Electrocatalytic Reduction of CO2 in Water by a Palladium-Containing Metallopolymer
Abstract
1. Introduction
2. Experimental
2.1. Synthesis of Pd(II) 2,2-{1,2-Ethanediylbis[nitrilo(E)methylylidene]}diphenolate
2.2. Electrosynthesis of Metallopolymer on Platinum Electrode
2.3. Morphological Characterization
2.4. Electrochemical CO2 Reduction Reaction on Electrode Modified with Metallopolymer
3. Results and Discussion
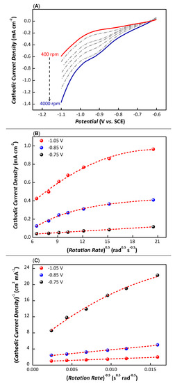
Electrochemical Reduction of Carbon Dioxide Catalyzed by a Pd(salen) Metallopolymer
4. Conclusions
- (1)
- Reductive adsorption of carbon dioxide by the central metal.
- (2)
- Radial reduction of carbon dioxide to adsorbed CO.
- (3)
- Reduction of adsorbed CO to adsorbed -CHO.
Supplementary Materials
Author Contributions
Funding
Institutional Review Board Statement
Informed Consent Statement
Data Availability Statement
Acknowledgments
Conflicts of Interest
References
- Huang, H.W.; Jia, H.H.; Liu, Z.; Gao, P.F.; Zhao, J.T.; Luo, Z.L.; Yang, J.L.; Zeng, J. Understanding of strain effects in the electrochemical reduction of CO2: Using Pd nanostructures as an ideal platform. Angew. Chem. Int. Edit. 2017, 56, 3594–3598. [Google Scholar] [CrossRef]
- Chu, S.; Majumdar, A. Opportunities and challenges for a sustainable energy future. Nature 2012, 488, 294–303. [Google Scholar] [CrossRef] [PubMed]
- Kortlever, R.; Peters, I.; Koper, S.; Koper, M.T.M. Electrochemical CO2 Reduction to Formic Acid at Low Overpotential and with High Faradaic Efficiency on Carbon-Supported Bimetallic Pd–Pt Nanoparticles. Acs Catal. 2015, 5, 3916–3923. [Google Scholar] [CrossRef]
- Franco, F.; Cometto, C.; Sordello, F.; Minero, C.; Nencini, L.; Fiedler, J.; Gobetto, R.; Nervi, C. Electrochemical Reduction of CO2 by M(CO)4(diimine) Complexes (M=Mo, W): Catalytic Activity Improved by 2,2′-Dipyridylamine. ChemelectroChem 2015, 2, 1372–1379. [Google Scholar] [CrossRef]
- Chen, L.J.; Guo, Z.G.; Wei, X.G.; Gallenkamp, C.; Bonin, J.; Anxolabehere-Mallart, E.; Lau, K.C.; Lau, T.C.; Robert, M. Molecular Catalysis of the Electrochemical and Photochemical Reduction of CO2 with Earth-Abundant Metal Complexes. Selective Production of CO vs HCOOH by Switching of the Metal Center. J. Am. Chem. Soc. 2015, 137, 10918–10921. [Google Scholar] [PubMed]
- Lim, R.J.; Xie, M.S.; Sk, M.A.; Lee, J.M.; Fisher, A.; Wang, X.; Lim, K.H. A review on the electrochemical reduction of CO2 in fuel cells, metal electrodes and molecular catalysts. Catal. Today 2014, 233, 169–180. [Google Scholar] [CrossRef]
- Qiao, J.L.; Liu, Y.Y.; Hong, F.; Zhang, J.J. A review of catalysts for the electroreduction of carbon dioxide to produce low-carbon fuels. Chem. Soc. Rev. 2014, 43, 631–675. [Google Scholar] [CrossRef] [PubMed]
- Lu, X.; Leung, D.Y.C.; Wang, H.Z.; Leung, M.K.H.; Xuan, J. Electrochemical Reduction of Carbon Dioxide to Formic Acid. ChemelectroChem. 2014, 1, 836–849. [Google Scholar] [CrossRef]
- Shi, C.; Chan, K.; Yoo, J.S.; Norskov, J.K. Barriers of electrochemical CO2 reduction on transition metals. Org. Process. Res. Dev. 2016, 20, 1424–1430. [Google Scholar] [CrossRef]
- Liu, C.; Cundari, T.R.; Wilson, A.K. CO2 Reduction on Transition Metal (Fe, Co, Ni, and Cu) Surfaces: In Comparison with Homogeneous Catalysis. Phys. J. Chem. C 2012, 116, 5681–5688. [Google Scholar] [CrossRef]
- Martin, C.S.; Teixeira, M.F.S. A novel Mn-containing conducting metallopolymer obtained by electropolymerization in aqueous solution of a tetranuclear oxo-bridged manganese complex. Dalton Trans. 2011, 40, 7133–7136. [Google Scholar] [CrossRef] [PubMed][Green Version]
- Martin, C.S.; Teixeira, M.F.S. Enzymeless Hydrogen Peroxide Sensor Based on Mn-containing Conducting Metallopolymer. Procedia Eng. 2012, 47, 1161–1164. [Google Scholar] [CrossRef]
- Nguyen, M.T.; Jones, R.A.; Holliday, B.J. Recent advances in the functional applications of conducting metallopolymers. Coordin. Chem. Rev. 2018, 377, 237–258. [Google Scholar] [CrossRef]
- Whittell, G.R.; Hager, M.D.; Schubert, U.S.; Manners, I. Functional soft materials from metallopolymers and metallosupramolecular polymers. Nat. Mater. 2011, 10, 176–188. [Google Scholar] [CrossRef] [PubMed]
- Nguyen, M.T.; Jones, R.A.; Holliday, B.J. Effect of conjugation length and metal-backbone interactions on charge transport properties of conducting metallopolymers. Polym. Chem. 2017, 8, 4359–4367. [Google Scholar] [CrossRef]
- Elmas, S.; Macdonald, T.J.; Skinner, W.; Andersson, M.; Nann, T. Copper Metallopolymer Catalyst for the Electrocatalytic Hydrogen Evolution Reaction (HER). Polymers 2019, 11, 110. [Google Scholar] [CrossRef] [PubMed]
- HamarThibault, S.; Moutet, J.C.; Tingry, S. Polypyrrole films containing rhodium(I) and iridium(I) complexes: Improvement in their synthesis and electrocatalytic activity in aqueous media. J. Organomet. Chem. 1997, 532, 31–37. [Google Scholar] [CrossRef]
- Elmas, S.; Beelders, W.; Bradley, S.J.; Kroon, R.; Laufersky, G.; Andersson, M.; Nann, T. Platinum terpyridine metallopolymer electrode as cost-effective replacement for bulk platinum catalysts in oxygen reduction reaction and hydrogen evolution reaction. ACS Sustain. Chem. Eng. 2017, 5, 10206–10214. [Google Scholar] [CrossRef]
- Kazemi, S.H.; Mohamadi, R. Electrochemical fabrication of a novel conducting metallopolymer nanoparticles and its electrocatalytic application. Electrochim. Acta 2013, 109, 823–827. [Google Scholar] [CrossRef]
- Kap, Z.; Ulker, E.; Nune, S.V.K.; Karadas, F. Electrocatalytic hydrogen evolution with cobalt-poly(4-vinylpyridine) metallopolymers. J. Appl. Electrochem. 2018, 48, 201–209. [Google Scholar] [CrossRef]
- Olean-Oliveira, A.; Pereira, C.F.; David-Parra, D.N.; Teixeira, M.F.S. Electrocatalytic Study of the Thin Metallopolymer Film of [2,2′-{1,2-Ethanediylbis[Nitrilo(1E)-1-Ethyl-1-Ylidene]}Diphenolate]-Nickel(II) for Ethanol Electrooxidation. ChemElectroChem 2018, 5, 3557–3565. [Google Scholar] [CrossRef]
- Oliveira, Y.A.; Olean-Oliveira, A.; Teixeira, M.F.S. Short communication: Molecular architecture based on palladium-salen complex/graphene for low potential water oxidation. J. Electroanal. Chem. 2021, 880, 114928. [Google Scholar] [CrossRef]
- Pereira, C.F.; Olean-Oliveira, A.; David-Parra, D.N.; Teixeira, M.F.S. A chemiresistor sensor based on a cobalt(salen) metallopolymer for dissolved molecular oxygen. Talanta 2018, 190, 119–125. [Google Scholar] [CrossRef] [PubMed]
- Teixeira, M.F.S.; Dadamos, T.R.L. An electrochemical sensor for dipyrone determination based on nickel-salen film modified electrode. Procedia Chem. 2009, 1, 297–300. [Google Scholar] [CrossRef]
- Dadamos, T.R.L.; Teixeira, M.F.S. Electrochemical sensor for sulfite determination based on a nanostructured copper-salen film modified electrode. Electrochim. Acta 2009, 54, 4552–4558. [Google Scholar] [CrossRef]
- Martin, C.S.; Dadamos, T.R.L.; Teixeira, M.F.S. evelopment of an electrochemical sensor for determination of dissolved oxygen by nickel-salen polymeric film modified electrode. Sens. Actuat. B-Chem. 2012, 175, 111–117. [Google Scholar] [CrossRef]
- Martin, C.S.; Machini, W.B.S.; Teixeira, M.F.S. Electropolymerization using binuclear nickel(ii) Schiff base complexes bearing N4O4 donors as supramolecular building blocks. RSC Adv. 2015, 5, 39908–39915. [Google Scholar] [CrossRef]
- Martin, C.S.; Olean-Oliveira, A.; Teixeira, M.F.S. A new polymeric thin film by using electropolymerization: Thin film of poly(phenazine-salen) obtained from 2,2′-[1,2-ethanediylbis(nitrilomethylidyne)] -bis[4-amino-phenol]. J. Electroanal. Chem. 2020, 873, 114404. [Google Scholar] [CrossRef]
- Peverari, C.R.; David-Parra, D.N.; Barsan, M.M.; Teixeira, M.F.S. Mechanistic study of the formation of multiblock pi-conjugated metallopolymer. Polyhedron 2016, 117, 415–421. [Google Scholar] [CrossRef]
- Tchepournaya, I.; Vasilieva, S.; Logvinov, S.; Timonov, A.; Amadelli, R.; Bartak, D. Electrochemical Synthesis and Characterization of Redox Polymer Nanostructures. Langmuir 2003, 19, 9005–9012. [Google Scholar] [CrossRef]
- Smirnova, E.A.; Besedina, M.A.; Karushev, M.P.; Vasil’ev, V.V.; Timonov, A.M. Photogalvanic and photovoltaic effects in systems based on metal complexes of Schiff bases. Russ. J. Phys. Chem. A+ 2016, 90, 1088–1094. [Google Scholar] [CrossRef]
- Rodyagina, T.Y.; Gaman’kov, P.V.; Dmitrieva, E.A.; Chepurnaya, I.A.; Vasil’eva, S.V.; Timonov, A.M. Structuring Redox Polymers Poly[M(Schiff)] (M = Ni, Pd; Schiff = Schiff Bases) on a Molecular Level: Methods and Results of an Investigation. Russ. J. Electrochem+ 2005, 41, 1101–1110. [Google Scholar] [CrossRef]
- Qiao, J.; Liu, Y.; Zhang, J. Electrochemical Reduction of Carbon Dioxide: Fundamentals and Technologies; CRC Press: Boca Raton, FL, USA, 2016. [Google Scholar]
- Konig, M.; Vaes, J.; Klemm, E.; Pant, D. Solvents and Supporting Electrolytes in the Electrocatalytic Reduction of CO2. Iscience 2019, 19, 135–160. [Google Scholar] [CrossRef]
- Zhang, X.L.; Guo, S.X.; Gandionco, K.A.; Bond, A.M.; Zhang, J. Electrocatalytic carbon dioxide reduction: From fundamental principles to catalyst design. Mater. Today Adv. 2020, 7, 100074. [Google Scholar] [CrossRef]
- Jiang, B.; Zhang, X.G.; Jiang, K.; Wu, D.Y.; Cai, W.B. Boosting Formate Production in Electrocatalytic CO2 Reduction over Wide Potential Window on Pd Surfaces. J. Am. Chem. Soc. 2018, 140, 2880–2889. [Google Scholar] [CrossRef]
- Dubois, M.R.; Dubois, D.L. Development of Molecular Electrocatalysts for CO2 Reduction and H2 Production/Oxidation. Acc. Chem. Res. 2009, 42, 1974–1982. [Google Scholar] [CrossRef]
- Martin, C.S.; Teixeira, M.F.S. Electrochemical Properties of Oxo–Manganese Complex Biomimicking Enzyme Active Sites and Its Electrocatalytic Application for Dopamine Determination. Electrocatalysis 2013, 4, 92–100. [Google Scholar] [CrossRef]
- Ardagh, M.A.; Abdelrahman, O.A.; Dauenhauer, P.J. Principles of Dynamic Heterogeneous Catalysis: Surface Resonance and Turnover Frequency Response. ACS Catal. 2019, 9, 6929–6937. [Google Scholar] [CrossRef]
- Teixeira, M.F.S.; Cincotto, F.H.; Raymundo-Pereira, P.A. Electrochemical investigation of the dimeric oxo-bridged ruthenium complex in aqueous solution and its incorporation within a cation-exchange polymeric film on the electrode surface for electrocatalytic activity of hydrogen peroxide oxidation. Electrochim. Acta 2011, 56, 6804–6811. [Google Scholar] [CrossRef]
- Costentin, C.; Drouet, S.; Robert, M.; Saveant, J.M. Turnover Numbers, Turnover Frequencies, and Overpotential in Molecular Catalysis of Electrochemical Reactions. Cyclic Voltammetry and Preparative-Scale Electrolysis. J. Am. Chem. Soc. 2012, 134, 11235–11242. [Google Scholar] [CrossRef]
- Perez-Sequera, A.C.; Diaz-Perez, M.A.; Serrano-Ruiz, J.C. Recent advances in the electroreduction of CO2 over heteroatom-doped carbon materials. Catalysts 2020, 10, 1179. [Google Scholar] [CrossRef]
- Nitopi, S.; Bertheussen, E.; Scott, S.B.; Liu, X.Y.; Engstfeld, A.K.; Horch, S.; Seger, B.; Stephens, I.E.L.; Chan, K.; Hahn, C.; et al. Progress and Perspectives of Electrochemical CO2 Reduction on Copper in Aqueous Electrolyte. Chem. Rev. 2019, 119, 7610–7672. [Google Scholar] [CrossRef]
- Liu, A.M.; Gao, M.F.; Ren, X.F.; Meng, F.N.; Yang, Y.N.; Gao, L.G.; Yang, Q.Y.; Ma, T.L. Current progress in electrocatalytic carbon dioxide reduction to fuels on heterogeneous catalysts. J. Mater. Chem. A 2020, 8, 3541–3562. [Google Scholar] [CrossRef]
Publisher’s Note: MDPI stays neutral with regard to jurisdictional claims in published maps and institutional affiliations. |
© 2022 by the authors. Licensee MDPI, Basel, Switzerland. This article is an open access article distributed under the terms and conditions of the Creative Commons Attribution (CC BY) license (https://creativecommons.org/licenses/by/4.0/).
Share and Cite
Teixeira, M.F.S.; Olean-Oliveira, A.; Anastácio, F.C.; David-Parra, D.N.; Cardoso, C.X. Electrocatalytic Reduction of CO2 in Water by a Palladium-Containing Metallopolymer. Nanomaterials 2022, 12, 1193. https://doi.org/10.3390/nano12071193
Teixeira MFS, Olean-Oliveira A, Anastácio FC, David-Parra DN, Cardoso CX. Electrocatalytic Reduction of CO2 in Water by a Palladium-Containing Metallopolymer. Nanomaterials. 2022; 12(7):1193. https://doi.org/10.3390/nano12071193
Chicago/Turabian StyleTeixeira, Marcos F. S., André Olean-Oliveira, Fernanda C. Anastácio, Diego N. David-Parra, and Celso X. Cardoso. 2022. "Electrocatalytic Reduction of CO2 in Water by a Palladium-Containing Metallopolymer" Nanomaterials 12, no. 7: 1193. https://doi.org/10.3390/nano12071193
APA StyleTeixeira, M. F. S., Olean-Oliveira, A., Anastácio, F. C., David-Parra, D. N., & Cardoso, C. X. (2022). Electrocatalytic Reduction of CO2 in Water by a Palladium-Containing Metallopolymer. Nanomaterials, 12(7), 1193. https://doi.org/10.3390/nano12071193