Recent Advances in Nanomaterial-Based Chemiluminescence Probes for Biosensing and Imaging of Reactive Oxygen Species
Abstract
1. Introduction
2. The Role of Nanomaterials in the CL System
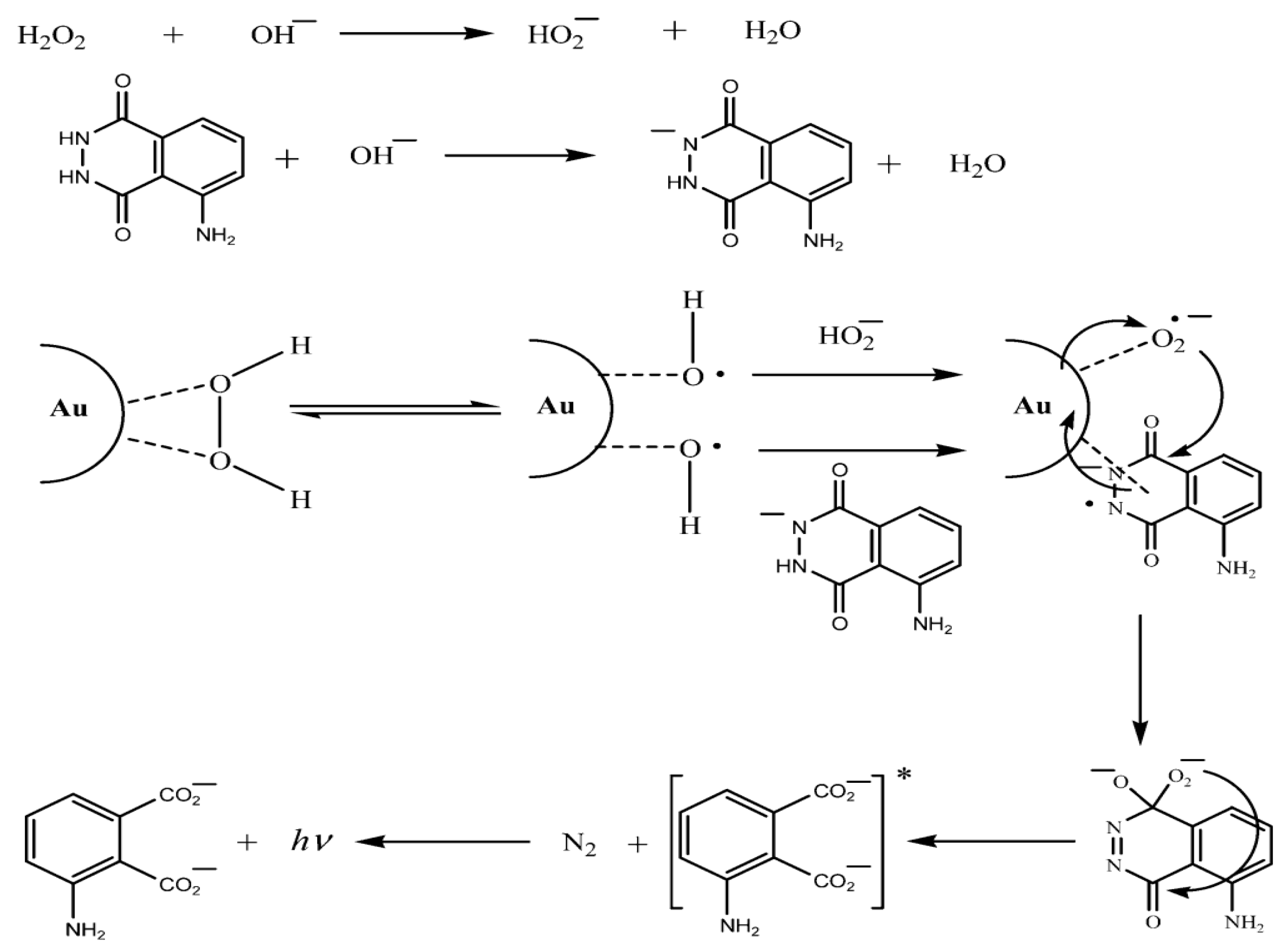
2.1. As Sensitizers and Catalysts
2.2. As Emitters or Energy Acceptor
2.3. As Carriers of CL Reagents
3. Nanomaterial-Based CL Probes for Biosensing and Bioimaging of ROS
3.1. H2O2
3.2. •OH
3.3. O2•−
3.4. O2
3.5. ONOO−
3.6. HClO/ClO−
4. Conclusions
Author Contributions
Funding
Data Availability Statement
Conflicts of Interest
References
- Liou, G.Y.; Storz, P. Reactive oxygen species in cancer. Free Radic. Res. 2010, 44, 479–496. [Google Scholar] [CrossRef] [PubMed]
- Kwon, N.; Kim, D.; Swamy, K.M.K.; Yoon, J. Metal-coordinated fluorescent and luminescent probes for reactive oxygen species (ROS) and reactive nitrogen species (RNS). Coord. Chem. Rev. 2021, 427, 213581. [Google Scholar] [CrossRef]
- Valko, M.; Leibfritz, D.; Moncol, J.; Cronin, M.T.; Mazur, M.; Telser, J. Free radicals and antioxidants in normal physiological functions and human disease. Int. J. Biochem. Cell Biol. 2007, 39, 44–84. [Google Scholar] [CrossRef] [PubMed]
- Nordberg, J.; Arner, E.S. Reactive oxygen species, antioxidants, and the mammalian thioredoxin system. Free Radic. Biol. Med. 2001, 31, 1287–1312. [Google Scholar] [CrossRef]
- Pacher, P.; Beckman, J.S.; Liaudet, L. Nitric oxide and peroxynitrite in health and disease. Physiol. Rev. 2007, 87, 315–424. [Google Scholar] [CrossRef]
- Stone, J.R.; Yang, S. Hydrogen peroxide: A signaling messenger. Antioxid. Redox Signal. 2006, 8, 243–270. [Google Scholar] [CrossRef]
- Winterbourn, C.C.; Hampton, M.B. Thiol chemistry and specificity in redox signaling. Free Radic. Biol. Med. 2008, 45, 549–561. [Google Scholar] [CrossRef]
- Valko, M.; Rhodes, C.J.; Moncol, J.; Izakovic, M.; Mazur, M. Free radicals, metals and antioxidants in oxidative stress-induced cancer. Chem.-Biol. Interact. 2006, 160, 1–40. [Google Scholar] [CrossRef]
- Rharass, T.; Vigo, J.; Salmon, J.M.; Ribou, A.C. Variation of 1-pyrenebutyric acid fluorescence lifetime in single living cells treated with molecules increasing or decreasing reactive oxygen species levels. Anal. Biochem. 2006, 357, 1–8. [Google Scholar] [CrossRef]
- D’Errico, G.; Vitiello, G.; De Tommaso, G.; Abdel-Gawad, F.K.; Brundo, M.V.; Ferrante, M.; De Maio, A.; Trocchia, S.; Bianchi, A.R.; Ciarcia, G.; et al. Electron spin resonance (ESR) for the study of reactive oxygen species (ROS) on the isolated frog skin (pelophylax bergeri): A non-invasive method for environmental monitoring. Environ. Res. 2018, 165, 11–18. [Google Scholar] [CrossRef]
- Nosaka, Y.; Nosaka, A.Y. Generation and detection of reactive oxygen species in photocatalysis. Chem. Rev. 2017, 117, 11302–11336. [Google Scholar] [CrossRef] [PubMed]
- Chen, X.; Wang, F.; Hyun, J.Y.; Wei, T.; Qiang, J.; Ren, X.; Shin, I.; Yoon, J. Recent progress in the development of fluorescent, luminescent and colorimetric probes for detection of reactive oxygen and nitrogen species. Chem. Soc. Rev. 2016, 45, 2976–3016. [Google Scholar] [CrossRef] [PubMed]
- Herman, J.; Zhang, Y.; Castranova, V.; Neal, S.L. Emerging technologies for optical spectral detection of reactive oxygen species. Anal. Bioanal. Chem. 2018, 410, 6079–6095. [Google Scholar] [CrossRef] [PubMed]
- Yu, W.; Zhao, L. Chemiluminescence detection of reactive oxygen species generation and potential environmental applications. TrAC Trends Anal. Chem. 2021, 136, 116197. [Google Scholar] [CrossRef]
- Arakawa, H.; Tsuruoka, K.; Ohno, K.; Tajima, N.; Nagano, H. Development of a highly sensitive chemiluminescent assay for hydrogen peroxide under neutral conditions using acridinium ester and its application to an enzyme immunoassay. Luminescence 2014, 29, 374–377. [Google Scholar] [CrossRef]
- Hananya, N.; Shabat, D. A glowing trajectory between bio- and chemiluminescence: From luciferin-based probes to triggerable dioxetanes. Angew. Chem. Int. Ed. 2017, 56, 16454–16463. [Google Scholar] [CrossRef]
- Espinoza, E.M.; Roise, J.J.; Li, I.C.; Das, R.; Murthy, N. Advances in imaging reactive oxygen species. J. Nucl. Med. 2021, 62, 457–461. [Google Scholar] [CrossRef]
- Green, O.; Gnaim, S.; Blau, R.; Eldar-Boock, A.; Satchi-Fainaro, R.; Shabat, D. Near-infrared dioxetane luminophores with direct chemiluminescence emission mode. J. Am. Chem. Soc. 2017, 139, 13243–13248. [Google Scholar] [CrossRef]
- Li, Y.-X.; Qin, H.-Y.; Hu, C.; Sun, M.-M.; Li, P.-Y.; Liu, H.; Li, J.-C.; Li, Z.-B.; Wu, L.-D.; Zhu, J. Research progress of nanomaterials-based sensors for food safety. J. Anal. Test. 2022, 6, 431–440. [Google Scholar] [CrossRef]
- Zhou, W.; Dong, S.; Lin, Y.; Lu, C. Insights into the role of nanostructure in the sensing properties of carbon nanodots for improved sensitivity to reactive oxygen species in living cells. Chem. Commun. 2017, 53, 2122–2125. [Google Scholar] [CrossRef]
- Nirala, N.R.; Pinker, N.; Desitti, C.; Shtenberg, G. Milk haptoglobin detection based on enhanced chemiluminescence of gold nanoparticles. Talanta 2019, 197, 257–263. [Google Scholar] [CrossRef] [PubMed]
- Iranifam, M.; Khodaei, S.; Saadati, M. Chemiluminescence reaction of graphene oxide–luminol–dissolved oxygen and its application for determination of isoniazid and paracetamol. Microchem. J. 2019, 146, 850–855. [Google Scholar] [CrossRef]
- Yousefzadeh, A.; Hassanzadeh, J.; Mousavi, S.M.J.; Yousefzadeh, M. Surface molecular imprinting and powerfully enhanced chemiluminescence emission by Cu nanoclusters/MOF composite for detection of tramadol. Sens. Actuators B Chem. 2019, 286, 154–162. [Google Scholar] [CrossRef]
- Gao, B.; Haghighatbin, M.A.; Cui, H. Polymer-encapsulated cobalt/gold bimetallic nanoclusters as stimuli-responsive chemiluminescent nanoprobes for reactive oxygen species. Anal. Chem. 2020, 92, 10677–10685. [Google Scholar] [CrossRef] [PubMed]
- Zhou, W.; Cao, Y.; Sui, D.; Lu, C. Radical pair-driven luminescence of quantum dots for specific detection of peroxynitrite in living cells. Anal. Chem. 2016, 88, 2659–2665. [Google Scholar] [CrossRef]
- Zhou, W.; Cao, Y.; Sui, D.; Lu, C. Turn-on luminescent probes for the real-time monitoring of endogenous hydroxyl radicals in living cells. Angew. Chem. Int. Ed. 2016, 55, 4236–4241. [Google Scholar] [CrossRef]
- Shen, C.-L.; Lou, Q.; Lv, C.-F.; Zheng, G.-S.; Zang, J.-H.; Jiang, T.-C.; Cheng, Z.; Liu, K.-K.; Niu, C.-Y.; Dong, L.; et al. Trigonal nitrogen activates high-brightness chemiluminescent carbon nanodots. ACS Mater. Lett. 2021, 3, 826–837. [Google Scholar] [CrossRef]
- Wang, Z.; Teng, X.; Lu, C. Orderly arranged fluorescence dyes as a highly efficient chemiluminescence resonance energy transfer probe for peroxynitrite. Anal. Chem. 2015, 87, 3412–3418. [Google Scholar] [CrossRef]
- Hassanzadeh, J.; Al Lawati, H.A.J.; Al Lawati, I. Metal-organic framework loaded by rhodamine B as a novel chemiluminescence system for the paper-based analytical devices and its application for total phenolic content determination in food samples. Anal. Chem. 2019, 91, 10631–10639. [Google Scholar] [CrossRef]
- Yadav, M.; Singh, G.; Lata, S. Revisiting some recently developed conducting polymer@metal oxide nanostructures for electrochemical sensing of vital biomolecules: A review. J. Anal. Test. 2022, 6, 274–295. [Google Scholar] [CrossRef]
- Zhong, J.; Yuan, Z.; Lu, C. Layered-nanomaterial-amplified chemiluminescence systems and their analytical applications. Anal. Bioanal. Chem. 2016, 408, 8731–8746. [Google Scholar] [CrossRef] [PubMed]
- Teradal, N.L.; Jelinek, R. Carbon nanomaterials in biological studies and biomedicine. Adv. Healthc. Mater. 2017, 6, 1700574. [Google Scholar] [CrossRef] [PubMed]
- Chen, J.; Qiu, H.; Zhao, S. Fabrication of chemiluminescence resonance energy transfer platform based on nanomaterial and its application in optical sensing, biological imaging and photodynamic therapy. TrAC Trends Anal. Chem. 2020, 122, 115747. [Google Scholar] [CrossRef]
- Su, Y.; Deng, D.; Zhang, L.; Song, H.; Lv, Y. Strategies in liquid-phase chemiluminescence and their applications in bioassay. TrAC Trends Anal. Chem. 2016, 82, 394–411. [Google Scholar] [CrossRef]
- Sheng, Y.; Yang, H.; Wang, Y.; Han, L.; Zhao, Y.; Fan, A. Silver nanoclusters-catalyzed luminol chemiluminescence for hydrogen peroxide and uric acid detection. Talanta 2017, 166, 268–274. [Google Scholar] [CrossRef]
- Mao, X.; Lu, Y.; Zhang, X.; Huang, Y. Beta-cyclodextrin functionalization of metal-organic framework MOF-235 with excellent chemiluminescence activity for sensitive glucose biosensing. Talanta 2018, 188, 161–167. [Google Scholar] [CrossRef]
- Tang, X.Q.; Zhang, Y.D.; Jiang, Z.W.; Wang, D.M.; Huang, C.Z.; Li, Y.F. Fe3O4 and metal-organic framework MIL-101(Fe) composites catalyze luminol chemiluminescence for sensitively sensing hydrogen peroxide and glucose. Talanta 2018, 179, 43–50. [Google Scholar] [CrossRef]
- Wang, D.M.; Zhang, Y.; Zheng, L.L.; Yang, X.X.; Wang, Y.; Huang, C.Z. Singlet oxygen involved luminol chemiluminescence catalyzed by graphene oxide. J. Phys. Chem. C 2012, 116, 21622–21628. [Google Scholar] [CrossRef]
- Bagheri, N.; Khataee, A.; Hassanzadeh, J.; Samaei, L. Highly sensitive chemiluminescence sensing system for organophosphates using mimic LDH supported ZIF-8 nanocomposite. Sens. Actuators B Chem. 2019, 284, 220–227. [Google Scholar] [CrossRef]
- Teng, Y.; Li, M.; Huang, X.; Ren, J. Singlet oxygen generation in ferriporphyrin-polymer dots catalyzed chemiluminescence system for cancer therapy. ACS Appl. Bio Mater. 2020, 3, 5020–5029. [Google Scholar] [CrossRef]
- Zhang, Z.-F.; Cui, H.; Lai, C.-Z.; Liu, L.-J. Gold nanoparticle-catalyzed luminol chemiluminescence and its analytical applications. Anal. Chem. 2005, 77, 3324–3329. [Google Scholar] [CrossRef] [PubMed]
- Chen, W.; Hong, L.; Liu, A.-L.; Liu, J.-Q.; Lin, X.-H.; Xia, X.-H. Enhanced chemiluminescence of the luminol-hydrogen peroxide system by colloidal cupric oxide nanoparticles as peroxidase mimic. Talanta 2012, 99, 643–648. [Google Scholar] [CrossRef] [PubMed]
- Li, Q.; Zhang, L.; Li, J.; Lu, C. Nanomaterial-amplified chemiluminescence systems and their applications in bioassays. TrAC Trends Anal. Chem. 2011, 30, 401–413. [Google Scholar] [CrossRef]
- Iranifam, M. Chemiluminescence reactions enhanced by silver nanoparticles and silver alloy nanoparticles: Applications in analytical chemistry. TrAC Trends Anal. Chem. 2016, 82, 126–142. [Google Scholar] [CrossRef]
- Xu, S.; Chen, F.; Deng, M.; Sui, Y. Luminol chemiluminescence enhanced by copper nanoclusters and its analytical application. RSC Adv. 2014, 4, 15664–15670. [Google Scholar] [CrossRef]
- Luo, J.; Liu, R.; Zhao, S.; Gao, Y. Bimetallic Fe-Co nanoalloy confined in porous carbon skeleton with enhanced peroxidase mimetic activity for multiple biomarkers monitoring. J. Anal. Test. 2023, 7, 53–68. [Google Scholar] [CrossRef]
- Mokhtarzadeh, E.; Abolhasani, J.; Hassanzadeh, J. Rhodamine B chemiluminescence improved by mimetic AuCu alloy nanoclusters and ultrasensitive measurement of H2O2, glucose and xanthine. Anal. Sci. 2019, 35, 543–550. [Google Scholar] [CrossRef]
- Lu, Y.; Zhang, X.; Mao, X.; Huang, Y. Engineering FeCo alloy@N-doped carbon layers by directly pyrolyzing prussian blue analogue: New peroxidase mimetic for chemiluminescence glucose biosensing. J. Mater. Chem. B 2019, 7, 4661–4668. [Google Scholar] [CrossRef]
- Li, X.; Zhang, Z.; Tao, L.; Gao, M. Sensitive and selective chemiluminescence assay for hydrogen peroxide in exhaled breath condensate using nanoparticle-based catalysis. Spectrochim. Acta Part A 2013, 107, 311–316. [Google Scholar] [CrossRef]
- Jiao, L.; Wang, Y.; Jiang, H.-L.; Xu, Q. Metal-organic frameworks as platforms for catalytic applications. Adv. Mater. 2018, 30, 1703663. [Google Scholar] [CrossRef]
- Zhu, Q.; Chen, Y.; Wang, W.; Zhang, H.; Ren, C.; Chen, H.; Chen, X. A sensitive biosensor for dopamine determination based on the unique catalytic chemiluminescence of metal–organic framework HKUST-1. Sens. Actuators B Chem. 2015, 210, 500–507. [Google Scholar] [CrossRef]
- Yang, C.P.; He, L.; Huang, C.Z.; Li, Y.F.; Zhen, S.J. Continuous singlet oxygen generation for persistent chemiluminescence in Cu-MOFs-based catalytic system. Talanta 2021, 221, 121498. [Google Scholar] [CrossRef] [PubMed]
- Liu, X.; Han, Z.; Li, F.; Gao, L.; Liang, G.; Cui, H. Highly chemiluminescent graphene oxide hybrids bifunctionalized by N-(aminobutyl)-N-(ethylisoluminol)/horseradish peroxidase and sensitive sensing of hydrogen peroxide. ACS Appl. Mater. Interfaces 2015, 7, 18283–18291. [Google Scholar] [CrossRef] [PubMed]
- Pan, F.; Zhang, Y.; Yuan, Z.; Lu, C. Determination of alizarin red s based on layered double hydroxides-improved chemiluminescence from hydrogen peroxide and luminol. Anal. Methods 2017, 9, 6468–6473. [Google Scholar] [CrossRef]
- Cheng, W.; Teng, X.; Lu, C. Structurally ordered catalyst-amplified chemiluminescence signals. Anal. Chem. 2020, 92, 5456–5463. [Google Scholar] [CrossRef]
- Li, M.; Huang, X.; Ren, J. Multicolor chemiluminescent resonance energy-transfer system for in vivo high-contrast and targeted imaging. Anal. Chem. 2021, 93, 3042–3051. [Google Scholar] [CrossRef]
- Zhou, M.; Deng, L.; Teng, Y.; Li, M.; Huang, X.; Ren, J. Polystyrene–hemin dots for chemiluminescence imaging. ACS Appl. Nano Mater. 2019, 2, 3761–3768. [Google Scholar] [CrossRef]
- Poznyak, S.K.; Talapin, D.V.; Shevchenko, E.V.; Weller, H. Quantum dot chemiluminescence. Nano Lett. 2004, 4, 693–698. [Google Scholar] [CrossRef]
- Chen, H.; Lin, L.; Lin, Z.; Guo, G.; Lin, J.-M. Chemiluminescence arising from the decomposition of peroxymonocarbonate and enhanced by CdTe quantum dots. J. Phys. Chem. A 2010, 114, 10049–10058. [Google Scholar] [CrossRef]
- Lin, Z.; Xue, W.; Chen, H.; Lin, J.-M. Peroxynitrous-acid-induced chemiluminescence of fluorescent carbon dots for nitrite sensing. Anal. Chem. 2011, 83, 8245–8251. [Google Scholar] [CrossRef]
- Dong, S.; Zhong, J.; Lu, C. Introducing confinement effects into ultraweak chemiluminescence for an improved sensitivity. Anal. Chem. 2014, 86, 7947–7953. [Google Scholar] [CrossRef] [PubMed]
- Dong, S.; Liu, F.; Lu, C. Organo-modified hydrotalcite-quantum dot nanocomposites as a novel chemiluminescence resonance energy transfer probe. Anal. Chem. 2013, 85, 3363–3368. [Google Scholar] [CrossRef]
- Huang, X.; Li, L.; Qian, H.; Dong, C.; Ren, J. A resonance energy transfer between chemiluminescent donors and luminescent quantum-dots as acceptors (CRET). Angew. Chem. Int. Ed. 2006, 45, 5140–5143. [Google Scholar] [CrossRef] [PubMed]
- Xu, S.; Li, J.; Li, X.; Su, M.; Shi, Z.; Zeng, Y.; Ni, S. A chemiluminescence resonance energy transfer system composed of cobalt(Ⅱ), luminol, hydrogen peroxide and CdTe quantum dots for highly sensitive determination of hydroquinone. Microchim. Acta 2015, 183, 667–673. [Google Scholar] [CrossRef]
- Lin, Y.; Dai, Y.; Sun, Y.; Ding, C.; Sun, W.; Zhu, X.; Liu, H.; Luo, C. A turn-on chemiluminescence biosensor for selective and sensitive detection of adenosine based on HKUST-1 and QDs-luminol-aptamer conjugates. Talanta 2018, 182, 116–124. [Google Scholar] [CrossRef]
- Liu, H.; Su, Y.; Deng, D.; Song, H.; Lv, Y. Chemiluminescence of oleic acid capped black phosphorus quantum dots for highly selective detection of sulfite in PM2.5. Anal. Chem. 2019, 91, 9174–9180. [Google Scholar] [CrossRef]
- Liu, H.; Sun, M.; Su, Y.; Deng, D.; Hu, J.; Lv, Y. Chemiluminescence of black phosphorus quantum dots induced by hypochlorite and peroxide. Chem. Commun. 2018, 54, 7987–7990. [Google Scholar] [CrossRef]
- Du, J.; Wang, Y.; Zhang, W. Gold nanoparticles-based chemiluminescence resonance energy transfer for ultrasensitive detection of melamine. Spectrochim. Acta Part A 2015, 149, 698–702. [Google Scholar] [CrossRef]
- You, X.; Li, Y.; Li, B.; Ma, J. Gold nanoclusters-based chemiluminescence resonance energy transfer method for sensitive and label-free detection of trypsin. Talanta 2016, 147, 63–68. [Google Scholar] [CrossRef]
- Lu, C.; Zhang, C.; Wang, P.; Zhao, Y.; Yang, Y.; Wang, Y.; Yuan, H.; Qu, S.; Zhang, X.; Song, G.; et al. Light-free generation of singlet oxygen through manganese-thiophene nanosystems for pH-responsive chemiluminescence imaging and tumor therapy. Chem 2020, 6, 2314–2334. [Google Scholar] [CrossRef]
- Li, Z.; Deng, X.; Wu, S.; Dong, S.; Zou, G. Hydrazine hydrate and dissolved oxygen-triggered near-infrared chemiluminescence from CuInS2@ZnS nanocrystals for bioassays. Anal. Chem. 2021, 93, 8931–8936. [Google Scholar] [CrossRef] [PubMed]
- Yu, H.; Long, D. Highly chemiluminescent metal-organic framework of type MIL-101(Cr) for detection of hydrogen peroxide and pyrophosphate ions. Microchim. Acta 2016, 183, 3151–3157. [Google Scholar] [CrossRef]
- Cao, Y.; Sui, D.; Zhou, W.; Lu, C. Highly selective chemiluminescence detection of hydroxyl radical via increased π-electron densities of rhodamine B on montmorillonite matrix. Sens. Actuators B Chem. 2016, 225, 600–606. [Google Scholar] [CrossRef]
- Luo, M.; Wang, W.; Zhao, Q.; Li, M.; Chen, Y.; Lu, Z.; Liu, K.; Wang, D. Chemiluminescence biosensor for hydrogen peroxide determination by immobilizing horseradish peroxidase onto PVA-co-PE nanofiber membrane. Eur. Polym. J. 2017, 91, 307–314. [Google Scholar] [CrossRef]
- Singh, A.; Seo, Y.H.; Lim, C.K.; Koh, J.; Jang, W.D.; Kwon, I.C.; Kim, S. Biolighted nanotorch capable of systemic self-delivery and diagnostic imaging. ACS Nano 2015, 9, 9906–9911. [Google Scholar] [CrossRef] [PubMed]
- Xie, M.; Zhang, Z.; Guan, W.; Zhou, W.; Lu, C. Micelle-mediated chemiluminescence as an indicator for micellar transitions. Anal. Chem. 2019, 91, 2652–2658. [Google Scholar] [CrossRef]
- Zhou, K.; Zhang, F.; Xu, J.; He, H.; Wei, W.; Xia, Z. Core-shell poly (ionic liquid)@mesoporous silica chemiluminescent nanoprobes for sensitive intracellular hydrogen peroxide imaging. Part. Part. Syst. Charact. 2018, 35, 1700329. [Google Scholar] [CrossRef]
- Li, Y.; Zhu, B.; Han, W.; Tang, W.; Duan, X. A bright chemiluminescence conjugated polymer-mesoporous silica nanoprobe for imaging of colonic tumors in vivo. Analyst 2022, 147, 2060–2067. [Google Scholar] [CrossRef]
- Zhen, X.; Zhang, C.; Xie, C.; Miao, Q.; Lim, K.L.; Pu, K. Intraparticle energy level alignment of semiconducting polymer nanoparticles to amplify chemiluminescence for ultrasensitive in vivo imaging of reactive oxygen species. ACS Nano 2016, 10, 6400–6409. [Google Scholar] [CrossRef]
- Zhang, W.; Hao, L.; Huang, J.; Xia, L.; Cui, M.; Zhang, X.; Gu, Y.; Wang, P. Chemiluminescence chitosan hydrogels based on the luminol analog L-012 for highly sensitive detection of ROS. Talanta 2019, 201, 455–459. [Google Scholar] [CrossRef]
- Pu, K.; Shuhendler, A.J.; Rao, J. Semiconducting polymer nanoprobe for in vivo imaging of reactive oxygen and nitrogen species. Angew. Chem. Int. Ed. 2013, 52, 10325–10329. [Google Scholar] [CrossRef] [PubMed]
- Seo, Y.H.; Singh, A.; Cho, H.-J.; Kim, Y.; Heo, J.; Lim, C.-K.; Park, S.Y.; Jang, W.-D.; Kim, S. Rational design for enhancing inflammation-responsive in vivo chemiluminescence via nanophotonic energy relay to near-infrared AIE-active conjugated polymer. Biomaterials 2016, 84, 111–118. [Google Scholar] [CrossRef] [PubMed]
- Shen, C.-L.; Lou, Q.; Zang, J.-H.; Liu, K.-K.; Qu, S.-N.; Dong, L.; Shan, C.-X. Near-infrared chemiluminescent carbon nanodots and their application in reactive oxygen species bioimaging. Adv. Sci. 2020, 7, 1903525. [Google Scholar] [CrossRef] [PubMed]
- Mao, D.; Wu, W.; Ji, S.; Chen, C.; Hu, F.; Kong, D.; Ding, D.; Liu, B. Chemiluminescence-guided cancer therapy using a chemiexcited photosensitizer. Chem 2017, 3, 991–1007. [Google Scholar] [CrossRef]
- Chen, L.; Chen, Y.; Zhou, W.; Li, J.; Zhang, Y.; Liu, Y. Mitochondrion-targeting chemiluminescent ternary supramolecular assembly for in situ photodynamic therapy. Chem. Commun. 2020, 56, 8857–8860. [Google Scholar] [CrossRef] [PubMed]
- An, H.; Guo, C.; Li, D.; Liu, R.; Xu, X.; Guo, J.; Ding, J.; Li, J.; Chen, W.; Zhang, J. Hydrogen peroxide-activatable nanoparticles for luminescence imaging and in situ triggerable photodynamic therapy of cancer. ACS Appl. Mater. Interfaces 2020, 12, 17230–17243. [Google Scholar] [CrossRef]
- Ganea, G.M.; Kolic, P.E.; El-Zahab, B.; Warner, I.M. Ratiometric coumarin-neutral red (CONER) nanoprobe for detection of hydroxyl radicals. Anal. Chem. 2011, 83, 2576–2581. [Google Scholar] [CrossRef]
- Li, P.; Liu, L.; Xiao, H.; Zhang, W.; Wang, L.; Tang, B. A new polymer nanoprobe based on chemiluminescence resonance energy transfer for ultrasensitive imaging of intrinsic superoxide anion in mice. J. Am. Chem. Soc. 2016, 138, 2893–2896. [Google Scholar] [CrossRef]
- Cui, D.; Li, J.; Zhao, X.; Pu, K.; Zhang, R. Semiconducting polymer nanoreporters for near-infrared chemiluminescence imaging of immunoactivation. Adv. Mater. 2020, 32, 1906314. [Google Scholar] [CrossRef]
- Dickinson, B.C.; Chang, C.J. Chemistry and biology of reactive oxygen species in signaling or stress responses. Nat. Chem. Biol. 2011, 7, 504–511. [Google Scholar] [CrossRef]
- Schweitzer, C.; Schmidt, R. Physical mechanisms of generation and deactivation of singlet oxygen. Chem. Rev. 2003, 103, 1685–1757. [Google Scholar] [CrossRef]
- Klotz, L.O.; Briviba, K.; Sies, H. Mitogen-activated protein kinase activation by singlet oxygen and ultraviolet a. Methods Enzymol. 2000, 319, 130–143. [Google Scholar]
- Lucky, S.S.; Soo, K.C.; Zhang, Y. Nanoparticles in photodynamic therapy. Chem. Rev. 2015, 115, 1990–2042. [Google Scholar] [CrossRef] [PubMed]
- Ni, X.; Zhang, X.; Duan, X.; Zheng, H.-L.; Xue, X.-S.; Ding, D. Near-infrared afterglow luminescent aggregation-induced emission dots with ultrahigh tumor-to-liver signal ratio for promoted image-guided cancer surgery. Nano Lett. 2019, 19, 318–330. [Google Scholar] [CrossRef] [PubMed]
- Pedersen, S.K.; Holmehave, J.; Blaikie, F.H.; Gollmer, A.; Breitenbach, T.; Jensen, H.H.; Ogilby, P.R. Aarhus sensor green: A fluorescent probe for singlet oxygen. J. Org. Chem. 2014, 79, 3079–3087. [Google Scholar] [CrossRef] [PubMed]
- Zhao, Z.; Chen, C.; Wu, W.; Wang, F.; Du, L.; Zhang, X.; Xiong, Y.; He, X.; Cai, Y.; Kwok, R.T.K.; et al. Highly efficient photothermal nanoagent achieved by harvesting energy via excited-state intramolecular motion within nanoparticles. Nat. Commun. 2019, 10, 768. [Google Scholar] [CrossRef]
- Zhu, H.; Fang, Y.; Miao, Q.; Qi, X.; Ding, D.; Chen, P.; Pu, K. Regulating near-infrared photodynamic properties of semiconducting polymer nanotheranostics for optimized cancer therapy. ACS Nano 2017, 11, 8998–9009. [Google Scholar] [CrossRef] [PubMed]
- Zhang, S.; Cui, H.; Gu, M.; Zhao, N.; Cheng, M.; Lv, J. Real-time mapping of ultratrace singlet oxygen in rat during acute and chronic inflammations via a chemiluminescent nanosensor. Small 2019, 15, 1804662. [Google Scholar] [CrossRef]
- Wang, B.; Wang, Y.; Wang, Y.; Zhao, Y.; Yang, C.; Zeng, Z.; Huan, S.; Song, G.; Zhang, X. Oxygen-embedded pentacene based near-infrared chemiluminescent nanoprobe for highly selective and sensitive visualization of peroxynitrite in vivo. Anal. Chem. 2020, 92, 4154–4163. [Google Scholar] [CrossRef]
- Prolo, C.; Rios, N.; Piacenza, L.; Alvarez, M.N.; Radi, R. Fluorescence and chemiluminescence approaches for peroxynitrite detection. Free Radic. Biol. Med. 2018, 128, 59–68. [Google Scholar] [CrossRef]
- Cao, J.; An, W.; Reeves, A.G.; Lippert, A.R. A chemiluminescent probe for cellular peroxynitrite using a self-immolative oxidative decarbonylation reaction. Chem. Sci. 2018, 9, 2552–2558. [Google Scholar] [CrossRef]
- Dong, S.; Yuan, Z.; Zhang, L.; Lin, Y.; Lu, C. Rapid screening of oxygen states in carbon quantum dots by chemiluminescence probe. Anal. Chem. 2017, 89, 12520–12526. [Google Scholar] [CrossRef] [PubMed]
- Zhao, S.; Liu, J.; Huang, Y.; Liu, Y.M. Introducing chemiluminescence resonance energy transfer into immunoassay in a microfluidic format for an improved assay sensitivity. Chem. Commun. 2012, 48, 699–701. [Google Scholar] [CrossRef]
- Lis, S.; Kaczmarek, M. Chemiluminescent systems generating reactive oxygen species from the decomposition of hydrogen peroxide and their analytical applications. TrAC Trends Anal. Chem. 2013, 44, 1–11. [Google Scholar] [CrossRef]
- Tang, Y.; Su, Y.; Yang, N.; Zhang, L.; Lv, Y. Carbon nitride quantum dots: A novel chemiluminescence system for selective detection of free chlorine in water. Anal. Chem. 2014, 86, 4528–4535. [Google Scholar] [CrossRef] [PubMed]
- Dixon, S.J.; Stockwell, B.R. The role of iron and reactive oxygen species in cell death. Nat. Chem. Biol. 2014, 10, 9–17. [Google Scholar] [CrossRef]
- Ray, P.D.; Huang, B.W.; Tsuji, Y. Reactive oxygen species (ROS) homeostasis and redox regulation in cellular signaling. Cell Signal. 2012, 24, 981–990. [Google Scholar] [CrossRef] [PubMed]
- Zhang, R.; Song, B.; Yuan, J. Bioanalytical methods for hypochlorous acid detection: Recent advances and challenges. TrAC Trends Anal. Chem. 2018, 99, 1–33. [Google Scholar] [CrossRef]
- Andersen, J.K. Oxidative stress in neurodegeneration: Cause or consequence? Nat. Med. 2004, 10, 18–25. [Google Scholar] [CrossRef] [PubMed]
- Zhu, B.; Tang, W.; Ren, Y.; Duan, X. Chemiluminescence of conjugated-polymer nanoparticles by direct oxidation with hypochlorite. Anal. Chem. 2018, 90, 13714–13722. [Google Scholar] [CrossRef] [PubMed]











Disclaimer/Publisher’s Note: The statements, opinions and data contained in all publications are solely those of the individual author(s) and contributor(s) and not of MDPI and/or the editor(s). MDPI and/or the editor(s) disclaim responsibility for any injury to people or property resulting from any ideas, methods, instructions or products referred to in the content. |
© 2023 by the authors. Licensee MDPI, Basel, Switzerland. This article is an open access article distributed under the terms and conditions of the Creative Commons Attribution (CC BY) license (https://creativecommons.org/licenses/by/4.0/).
Share and Cite
Huang, C.; Zhou, W.; Wu, R.; Guan, W.; Ye, N. Recent Advances in Nanomaterial-Based Chemiluminescence Probes for Biosensing and Imaging of Reactive Oxygen Species. Nanomaterials 2023, 13, 1726. https://doi.org/10.3390/nano13111726
Huang C, Zhou W, Wu R, Guan W, Ye N. Recent Advances in Nanomaterial-Based Chemiluminescence Probes for Biosensing and Imaging of Reactive Oxygen Species. Nanomaterials. 2023; 13(11):1726. https://doi.org/10.3390/nano13111726
Chicago/Turabian StyleHuang, Chuanlin, Wenjuan Zhou, Riliga Wu, Weijiang Guan, and Nengsheng Ye. 2023. "Recent Advances in Nanomaterial-Based Chemiluminescence Probes for Biosensing and Imaging of Reactive Oxygen Species" Nanomaterials 13, no. 11: 1726. https://doi.org/10.3390/nano13111726
APA StyleHuang, C., Zhou, W., Wu, R., Guan, W., & Ye, N. (2023). Recent Advances in Nanomaterial-Based Chemiluminescence Probes for Biosensing and Imaging of Reactive Oxygen Species. Nanomaterials, 13(11), 1726. https://doi.org/10.3390/nano13111726

