Lignin-Containing Cellulose Nanofibrils from TEMPO-Mediated Oxidation of Date Palm Waste: Preparation, Characterization, and Reinforcing Potential
Abstract
1. Introduction
2. Materials and Methods
2.1. Materials
2.2. Preparation of LCNFs
2.2.1. Biomass Preparation
2.2.2. TEMPO-Mediated Oxidation of the DPWs
2.2.3. High-Pressure Homogenization (HPH)
2.3. Carboxyl Content (CC)
2.4. Chemical Composition
2.5. Transmission Electron Microscopy (TEM)
2.6. Atomic Force Microscopy (AFM)
2.7. Fourier-Transform Infrared (FTIR) Spectroscopy
2.8. Thermogravimetric Analysis (TGA)
2.9. Particle Size and ζ-Potential Measurements
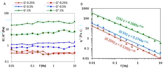
2.10. Rheological Measurements
2.11. Nanocomposite Processing
2.12. Tensile Tests
2.13. Transmittance of the Films
2.14. Dynamic Mechanical Analysis (DMA)
2.15. Contact Angle Measurement
2.16. X-ray Diffraction (XRD)
3. Results and Discussion
3.1. Chemical Composition of the TEMPO-Mediated Oxidized DPWs
3.2. LCNFs from TEMPO-Oxidized DPWs
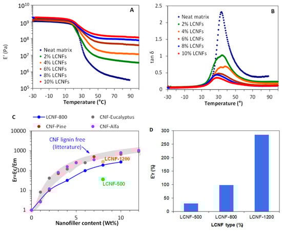
3.3. Mechanical and Thermal Properties of Nanocomposite Films
4. Conclusions
Supplementary Materials
Author Contributions
Funding
Institutional Review Board Statement
Informed Consent Statement
Data Availability Statement
Acknowledgments
Conflicts of Interest
References
- Manickavasagan, A.; Essa, M.M.; Sukumar, E. Dates: Production, Processing, Food, and Medicinal Values; CRC Press: Boca Raton, FL, USA, 2012; ISBN 1439849455. [Google Scholar]
- FAOSTAT Crops Database. Available online: http://www.fao.org/faostat/en/#data/QC (accessed on 17 September 2022).
- Chihaoui, B.; Tarrés, Q.; Delgado-Aguilar, M.; Mutjé, P.; Boufi, S. Lignin-Containing Cellulose Fibrils as Reinforcement of Plasticized PLA Biocomposites Produced by Melt Processing Using PEG as a Carrier. Ind. Crops Prod. 2022, 175, 114287. [Google Scholar] [CrossRef]
- Faiad, A.; Alsmari, M.; Ahmed, M.M.Z.; Bouazizi, M.L.; Alzahrani, B.; Alrobei, H. Date Palm Tree Waste Recycling: Treatment and Processing for Potential Engineering Applications. Sustainability 2022, 14, 1134. [Google Scholar] [CrossRef]
- Zrelli, A.; Elfalleh, W.; Ghorbal, A.; Chaouachi, B. Valorization of Date Palm Wastes by Lignin Extraction to Be Used for the Improvement of Polymeric Membrane Characteristics. Period. Polytech. Chem. Eng. 2022, 66, 70–81. [Google Scholar] [CrossRef]
- Khiari, R.; Mhenni, M.F.; Belgacem, M.N.; Mauret, E. Chemical Composition and Pulping of Date Palm Rachis and Posidonia Oceanica–A Comparison with Other Wood and Non-Wood Fibre Sources. Bioresour. Technol. 2010, 101, 775–780. [Google Scholar] [CrossRef] [PubMed]
- Shaikh, H.M.; Anis, A.; Poulose, A.M.; Al-Zahrani, S.M.; Madhar, N.A.; Alhamidi, A.; Alam, M.A. Isolation and Characterization of Alpha and Nanocrystalline Cellulose from Date Palm (Phoenix dactylifera L.) Trunk Mesh. Polymers 2021, 13, 1893. [Google Scholar] [CrossRef] [PubMed]
- AL-Oqla, F.M.; Alothman, O.Y.; Jawaid, M.; Sapuan, S.M.; Es-Saheb, M.H. Processing and Properties of Date Palm Fibers and Its Composites. In Biomass and Bioenergy; Springer: Berlin/Heidelberg, Germany, 2014; pp. 1–25. [Google Scholar]
- Tarrés, Q.; Ehman, N.V.; Vallejos, M.E.; Area, M.C.; Delgado-Aguilar, M.; Mutjé, P. Lignocellulosic Nanofibers from Triticale Straw: The Influence of Hemicelluloses and Lignin in Their Production and Properties. Carbohydr. Polym. 2017, 163, 20–27. [Google Scholar] [CrossRef]
- Jiang, J.; Chen, H.; Liu, L.; Yu, J.; Fan, Y.; Saito, T.; Isogai, A. Influence of Chemical and Enzymatic TEMPO-Mediated Oxidation on Chemical Structure and Nanofibrillation of Lignocellulose. ACS Sustain. Chem. Eng. 2020, 8, 14198–14206. [Google Scholar] [CrossRef]
- Ferrer, A.; Salas, C.; Rojas, O.J. Physical, Thermal, Chemical and Rheological Characterization of Cellulosic Microfibrils and Microparticles Produced from Soybean Hulls. Ind. Crops Prod. 2016, 84, 337–343. [Google Scholar] [CrossRef]
- Rojo, E.; Peresin, M.S.; Sampson, W.W.; Hoeger, I.C.; Vartiainen, J.; Laine, J.; Rojas, O.J. Comprehensive Elucidation of the Effect of Residual Lignin on the Physical, Barrier, Mechanical and Surface Properties of Nanocellulose Films. Green Chem. 2015, 17, 1853–1866. [Google Scholar] [CrossRef]
- Spence, K.L.; Venditti, R.A.; Rojas, O.J.; Habibi, Y.; Pawlak, J.J. The Effect of Chemical Composition on Microfibrillar Cellulose Films from Wood Pulps: Water Interactions and Physical Properties for Packaging Applications. Cellulose 2010, 17, 835–848. [Google Scholar] [CrossRef]
- Serra-Parareda, F.; Aguado, R.; Tarrés, Q.; Mutjé, P.; Delgado-Aguilar, M. Chemical-Free Production of Lignocellulosic Micro-and Nanofibers from High-Yield Pulps: Synergies, Performance, and Feasibility. J. Clean. Prod. 2021, 313, 127914. [Google Scholar] [CrossRef]
- Abdul Khalil, H.P.S.; Davoudpour, Y.; Islam, M.N.; Mustapha, A.; Sudesh, K.; Dungani, R.; Jawaid, M. Production and Modification of Nanofibrillated Cellulose Using Various Mechanical Processes: A Review. Carbohydr. Polym. 2014, 99, 649–665. [Google Scholar] [CrossRef]
- Serra-Parareda, F.; Tarrés, Q.; Sanchez-Salvador, J.L.; Campano, C.; Pèlach, M.À.; Mutjé, P.; Negro, C.; Delgado-Aguilar, M. Tuning Morphology and Structure of Non-Woody Nanocellulose: Ranging between Nanofibers and Nanocrystals. Ind. Crops Prod. 2021, 171, 113877. [Google Scholar] [CrossRef]
- Sun, S.; Sun, S.; Cao, X.; Sun, R. The Role of Pretreatment in Improving the Enzymatic Hydrolysis of Lignocellulosic Materials. Bioresour. Technol. 2016, 199, 49–58. [Google Scholar] [CrossRef]
- Varanasi, S.; Henzel, L.; Sharman, S.; Batchelor, W.; Garnier, G. Producing Nanofibres from Carrots with a Chemical-Free Process. Carbohydr. Polym. 2018, 184, 307–314. [Google Scholar] [CrossRef]
- Berglund, L.; Breedveld, L.; Oksman, K. Toward Eco-Efficient Production of Natural Nanofibers from Industrial Residue: Eco-Design and Quality Assessment. J. Clean. Prod. 2020, 255, 120274. [Google Scholar] [CrossRef]
- Moser, C.; Lindström, M.E.; Henriksson, G. Toward Industrially Feasible Methods for Following the Process of Manufacturing Cellulose Nanofibers. Bioresources 2015, 10, 2360–2375. [Google Scholar] [CrossRef]
- Henriksson, M.; Henriksson, G.; Berglund, L.A.; Lindström, T. An Environmentally Friendly Method for Enzyme-Assisted Preparation of Microfibrillated Cellulose (MFC) Nanofibers. Eur. Polym. J. 2007, 43, 3434–3441. [Google Scholar] [CrossRef]
- Huang, C.; Lin, W.; Zheng, Y.; Zhao, X.; Ragauskas, A.; Meng, X. Evaluating the Mechanism of Milk Protein as an Efficient Lignin Blocker for Boosting the Enzymatic Hydrolysis of Lignocellulosic Substrates. Green Chem. 2022, 24, 5263–5279. [Google Scholar] [CrossRef]
- Huang, C.; Li, R.; Tang, W.; Zheng, Y.; Meng, X. Improve Enzymatic Hydrolysis of Lignocellulosic Biomass by Modifying Lignin Structure via Sulfite Pretreatment and Using Lignin Blockers. Fermentation 2022, 8, 558. [Google Scholar] [CrossRef]
- Espinosa, E.; Domínguez-Robles, J.; Sánchez, R.; Tarrés, Q.; Rodríguez, A. The Effect of Pre-Treatment on the Production of Lignocellulosic Nanofibers and Their Application as a Reinforcing Agent in Paper. Cellulose 2017, 24, 2605–2618. [Google Scholar] [CrossRef]
- Fontes, A.M.; Pirich, C.L.; Tanobe, G.R.O.A.; Tarrés, Q.; Delgado-Aguilar, M.; Ramos, L.P. Micro/Nanostructured Lignonanocellulose Obtained from Steam-Exploded Sugarcane Bagasse. Cellulose 2021, 28, 10163–10182. [Google Scholar] [CrossRef]
- Tibolla, H.; Pelissari, F.M.; Menegalli, F.C. Cellulose Nanofibers Produced from Banana Peel by Chemical and Enzymatic Treatment. LWT-Food Sci. Technol. 2014, 59, 1311–1318. [Google Scholar] [CrossRef]
- Gu, F.; Wang, W.; Cai, Z.; Xue, F.; Jin, Y.; Zhu, J.Y. Water Retention Value for Characterizing Fibrillation Degree of Cellulosic Fibers at Micro and Nanometer Scales. Cellulose 2018, 25, 2861–2871. [Google Scholar] [CrossRef]
- Isogai, A.; Saito, T.; Fukuzumi, H. TEMPO-Oxidized Cellulose Nanofiber. Nanoscale 2011, 3, 71–85. [Google Scholar] [CrossRef]
- Saito, T.; Isogai, A. TEMPO-Mediated Oxidation of Native Cellulose. The Effect of Oxidation Conditions on Chemical and Crystal Structures of the Water-Insoluble Fractions. Biomacromolecules 2004, 5, 1983–1989. [Google Scholar] [CrossRef]
- Zhang, S.; Zhang, F.; Jin, L.; Liu, B.; Mao, Y.; Liu, Y.; Huang, J. Preparation of Spherical Nanocellulose from Waste Paper by Aqueous NaOH/Thiourea. Cellulose 2019, 26, 5177–5185. [Google Scholar] [CrossRef]
- Bian, H.; Gao, Y.; Wang, R.; Liu, Z.; Wu, W.; Dai, H. Contribution of Lignin to the Surface Structure and Physical Performance of Cellulose Nanofibrils Film. Cellulose 2018, 25, 1309–1318. [Google Scholar] [CrossRef]
- Rodríguez, A.; Moral, A.; Serrano, L.; Labidi, J.; Jiménez, L. Rice Straw Pulp Obtained by Using Various Methods. Bioresour. Technol. 2008, 99, 2881–2886. [Google Scholar] [CrossRef]
- Pennells, J.; Godwin, I.D.; Amiralian, N.; Martin, D.J. Trends in the Production of Cellulose Nanofibers from Non-Wood Sources. Cellulose 2020, 27, 575–593. [Google Scholar] [CrossRef]
- Besbes, I.; Alila, S.; Boufi, S. Nanofibrillated Cellulose from TEMPO-Oxidized Eucalyptus Fibres: Effect of the Carboxyl Content. Carbohydr. Polym. 2011, 84, 975–983. [Google Scholar] [CrossRef]
- Wise, L.E.; Karl, H.L. Cellulose and Hemicellulose in Pulp and Paper Science and Technology; Earl, L.C., Ed.; McGraw Hill Book, Co.: New York, NY, USA, 1962; Volume 1. [Google Scholar]
- Okita, Y.; Saito, T.; Isogai, A. TEMPO-Mediated Oxidation of Softwood Thermomechanical Pulp. Holzforschung 2009, 63, 529–535. [Google Scholar] [CrossRef]
- Sbiai, A.; Kaddami, H.; Sautereau, H.; Maazouz, A.; Fleury, E. TEMPO-Mediated Oxidation of Lignocellulosic Fibers from Date Palm Leaves. Carbohydr. Polym. 2011, 86, 1445–1450. [Google Scholar] [CrossRef]
- Wen, Y.; Yuan, Z.; Liu, X.; Qu, J.; Yang, S.; Wang, A.; Wang, C.; Wei, B.; Xu, J.; Ni, Y. Preparation and Characterization of Lignin-Containing Cellulose Nanofibril from Poplar High-Yield Pulp via TEMPO-Mediated Oxidation and Homogenization. ACS Sustain. Chem. Eng. 2019, 7, 6131–6139. [Google Scholar] [CrossRef]
- Zhang, Y.; Wei, Y.; Qian, Y.; Zhang, M.; Zhu, P.; Chen, G. Lignocellulose Enabled Highly Transparent Nanopaper with Tunable Ultraviolet-Blocking Performance and Superior Durability. ACS Sustain. Chem. Eng. 2020, 8, 17033–17041. [Google Scholar] [CrossRef]
- Herrera, M.; Thitiwutthisakul, K.; Yang, X.; Rujitanaroj, P.; Rojas, R.; Berglund, L. Preparation and Evaluation of High-Lignin Content Cellulose Nanofibrils from Eucalyptus Pulp. Cellulose 2018, 25, 3121–3133. [Google Scholar] [CrossRef]
- Sun, X.; Wu, Q.; Ren, S.; Lei, T. Comparison of Highly Transparent All-Cellulose Nanopaper Prepared Using Sulfuric Acid and TEMPO-Mediated Oxidation Methods. Cellulose 2015, 22, 1123–1133. [Google Scholar] [CrossRef]
- Han, X.; Bi, R.; Oguzlu, H.; Takada, M.; Jiang, J.; Jiang, F.; Bao, J.; Saddler, J.N. Potential to Produce Sugars and Lignin-Containing Cellulose Nanofibrils from Enzymatically Hydrolyzed Chemi-Thermomechanical Pulps. ACS Sustain. Chem. Eng. 2020, 8, 14955–14963. [Google Scholar] [CrossRef]
- Sassi, J.-F.; Chanzy, H. Ultrastructural Aspects of the Acetylation of Cellulose. Cellulose 1995, 2, 111–127. [Google Scholar] [CrossRef]
- Khelil, R.; Jardé, E.; Cabello-Hurtado, F.; Ould-el-Hadj Khelil, A.; Esnault, M.A. Structure and Composition of the Wax of the Date Palm, Phoenix dactylifera L., from the Septentrional Sahara. Sci. Hortic. 2016, 201, 238–246. [Google Scholar] [CrossRef]
- Wang, X.; Tang, S.; Chai, S.; Wang, P.; Qin, J.; Pei, W.; Bian, H.; Jiang, Q.; Huang, C. Preparing Printable Bacterial Cellulose Based Gelatin Gel to Promote in Vivo Bone Regeneration. Carbohydr. Polym. 2021, 270, 118342. [Google Scholar] [CrossRef] [PubMed]
- Fukuzumi, H.; Saito, T.; Okita, Y.; Isogai, A. Thermal Stabilization of TEMPO-Oxidized Cellulose. Polym. Degrad. Stab. 2010, 95, 1502–1508. [Google Scholar] [CrossRef]
- Liu, Y.; Liu, M.; Yang, S.; Luo, B.; Zhou, C. Liquid Crystalline Behaviors of Chitin Nanocrystals and Their Reinforcing Effect on Natural Rubber. ACS Sustain. Chem. Eng. 2018, 6, 325–336. [Google Scholar] [CrossRef]
- Yang, M.; Zhang, X.; Guan, S.; Dou, Y.; Gao, X. Preparation of Lignin Containing Cellulose Nanofibers and Its Application in PVA Nanocomposite Films. Int. J. Biol. Macromol. 2020, 158, 1259–1267. [Google Scholar] [CrossRef] [PubMed]
- Besbes, I.; Vilar, M.R.; Boufi, S. Nanofibrillated Cellulose from Alfa, Eucalyptus and Pine Fibres: Preparation, Characteristics and Reinforcing Potential. Carbohydr. Polym. 2011, 86, 1198–1206. [Google Scholar] [CrossRef]
- Boufi, S.; Kaddami, H.; Dufresne, A. Mechanical Performance and Transparency of Nanocellulose Reinforced Polymer Nanocomposites. Macromol. Mater. Eng. 2013, 299, 560–568. [Google Scholar] [CrossRef]
- Delgado-Aguilar, M.; Oliver-Ortega, H.; Alberto Méndez, J.; Camps, J.; Espinach, F.X.X.; Mutjé, P. The Role of Lignin on the Mechanical Performance of Polylactic Acid and Jute Composites. Int. J. Biol. Macromol. 2018, 116, 299–304. [Google Scholar] [CrossRef]
- Tarrés, Q.; Oliver-Ortega, H.; Alcalà, M.; Espinach, X.X.; Mutjé, P.; Delgado-Aguilar, M. Research on the Strengthening Advantages on Using Cellulose Nanofibers as Polyvinyl Alcohol Reinforcement. Polymers 2020, 12, 974. [Google Scholar] [CrossRef]
- Benítez, A.J.; Lossada, F.; Zhu, B.; Rudolph, T.; Walther, A. Understanding Toughness in Bioinspired Cellulose Nanofibril/Polymer Nanocomposites. Biomacromolecules 2016, 17, 2417–2426. [Google Scholar] [CrossRef]
- Huang, C.; Dong, H.; Zhang, Z.; Bian, H.; Yong, Q. Procuring the Nano-Scale Lignin in Prehydrolyzate as Ingredient to Prepare Cellulose Nanofibril Composite Film with Multiple Functions. Cellulose 2020, 27, 9355–9370. [Google Scholar] [CrossRef]
- Wang, Q.; Du, H.; Zhang, F.; Zhang, Y.; Wu, M.; Yu, G.; Liu, C.; Li, B.; Peng, H. Flexible Cellulose Nanopaper with High Wet Tensile Strength, High Toughness and Tunable Ultraviolet Blocking Ability Fabricated from Tobacco Stalk: Via a Sustainable Method. J. Mater. Chem. A Mater. 2018, 6, 13021–13030. [Google Scholar] [CrossRef]








Disclaimer/Publisher’s Note: The statements, opinions and data contained in all publications are solely those of the individual author(s) and contributor(s) and not of MDPI and/or the editor(s). MDPI and/or the editor(s) disclaim responsibility for any injury to people or property resulting from any ideas, methods, instructions or products referred to in the content. |
© 2022 by the authors. Licensee MDPI, Basel, Switzerland. This article is an open access article distributed under the terms and conditions of the Creative Commons Attribution (CC BY) license (https://creativecommons.org/licenses/by/4.0/).
Share and Cite
Najahi, A.; Tarrés, Q.; Mutjé, P.; Delgado-Aguilar, M.; Putaux, J.-L.; Boufi, S. Lignin-Containing Cellulose Nanofibrils from TEMPO-Mediated Oxidation of Date Palm Waste: Preparation, Characterization, and Reinforcing Potential. Nanomaterials 2023, 13, 126. https://doi.org/10.3390/nano13010126
Najahi A, Tarrés Q, Mutjé P, Delgado-Aguilar M, Putaux J-L, Boufi S. Lignin-Containing Cellulose Nanofibrils from TEMPO-Mediated Oxidation of Date Palm Waste: Preparation, Characterization, and Reinforcing Potential. Nanomaterials. 2023; 13(1):126. https://doi.org/10.3390/nano13010126
Chicago/Turabian StyleNajahi, Amira, Quim Tarrés, Pere Mutjé, Marc Delgado-Aguilar, Jean-Luc Putaux, and Sami Boufi. 2023. "Lignin-Containing Cellulose Nanofibrils from TEMPO-Mediated Oxidation of Date Palm Waste: Preparation, Characterization, and Reinforcing Potential" Nanomaterials 13, no. 1: 126. https://doi.org/10.3390/nano13010126
APA StyleNajahi, A., Tarrés, Q., Mutjé, P., Delgado-Aguilar, M., Putaux, J.-L., & Boufi, S. (2023). Lignin-Containing Cellulose Nanofibrils from TEMPO-Mediated Oxidation of Date Palm Waste: Preparation, Characterization, and Reinforcing Potential. Nanomaterials, 13(1), 126. https://doi.org/10.3390/nano13010126

