Effects of Coulomb Blockade on the Charge Transport through the Topological States of Finite Armchair Graphene Nanoribbons and Heterostructures
Abstract
1. Introduction
2. Calculation Methods
3. Results and Discussion
3.1. Charge Transport through a Finite Armchair Graphene Nanoribbon (AGNR)
3.2. Effective Hamiltonian and Formula for Tunneling Current
3.3. Effects of Coulomb Blockade on Charge Transport through the Zigzag Edges of AGNRs
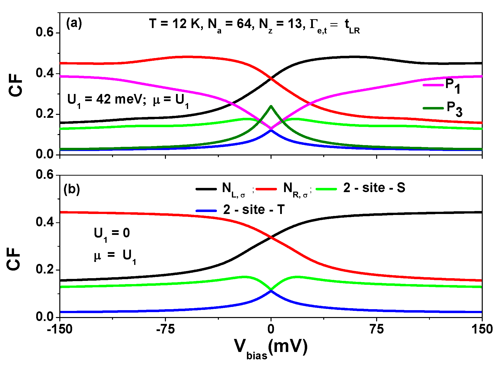
3.3.1. Linear Response Regime
3.3.2. Nonlinear Response Regime
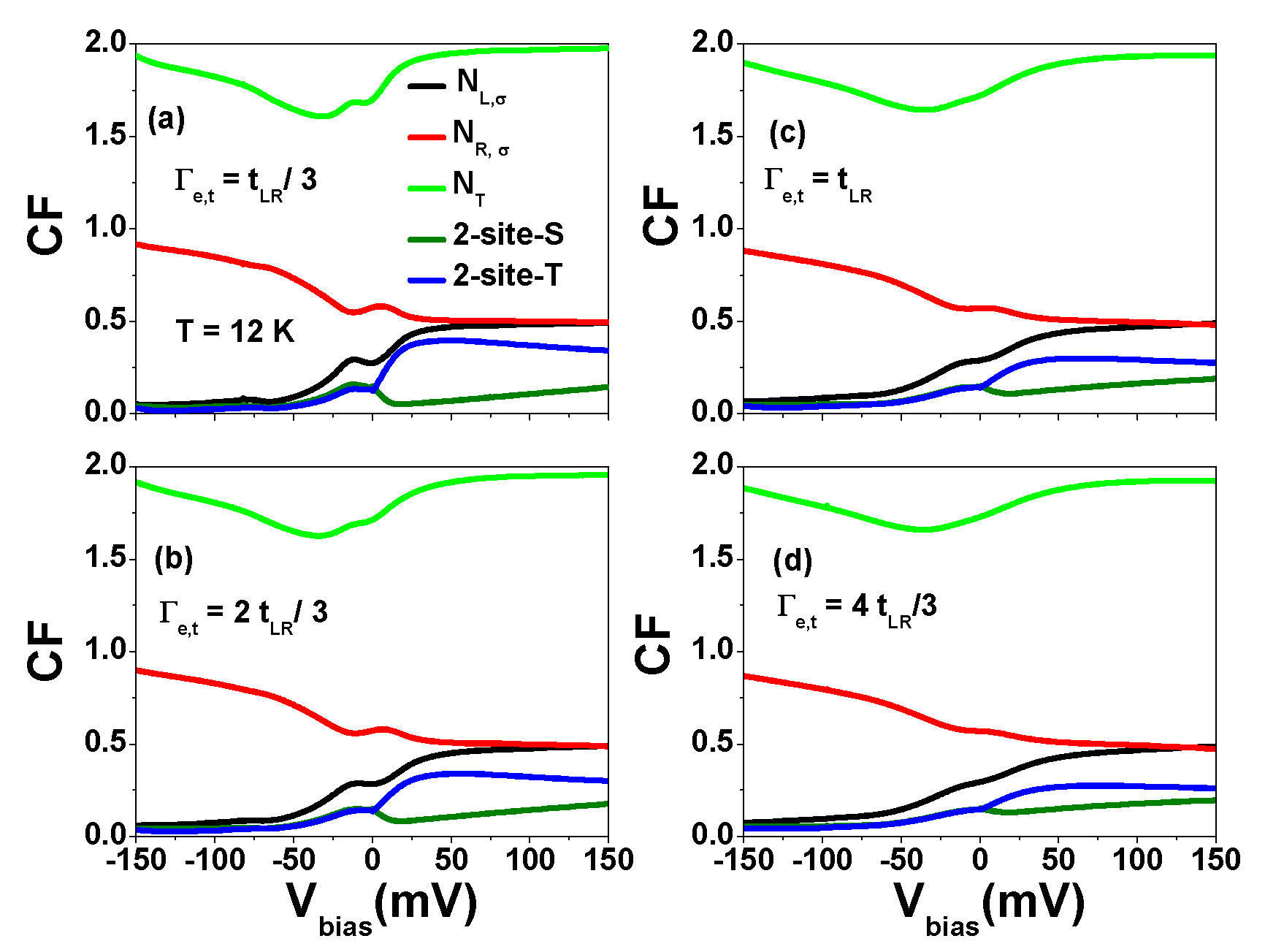
3.4. Tunneling Current through TSs of 9-7-9 AGNR Heterostructures under Pauli Spin Blockade Configuration
4. Conclusions
Funding
Data Availability Statement
Conflicts of Interest
Appendix A. 9-7-9 AGNR Heterostructures



Appendix B. Correlation Functions of the End Zigzag Edges of AGNRs


References
- Novoselov, K.S.; Geim, A.K.; Morozov, S.V.; Jiang, D.; Zhang, Y.; Dubonos, S.V.; Grigorieva, I.V.; Firsov, A.A. Electric field effect in atomically thin carbon films. Science 2004, 306, 666. [Google Scholar] [CrossRef] [PubMed]
- Geim, A.K. Graphene: Status and Prospects. Science 2009, 324, 1530. [Google Scholar] [CrossRef] [PubMed]
- Geim, A.K.; Grigorieva, I.V. Van der Waals heterostructures. Nature 2013, 499, 419. [Google Scholar] [CrossRef] [PubMed]
- Novoselov, K.S.; Mishchenko, A.; Carvalho, A.; Castro Neto, A.H.C. 2D materials and van der Waals heterostructures. Science 2016, 353, aac9439. [Google Scholar] [CrossRef]
- Shen, P.C.; Su, C.; Lin, Y.X.; Chou, A.S.; Cheng, C.C.; Park, J.H.; Chiu, M.H.; Lu, A.Y.; Tang, H.L.; Tavakoli, M.M.; et al. Ultralow contact resistance between semimetal and monolayer semiconductors. Nature 2021, 593, 212. [Google Scholar] [CrossRef]
- Iannaccone, G.; Bonaccorso, F.; Colombo, L.; Fiori, G. Quantum engineering of transistors based on 2D materials heterostructures. Nat. Nanotechnol. 2018, 13, 183. [Google Scholar] [CrossRef]
- Guo, L.J.; Leobandung, E.; Chou, S.Y. A silicon single-electron transistor memory operating at room temperature. Science 1997, 275, 649. [Google Scholar] [CrossRef]
- Michler, P.; Imamoglu, A.; Mason, M.D.; Carson, P.J.; Strouse, G.F.; Buratto, S.K. Quantum correlation among photons from a single quantum dot at room temperature. Nature 2000, 406, 968. [Google Scholar] [CrossRef] [PubMed]
- Santori, C.; Fattal, D.; Vuckovic, J.; Solomon, G.S.; Yamamoto, Y. Indistinguishable photons from a single-photon device. Nature 2002, 419, 549. [Google Scholar] [CrossRef]
- Gustavsson, S.; Studer, M.; Leturcq, R.; Ihn, T.; Ensslin, K.; Driscoll, D.C.; Gossard, A.C. Frequency-selective single-photon detection using a double quantum dot. Phys. Rev. Lett. 2007, 99, 206804. [Google Scholar] [CrossRef]
- Ono, K.; Austing, D.G.; Tokura, Y.; Tarucha, S. Current rectification by Pauli exclusion in a weakly coupled double quantum dot system. Science 2002, 297, 1313. [Google Scholar] [CrossRef] [PubMed]
- Josefsson, M.; Svilans, A.; Burke, A.M.; Hoffmann, E.A.; Fahlvik, S.; Thelander, C.; Leijnse, M.; Linke, H. A quantum-dot heat engine operating close to the thermodynamic efficiency limits. Nat. Nanotechnol. 2018, 13, 920. [Google Scholar] [CrossRef] [PubMed]
- Cai, J.; Ruffieux, P.; Jaafar, R.; Bieri, M.; Braun, T.; Blankenburg, S.; Muoth, M.; Seitsonen, A.P.; Saleh, M.; Feng, X.; et al. Atomically precise bottom-up fabrication of graphene nanoribbons. Nature 2010, 466, 470. [Google Scholar] [CrossRef] [PubMed]
- Chen, Y.C.; Cao, T.; Chen, C.; Pedramraz, Z.; Haberer, D.; de Oteyza, D.G.; Fischer, F.R.; Louie, S.G.; Crommie, M.F. Molecular bandgap engineering of bottom-up synthesized graphene nanoribbon heterojunctions. Nat. Nanotechnol. 2015, 10, 156. [Google Scholar] [CrossRef]
- Wang, S.Y.; Talirz, L.; Pignedoli, C.A.; Feng, X.L.; Mullen, K.; Fasel, R.; Ruffieux, P. Giant edge state splitting at atomically precise graphene zigzag edges. Nat. Commun. 2015, 7, 11507. [Google Scholar] [CrossRef]
- Groning, O.; Wang, S.; Yao, X.; Pignedoli, C.A.; Barin, G.B.; Daniels, C.; Cupo, A.; Meunier, V.; Feng, X.; Narita, A. Engineering of robust topological quantum phases in graphene nanoribbons. Nature 2018, 560, 209. [Google Scholar] [CrossRef]
- Rizzo, D.J.; Veber, G.; Cao, T.; Bronner, C.; Chen, T.; Zhao, F.; Rodriguez, H.; Louie, S.G.; Crommie, M.F.; Fischer, F.R. Topological band engineering of graphene nanoribbons. Nature 2018, 560, 204. [Google Scholar] [CrossRef]
- Yan, L.H.; Liljeroth, P. Engineered electronic states in atomically precise artificial lattices and graphene nanoribbons. Adv. Phys. X 2019, 4, 1651672. [Google Scholar] [CrossRef]
- Rizzo, D.J.; Veber, G.; Jiang, J.W.; McCurdy, R.; Cao, T.; Bronner, C.; Chen, T.; Louie, S.G.; Fischer, F.R.; Crommie, M.F. Inducing metallicity in graphene nanoribbons via zero-mode superlattices. Science 2020, 369, 1597. [Google Scholar] [CrossRef]
- Rizzo, D.J.; Jiang, J.W.; Joshi, D.; Veber, G.; Bronner, C.; Durr, R.A.; Jacobse, P.H.; Cao, T.; Kalayjian, A.; Rodriguez, H.; et al. Rationally designed topological quantum dots in bottom-up graphene nanoribbons. ACS Nano 2021, 15, 20633. [Google Scholar] [CrossRef]
- Sun, Q.; Yan, Y.; Yao, X.L.; Mullen, K.; Narita, A.; Fasel, R.; Ruffieux, P. Evolution of the topological energy band in graphene Nanoribbons. J. Phys. Chem. Lett. 2021, 12, 8679. [Google Scholar] [CrossRef] [PubMed]
- Son, Y.W.; Cohen, M.L.; Louie, S.G. Energy Gaps in Graphene Nanoribbons. Phys. Rev. Lett. 2006, 97, 216803. [Google Scholar] [CrossRef] [PubMed]
- Cao, T.; Zhao, F.Z.; Louie, S.G. Topological Phases in Graphene Nanoribbons: Junction States, Spin Centers, and Quantum Spin Chains. Phys. Rev. Lett. 2017, 119, 076401. [Google Scholar] [CrossRef]
- Lin, K.S.; Chou, M.Y. Topological properties of gapped graphene nanoribbons with spatial symmetries. Nano Lett. 2018, 18, 7254. [Google Scholar] [CrossRef] [PubMed]
- Jiang, J.; Louie, S.G. Topology Classification using Chiral Symmetry and Spin Correlations in Graphene Nanoribbons. Nano. Lett. 2021, 21, 197. [Google Scholar] [CrossRef]
- Zhao, F.Z.; Cao, T.; Louie, S.G. Topological Phases in Graphene Nanoribbons Tuned by Electric Fields. Phys. Rev. Lett. 2021, 127, 166401. [Google Scholar] [CrossRef]
- Pizzochero, M.; Tepliakov, N.V.; Arash, A.; Mostofi, A.A.; Kaxiras, E. Electrically Induced Dirac Fermions in Graphene Nanoribbons. Nano. Lett. 2021, 21, 9332. [Google Scholar] [CrossRef]
- Tepliakov, N.V.; Lischner, J.; Efthimios Kaxiras, E.; Mostofi, A.A.; Pizzochero, M. Unveiling and Manipulating Hidden Symmetries in Graphene Nanoribbons. Phys. Rev. Lett. 2023, 130, 026401. [Google Scholar] [CrossRef]
- Golor, M.; Koop, C.; Lang, T.C.; Wessel, S.; Schmidt, M.J. Magnetic correlations in short and narrow graphene armchair nanoribbons. Phys. Rev. Lett. 2013, 111, 085504. [Google Scholar] [CrossRef]
- Sols, F.; Guinea, F.; Castro Neto, A.H. Coulomb Blockade in Graphene Nanoribbons. Phys. Rev. Lett. 2007, 99, 166803. [Google Scholar] [CrossRef]
- Ki, D.K.; Morpurgo, A.E. Crossover from Coulomb Blockade to Quantum Hall Effect in Suspended Graphene Nanoribbons. Phys. Rev. Lett. 2012, 108, 266601. [Google Scholar] [CrossRef] [PubMed]
- Llinas, J.P.; Fairbrother, A.; Borin Barin, G.; Shi, W.; Lee, K.; Wu, S.; Choi, B.Y.; Braganza, R.; Lear, J.; Kau, N.; et al. Short-channel field-effect transistors with 9-atom and 13-atom wide graphene nanoribbons. Nat. Commun. 2017, 8, 633. [Google Scholar] [CrossRef]
- Tong, C.; Kurzmann, A.; Garreis, R.; Huang, W.W.; Jele, S.; Eich, M.; Ginzburg, L.; Mittag, C.; Watanabe, K.; Taniguchi, T.; et al. Pauli Blockade of Tunable Two-Electron Spin and Valley States in Graphene Quantum Dots. Phys. Rev. Lett. 2022, 128, 067702. [Google Scholar] [CrossRef] [PubMed]
- Son, Y.W.; Cohen, M.L.; Louie, S.G. Half-metallic graphene nanoribbons. Nature 2006, 444, 347. [Google Scholar] [CrossRef] [PubMed]
- Liang, G.C.; Neophytou, N.; Lundstrom, M.S.; Niknonov, D.E. Contact effects in graphene nanoribbon. Nano. Letts. 2008, 8, 1819. [Google Scholar] [CrossRef]
- Martins, T.B.; da Silva, A.J.R.; Miwa, R.H.; Fazzio, A. σ- and π-Defects at graphene nanoribbon edges: Building spin filters. Nano. Letts. 2008, 8, 2293. [Google Scholar] [CrossRef]
- Jacobse, P.H.; Kimouche, A.; Gebraad, T.; Ervasti, M.M.; Thijssen, J.M.; Liljeroth, P.; Swart, I. Electronic components embedded in a single graphene nanoribbon. Nat Commun. 2017, 8, 119. [Google Scholar] [CrossRef]
- Mangnus, M.J.J.; Fischer, F.R.; Crommie, M.F.; Swart, I.; Jacobse, P.H. Charge transport in topological graphene nanoribbons and nanoribbon heterostructures. Phys. Rev. B 2022, 105, 115424. [Google Scholar] [CrossRef]
- Nakada, K.; Fujita, M.; Dresselhaus, G.; Dresselhaus, M.S. Edge state in graphene ribbons: Nanometer size effect and edge shape dependence. Phys. Rev. B 1996, 54, 17954. [Google Scholar] [CrossRef]
- Wakabayashi, K.; Fujita, M.; Ajiki, H.; Sigrist, M. Electronic and magnetic properties of nanographite ribbons. Phys. Rev. B 1999, 59, 8271. [Google Scholar] [CrossRef]
- Wakabayashi, K.; Sasaki, K.; Nakanishi, T.; Enoki, T. Electronic states of graphene nanoribbons and analytical solutions. Sci. Technol. Adv. Mater. 2010, 11, 054504. [Google Scholar] [CrossRef] [PubMed]
- Haug, H.; Jauho, A.P. Quantum Kinetics in Transport and Optics of Semiconductors; Springer: Berlin/Heidelberg, Germay, 1996. [Google Scholar]
- Kuo, D.M.T. Effects of zigzag edge states on the thermoelectric properties of finite graphene nanoribbons. Jpn. J. Appl. Phys. 2022, 61, 075001. [Google Scholar] [CrossRef]
- Kuo, D.M.T.; Chang, Y.C. Contact Effects on Thermoelectric Properties of Textured Graphene Nanoribbons. Nanomaterials 2022, 12, 3357. [Google Scholar] [CrossRef] [PubMed]
- Kuo, D.M.T. Effects of metallic electrodes on the thermoelectric properties of zigzag graphene nanoribbons with periodic vacancies. J. Phys. Condens. Matter. 2023, 35, 305301. [Google Scholar] [CrossRef]
- Mahan, G.D.; Sofo, J.O. The best thermoelectric. Proc. Natl. Acad. Sci. USA 1996, 93, 7436. [Google Scholar] [CrossRef]
- Kuo, D.M.T.; Chang, Y.C. Thermoelectric and thermal rectification properties of quantum dot junctions. Phys. Rev. B 2010, 81, 205321. [Google Scholar] [CrossRef]
- Xu, Y.; Gan, Z.; Zhang, S.C. Enhanced thermoelectric performance and anomalous Seebeck effects in topological insulators. Phys. Rev. Lett. 2014, 112, 226801. [Google Scholar] [CrossRef]
- Kuo, D.M.T.; Shiau, S.Y.; Chang, Y.C. Theory of spin blockade, charge ratchet effect, and thermoelectrical behavior in serially coupled quantum dot system. Phys. Rev. B 2011, 84, 245303. [Google Scholar] [CrossRef]
- Kuo, D.M.T.; Chen, C.C.; Chang, Y.C. Large enhancement in thermoelectric efficiency of quantum dot junctions due to increase of level degeneracy. Phys. Rev. B 2017, 95, 075432. [Google Scholar] [CrossRef]
- Joost, J.P.; Jauho, A.P.; Bonitz, M. Correlated Topological States in Graphene Nanoribbon Heterostructures. Nano Lett. 2019, 19, 9045. [Google Scholar] [CrossRef]
- Lopez-Sancho, M.P.; Munoz, M.C. Topologically proected edge and confined states in finite armchair graphene nanoribbon and their junctions. Phys. Rev. B 2021, 104, 245402. [Google Scholar] [CrossRef]
- Matsuda, Y.; Deng, W.Q.; Goddard, W.A., III. Contact Resistance for “End-Contacted” Metal-Graphene and Metal-Nanotube Interfaces from Quantum Mechanics. J. Phys. Chem. C 2010, 114, 17845. [Google Scholar] [CrossRef]
- Su, W.P.; Schrieffer, J.R.; Heeger, A.J. Soliton excitations in polyacetylene. Phy. Rev. B 1980, 22, 2099. [Google Scholar] [CrossRef]
- Pedersen, J.N.; Lassen, B.; Wacker, A.; Hettler, M.H. Coherent transport through an interacting double quantum dot: Beyond sequential tunneling. Phys. Rev. B 2007, 75, 235314. [Google Scholar] [CrossRef]














Disclaimer/Publisher’s Note: The statements, opinions and data contained in all publications are solely those of the individual author(s) and contributor(s) and not of MDPI and/or the editor(s). MDPI and/or the editor(s) disclaim responsibility for any injury to people or property resulting from any ideas, methods, instructions or products referred to in the content. |
© 2023 by the author. Licensee MDPI, Basel, Switzerland. This article is an open access article distributed under the terms and conditions of the Creative Commons Attribution (CC BY) license (https://creativecommons.org/licenses/by/4.0/).
Share and Cite
Kuo, D.M.T. Effects of Coulomb Blockade on the Charge Transport through the Topological States of Finite Armchair Graphene Nanoribbons and Heterostructures. Nanomaterials 2023, 13, 1757. https://doi.org/10.3390/nano13111757
Kuo DMT. Effects of Coulomb Blockade on the Charge Transport through the Topological States of Finite Armchair Graphene Nanoribbons and Heterostructures. Nanomaterials. 2023; 13(11):1757. https://doi.org/10.3390/nano13111757
Chicago/Turabian StyleKuo, David M. T. 2023. "Effects of Coulomb Blockade on the Charge Transport through the Topological States of Finite Armchair Graphene Nanoribbons and Heterostructures" Nanomaterials 13, no. 11: 1757. https://doi.org/10.3390/nano13111757
APA StyleKuo, D. M. T. (2023). Effects of Coulomb Blockade on the Charge Transport through the Topological States of Finite Armchair Graphene Nanoribbons and Heterostructures. Nanomaterials, 13(11), 1757. https://doi.org/10.3390/nano13111757

