Flexible and Transparent Electrode Based on Ag-Nanowire Embedded Colorless Poly(amide-imide)
Abstract
:1. Introduction
2. Materials and Methods
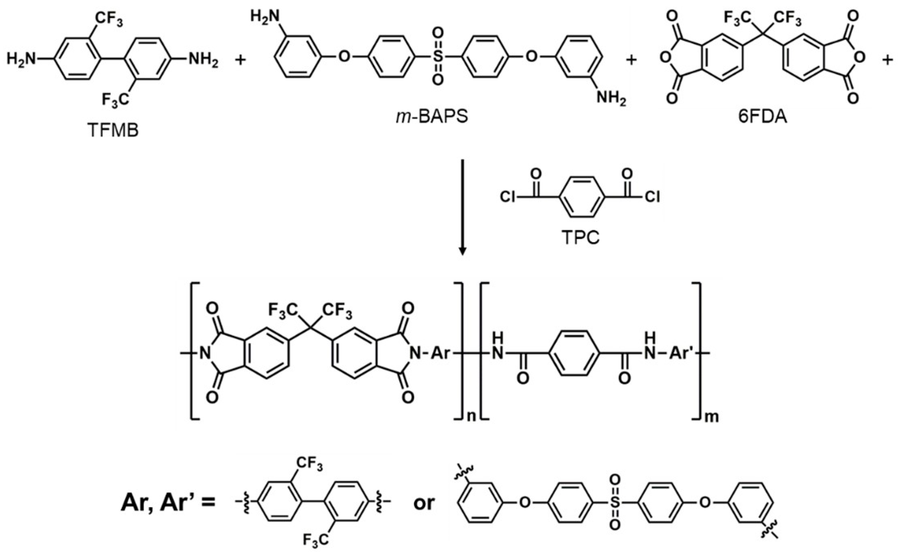
2.1. Material Preparation
2.2. Analytical Methods
2.3. GCA/AgNW/GCA/cPAI Electrode Fabrication Process
2.4. Pt/PVA-GO/PEDOT:PSS/GCA/AgNW/GCA/cPAI Memory Fabrication
3. Results and Discussion
4. Conclusions
Author Contributions
Funding
Data Availability Statement
Conflicts of Interest
References
- Vossen, J.L.; Chaudhari, P.; Raether, H. Physics of Thin Films; Academic Press: New York, NY, USA, 1977; Volume 9. [Google Scholar]
- Jiang, C.Y.; Sun, X.W.; Zhao, D.W.; Kyaw, A.K.K.; Li, Y.N. Low work function metal modified ITO as cathode for inverted polymer solar cells. Sol. Energy Mater Sol. Cells 2010, 94, 1618–1621. [Google Scholar] [CrossRef]
- Hecht, D.S.; Hu, L.; Irvin, G. Emerging transparent electrodes based on thin films of carbon nanotubes, graphene, and metallic nanostructures. Adv. Mater. 2011, 23, 1482–1513. [Google Scholar] [CrossRef] [PubMed]
- Chopra, K.; Major, S.; Pandya, D. Transparent conductors—A status review. Thin Solid Films 1983, 102, 1–46. [Google Scholar] [CrossRef]
- Choi, J.-Y.; Lee, J.; Jeon, J.; Im, J.; Jang, J.; Jin, S.-W.; Joung, H.; Yu, H.-C.; Nam, K.-N.; Park, H.-J.; et al. High-performance non-volatile resistive switching memory based on a polyimide/graphene oxide nanocomposite. Polym. Chem. 2020, 11, 7685–7695. [Google Scholar] [CrossRef]
- Song, Y.; Feng, G.; Wu, L.; Zhang, E.; Sun, C.; Fa, D.; Liang, Q.; Lei, S.; Yu, X.; Hu, W. A two-dimensional polymer memristor based on conformational changes with tunable resistive switching behaviours. J. Mater. Chem. C 2022, 10, 2631–2638. [Google Scholar] [CrossRef]
- Takane, S.; Noda, Y.; Toyoshima, N.; Sekitani, T. Effect of macroscale mesh design of metal nanowire networks on the conductive properties for stretchable electrodes. Appl. Phys. Lett. 2021, 118, 243102. [Google Scholar] [CrossRef]
- Kinner, L.; Bauch, M.; Wibowo, R.A.; Ligorio, G.; List-Kratochvil, E.J.W.; Dimopoulos, T. Polymer interlayers on flexible PET substrates enabling ultra-high performance, ITO-free dielectric/metal/dielectric transparent electrode. Mater. Des. 2019, 168, 107663. [Google Scholar] [CrossRef]
- Zou, J.; Li, C.Z.; Chang, C.Y.; Yip, H.L.; Jen, A.K. Interfacial engineering of ultrathin metal film transparent electrode for flexible organic photovoltaic cells. Adv. Mater. 2014, 26, 3618–3623. [Google Scholar] [CrossRef]
- Lim, J.-W.; Cho, D.-Y.; Eun, K.; Choa, S.-H.; Na, S.-I.; Kim, J.; Kim, H.-K. Mechanical integrity of flexible Ag nanowire network electrodes coated on colorless PI substrates for flexible organic solar cells. Sol. Energy Mater. Sol. Cells 2012, 105, 69–76. [Google Scholar] [CrossRef]
- Hu, L.; Kim, H.S.; Lee, J.-Y.; Peumans, P.; Cui, Y. Scalable coating and properties of transparent, flexible, silver nanowire electrodes. ACS Nano 2010, 4, 2955–2963. [Google Scholar] [CrossRef]
- Choi, D.Y.; Kang, H.W.; Sung, H.J.; Kim, S.S. Annealing-free, flexible silver nanowire-polymer composite electrodes via a continuous two-step spray-coating method. Nanoscale 2013, 5, 977–983. [Google Scholar] [CrossRef] [PubMed]
- Huang, Y.; Liao, S.; Ren, J.; Khalid, B.; Peng, H.; Wu, H. A transparent, conducting tape for flexible electronics. Nano Res. 2016, 9, 917–924. [Google Scholar] [CrossRef]
- Scardaci, V.; Coull, R.; Lyons, P.E.; Rickard, D.; Coleman, J.N. Spray deposition of highly transparent, low-resistance networks of silver nanowires over large areas. Small 2011, 7, 2621–2628. [Google Scholar] [CrossRef] [PubMed]
- Holloway, K.E.; Habdas, P.; Semsarillar, N.; Burfitt, K.; de Bruyn, J.R. Spreading and fingering in spin coating. Phys Rev E Stat Nonlin Soft Matter Phys. 2007, 75, 046308. [Google Scholar] [CrossRef] [PubMed] [Green Version]
- Lawrence, C.J. The mechanics of spin coating of polymer films. Phys. Fluids 1988, 31, 2786–2795. [Google Scholar] [CrossRef]
- Ouyang, J.; Guo, T.F.; Yang, Y.; Higuchi, H.; Yoshioka, M.; Nagatsuka, T. High-performance, flexible polymer light-emitting diodes fabricated by a continuous polymer coating process. Adv. Mater. 2002, 14, 915–918. [Google Scholar] [CrossRef]
- Khim, D.; Han, H.; Baeg, K.J.; Kim, J.; Kwak, S.W.; Kim, D.Y.; Noh, Y.Y. Simple bar-coating process for large-area, high-performance organic field-effect transistors and ambipolar complementary integrated circuits. Adv. Mater. 2013, 25, 4302–4308. [Google Scholar] [CrossRef]
- Tseng, S.-R.; Meng, H.-F.; Lee, K.-C.; Horng, S.-F. Multilayer polymer light-emitting diodes by blade coating method. Appl. Phys. Lett. 2008, 93, 153308. [Google Scholar] [CrossRef] [Green Version]
- Hu, S.; Han, T.; Lin, C.; Xiang, W.; Zhao, Y.; Gao, P.; Du, F.; Li, X.; Sun, Y. Enhanced Electrocatalysis via 3D Graphene Aerogel Engineered with a Silver Nanowire Network for Ultrahigh-Rate Zinc-Air Batteries. Adv. Funct. Mater. 2017, 27, 1700041. [Google Scholar] [CrossRef]
- Chou, C.-Y.; Liu, H.-S.; Liou, G.-S. Highly transparent silver nanowire–polyimide electrode as a snow-cleaning device. RSC Adv. 2016, 6, 61386–61392. [Google Scholar] [CrossRef]
- Jang, J.; Choi, J.Y.; Jeon, J.; Lee, J.; Im, J.; Lee, J.; Jin, S.W.; Park, H.J.; Lee, S.H.; Kim, D.B.; et al. Flexible Transparent Electrode Characteristics of Graphene Oxide/Cysteamine/AgNP/AgNW Structure. Nanomaterials 2020, 10, 2352. [Google Scholar] [CrossRef] [PubMed]
- Kim, T.; Kim, D.-K.; Kim, J.; Pak, J.J. Resistive switching behaviour of multi-stacked PVA/graphene oxide + PVA composite/PVA insulating layer-based RRAM devices. Semicond. Sci. Technol. 2019, 34, 065006. [Google Scholar] [CrossRef]












| Sample | Number of AgNW Spraying | Transmittance (%, @550 nm) | Sheet Resistance (Ω/sq.) | *FOM |
|---|---|---|---|---|
| GCA/AgNW(3)/GCA/cPAI | 3 | 79.40 | 73.17 | 21.13 |
| GCA/AgNW(6)/GCA/cPAI | 6 | 72.43 | 27.55 | 41.22 |
| GCA/AgNW(9)/GCA/cPAI | 9 | 70.10 | 14.65 | 68.11 |
Publisher’s Note: MDPI stays neutral with regard to jurisdictional claims in published maps and institutional affiliations. |
© 2022 by the authors. Licensee MDPI, Basel, Switzerland. This article is an open access article distributed under the terms and conditions of the Creative Commons Attribution (CC BY) license (https://creativecommons.org/licenses/by/4.0/).
Share and Cite
Lee, J.; Choi, J.-Y.; Jang, J.; Park, S.; Ji, G.; Lee, S.-H.; Kim, D.-B.; Yoon, K.-H.; Chung, C.-M.; Cho, S. Flexible and Transparent Electrode Based on Ag-Nanowire Embedded Colorless Poly(amide-imide). Nanomaterials 2022, 12, 1457. https://doi.org/10.3390/nano12091457
Lee J, Choi J-Y, Jang J, Park S, Ji G, Lee S-H, Kim D-B, Yoon K-H, Chung C-M, Cho S. Flexible and Transparent Electrode Based on Ag-Nanowire Embedded Colorless Poly(amide-imide). Nanomaterials. 2022; 12(9):1457. https://doi.org/10.3390/nano12091457
Chicago/Turabian StyleLee, Jaegun, Ju-Young Choi, Junhwan Jang, Sechang Park, Gyumin Ji, Seung-Hyun Lee, Dam-Bi Kim, Kang-Hoon Yoon, Chan-Moon Chung, and Soohaeng Cho. 2022. "Flexible and Transparent Electrode Based on Ag-Nanowire Embedded Colorless Poly(amide-imide)" Nanomaterials 12, no. 9: 1457. https://doi.org/10.3390/nano12091457
APA StyleLee, J., Choi, J.-Y., Jang, J., Park, S., Ji, G., Lee, S.-H., Kim, D.-B., Yoon, K.-H., Chung, C.-M., & Cho, S. (2022). Flexible and Transparent Electrode Based on Ag-Nanowire Embedded Colorless Poly(amide-imide). Nanomaterials, 12(9), 1457. https://doi.org/10.3390/nano12091457

