Single-Walled Carbon Nanotubes with Red Phosphorus in Lithium-Ion Batteries: Effect of Surface and Encapsulated Phosphorus
Abstract
1. Introduction
2. Materials and Methods
2.1. Synthesis
2.2. Instrumental Methods
2.3. Electrochemical Measurements
3. Results
3.1. Characterization of Nanomaterials
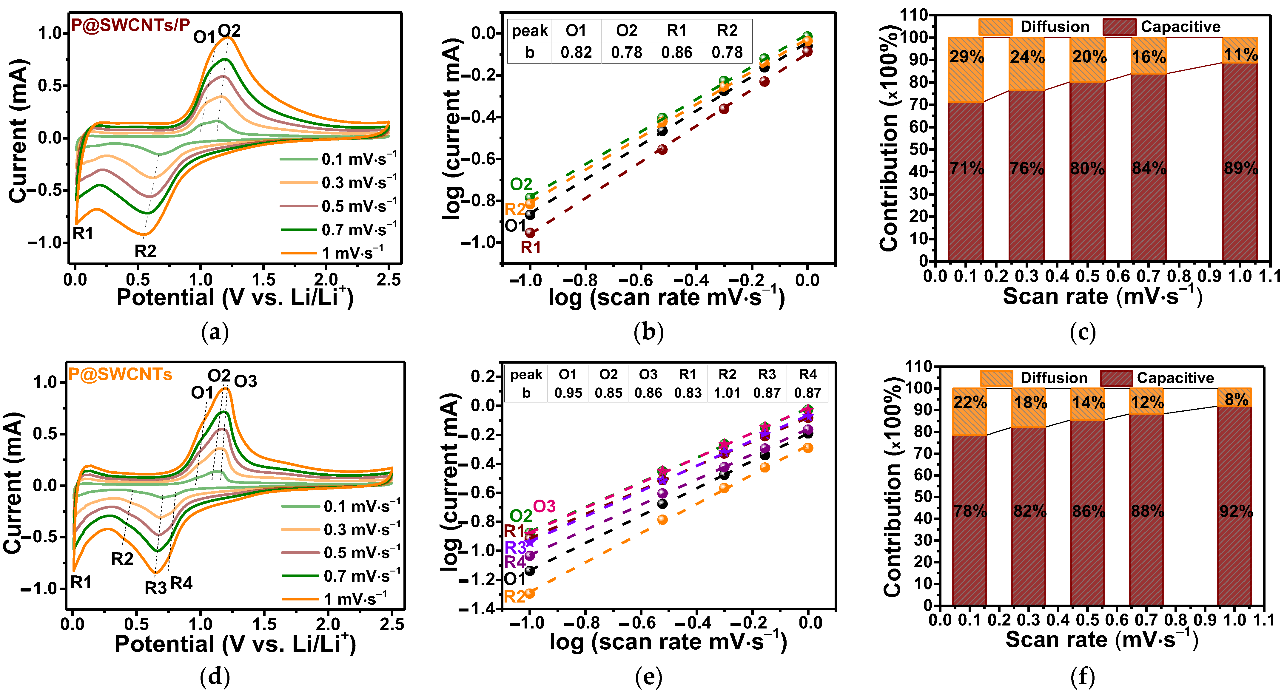
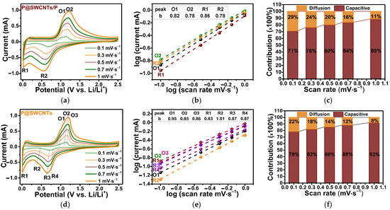
3.2. Electrochemical Properties
4. Discussion
5. Conclusions
Supplementary Materials
Author Contributions
Funding
Institutional Review Board Statement
Informed Consent Statement
Data Availability Statement
Acknowledgments
Conflicts of Interest
References
- Sun, Y.; Zeng, F.; Zhu, Y.; Lu, P.; Yang, D. A Review on Nanoconfinement Engineering of Red Phosphorus for Enhanced Li/Na/K-Ion Storage Performances. J. Energy Chem. 2021, 61, 531–552. [Google Scholar] [CrossRef]
- Yuan, D.; Cheng, J.; Qu, G.; Li, X.; Ni, W.; Wang, B.; Liu, H. Amorphous Red Phosphorous Embedded in Carbon Nanotubes Scaffold as Promising Anode Materials for Lithium-Ion Batteries. J. Power Sources 2016, 301, 131–137. [Google Scholar] [CrossRef]
- Marino, C.; Boulet, L.; Gaveau, P.; Fraisse, B.; Monconduit, L. Nanoconfined Phosphorus in Mesoporous Carbon as an Electrode for Li-Ion Batteries: Performance and Mechanism. J. Mater. Chem. 2012, 22, 22713–22720. [Google Scholar] [CrossRef]
- Wang, L.; He, X.; Li, J.; Sun, W.; Gao, J.; Guo, J.; Jiang, C. Nano-Structured Phosphorus Composite as High-Capacity Anode Materials for Lithium Batteries. Angew. Chem.-Int. Ed. 2012, 124, 9168–9171. [Google Scholar] [CrossRef]
- Zhu, Y.; Wen, Y.; Fan, X.; Gao, T.; Han, F.; Luo, C.; Liou, S.C.; Wang, C. Red Phosphorus-Single-Walled Carbon Nanotube Composite as a Superior Anode for Sodium Ion Batteries. ACS Nano 2015, 9, 3254–3264. [Google Scholar] [CrossRef]
- Yu, Z.; Song, J.; Gordin, M.L.; Yi, R.; Tang, D.; Wang, D. Phosphorus-Graphene Nanosheet Hybrids as Lithium-Ion Anode with Exceptional High-Temperature. Adv. Sci. 2015, 2, 1400020. [Google Scholar] [CrossRef]
- Zhao, D.; Zhang, L.; Fu, C.; Zhang, J.; Niu, C. The Lithium and Sodium Storage Performances of Phosphorus and Its Hierarchical Structure. Nano Res. 2019, 12, 1–17. [Google Scholar] [CrossRef]
- Liu, S.; Feng, J.; Bian, X.; Liu, J.; Xu, H.; An, Y. A Controlled Red Phosphorus@Ni-P Core@shell Nanostructure as an Ultralong Cycle-Life and Superior High-Rate Anode for Sodium-Ion Batteries. Energy Environ. Sci. 2017, 10, 1222–1233. [Google Scholar] [CrossRef]
- Sun, J.; Lee, H.W.; Pasta, M.; Yuan, H.; Zheng, G.; Sun, Y.; Li, Y.; Cui, Y. A Phosphorene-Graphene Hybrid Material as a High-Capacity Anode for Sodium-Ion Batteries. Nat. Nanotechnol. 2015, 10, 980–985. [Google Scholar] [CrossRef]
- Sun, J.; Zheng, G.; Lee, H.-W.; Liu, N.; Wang, H.; Yao, H.; Yang, W.; Cui, Y. Formation of Stable Phosphorus–Carbon Bond for Enhanced Performance in Black Phosphorus Nanoparticle–Graphite Composite Battery Anodes. Nano Lett. 2014, 14, 4573–4580. [Google Scholar] [CrossRef]
- Marino, C.; Debenedetti, A.; Fraisse, B.; Favier, F.; Monconduit, L. Activated-Phosphorus as New Electrode Material for Li-Ion Batteries. Electrochem. Commun. 2011, 13, 346–349. [Google Scholar] [CrossRef]
- Chen, X.; Qiu, J.; Wang, Y.; Huang, F.; Peng, J.; Liu, Y.; Li, J.; Zhai, M. A Stable Polypyridinopyridine-Red Phosphorus Composite as a Superior Anode Material for Long-Cycle Lifetime Lithium-Ion Batteries. New J. Chem. 2019, 43, 6197–6204. [Google Scholar] [CrossRef]
- Li, W.; Yang, Z.; Li, M.; Jiang, Y.; Wei, X.; Zhong, X.; Gu, L.; Yu, Y. Amorphous Red Phosphorus Embedded in Highly Ordered Mesoporous Carbon with Superior Lithium and Sodium Storage Capacity. Nano Lett. 2016, 16, 1546–1553. [Google Scholar] [CrossRef] [PubMed]
- Bai, A.; Wang, L.; Li, J.; He, X.; Wang, J.; Wang, J. Composite of Graphite/Phosphorus as Anode for Lithium-Ion Batteries. J. Power Sources 2015, 289, 100–104. [Google Scholar] [CrossRef]
- Xue, J.; Wang, D.; Xia, X.; Chen, Y.; Liu, H. Confined Red Phosphorus in N-Doped Hierarchically Porous Carbon for Lithium Ion Batteries with Enhanced Rate Capability and Cycle Stability. Microporous Mesoporous Mater. 2020, 305, 110365. [Google Scholar] [CrossRef]
- Liu, Y.; Liu, Q.; Jian, C.; Cui, D.; Chen, M.; Li, Z.; Li, T.; Nilges, T.; He, K.; Jia, Z.; et al. Red-Phosphorus-Impregnated Carbon Nanofibers for Sodium-Ion Batteries and Liquefaction of Red Phosphorus. Nat. Commun. 2020, 11, 2520. [Google Scholar] [CrossRef]
- Jiao, X.; Liu, Y.; Li, B.; Zhang, W.; He, C.; Zhang, C.; Yu, Z.; Gao, T.; Song, J. Amorphous Phosphorus-Carbon Nanotube Hybrid Anode with Ultralong Cycle Life and High-Rate Capability for Lithium-Ion Battery. Carbon 2019, 148, 518–524. [Google Scholar] [CrossRef]
- Zhang, Z.J.; Li, W.J.; Chou, S.L.; Han, C.; Liu, H.K.; Dou, S.X. Effects of Carbon on Electrochemical Performance of Red Phosphorus (P) and Carbon Composite as Anode for Sodium Ion Batteries. J. Mater. Sci. Technol. 2021, 68, 140–146. [Google Scholar] [CrossRef]
- Qian, J.; Wu, X.; Cao, Y.; Ai, X.; Yang, H. High Capacity and Rate Capability of Amorphous Phosphorus for Sodium Ion Batteries. Angew. Chem. 2013, 125, 4731–4734. [Google Scholar] [CrossRef]
- Xu, Z.; Zeng, Y.; Wang, L.; Li, N.; Chen, C.; Li, C.; Li, J.; Lv, H.; Kuang, L.; Tian, X. Nanoconfined Phosphorus Film Coating on Interconnected Carbon Nanotubes as Ultrastable Anodes for Lithium Ion Batteries. J. Power Sources 2017, 356, 18–26. [Google Scholar] [CrossRef]
- Ramireddy, T.; Xing, T.; Rahman, M.M.; Chen, Y.; Dutercq, Q.; Gunzelmann, D.; Glushenkov, A.M. Phosphorus-Carbon Nanocomposite Anodes for Lithium-Ion and Sodium-Ion Batteries. J. Mater. Chem. A 2015, 3, 5572–5584. [Google Scholar] [CrossRef]
- Qian, J.; Qiao, D.; Ai, X.; Cao, Y.; Yang, H. Reversible 3-Li Storage Reactions of Amorphous Phosphorus as High Capacity and Cycling-Stable Anodes for Li-Ion Batteries. Chem. Commun. 2012, 48, 8931–8933. [Google Scholar] [CrossRef]
- Li, X.; Chen, G.; Le, Z.; Li, X.; Nie, P.; Liu, X.; Xu, P.; Wu, H.B.; Liu, Z.; Lu, Y. Well-Dispersed Phosphorus Nanocrystals within Carbon via High-Energy Mechanical Milling for High Performance Lithium Storage. Nano Energy 2019, 59, 464–471. [Google Scholar] [CrossRef]
- Li, W.J.; Chou, S.L.; Wang, J.Z.; Liu, H.K.; Dou, S.X. Simply Mixed Commercial Red Phosphorus and Carbon Nanotube Composite with Exceptionally Reversible Sodium-Ion Storage. Nano Lett. 2013, 13, 5480–5484. [Google Scholar] [CrossRef] [PubMed]
- Yu, Z.; Song, J.; Wang, D.; Wang, D. Advanced Anode for Sodium-Ion Battery with Promising Long Cycling Stability Achieved by Tuning Phosphorus-Carbon Nanostructures. Nano Energy 2017, 40, 550–558. [Google Scholar] [CrossRef]
- Subramaniyam, C.M.; Tai, Z.; Mahmood, N.; Zhang, D.; Liu, H.K.; Goodenough, J.B.; Dou, S.X. Unlocking the Potential of Amorphous Red Phosphorus Films as a Long-Term Stable Negative Electrode for Lithium Batteries. J. Mater. Chem. A 2017, 5, 1925–1929. [Google Scholar] [CrossRef]
- Zhang, Y.; Wang, H.; Luo, Z.; Tan, H.T.; Li, B.; Sun, S.; Li, Z.; Zong, Y.; Xu, Z.J.; Yang, Y.; et al. An Air-Stable Densely Packed Phosphorene Graphene Composite Toward Advanced. Adv. Energy Mater. 2016, 6, 1600453. [Google Scholar] [CrossRef]
- Yu, Y.; Li, W.; Yang, Z.; Jiang, Y.; Yu, Z.; Gu, L. Crystalline Red Phosphorus Incorporated with Porous Carbon Nanofibers as Flexible Electrode for High Performance Lithium-Ion Batteries. Carbon 2014, 78, 455–462. [Google Scholar] [CrossRef]
- Yuan, T.; Ruan, J.; Peng, C.; Sun, H.; Pang, Y.; Yang, J.; Ma, Z.F.; Zheng, S. 3D Red Phosphorus/Sheared CNT Sponge for High Performance Lithium-Ion Battery Anodes. Energy Storage Mater. 2018, 13, 267–273. [Google Scholar] [CrossRef]
- Li, W.; Hu, S.; Luo, X.; Li, Z.; Sun, X.; Li, M.; Liu, F.; Yu, Y. Confined Amorphous Red Phosphorus in MOF-Derived N-Doped Microporous Carbon as a Superior. Adv. Mater. 2017, 29, 1605820. [Google Scholar] [CrossRef]
- Khlobystov, A.N. Carbon Nanotubes: From Nano Test Tube to Nano-Reactor. ACS Nano 2011, 5, 9306–9312. [Google Scholar] [CrossRef] [PubMed]
- Thess, A.; Lee, R.; Nikolaev, P.; Dai, H.; Petit, P.; Robert, J.; Xu, C.; Lee, Y.H.; Kim, S.G.; Rinzler, A.G.; et al. Crystalline Ropes of Metallic Carbon Nanotubes. Science 1996, 273, 483–487. [Google Scholar] [CrossRef] [PubMed]
- Liu, P.; Tan, Y.F.; Hu, D.C.M.; Jewell, D.; Duong, H.M. Multi-Property Enhancement of Aligned Carbon Nanotube Thin Films from Floating Catalyst Method. Mater. Des. 2016, 108, 754–760. [Google Scholar] [CrossRef]
- Li, C.; Chou, T.W. A Structural Mechanics Approach for the Analysis of Carbon Nanotubes. Int. J. Solids Struct. 2003, 40, 2487–2499. [Google Scholar] [CrossRef]
- Yu, M.F.; Files, B.S.; Arepalli, S.; Ruoff, R.S. Tensile Loading of Ropes of Single Wall Carbon Nanotubes and Their Mechanical Properties. Phys. Rev. Lett. 2000, 84, 5552–5555. [Google Scholar] [CrossRef]
- Yu, M.F.; Lourie, O.; Dyer, M.J.; Moloni, K.; Kelly, T.F.; Ruoff, R.S. Strength and Breaking Mechanism of Multiwalled Carbon Nanotubes under Tensile Load. Science 2000, 287, 637–640. [Google Scholar] [CrossRef] [PubMed]
- Iijima, S.; Brabec, C.; Maiti, A.; Bernholc, J. Structural Flexibility of Carbon Nanotubes. J. Chem. Phys. 1996, 104, 2089–2092. [Google Scholar] [CrossRef]
- Falvo, M.R.; Clary, G.J.; Taylor, R.M.; Chi, V.; Brooks, F.P.; Washburn, S.; Superfine, R. Bending and Buckling of Carbon Nanotubes under Large Strain. Nature 1997, 389, 582–584. [Google Scholar] [CrossRef]
- Li, J.; Jin, H.; Yuan, Y.; Lu, H.; Su, C.; Fan, D.; Li, Y.; Wang, J.; Lu, J.; Wang, S. Encapsulating Phosphorus inside Carbon Nanotubes via a Solution Approach for Advanced Lithium Ion Host. Nano Energy 2019, 58, 23–29. [Google Scholar] [CrossRef]
- Smajic, J.; Alazmi, A.; Patole, S.P.; Costa, P.M.F.J. Single-Walled Carbon Nanotubes as Stabilizing Agents in Red Phosphorus Li-Ion Battery Anodes. RSC Adv. 2017, 7, 39997–40004. [Google Scholar] [CrossRef]
- Tojo, T.; Yamaguchi, S.; Furukawa, Y.; Aoyanagi, K.; Umezaki, K.; Inada, R.; Sakurai, Y. Electrochemical Performance of Lithium Ion Battery Anode Using Phosphorus Encapsulated into Nanoporous Carbon Nanotubes. J. Electrochem. Soc. 2018, 165, A1231–A1237. [Google Scholar] [CrossRef]
- Rybkovskiy, D.V.; Koroteev, V.O.; Impellizzeri, A.; Vorfolomeeva, A.A.; Gerasimov, E.Y.; Okotrub, A.V.; Chuvilin, A.; Bulusheva, L.G.; Ewels, C.P. “Missing” One-Dimensional Red-Phosphorus Chains Encapsulated within Single-Walled Carbon Nanotubes. ACS Nano 2022, 16, 6002–6012. [Google Scholar] [CrossRef] [PubMed]
- Hart, M.; Chen, J.; Michaelides, A.; Sella, A.; Shaffer, M.S.P.; Salzmann, C.G. One-Dimensional Pnictogen Allotropes inside Single-Wall Carbon Nanotubes. Inorg. Chem. 2019, 58, 15216–15224. [Google Scholar] [CrossRef]
- Zhao, D.; Zhang, J.; Fu, C.; Huang, J.; Xiao, D.; Yuen, M.M.F.; Niu, C. Enhanced Cycle Stability of Ring-Shaped Phosphorus inside Multi-Walled Carbon Nanotubes as Anodes for Lithium-Ion Batteries. J. Mater. Chem. A 2018, 6, 2540–2548. [Google Scholar] [CrossRef]
- Hart, M.; White, E.R.; Chen, J.; McGilvery, C.M.; Pickard, C.J.; Michaelides, A.; Sella, A.; Shaffer, M.S.P.; Salzmann, C.G. Encapsulation and Polymerization of White Phosphorus Inside Single-Wall Carbon Nanotubes. Angew. Chem.-Int. Ed. 2017, 129, 8256–8260. [Google Scholar] [CrossRef]
- Vorfolomeeva, A.A.; Pushkarevsky, N.A.; Koroteev, V.O.; Surovtsev, N.V.; Chuvilin, A.L.; Shlyakhova, E.V.; Plyusnin, P.E.; Makarova, A.A.; Okotrub, A.V.; Bulusheva, L.G. Doping of Carbon Nanotubes with Encapsulated Phosphorus Chains. Inorg. Chem. 2022, 61, 9605–9614. [Google Scholar] [CrossRef]
- Zhang, J.; Zhao, D.; Xiao, D.; Ma, C.; Du, H.; Li, X.; Zhang, L.; Huang, J.; Huang, H.; Jia, C.L.; et al. Assembly of Ring-Shaped Phosphorus within Carbon Nanotube Nanoreactors. Angew. Chem.-Int. Ed. 2017, 56, 1850–1854. [Google Scholar] [CrossRef] [PubMed]
- Xu, J.; Guan, L. Diameter-Selective Band Structure Modification of Single-Walled Carbon Nanotubes by Encapsulated Phosphorus Chains. J. Phys. Chem. C 2009, 113, 15099–15101. [Google Scholar] [CrossRef]
- Allaf, R.M.; Rivero, I.V.; Spearman, S.S.; Hope-Weeks, L.J. On the Preparation of As-Produced and Purified Single-Walled Carbon Nanotube Samples for Standardized X-Ray Diffraction Characterization. Mater. Charact. 2011, 62, 857–864. [Google Scholar] [CrossRef]
- Hu, Z.; Lu, Y.; Liu, M.; Zhang, X.; Cai, J.J. Crystalline Red Phosphorus for Selective Photocatalytic Reduction of CO2 into CO. J. Mater. Chem. A 2021, 9, 338–348. [Google Scholar] [CrossRef]
- Hasegawa, G.; Deguchi, T.; Kanamori, K.; Kobayashi, Y.; Kageyama, H.; Abe, T.; Nakanishi, K. High-Level Doping of Nitrogen, Phosphorus, and Sulfur into Activated Carbon Monoliths and Their Electrochemical Capacitances. Chem. Mater. 2015, 27, 4703–4712. [Google Scholar] [CrossRef]
- Kuntz, K.L.; Wells, R.A.; Hu, J.; Yang, T.; Dong, B.; Guo, H.; Woomer, A.H.; Druffel, D.L.; Alabanza, A.; Tománek, D.; et al. Control of Surface and Edge Oxidation on Phosphorene. ACS Appl. Mater. Interfaces 2017, 9, 9126–9135. [Google Scholar] [CrossRef] [PubMed]
- Imamura, R.; Matsui, K.; Takeda, S.; Ozaki, J.; Oya, A. A New Role for Phosphorus in Graphitization of Phenolic Resin. Carbon 1999, 37, 261–267. [Google Scholar] [CrossRef]
- Fouquet, M.; Telg, H.; Maultzsch, J.; Wu, Y.; Chandra, B.; Hone, J.; Heinz, T.F.; Thomsen, C. Longitudinal Optical Phonons in Metallic and Semiconducting Carbon Nanotubes. Phys. Rev. Lett. 2009, 102, 075501. [Google Scholar] [CrossRef]
- Hennrich, F.; Krupke, R.; Lebedkin, S.; Arnold, K.; Fischer, R.; Resasco, D.E.; Kappes, M.M. Raman Spectroscopy of Individual Single-Walled Carbon Nanotubes from Various Sources. J. Phys. Chem. B 2005, 109, 10567–10573. [Google Scholar] [CrossRef]
- Kharlamova, M.V.; Kramberger, C.; Domanov, O.; Mittelberger, A.; Saito, T.; Yanagi, K.; Pichler, T.; Eder, D. Comparison of Doping Levels of Single-Walled Carbon Nanotubes Synthesized by Arc-Discharge and Chemical Vapor Deposition Methods by Encapsulated Silver Chloride. Phys. Status Solidi Basic Res. 2018, 255, 1800178. [Google Scholar] [CrossRef]
- Impellizzeri, A.; Vorfolomeeva, A.A.; Surovtsev, N.V.; Okotrub, A.V.; Ewels, C.P.; Rybkovskiy, D. V Simulated Raman Spectra of Bulk and Low-Dimensional Phosphorus Allotropes. Phys. Chem. Chem. Phys. 2021, 23, 16611–16622. [Google Scholar] [CrossRef]
- Amaral, P.E.M.; Nieman, G.P.; Schwenk, G.R.; Jing, H.; Zhang, R.; Cerkez, E.B.; Strongin, D.; Ji, H.F. High Electron Mobility of Amorphous Red Phosphorus Thin Films. Angew. Chem.-Int. Ed. 2019, 58, 6766–6771. [Google Scholar] [CrossRef]
- Zhang, L.; Huang, H.; Zhang, B.; Gu, M.; Zhao, D.; Zhao, X.; Li, L.; Zhou, J.; Wu, K.; Cheng, Y.; et al. Structure and Properties of Violet Phosphorus and Its Phosphorene Exfoliation. Angew. Chem. 2020, 132, 1090–1096. [Google Scholar] [CrossRef]
- Winchester, R.A.L.; Whitby, M.; Shaffer, M.S.P. Synthesis of Pure Phosphorus Nanostructures. Angew. Chem.-Int. Ed. 2009, 48, 3616–3621. [Google Scholar] [CrossRef]
- Pfitzner, A. Phosphorus Remains Exciting! Angew. Chem.-Int. Ed. 2006, 45, 699–700. [Google Scholar] [CrossRef] [PubMed]
- Song, L.; Xin, S.; Xu, D.W.; Li, H.Q.; Cong, H.P.; Yu, S.H. Graphene-Wrapped Graphitic Carbon Hollow Spheres: Bioinspired Synthesis and Applications in Batteries and Supercapacitors. ChemNanoMat 2016, 2, 540–546. [Google Scholar] [CrossRef]
- Lin, J.; Xu, Y.; Wang, J.; Zhang, B.; Wang, C.; He, S.; Wu, J. Preinserted Li Metal Porous Carbon Nanotubes with High Coulombic Efficiency for Lithium-Ion Battery Anodes. Chem. Eng. J. 2019, 373, 78–85. [Google Scholar] [CrossRef]
- Wu, G.T.; Wang, C.S.; Zhang, X.B.; Yang, H.S.; Qi, Z.F.; He, P.M.; Li, W.Z. Structure and Lithium Insertion Properties of Carbon Nanotubes. J. Electrochem. Soc. 1999, 146, 1696–1701. [Google Scholar] [CrossRef]
- Landi, B.J.; Ganter, M.J.; Cress, C.D.; DiLeo, R.A.; Raffaelle, R.P. Carbon Nanotubes for Lithium Ion Batteries. Energy Environ. Sci. 2009, 2, 638–654. [Google Scholar] [CrossRef]
- Peng, C.; Chen, H.; Zhong, G.; Tang, W.; Xiang, Y.; Liu, X.; Yang, J.; Lu, C.; Yang, Y. Capacity Fading Induced by Phase Conversion Hysteresis within Alloying Phosphorus Anode. Nano Energy 2019, 58, 560–567. [Google Scholar] [CrossRef]
- Lindström, H.; Södergren, S.; Solbrand, A.; Rensmo, H.; Hjelm, J.; Hagfeldt, A.; Lindquist, S.E. Li+ Ion Insertion in TiO2 (Anatase). 1. Chronoamperometry on CVD Films and Nanoporous Films. J. Phys. Chem. B 1997, 101, 7710–7716. [Google Scholar] [CrossRef]
- Zhao, K.; Liu, F.; Niu, C.; Xu, W.; Dong, Y.; Zhang, L.; Xie, S.; Yan, M.; Wei, Q.; Zhao, D.; et al. Graphene Oxide Wrapped Amorphous Copper Vanadium Oxide with Enhanced Capacitive Behavior for High-Rate and Long-Life Lithium-Ion Battery Anodes. Adv. Sci. 2015, 2, 1500154. [Google Scholar] [CrossRef]
- Chen, C.; Wen, Y.; Hu, X.; Ji, X.; Yan, M.; Mai, L.; Hu, P.; Shan, B.; Huang, Y. Na+ Intercalation Pseudocapacitance in Graphene-Coupled Titanium Oxide Enabling Ultra-Fast Sodium Storage and Long-Term Cycling. Nat. Commun. 2015, 6, 6929. [Google Scholar] [CrossRef]
- Lesel, B.K.; Ko, J.S.; Dunn, B.; Tolbert, S.H. Mesoporous LixMn2O4 Thin Film Cathodes for Lithium-Ion Pseudocapacitors. ACS Nano 2016, 10, 7572–7581. [Google Scholar] [CrossRef]
- Yang, L.; Li, X.; He, S.; Du, G.; Yu, X.; Liu, J.; Gao, Q.; Hu, R.; Zhu, M. Mesoporous Mo2C/N-Doped Carbon Heteronanowires as High-Rate and Long-Life Anode Materials for Li-Ion Batteries. J. Mater. Chem. A 2016, 4, 10842–10849. [Google Scholar] [CrossRef]
- Muller, G.A.; Cook, J.B.; Kim, H.S.; Tolbert, S.H.; Dunn, B. High Performance Pseudocapacitor Based on 2D Layered Metal Chalcogenide Nanocrystals. Nano Lett. 2015, 15, 1911–1917. [Google Scholar] [CrossRef] [PubMed]
- Chao, D.; Zhu, C.; Yang, P.; Xia, X.; Liu, J.; Wang, J.; Fan, X.; Savilov, S.V.; Lin, J.; Fan, H.J.; et al. Array of Nanosheets Render Ultrafast and High-Capacity Na-Ion Storage by Tunable Pseudocapacitance. Nat. Commun. 2016, 7, 12122. [Google Scholar] [CrossRef] [PubMed]
- Chen, J.; Fan, X.; Ji, X.; Gao, T.; Hou, S.; Zhou, X.; Wang, L.; Wang, F.; Yang, C.; Chen, L.; et al. Intercalation of Bi Nanoparticles into Graphite Results in an Ultra-Fast and Ultra-Stable Anode Material for Sodium-Ion Batteries. Energy Environ. Sci. 2018, 11, 1218–1225. [Google Scholar] [CrossRef]
- Mathis, T.S.; Kurra, N.; Wang, X.; Pinto, D.; Simon, P.; Gogotsi, Y. Energy Storage Data Reporting in Perspective—Guidelines for Interpreting the Performance of Electrochemical Energy Storage Systems. Adv. Energy Mater. 2019, 9, 1902007. [Google Scholar] [CrossRef]
- Qian, Y.; Jiang, S.; Li, Y.; Yi, Z.; Zhou, J.; Li, T.; Han, Y.; Wang, Y.; Tian, J.; Lin, N.; et al. In Situ Revealing the Electroactivity of P-O and P-C Bonds in Hard Carbon for High-Capacity and Long-Life Li/K-Ion Batteries. Adv. Energy Mater. 2019, 9, 1901676. [Google Scholar] [CrossRef]
- Augustyn, V.; Come, J.; Lowe, M.A.; Kim, J.W.; Taberna, P.L.; Tolbert, S.H.; Abruña, H.D.; Simon, P.; Dunn, B. High-Rate Electrochemical Energy Storage through Li+ Intercalation Pseudocapacitance. Nat. Mater. 2013, 12, 518–522. [Google Scholar] [CrossRef]
- Lou, P.; Cui, Z.; Jia, Z.; Sun, J.; Tan, Y.; Guo, X. Monodispersed Carbon-Coated Cubic NiP2 Nanoparticles Anchored on Carbon Nanotubes as Ultra-Long-Life Anodes for Reversible Lithium Storage. ACS Nano 2017, 11, 3705–3715. [Google Scholar] [CrossRef]
- Sun, L.; Zhang, Y.; Zhang, D.; Liu, J.; Zhang, Y. Amorphous Red Phosphorus Anchored on Carbon Nanotubes as High Performance Electrodes for Lithium Ion Batteries. Nano Res. 2018, 11, 2733–2745. [Google Scholar] [CrossRef]
- Zhang, L.; Yu, H.; Wang, Y. Scalable Method for Preparing Multi-Walled Carbon Nanotube Supported Red Phosphorus Nanoparticles as Anode Material in Lithium-Ion Batteries. Mater. Lett. 2022, 312, 131638. [Google Scholar] [CrossRef]
- Smajic, J.; Alazmi, A.; Alzahrani, A.; Emwas, A.H.; Costa, P.M.F.J. The Interaction of Red Phosphorus with Supporting Carbon Additives in Lithium-Ion Battery Anodes. J. Electroanal. Chem. 2022, 925, 116852. [Google Scholar] [CrossRef]
- Stolyarova, S.G.; Okotrub, A.V.; Shubin, Y.V.; Asanov, I.P.; Galitsky, A.A.; Bulusheva, L.G. Effect of Hot Pressing on the Electrochemical Performance of Multilayer Holey Graphene Materials in Li-Ion Batteries. Phys. Status Solidi Basic Res. 2018, 255, 1800202. [Google Scholar] [CrossRef]
- Bulusheva, L.G.; Stolyarova, S.G.; Chuvilin, A.L.; Shubin, Y.V.; Asanov, I.P.; Sorokin, A.M.; Mel’Gunov, M.S.; Zhang, S.; Dong, Y.; Chen, X.; et al. Creation of Nanosized Holes in Graphene Planes for Improvement of Rate Capability of Lithium-Ion Batteries. Nanotechnology 2018, 29, 134001. [Google Scholar] [CrossRef] [PubMed]









Disclaimer/Publisher’s Note: The statements, opinions and data contained in all publications are solely those of the individual author(s) and contributor(s) and not of MDPI and/or the editor(s). MDPI and/or the editor(s) disclaim responsibility for any injury to people or property resulting from any ideas, methods, instructions or products referred to in the content. |
© 2022 by the authors. Licensee MDPI, Basel, Switzerland. This article is an open access article distributed under the terms and conditions of the Creative Commons Attribution (CC BY) license (https://creativecommons.org/licenses/by/4.0/).
Share and Cite
Vorfolomeeva, A.A.; Stolyarova, S.G.; Asanov, I.P.; Shlyakhova, E.V.; Plyusnin, P.E.; Maksimovskiy, E.A.; Gerasimov, E.Y.; Chuvilin, A.L.; Okotrub, A.V.; Bulusheva, L.G. Single-Walled Carbon Nanotubes with Red Phosphorus in Lithium-Ion Batteries: Effect of Surface and Encapsulated Phosphorus. Nanomaterials 2023, 13, 153. https://doi.org/10.3390/nano13010153
Vorfolomeeva AA, Stolyarova SG, Asanov IP, Shlyakhova EV, Plyusnin PE, Maksimovskiy EA, Gerasimov EY, Chuvilin AL, Okotrub AV, Bulusheva LG. Single-Walled Carbon Nanotubes with Red Phosphorus in Lithium-Ion Batteries: Effect of Surface and Encapsulated Phosphorus. Nanomaterials. 2023; 13(1):153. https://doi.org/10.3390/nano13010153
Chicago/Turabian StyleVorfolomeeva, Anna A., Svetlana G. Stolyarova, Igor P. Asanov, Elena V. Shlyakhova, Pavel E. Plyusnin, Evgeny A. Maksimovskiy, Evgeny Yu. Gerasimov, Andrey L. Chuvilin, Alexander V. Okotrub, and Lyubov G. Bulusheva. 2023. "Single-Walled Carbon Nanotubes with Red Phosphorus in Lithium-Ion Batteries: Effect of Surface and Encapsulated Phosphorus" Nanomaterials 13, no. 1: 153. https://doi.org/10.3390/nano13010153
APA StyleVorfolomeeva, A. A., Stolyarova, S. G., Asanov, I. P., Shlyakhova, E. V., Plyusnin, P. E., Maksimovskiy, E. A., Gerasimov, E. Y., Chuvilin, A. L., Okotrub, A. V., & Bulusheva, L. G. (2023). Single-Walled Carbon Nanotubes with Red Phosphorus in Lithium-Ion Batteries: Effect of Surface and Encapsulated Phosphorus. Nanomaterials, 13(1), 153. https://doi.org/10.3390/nano13010153

