461. [Google Scholar] [CrossRef]
- Blase, X.; Rubio, A.; Louie, S.; Cohen, M. Stability and Band Gap Constancy of Boron-Nitride Nanotubes. Euro. Lett. 1994, 28, 335. [Google Scholar] [CrossRef]
- Singh-Miller, N.E.; Marzari, N. Surface energies, work functions, and surface relaxations of low-index metallic surfaces from first principles. Phys. Rev. B 2009, 80, 235407. [Google Scholar] [CrossRef]
- Tyson, W.; Miller, W. Surface free energies of solid metals: Estimation from liquid surface tension measurements. Surf. Sci. 1977, 62, 267–276. [Google Scholar] [CrossRef]
- Blaha, P.; Schwarz, K.; Madsen, G.; Kvasnicka, D.; Luitz, J.; Laskowsk, R.; Tran, F.; Marks, L.; Marks, L. WIEN2k: An Augmented Plane Wave Plus Local Orbitals Program for Calculating Crystal Properties; Techn. Universitat: Chemnitz, Germany, 2019. [Google Scholar]
- Hasegawa, M.; Nishidate, K.; Yoshimoto, N. Collapsed armchair single-walled carbon nanotubes as an analog of closed-edged bilayer graphene nanoribbons. Phys. Rev. B 2015, 92, 245429. [Google Scholar] [CrossRef]
- McCulley, D.R.; Senger, M.J.; Bertoni, A.; Perebeinos, V.; Minot, E.D. Extremely Efficient Photocurrent Generation in Carbon Nanotube Photodiodes Enabled by a Strong Axial Electric Field. Nano Lett. 2020, 20, 433–440. [Google Scholar] [CrossRef]
- Perebeinos, V.; Tersoff, J.; Haensch, W. Schottky-to-Ohmic Crossover in Carbon Nanotube Transistor Contacts. Phys. Rev. Lett. 2013, 111, 236802. [Google Scholar] [CrossRef]
- Lin, Y.M.; Perebeinos, V.; Chen, Z.; Avouris, P. Electrical observation of subband formation in graphene nanoribbons. Phys. Rev. B 2008, 78, 161409. [Google Scholar] [CrossRef]
- Xia, F.; Perebeinos, V.; Lin, Y.m.; Wu, Y.; Avouris, P. The origins and limits of metal–graphene junction resistance. Nat. Nanotechnol. 2011, 6, 179–184. [Google Scholar] [CrossRef] [PubMed]
- Liang, W.; Bockrath, M.; Bozovic, D.; Hafner, J.H.; Tinkham, M.; Park, H. Fabry - Perot interference in a nanotube electron waveguide. Nature 2001, 411, 665–669. [Google Scholar] [CrossRef]
- Jiang, J.; Dong, J.; Xing, D.Y. Quantum Interference in Carbon-Nanotube Electron Resonators. Phys. Rev. Lett. 2003, 91, 056802. [Google Scholar] [CrossRef]
- Refael, G.; Heo, J.; Bockrath, M. Sagnac Interference in Carbon Nanotube Loops. Phys. Rev. Lett. 2007, 98, 246803. [Google Scholar] [CrossRef] [PubMed]
- Kim, N.Y.; Recher, P.; Oliver, W.D.; Yamamoto, Y.; Kong, J.; Dai, H. Tomonaga-Luttinger Liquid Features in Ballistic Single-Walled Carbon Nanotubes: Conductance and Shot Noise. Phys. Rev. Lett. 2007, 99, 036802. [Google Scholar] [CrossRef]
- Yang, W.; Urgell, C.; De Bonis, S.L.; Margańska, M.; Grifoni, M.; Bachtold, A. Fabry-Pérot Oscillations in Correlated Carbon Nanotubes. Phys. Rev. Lett. 2020, 125, 187701. [Google Scholar] [CrossRef]
- Lotfizadeh, N.; Senger, M.J.; McCulley, D.R.; Minot, E.D.; Deshpande, V.V. Quantum Interferences in Ultraclean Carbon Nanotubes. Phys. Rev. Lett. 2021, 126, 216802. [Google Scholar] [CrossRef] [PubMed]



Disclaimer/Publisher’s Note: The statements, opinions and data contained in all publications are solely those of the individual author(s) and contributor(s) and not of MDPI and/or the editor(s). MDPI and/or the editor(s) disclaim responsibility for any injury to people or property resulting from any ideas, methods, instructions or products referred to in the content. |
© 2023 by the authors. Licensee MDPI, Basel, Switzerland. This article is an open access article distributed under the terms and conditions of the Creative Commons Attribution (CC BY) license (https://creativecommons.org/licenses/by/4.0/).
Share and Cite
Fedorov, G.; Hafizi, R.; Semenenko, V.; Perebeinos, V. Metal Contact Induced Unconventional Field Effect in Metallic Carbon Nanotubes. Nanomaterials 2023, 13, 1774. https://doi.org/10.3390/nano13111774
Fedorov G, Hafizi R, Semenenko V, Perebeinos V. Metal Contact Induced Unconventional Field Effect in Metallic Carbon Nanotubes. Nanomaterials. 2023; 13(11):1774. https://doi.org/10.3390/nano13111774
Chicago/Turabian StyleFedorov, Georgy, Roohollah Hafizi, Vyacheslav Semenenko, and Vasili Perebeinos. 2023. "Metal Contact Induced Unconventional Field Effect in Metallic Carbon Nanotubes" Nanomaterials 13, no. 11: 1774. https://doi.org/10.3390/nano13111774
APA StyleFedorov, G., Hafizi, R., Semenenko, V., & Perebeinos, V. (2023). Metal Contact Induced Unconventional Field Effect in Metallic Carbon Nanotubes. Nanomaterials, 13(11), 1774. https://doi.org/10.3390/nano13111774

