MIL-100(Fe)-Based Composite Films for Food Packaging
Abstract
1. Introduction
2. Materials and Methods
2.1. Materials and Chemicals
2.2. Synthesis of MIL-100(Fe)
2.3. Preparation of MIL-100(Fe)-TTO
2.4. Preparation of Composite Films
2.5. Scanning Electron Microscopy (SEM)
2.6. Thickness
2.7. Mechanical Properties
2.8. Water Vapor Permeability (WVP)
2.9. X-ray Powder Diffraction
2.10. Light Transmittance and Transparency
2.11. Indentification of the Components of TTO in MIL-100(Fe)-TTO
2.12. Antibacterial Properties of Composite Films
2.13. Statistical Analysis
3. Results and Discussion
3.1. Characterizations of MIL-100(Fe) and MIL-100(Fe)-TTO
3.2. Characterizations of Composite Films
4. Conclusions
Author Contributions
Funding
Data Availability Statement
Acknowledgments
Conflicts of Interest
References
- Pascall, M.A.; DeAngelo, K.; Richards, J.; Arensberg, M.B. Role and Importance of Functional Food Packaging in Specialized Products for Vulnerable Populations: Implications for Innovation and Policy Development for Sustainability. Foods 2022, 11, 3043. [Google Scholar] [CrossRef] [PubMed]
- Yildirim, S.; Röcker, B.; Pettersen, M.K.; Nilsen-Nygaard, J.; Ayhan, Z.; Rutkaite, R.; Radusin, T.; Suminska, P.; Marcos, B.; Coma, V. Active Packaging Applications for Food. Compr. Rev. Food Sci. Food Saf. 2017, 17, 165–199. [Google Scholar] [CrossRef] [PubMed]
- Versino, F.; Ortega, F.; Monroy, Y.; Rivero, S.; López, O.V.; García, M.A. Sustainable and Bio-Based Food Packaging: A Review on Past and Current Design Innovations. Foods 2023, 12, 1057. [Google Scholar] [CrossRef] [PubMed]
- Varghese, S.A.; Pulikkalparambil, H.; Promhuad, K.; Srisa, A.; Laorenza, Y.; Jarupan, L.; Nampitch, T.; Chonhenchob, V.; Harnkarnsujarit, N. Renovation of Agro-Waste for Sustainable Food Packaging: A Review. Polymers 2023, 15, 648. [Google Scholar] [CrossRef] [PubMed]
- Mayer, A. Fossil fuel dependence and energy insecurity. Energy Sustain. Soc. 2022, 12, 27. [Google Scholar] [CrossRef]
- Arifin, H.R.; Djali, M.; Nurhadi, B.; Hasim, S.A.; Hilmi, A.; Puspitasari, A.V. Improved properties of corn starch-based bio-nanocomposite film with different types of plasticizers reinforced by nanocrystalline cellulose. Int. J. Food Prop. 2022, 25, 509–521. [Google Scholar] [CrossRef]
- Chen, G.; Liu, B. Cellulose sulfate based film with slow-release antimicrobial properties prepared by incorporation of mustard essential oil and β-cyclodextrin. Food Hydrocoll. 2016, 55, 100–107. [Google Scholar] [CrossRef]
- Bi, F.; Qin, Y.; Chen, D.; Kan, J.; Liu, J. Development of active packaging films based on chitosan and nano-encapsulated luteolin. Int. J. Biol. Macromol. 2021, 182, 545–553. [Google Scholar] [CrossRef]
- Oun, A.A.; Rhim, J.-W. Carrageenan-based hydrogels and films: Effect of ZnO and CuO nanoparticles on the physical, mechanical, and antimicrobial properties. Food Hydrocoll. 2017, 67, 45–53. [Google Scholar] [CrossRef]
- Alizadeh-Sani, M.; Kia, E.M.; Ghasempour, Z.; Ehsani, A. Preparation of Active Nanocomposite Film Consisting of Sodium Caseinate, ZnO Nanoparticles and Rosemary Essential Oil for Food Packaging Applications. J. Polym. Environ. 2020, 29, 588–598. [Google Scholar] [CrossRef]
- Balasubramanian, R.; Kim, S.S.; Lee, J.; Lee, J. Effect of TiO2 on highly elastic, stretchable UV protective nanocomposite films formed by using a combination of k-Carrageenan, xanthan gum and gellan gum. Int. J. Biol. Macromol. 2018, 123, 1020–1027. [Google Scholar] [CrossRef] [PubMed]
- Cheng, S.; Wang, W.; Li, Y.; Gao, G.; Zhang, K.; Zhou, J.; Wu, Z. Cross-linking and film-forming properties of transglutaminase-modified collagen fibers tailored by denaturation temperature. Food Chem. 2018, 271, 527–535. [Google Scholar] [CrossRef] [PubMed]
- Guidara, M.; Yaich, H.; Richel, A.; Blecker, C.; Boufi, S.; Attia, H.; Garna, H. Effects of extraction procedures and plasticizer concentration on the optical, thermal, structural and antioxidant properties of novel ulvan films. Int. J. Biol. Macromol. 2019, 135, 647–658. [Google Scholar] [CrossRef] [PubMed]
- Leyva-Jiménez, F.J.; Oliver-Simancas, R.; Castangia, I.; Rodríguez-García, A.M.; Alañón, M.E. Comprehensive review of natural based hydrogels as an upcoming trend for food packing. Food Hydrocoll. 2023, 135, 108124. [Google Scholar] [CrossRef]
- Bisht, B.; Lohani, U.C.; Kumar, V.; Gururani, P.; Sinhmar, R. Edible hydrocolloids as sustainable substitute for non-biodegradable materials. Crit. Rev. Food Sci. Nutr. 2020, 62, 693–725. [Google Scholar] [CrossRef]
- Medina-López, S.V.; Zuluaga-Domínguez, C.M.; Fernández-Trujillo, J.P.; Hernández-Gómez, M.S. Nonconventional Hydrocolloids’ Technological and Functional Potential for Food Applications. Foods 2022, 11, 401. [Google Scholar] [CrossRef]
- Abdullah, C.J.; Hafeez, M.A.; Wang, Q.; Farooq, S.; Huang, Q.; Tian, W.; Xiao, J. Biopolymer-Based Functional Films for Packaging Applications: A Review. Front. Nutr. 2022, 9, 1000116. [Google Scholar] [CrossRef]
- Yemenicioğlu, A.; Farris, S.; Turkyilmaz, M.; Gulec, S. A review of current and future food applications of natural hydrocolloids. Int. J. Food Sci. Technol. 2019, 55, 1389–1406. [Google Scholar] [CrossRef]
- Carpena, M.; Nuñez-Estevez, B.; Soria-Lopez, A.; Garcia-Oliveira, P.; Prieto, M.A. Essential Oils and Their Application on Active Packaging Systems: A Review. Resources 2021, 10, 7. [Google Scholar] [CrossRef]
- Borotová, P.; Galovičová, L.; Vukovic, N.L.; Vukic, M.; Tvrdá, E.; Kačániová, M. Chemical and Biological Characterization of Melaleuca alternifolia Essential Oil. Plants 2022, 11, 558. [Google Scholar] [CrossRef]
- Fernandes, B.C.N.; Paulo, B.B.; Guimarães, M.C.; Sarantopoulos, C.I.G.D.L.; Melo, N.R.; Prata, A.S. Prospection of the use of encapsulation in food packaging. Compr. Rev. Food Sci. Food Saf. 2022, 21, 2309–2334. [Google Scholar] [CrossRef] [PubMed]
- Yougbaré, S.; Mutalik, C.; Okoro, G.; Lin, I.-H.; Krisnawati, D.I.; Jazidie, A.; Nuh, M.; Chang, C.-C.; Kuo, T.-R. Emerging Trends in Nanomaterials for Antibacterial Applications. Int. J. Nanomed. 2021, 16, 5831–5867. [Google Scholar] [CrossRef] [PubMed]
- Furukawa, H.; Cordova, K.E.; O’Keeffe, M.; Yaghi, O.M. The Chemistry and Applications of Metal-Organic Frameworks. Science 2013, 341, 1230444. [Google Scholar] [CrossRef]
- Baumann, A.E.; Burns, D.A.; Liu, B.; Thoi, V.S. Metal-organic framework functionalization and design strategies for advanced electrochemical energy storage devices. Commun. Chem. 2019, 2, 1–14. [Google Scholar] [CrossRef]
- Azhar, M.R.; Vijay, P.; Tadé, M.O.; Sun, H.; Wang, S. Submicron sized water-stable metal organic framework (bio-MOF-11) for catalytic degradation of pharmaceuticals and personal care products. Chemosphere 2018, 196, 105–114. [Google Scholar] [CrossRef]
- Zhang, Q.; Chen, J.; Zhu, X.-C.; Li, J.; Wu, D. 7-Connected FeIII3-Based Bio-MOF: Pore Space Partition and Gas Separations. Inorg. Chem. 2020, 59, 16829–16832. [Google Scholar] [CrossRef]
- Dybtsev, D.N.; Nuzhdin, A.L.; Chun, H.; Bryliakov, K.P.; Talsi, E.P.; Fedin, V.P.; Kim, K. A Homochiral Metal–Organic Material with Permanent Porosity, Enantioselective Sorption Properties, and Catalytic Activity. Angew. Chem. 2006, 118, 930–934. [Google Scholar] [CrossRef]
- Horcajada, P.; Chalati, T.; Serre, C.; Gillet, B.; Sébrié, C.; Baati, T.; Eubank, J.F.; Heurtaux, D.; Clayette, P.; Kreuz, C.; et al. Porous metal–organic-framework nanoscale carriers as a potential platform for drug delivery and imaging. Nat. Mater. 2009, 9, 172–178. [Google Scholar] [CrossRef]
- Al Sharabati, M.; Sabouni, R.; Husseini, G.A. Biomedical Applications of Metal−Organic Frameworks for Disease Diagnosis and Drug Delivery: A Review. Nanomaterials 2022, 12, 277. [Google Scholar] [CrossRef]
- Zhao, J.; Wei, F.; Xu, W.; Han, X. Enhanced antibacterial performance of gelatin/chitosan film containing capsaicin loaded MOFs for food packaging. Appl. Surf. Sci. 2020, 510, 145418. [Google Scholar] [CrossRef]
- Guan, Y.; Teng, Z.; Mei, L.; Zhang, J.; Wang, Q.; Luo, Y. An entrapped metal-organic framework system for controlled release of ethylene. J. Colloid Interface Sci. 2018, 533, 207–215. [Google Scholar] [CrossRef] [PubMed]
- Rojas, S.; Devic, T.; Horcajada, P. Metal organic frameworks based on bioactive components. J. Mater. Chem. B 2017, 5, 2560–2573. [Google Scholar] [CrossRef] [PubMed]
- Feng, S.; Tang, Q.; Xu, Z.; Huang, K.; Li, H.; Zou, Z. Development of novel Co-MOF loaded sodium alginate based packaging films with antimicrobial and ammonia-sensitive functions for shrimp freshness monitoring. Food Hydrocoll. 2023, 135, 108193. [Google Scholar] [CrossRef]
- Quijia, C.R.; Lima, C.; Silva, C.; Alves, R.C.; Frem, R.; Chorilli, M. Application of MIL-100(Fe) in drug delivery and biomedicine. J. Drug Deliv. Sci. Technol. 2020, 61, 102217. [Google Scholar] [CrossRef]
- Canioni, R.; Roch-Marchal, C.; Sécheresse, F.; Horcajada, P.; Serre, C.; Hardi-Dan, M.; Férey, G.; Grenèche, J.-M.; Lefebvre, F.; Chang, J.-S.; et al. Stable polyoxometalate insertion within the mesoporous metal organic framework MIL-100(Fe). J. Mater. Chem. 2011, 21, 1226–1233. [Google Scholar] [CrossRef]
- Zhong, G.; Liu, D.; Zhang, J. Applications of Porous Metal–Organic Framework MIL-100(M) (M = Cr, Fe, Sc, Al, V). Cryst. Growth Des. 2018, 18, 7730–7744. [Google Scholar] [CrossRef]
- Guesh, K.; Caiuby, C.A.D.; Mayoral, Á.; Díaz-García, M.; Díaz, I.; Sanchez-Sanchez, M. Sustainable Preparation of MIL-100(Fe) and Its Photocatalytic Behavior in the Degradation of Methyl Orange in Water. Cryst. Growth Des. 2017, 17, 1806–1813. [Google Scholar] [CrossRef]
- ASTM D882-18; Standard Test Method for Tensile Properties of Thin Plastic Sheeting. ASTM International: West Conshohocken, PA, USA, 2018.
- McHUGH, T.H.; Avena-Bustillos, R.; Krochta, J. Hydrophilic Edible Films: Modified Procedure for Water Vapor Permeability and Explanation of Thickness Effects. J. Food Sci. 1993, 58, 899–903. [Google Scholar] [CrossRef]
- Horcajada, P.; Surblé, S.; Serre, C.; Hong, D.-Y.; Seo, Y.-K.; Chang, J.-S.; Grenèche, J.-M.; Margiolaki, I.; Férey, G. Synthesis and catalytic properties of MIL-100(Fe), an iron(iii) carboxylate with large pores. Chem. Commun. 2007, 27, 2820–2822. [Google Scholar] [CrossRef]
- Souza, B.E.; Möslein, A.F.; Titov, K.; Taylor, J.D.; Rudić, S.; Tan, J.-C. Green Reconstruction of MIL-100 (Fe) in Water for High Crystallinity and Enhanced Guest Encapsulation. ACS Sustain. Chem. Eng. 2020, 8, 8247–8255. [Google Scholar] [CrossRef]
- Shaikh, S.; Yaqoob, M.; Aggarwal, P. An overview of biodegradable packaging in food industry. Curr. Res. Food Sci. 2021, 4, 503–520. [Google Scholar] [CrossRef] [PubMed]
- Prasetyaningrum, A.; Utomo, D.P.; Raemas, A.F.A.; Kusworo, T.D.; Jos, B.; Djaeni, M. Alginate/κ-Carrageenan-Based Edible Films Incorporated with Clove Essential Oil: Physico-Chemical Characterization and Antioxidant-Antimicrobial Activity. Polymers 2021, 13, 354. [Google Scholar] [CrossRef] [PubMed]
- Alibadi, S.S.; Mohammadifar, M.A.; Hosseini, H.; Mohammadi, A.; Ghasemlou, M.; Hosseini, S.M.; Haghshenas, M.; Khaksar, R. Characterization of nanobiocomposite kappa-carrageenan film with Zataria multiflora essential oil and nanoclay. Int. J. Biol. Macromol. 2014, 69, 282–289. [Google Scholar] [CrossRef] [PubMed]
- Lee, J.Y.; Garcia, C.V.; Shin, G.H.; Kim, J.T. Antibacterial and antioxidant properties of hydroxypropyl methylcellulose-based active composite films incorporating oregano essential oil nanoemulsions. LWT 2019, 106, 164–171. [Google Scholar] [CrossRef]
- Amjadi, S.; Nouri, S.; Yorghanlou, R.A.; Roufegarinejad, L. Development of hydroxypropyl methylcellulose/sodium alginate blend active film incorporated with Dracocephalum moldavica L. essential oil for food preservation. J. Thermoplast. Compos. Mater. 2020, 35, 2354–2370. [Google Scholar] [CrossRef]





| Sample | Kc (g) | HMPC (g) | Glycerol (g) | KS (g) | MIL-100(Fe) (g) | MIL-100(Fe)-TTO (g) |
|---|---|---|---|---|---|---|
| KcHPMC | 1.6 | 0.4 | 0.8 | 0.02 | 0 | 0 |
| KH/MIL0.5 | 1.6 | 0.4 | 0.8 | 0.02 | 0.01 | 0 |
| KH/MIL1 | 1.6 | 0.4 | 0.8 | 0.02 | 0.02 | 0 |
| KH/MIL2 | 1.6 | 0.4 | 0.8 | 0.02 | 0.04 | 0 |
| KH/MIL5 | 1.6 | 0.4 | 0.8 | 0.02 | 0.1 | 0 |
| KH/MIL/TTO0.5 | 1.6 | 0.4 | 0.8 | 0.02 | 0 | 0.01 |
| KH/MIL/TTO1 | 1.6 | 0.4 | 0.8 | 0.02 | 0 | 0.02 |
| KH/MIL/TTO2 | 1.6 | 0.4 | 0.8 | 0.02 | 0 | 0.04 |
| KH/MIL/TTO5 | 1.6 | 0.4 | 0.8 | 0.02 | 0 | 0.1 |
| Peak | Component | Spectral Similarity (%) |
|---|---|---|
| 1 | 1,3-Cyclopentadiene, 5,5-dimethyl-1-propyl- | 89 |
| 2 | Camphene | 89 |
| 3 | 3-p-Menthene | 96 |
| 4 | 4-Carene | 96 |
| 5 | p-Cymene | 96 |
| 6 | γ-Terpinene | 96 |
| 7 | p-Mentha-3,8-diene | 95 |
| 8 | 2-Carene | 94 |
| 9 | Terpinen-4-ol | 97 |
| Sample | Thickness (μm) | TS (MPa) 1 | EAB (%) | EM (GPa) | WVP (g·mm/Pa·h·m2) 1 | TV 1 |
|---|---|---|---|---|---|---|
| KcHPMC | 29 ± 3 a | 59.30 ± 9.69 a | 5.6 ± 1.1 ab | 2.8 ± 0.6 a | 0.373 ± 0.031 a | 2.07 a |
| KH/MIL0.5 | 32 ± 2 b | 55.66 ± 4.26 ab | 3.7 ± 0.1 ab | 2.6 ± 0.2 ab | 0.331 ± 0.024 a | 2.40 a |
| KH/MIL1 | 39 ± 1 c | 46.27 ± 2.97 abc | 6.0 ± 0.7 a | 2.2 ± 0.1 abc | 0.380 ± 0.034 ab | 2.73 a |
| KH/MIL2 | 40 ± 2 c | 53.65 ± 5.72 ab | 6.0 ± 0.5 a | 2.5 ± 0.2 ab | 0.468 ± 0.032 cd | 4.41 b |
| KH/MIL5 | 48 ± 3 d | 36.88 ± 2.48 c | 3.2 ± 0.6 b | 1.7 ± 0.1 c | 0.585 ± 0.029 e | 18.56 d |
| KH/MIL/TTO0.5 | 33 ± 2 b | 52.05 ± 2.91 ab | 4.0 ± 0.8 ab | 2.6 ± 0.1 ab | 0.451 ± 0.033 bc | 2.14 a |
| KH/MIL/TTO1 | 41 ± 1 cd | 43.59 ± 2.50 bc | 3.8 ± 0.3 ab | 2.5 ± 0.2 ab | 0.508 ± 0.028 cde | 2.85 a |
| KH/MIL/TTO2 | 39 ± 3 c | 35.22 ± 3.40 c | 3.9 ± 0.7 ab | 2.0 ± 0.1 bc | 0.511 ± 0.035 cde | 4.70 b |
| KH/MIL/TTO5 | 43 ± 2 d | 55.70 ± 2.69 a | 5.0 ± 0.6 ab | 2.7 ± 0.2 a | 0.540 ± 0.041 de | 11.35 c |
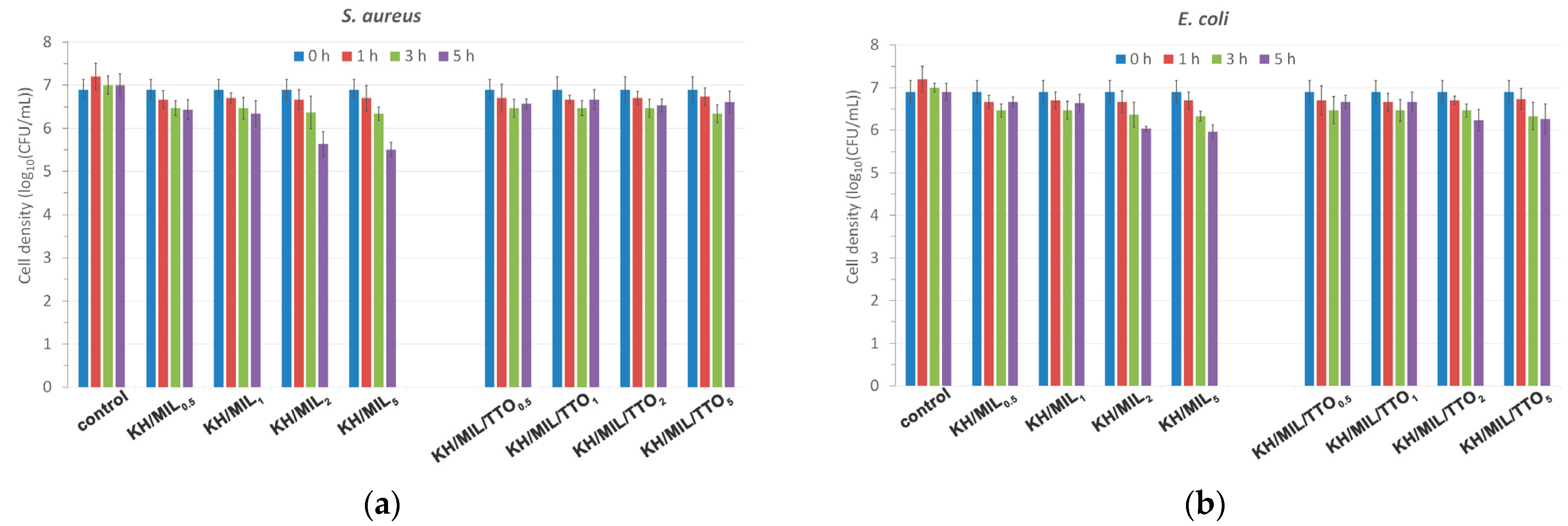
| Sample | Cell Density (lg(CFU/mL)) | |||
|---|---|---|---|---|
| 0 h | 1 h | 3 h | 5 h | |
| Control | 6.8 ± 0.2 c/d | 7.3 ± 0.3 a/d | 7.2 ± 0.2 ab/d | 7.0 ± 0.3 bc/d |
| KH/MIL0.5 | 6.8 ± 0.2 a/d | 6.8 ± 0.2 a/de | 6.3 ± 0.2 b/efg | 6.4 ± 0.2 c/de |
| KH/MIL1 | 6.8 ± 0.2 a/d | 6.8 ± 0.1 ab/de | 6.1 ± 0.3 b/efg | 6.3 ± 0.3 ab/e |
| KH/MIL2 | 6.8 ± 0.2 a/d | 6.8 ± 0.2 a/de | 5.9 ± 0.4 b/fg | 5.6 ± 0.3 b/f |
| KH/MIL5 | 6.8 ± 0.2 a/d | 6.4 ± 0.3 ab/e | 5.8 ± 0.2 bc/g | 5.5 ± 0.2 c/f |
| KH/MIL/TTO0.5 | 6.8 ± 0.2 a/d | 6.8 ± 0.3 a/de | 6.6 ± 0.2 a/de | 6.6 ± 0.1 a/de |
| KH/MIL/TTO1 | 6.8 ± 0.2 a/d | 6.8 ± 0.1 a/de | 6.6 ± 0.2 a/de | 6.7 ± 0.2 a/de |
| KH/MIL/TTO2 | 6.8 ± 0.2 a/d | 6.8 ± 0.2 a/de | 6.5 ± 0.2 a/def | 6.5 ± 0.2 a/de |
| KH/MIL/TTO5 | 6.8 ± 0.2 a/d | 6.8 ± 0.2 a/de | 6.5 ± 0.2 ab/def | 6.6 ± 0.3 b/de |
| Sample | Cell Density (lg(CFU/mL)) | |||
|---|---|---|---|---|
| 0 h | 1 h | 3 h | 5 h | |
| Control | 6.9 ± 0.3 a/d | 7.2 ± 0.3 a/d | 7.0 ± 0.1 a/d | 6.9 ± 0.2 a/d |
| KH/MIL0.5 | 6.9 ± 0.3 a/d | 6.7 ± 0.2 ab/d | 6.5 ± 0.2 b/d | 6.7 ± 0.1 ab/e |
| KH/MIL1 | 6.9 ± 0.3 a/d | 6.7 ± 0.2 a/d | 6.5 ± 0.2 a/d | 6.6 ± 0.2 a/e |
| KH/MIL2 | 6.9 ± 0.3 a/d | 6.7 ± 0.3 ab/d | 6.4 ± 0.3 ab/d | 6.0 ± 0.1 b/f |
| KH/MIL5 | 6.9 ± 0.3 a/d | 6.7 ± 0.2 a/d | 6.3 ± 0.1 b/d | 6.0 ± 0.2 c/f |
| KH/MIL/TTO0.5 | 6.9 ± 0.3 a/d | 6.7 ± 0.4 a/d | 6.5 ± 0.3 a/d | 6.7 ± 0.2 a/e |
| KH/MIL/TTO1 | 6.9 ± 0.3 a/d | 6.7 ± 0.2 ab/d | 6.5 ± 0.3 b/d | 6.7 ± 0.2 ab/e |
| KH/MIL/TTO2 | 6.9 ± 0.3 a/d | 6.7 ± 0.1 a/d | 6.5 ± 0.2 a/d | 6.2 ± 0.3 a/ef |
| KH/MIL/TTO5 | 6.9 ± 0.3 a/d | 6.7 ± 0.3 a/d | 6.3 ± 0.3 b/d | 6.4 ± 0.2 ab/ef |
Disclaimer/Publisher’s Note: The statements, opinions and data contained in all publications are solely those of the individual author(s) and contributor(s) and not of MDPI and/or the editor(s). MDPI and/or the editor(s) disclaim responsibility for any injury to people or property resulting from any ideas, methods, instructions or products referred to in the content. |
© 2023 by the authors. Licensee MDPI, Basel, Switzerland. This article is an open access article distributed under the terms and conditions of the Creative Commons Attribution (CC BY) license (https://creativecommons.org/licenses/by/4.0/).
Share and Cite
Pak, A.M.; Maiorova, E.A.; Siaglova, E.D.; Aliev, T.M.; Strukova, E.N.; Kireynov, A.V.; Piryazev, A.A.; Novikov, V.V. MIL-100(Fe)-Based Composite Films for Food Packaging. Nanomaterials 2023, 13, 1714. https://doi.org/10.3390/nano13111714
Pak AM, Maiorova EA, Siaglova ED, Aliev TM, Strukova EN, Kireynov AV, Piryazev AA, Novikov VV. MIL-100(Fe)-Based Composite Films for Food Packaging. Nanomaterials. 2023; 13(11):1714. https://doi.org/10.3390/nano13111714
Chicago/Turabian StylePak, Alexandra M., Elena A. Maiorova, Elizaveta D. Siaglova, Teimur M. Aliev, Elena N. Strukova, Aleksey V. Kireynov, Alexey A. Piryazev, and Valentin V. Novikov. 2023. "MIL-100(Fe)-Based Composite Films for Food Packaging" Nanomaterials 13, no. 11: 1714. https://doi.org/10.3390/nano13111714
APA StylePak, A. M., Maiorova, E. A., Siaglova, E. D., Aliev, T. M., Strukova, E. N., Kireynov, A. V., Piryazev, A. A., & Novikov, V. V. (2023). MIL-100(Fe)-Based Composite Films for Food Packaging. Nanomaterials, 13(11), 1714. https://doi.org/10.3390/nano13111714

