Analysis of Low-Frequency 1/f Noise Characteristics for MoTe2 Ambipolar Field-Effect Transistors
Abstract
:1. Introduction
2. Materials and Methods
3. Results
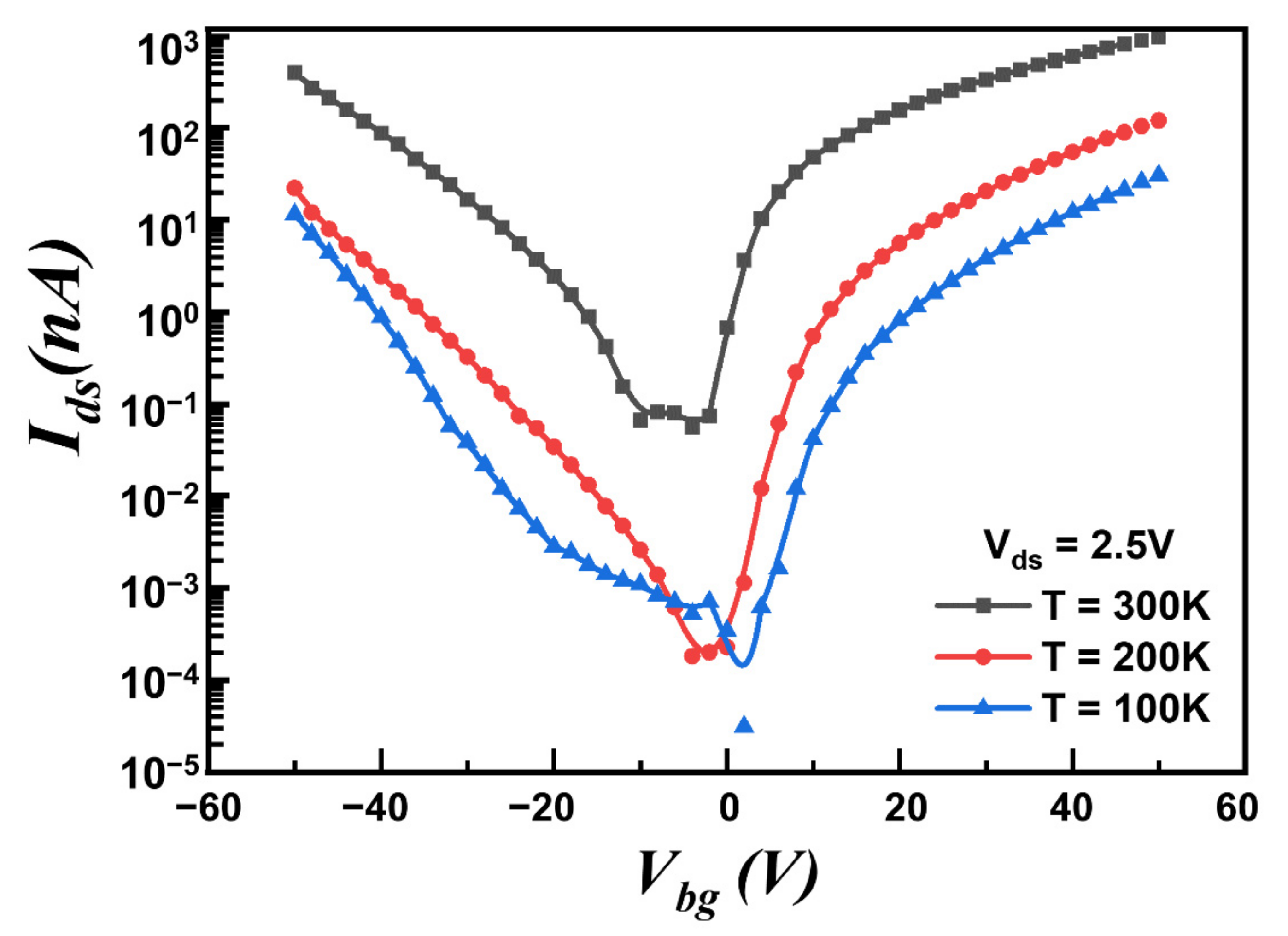
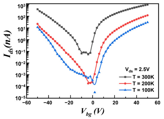
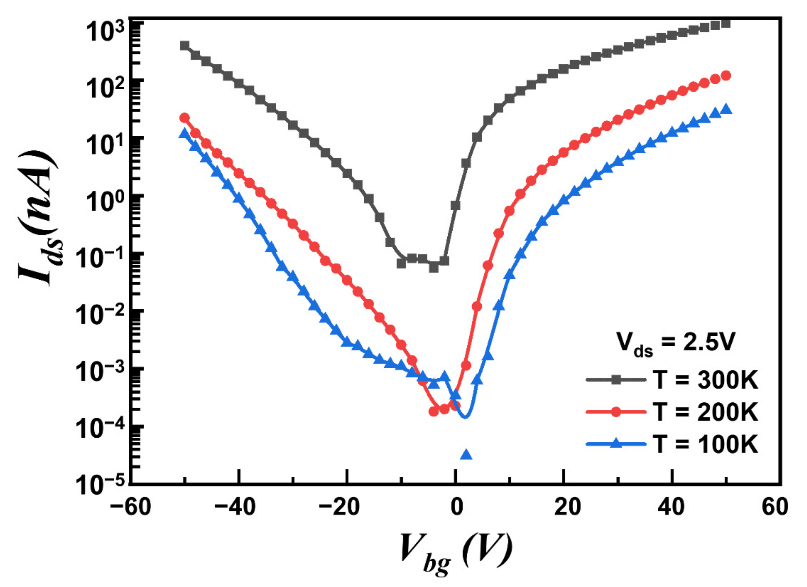
3.1. Basic Characteristics
3.2. Noise Characteristics
4. Conclusions
Author Contributions
Funding
Institutional Review Board Statement
Informed Consent Statement
Data Availability Statement
Conflicts of Interest
References
- Fiori, G.; Bonaccorso, F.; Iannaccone, G.; Palacios, T.; Neumaier, D.; Seabaugh, A.; Sanjay, K.; Colombo, L. Electronics based on two-dimensional materials. Nat. Nanotechnol. 2014, 9, 768. [Google Scholar] [CrossRef] [PubMed]
- Geim, A.K.; Novoselov, K.S. The structure of suspended graphene sheets. Nat. Mater. 2007, 6, 183. [Google Scholar] [CrossRef] [PubMed]
- Novoselov, K.S.; Jiang, D.; Schedin, F.; Booth, T.J.; Khotkevich, V.V.; Morozov, S.V.; Geim, A.K. Electric Field Effect in Atomically Thin Carbon Films. Proc. Natl. Acad. Sci. USA 2005, 102, 10451. [Google Scholar] [CrossRef] [PubMed] [Green Version]
- Radisavljevic, B.; Radenovic, A.; Brivio, J.; Giacometti, I.V.; Kis, A. Single-layer MoS2 transistors. Nat. Nanotechnol. 2011, 6, 147. [Google Scholar] [CrossRef] [PubMed]
- Yoon, J.; Park, W.; Bae, G.Y.; Kim, Y.; Jang, H.S.; Hyun, Y.; Lim, S.K.; Kahng, Y.H.; Hong, W.K.; Lee, B.H. Highly Flexible and Transparent Multilayer MoS2 Transistors with Graphene Electrodes. Small 2013, 9, 3295. [Google Scholar] [CrossRef]
- Ye, L.; Li, H.; Chen, Z.; Xu, J. Robust and stretchable indium gallium zinc oxide-based electronic textiles formed by cilia-assisted transfer printing. ACS Photonics 2016, 3, 692. [Google Scholar] [CrossRef]
- Das, S.; Robinson, J.A.; Dubey, M.; Terrones, H.; Terrones, M. Beyond Graphene: Progress in Novel Two-Dimensional Materials and van der Waals Solids. Annu. Rev. Mater. Res. 2015, 45, 1–27. [Google Scholar] [CrossRef]
- Li, L.; Yu, Y.; Ye, G.J.; Ge, Q.; Ou, X.; Wu, H.; Feng, D.L.; Chen, X.H.; Zhang, Y.B. Black phosphorus field-effect transistors. Nat. Nanotechnol. 2014, 9, 372. [Google Scholar] [CrossRef] [Green Version]
- Zhang, Y.J.; Ye, J.T.; Yomogida, Y.; Takenobu, T.; Iwasa, Y. Formation of a Stable p-n Junction in a Liquid-Gated MoS2 Ambipolar Transistor. Nano Lett. 2013, 13, 3023. [Google Scholar] [CrossRef]
- Yu, L.L.; Zubair, A.; Santos, E.J.G.; Zhang, X.; Lin, Y.X.; Zhang, Y.H.; Palacios, T. Transport Properties of a MoS2/WSe2 Heterojunction Transistor and its Potential for Application. Nano Lett. 2015, 15, 4928. [Google Scholar] [CrossRef] [Green Version]
- Lin, Y.L.; Xu, Y.; Wang, S.T.; Li, S.L.; Mahito, Y.; Alex, A.F.; Li, W.W.; Sun, H.B.; Shu, N.; Jian, W.B.; et al. Barrier inhomogeneities at vertically stacked graphene-based heterostructures. Adv. Mater. 2014, 26, 3263. [Google Scholar] [CrossRef]
- Koppens, F.H.; Mueller, T.; Avouris, P.; Ferrari, A.C.; Vitiello, M.S.; Polini, M. Photodetectors based on graphene, other two-dimensional materials and hybrid systems. Nat. Nanotechnol. 2014, 9, 780. [Google Scholar] [CrossRef]
- Pradhan, N.R.; Rhodes, D.; Feng, S.; Yan, X.; Balicas, L. Field-Effect Transistors Based on Few-Layered α-MoTe2. ACS Nano 2014, 8, 6. [Google Scholar] [CrossRef] [PubMed] [Green Version]
- Ruppert, C.; Aslan, O.B.; Heinz, T.F. Optical Properties and Band Gap of Single- and Few-Layer MoTe2 Crystals. Nano Lett. 2014, 14, 6231. [Google Scholar] [CrossRef] [PubMed]
- Fathipour, S.; Ma, N.; Hwang, W.S.; Protasenko, V.; Seabaugh, A. Exfoliated multilayer MoTe2 field-effect transistors. Appl. Phys. Lett. 2014, 105, 192101. [Google Scholar] [CrossRef] [Green Version]
- Chen, J.; Feng, Z.; Fan, S.; Shi, S.; Yue, Y.; Shen, W.; Xie, Y.; Wu, E.; Sun, C.; Liu, J. Contact Engineering of Molybdenum Ditelluride Field Effect Transistors through Rapid Thermal Annealing. ACS Appl. Mater. 2017, 9, 30107. [Google Scholar] [CrossRef]
- Qu, D.; Liu, X.; Ming, H.; Lee, C.; Yoo, W.J. Carrier-Type Modulation and Mobility Improvement of Thin MoTe2. Adv. Mater. 2017, 29, 1606433. [Google Scholar] [CrossRef]
- Larentis, S.; Fallahazad, B.; Movva, H.; Kim, K.; Rai, A.; Taniguchi, T.; Watanabe, K.; Banerjee, S.K.; Tutuc, E. Reconfigurable Complementary Monolayer MoTe2 Field-Effect Transistors for Integrated Circuits. ACS Nano 2017, 11, 4832. [Google Scholar] [CrossRef] [PubMed]
- Feng, Z.; Xie, Y.; Chen, J.; Yu, Y.; Zheng, S.; Zhang, R.; Li, Q.; Chen, X.; Sun, C.; Zhang, H. Highly sensitive MoTe2 chemical sensor with fast recovery rate through gate biasing. 2D Mater. 2017, 4, 025018. [Google Scholar] [CrossRef]
- Huang, H.; Wang, J.; Hu, W.; Liao, L.; Wang, P.; Wang, X.; Fan, G.; Chen, Y.; Wu, G.; Luo, W.; et al. Highly sensitive visible to infrared MoTe2 photodetectors enhanced by the photogating effect. Nat. Nanotechnol. 2016, 27, 445201. [Google Scholar] [CrossRef] [PubMed]
- Pal, A.N.; Ghatak, S.; Kochat, V.; Sneha, E.S.; Ghosh, A. Microscopic Mechanism of 1/f Noise in Graphene: Role of Energy Band Dispersion. ACS Nano 2011, 5, 2075. [Google Scholar] [CrossRef] [PubMed]
- Ghibaudo, G. Ultimately Thin Double-Gate SOI MOSFETs. SPIE 2003, 5113, 13. [Google Scholar]
- Hooge, F.N. 1/f noise sources. IEEE Trans. Electron Devices 1994, 41, 1926. [Google Scholar] [CrossRef] [Green Version]
- Lin, Y.F.; Xu, Y.; Suen, Y.W.; Yamamoto, M.; Nakaharai, S.; Ueno, K.; Tsukagoshi, K. Origin of Noise in Layered MoTe2 Transistors and its Possible Use for Environmental Sensors. Adv. Mater. 2015, 27, 6612. [Google Scholar] [CrossRef] [PubMed]
- Sangwan, V.K.; Arnold, H.N.; Jariwala, D.; Marks, T.J.; Lauhon, L.J.; Hersam, M.C. Low-Frequency Electronic Noise in Single-Layer MoS2 Transistors. Nano Lett. 2013, 13, 4351. [Google Scholar] [CrossRef] [Green Version]
- Cheng, Z.; Li, Q.; Li, Z.; Zhou, Q.; Fang, Y. Suspended Graphene Sensors with Improved Signal and Reduced Noise. Nano Lett. 2010, 10, 1864. [Google Scholar] [CrossRef]
- Renteria, J.; Samnakay, R.; Rumyantsev, S.L.; Jiang, C.; Goli, P.; Shur, M.S.; Balandin, A.A. Low-frequency 1/f noise in MoS2 transistors: Relative contributions of the channel and contacts. Appl. Phys. Lett. 2014, 104, 153104. [Google Scholar] [CrossRef] [Green Version]
- Rumyantsev, S.; Liu, G.; Stillman, W.; Shur, M.; Balandin, A.A. Electrical and noise characteristics of graphene field-effect transistors: Ambient effects, noise sources and physical mechanisms. J. Phys. 2010, 22, 395302. [Google Scholar] [CrossRef] [Green Version]
- Pellegrini, B. 1/f noise in graphene. Eur. Phys. J. B 2013, 86, 373. [Google Scholar] [CrossRef] [Green Version]
- Kumar, C.; Kuiri, M.; Jung, J.; Das, T.; Das, A. Tunability of 1/f Noise at Multiple Dirac Cones in hBN Encapsulated Graphene Devices. Nano Lett. 2016, 6, 1042. [Google Scholar]
- Levinshtein, M.E.; Pascal, F.; Contreras, S.; Knap, W.; Rumyantsev, S.L.; Gaska, R.; Yang, J.W.; Shur, M.S. AlGaN/GaN high electron mobility field effect transistors with low 1/f noise. Appl. Phys. Lett. 1998, 72, 3053. [Google Scholar] [CrossRef]
- Li, X.F.; Du, Y.C.; Si, M.W.; Yang, L.M.; Li, S.C.; Li, T.Y.; Xiong, X.; Ye, P.D.; Wu, Y.Q. Three-layer phosphorene-metal interfaces. Nanoscale 2016, 8, 3572. [Google Scholar] [CrossRef] [PubMed]
- Xie, X.X.; Sarkar, D.; Liu, W.; Kang, J.; Banerjee, K. A subthermionic tunnel field-effect transistor with an atomically thin channel. ACS Nano 2014, 8, 5633. [Google Scholar] [CrossRef]
- Ji, H.; Joo, M.K.; Yun, Y.; Park, J.H.; Lee, G.; Moon, B.H.; Yi, H.; Suh, D.; Lim, S.C. Suppression of Interfacial Current Fluctuation in MoTe2 Transistors with Different Dielectrics. ACS Appl. Mater. Interfaces 2016, 8, 19082. [Google Scholar] [CrossRef] [PubMed]
- Balandin, A.A. Two-dimensional phonon transport in graphene. Nat. Nanotechnol. 2013, 8, 549. [Google Scholar] [CrossRef] [PubMed]
- Kochat, V.; Tiwary, C.S.; Biswas, T.; Ramalingam, G.; Hsieh, K.; Chattopadhyay, K.; Raghavan, S.; Jain, M.; Ghosh, A. Magnitude and Origin of Electrical Noise at Individual Grain Boundaries in Graphene. Nano Lett. 2016, 16, 562. [Google Scholar] [CrossRef]
- Lin, Y.M.; Avouris, P. Electrical transport and 1/f noise in semiconducting carbon nanotubes. Nano Lett. 2008, 8, 2119. [Google Scholar] [CrossRef] [Green Version]
- Kim, J.K.; Song, Y.; Kim, T.Y.; Cho, K.; Pak, J.; Choi, Y.B.; Shin, J.; Chung, S.; Lee, T. Protective effects of triple fermented barley extract (FBe) on indomethacin-induced gastric mucosal damage in rats. Nat. Nanotechnol. 2017, 28, 47LT01. [Google Scholar] [CrossRef]
- Yan, S.L.; Xie, Z.J.; Chen, J.H.; Taniguchi, T.; Watanabe, K. Electrically Tunable Energy Bandgap in Dual-Gated Ultra-Thin Black Phosphorus Field Effect Transistors. Chin. Phys. B 2017, 34, 047304. [Google Scholar] [CrossRef] [Green Version]
- Delker, C.J.; Zi, Y.; Yang, C.; Janes, D.B. Current and Noise Properties of InAs Nanowire Transistors with Asymmetric Contacts Induced by Gate Overlap. IEEE Trans. Electron Devices 2013, 60, 2900. [Google Scholar] [CrossRef]
- Shklovskii, B. Dimensional quantization in a-Si:H quantum-well structures: The alloy model. Phys. Rev. B 2003, 67, 045201. [Google Scholar] [CrossRef] [Green Version]
- Qiu, H.; Xu, T.; Wang, Z.L.; Ren, W.; Nan, H.Y.; Ni, Z.H.; Chen, Q.; Yuan, S.J.; Miao, F.; Song, F.Q.; et al. Modulating the properties of MoS2 by plasma thinning and defect engineering. Nat. Commun. 2013, 4, 2642. [Google Scholar] [CrossRef] [PubMed]
- Ghatak, S.; Pal, A.N.; Ghosh, A. Nature of Electronic States in Atomically Thin MoS2 Field-Effect Transistors. ACS Nano 2011, 5, 7707. [Google Scholar] [CrossRef] [PubMed] [Green Version]
- Ishigami, M.; Chen, J.H.; Williams, E.D.; Tobias, D.; Chen, T.F.; Fuhrer, M.S. Hooge’s constant for carbon nanotube field effect transistors. Appl. Phys. Lett. 2006, 88, 203116. [Google Scholar] [CrossRef] [Green Version]
- Deen, M.J.; Marinov, O.; Holdcroft, S.; Woods, W. Low-frequency noise in polymer transistors. IEEE Trans. Electron Devices 2001, 48, 1688. [Google Scholar] [CrossRef]








Publisher’s Note: MDPI stays neutral with regard to jurisdictional claims in published maps and institutional affiliations. |
© 2022 by the authors. Licensee MDPI, Basel, Switzerland. This article is an open access article distributed under the terms and conditions of the Creative Commons Attribution (CC BY) license (https://creativecommons.org/licenses/by/4.0/).
Share and Cite
Zhang, B.; Hu, C.; Xin, Y.; Li, Y.; Xie, Y.; Xing, Q.; Guo, Z.; Xue, Z.; Li, D.; Zhang, G.; et al. Analysis of Low-Frequency 1/f Noise Characteristics for MoTe2 Ambipolar Field-Effect Transistors. Nanomaterials 2022, 12, 1325. https://doi.org/10.3390/nano12081325
Zhang B, Hu C, Xin Y, Li Y, Xie Y, Xing Q, Guo Z, Xue Z, Li D, Zhang G, et al. Analysis of Low-Frequency 1/f Noise Characteristics for MoTe2 Ambipolar Field-Effect Transistors. Nanomaterials. 2022; 12(8):1325. https://doi.org/10.3390/nano12081325
Chicago/Turabian StyleZhang, Bing, Congzhen Hu, Youze Xin, Yaoxin Li, Yiyun Xie, Qian Xing, Zhuoqi Guo, Zhongming Xue, Dan Li, Guohe Zhang, and et al. 2022. "Analysis of Low-Frequency 1/f Noise Characteristics for MoTe2 Ambipolar Field-Effect Transistors" Nanomaterials 12, no. 8: 1325. https://doi.org/10.3390/nano12081325
APA StyleZhang, B., Hu, C., Xin, Y., Li, Y., Xie, Y., Xing, Q., Guo, Z., Xue, Z., Li, D., Zhang, G., Geng, L., Ke, Z., & Wang, C. (2022). Analysis of Low-Frequency 1/f Noise Characteristics for MoTe2 Ambipolar Field-Effect Transistors. Nanomaterials, 12(8), 1325. https://doi.org/10.3390/nano12081325

