Optical Characterization and Prediction with Neural Network Modeling of Various Stoichiometries of Perovskite Materials Using a Hyperregression Method
Abstract
:1. Introduction
2. Experiment
2.1. Sample Preparation
2.1.1. Perovskite Precursor Solution Preparation:
2.1.2. Substrate Preparation:
2.1.3. Perovskite Deposition:
2.1.4. Sample Preparation for SEM Analysis:
2.2. Ellipsometry Analysis
2.3. Hyperregression Analysis
3. Results
3.1. Ellipsometry Measurement
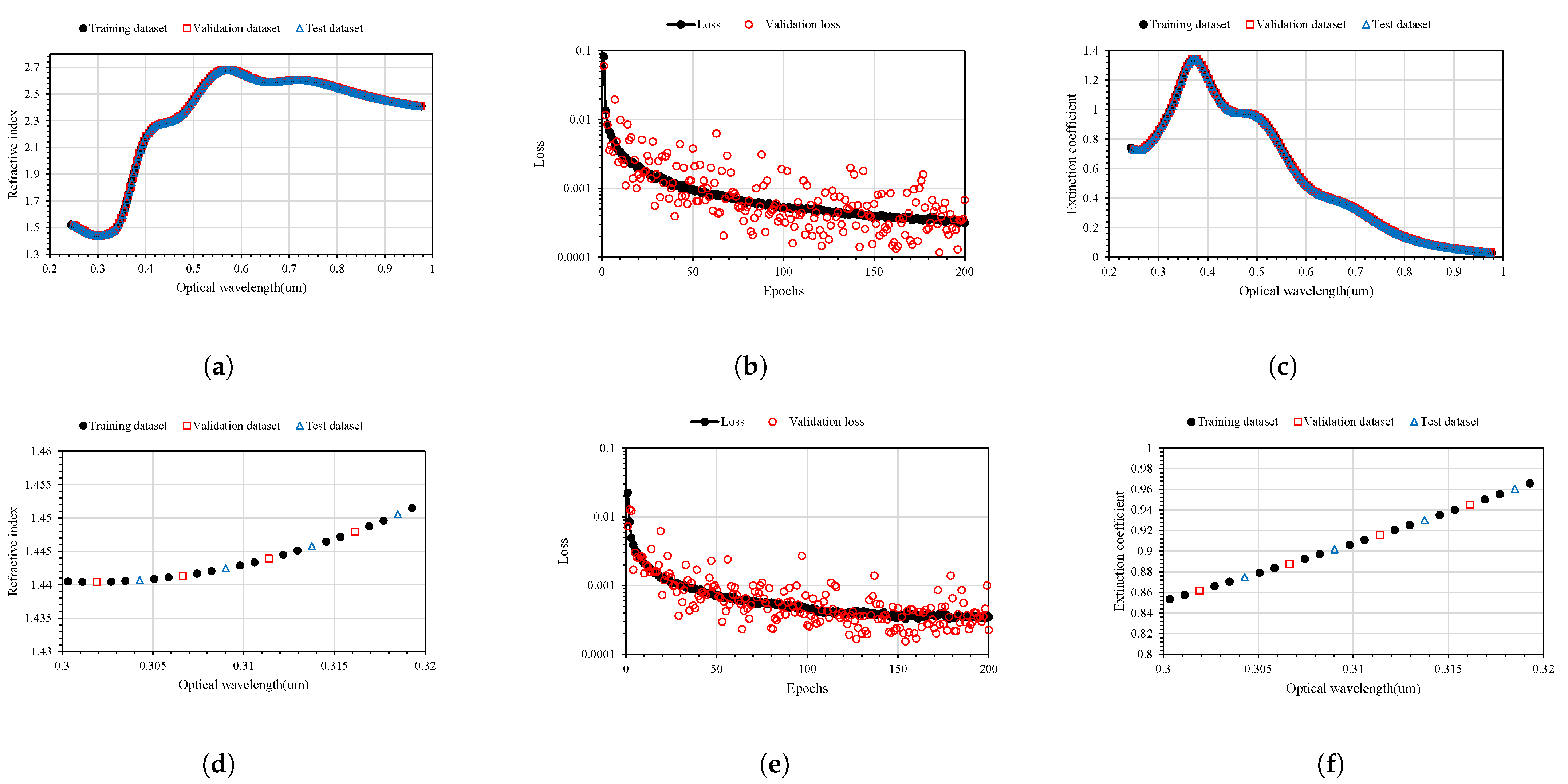
3.2. AI Training Results
4. Discussion
4.1. Ellipsometry Measurement
4.2. AI Training Results
5. Conclusions
Author Contributions
Funding
Data Availability Statement
Conflicts of Interest
Abbreviations
| ANN | Artificial Neural Network |
| MA | Methylammonium (CHNH) |
| FA | Formamidinium (CH(NH)) |
| FDTD | Finite Difference Time Domain |
| CNN | Convolutional Neural Network |
| ITO | Indium-doped Tin Oxide |
| DMF | Dimethyl Formamide |
| r DMSO | Dimethyl Sulfoxide |
| SEM | Scanning Electron Microscopy |
| CVD | Chemical Vapor Deposition |
| EMA | Effective Medium Approximation |
| ReLU | Rectified Linear Unit |
| MSE | Mean Squared Error |
References
- Weber, D. CH3NH3PbX3, ein Pb (II)-system mit kubischer perowskitstruktur/CH3NH3PbX3, a Pb (II)-system with cubic perovskite structure. Z. Naturforschung B 1978, 33, 1443–1445. [Google Scholar] [CrossRef]
- Weber, D. CH3NH3SnBrxI3−x (x = 0–3), ein Sn (II)-System mit kubischer Perowskitstruktur/CH3NH3SnBrxI3−x (x = 0–3), a Sn (II)-system with cubic perovskite structure. Z. Naturforschung B 1978, 33, 862–865. [Google Scholar] [CrossRef]
- Tan, Z.K.; Moghaddam, R.S.; Lai, M.L.; Docampo, P.; Higler, R.; Deschler, F.; Price, M.; Sadhanala, A.; Pazos, L.M.; Credgington, D.; et al. Bright light-emitting diodes based on organometal halide perovskite. Nat. Nanotechnol. 2014, 9, 687–692. [Google Scholar] [CrossRef]
- Grätzel, M. The light and shade of perovskite solar cells. Nat. Mater. 2014, 13, 838–842. [Google Scholar] [CrossRef]
- Deschler, F.; Price, M.; Pathak, S.; Klintberg, L.E.; Jarausch, D.D.; Higler, R.; Hüttner, S.; Leijtens, T.; Stranks, S.D.; Snaith, H.J.; et al. High photoluminescence efficiency and optically pumped lasing in solution-processed mixed halide perovskite semiconductors. J. Phys. Chem. Lett. 2014, 5, 1421–1426. [Google Scholar] [CrossRef]
- Saliba, M.; Wood, S.M.; Patel, J.B.; Nayak, P.K.; Huang, J.; Alexander-Webber, J.A.; Wenger, B.; Stranks, S.D.; Hörantner, M.T.; Wang, J.T.W.; et al. Structured organic—Inorganic perovskite toward a distributed feedback laser. Adv. Mater. 2016, 28, 923–929. [Google Scholar] [CrossRef]
- Kojima, A.; Teshima, K.; Shirai, Y.; Miyasaka, T. Organometal halide perovskites as visible-light sensitizers for photovoltaic cells. J. Am. Chem. Soc. 2009, 131, 6050–6051. [Google Scholar] [CrossRef]
- Im, J.H.; Lee, C.R.; Lee, J.W.; Park, S.W.; Park, N.G. 6.5% efficient perovskite quantum-dot-sensitized solar cell. Nanoscale 2011, 3, 4088–4093. [Google Scholar] [CrossRef] [Green Version]
- Lee, M.M.; Teuscher, J.; Miyasaka, T.; Murakami, T.N.; Snaith, H.J. Efficient hybrid solar cells based on meso-superstructured organometal halide perovskites. Science 2012, 338, 643–647. [Google Scholar] [CrossRef] [Green Version]
- Kim, H.S.; Lee, C.R.; Im, J.H.; Lee, K.B.; Moehl, T.; Marchioro, A.; Moon, S.J.; Humphry-Baker, R.; Yum, J.H.; Moser, J.E.; et al. Lead iodide perovskite sensitized all-solid-state submicron thin film mesoscopic solar cell with efficiency exceeding 9%. Sci. Rep. 2012, 2, 591. [Google Scholar] [CrossRef] [Green Version]
- Heo, J.H.; Im, S.H.; Noh, J.H.; Mandal, T.N.; Lim, C.S.; Chang, J.A.; Lee, Y.H.; Kim, H.J.; Sarkar, A.; Nazeeruddin, M.K.; et al. Efficient inorganic—Organic hybrid heterojunction solar cells containing perovskite compound and polymeric hole conductors. Nat. Photonics 2013, 7, 486–491. [Google Scholar] [CrossRef]
- Burschka, J.; Pellet, N.; Moon, S.J.; Humphry-Baker, R.; Gao, P.; Nazeeruddin, M.K.; Grätzel, M. Sequential deposition as a route to high-performance perovskite-sensitized solar cells. Nature 2013, 499, 316–319. [Google Scholar] [CrossRef]
- Green, M.; Dunlop, E.; Hohl-Ebinger, J.; Yoshita, M.; Kopidakis, N.; Hao, X. Solar cell efficiency tables (version 57). Prog. Photovoltaics Res. Appl. 2021, 29, 3–15. [Google Scholar] [CrossRef]
- Jeong, M.; Choi, I.W.; Go, E.M.; Cho, Y.; Kim, M.; Lee, B.; Jeong, S.; Jo, Y.; Choi, H.W.; Lee, J.; et al. Stable perovskite solar cells with efficiency exceeding 24.8% and 0.3-V voltage loss. Science 2020, 369, 1615–1620. [Google Scholar] [CrossRef]
- Chen, B.; Yu, Z.; Liu, K.; Zheng, X.; Liu, Y.; Shi, J.; Spronk, D.; Rudd, P.N.; Holman, Z.; Huang, J. Grain engineering for perovskite/silicon monolithic tandem solar cells with efficiency of 25.4%. Joule 2019, 3, 177–190. [Google Scholar] [CrossRef] [Green Version]
- Song, Z.; Abate, A.; Watthage, S.C.; Liyanage, G.K.; Phillips, A.B.; Steiner, U.; Graetzel, M.; Heben, M.J. Perovskite solar cell stability in humid air: Partially reversible phase transitions in the PbI2-CH3NH3I-H2O system. Adv. Energy Mater. 2016, 6, 1600846. [Google Scholar] [CrossRef]
- Christians, J.A.; Miranda Herrera, P.A.; Kamat, P.V. Transformation of the excited state and photovoltaic efficiency of CH3NH3PbI3 perovskite upon controlled exposure to humidified air. J. Am. Chem. Soc. 2015, 137, 1530–1538. [Google Scholar] [CrossRef]
- Conings, B.; Drijkoningen, J.; Gauquelin, N.; Babayigit, A.; D’Haen, J.; D’Olieslaeger, L.; Ethirajan, A.; Verbeeck, J.; Manca, J.; Mosconi, E.; et al. Intrinsic thermal instability of methylammonium lead trihalide perovskite. Adv. Energy Mater. 2015, 5, 1500477. [Google Scholar] [CrossRef]
- Park, Y.H.; Jeong, I.; Bae, S.; Son, H.J.; Lee, P.; Lee, J.; Lee, C.H.; Ko, M.J. Inorganic rubidium cation as an enhancer for photovoltaic performance and moisture stability of HC(NH2)2PbI3 perovskite solar cells. Adv. Funct. Mater. 2017, 27, 1605988. [Google Scholar] [CrossRef]
- Koh, T.M.; Fu, K.; Fang, Y.; Chen, S.; Sum, T.C.; Mathews, N.; Mhaisalkar, S.G.; Boix, P.P.; Baikie, T. Formamidinium-containing metal-halide: An alternative material for near-IR absorption perovskite solar cells. J. Phys. Chem. C 2014, 118, 16458–16462. [Google Scholar] [CrossRef]
- Yang, W.S.; Noh, J.H.; Jeon, N.J.; Kim, Y.C.; Ryu, S.; Seo, J.; Seok, S.I. High-performance photovoltaic perovskite layers fabricated through intramolecular exchange. Science 2015, 348, 1234–1237. [Google Scholar] [CrossRef]
- Jeon, N.J.; Noh, J.H.; Yang, W.S.; Kim, Y.C.; Ryu, S.; Seo, J.; Seok, S.I. Compositional engineering of perovskite materials for high-performance solar cells. Nature 2015, 517, 476–480. [Google Scholar] [CrossRef]
- Binek, A.; Hanusch, F.C.; Docampo, P.; Bein, T. Stabilization of the trigonal high-temperature phase of formamidinium lead iodide. J. Phys. Chem. Lett. 2015, 6, 1249–1253. [Google Scholar] [CrossRef]
- Heo, J.H.; Song, D.H.; Im, S.H. Planar CH3NH3PbBr3 hybrid solar cells with 10.4% power conversion efficiency, fabricated by controlled crystallization in the spin-coating process. Adv. Mater. 2014, 26, 8179–8183. [Google Scholar] [CrossRef]
- Ma, X.; Tao, Z.; Wang, Y.; Yu, H.; Wang, Y. Long short-term memory neural network for traffic speed prediction using remote microwave sensor data. Transp. Res. Part C Emerg. Technol. 2015, 54, 187–197. [Google Scholar] [CrossRef]
- Titano, J.J.; Badgeley, M.; Schefflein, J.; Pain, M.; Su, A.; Cai, M.; Swinburne, N.; Zech, J.; Kim, J.; Bederson, J.; et al. Automated deep-neural-network surveillance of cranial images for acute neurologic events. Nat. Med. 2018, 24, 1337–1341. [Google Scholar] [CrossRef]
- Liu, D.; Wang, J.; Wang, H. Short-term wind speed forecasting based on spectral clustering and optimised echo state networks. Renew. Energy 2015, 78, 599–608. [Google Scholar] [CrossRef]
- Srivastava, M.; Howard, J.M.; Gong, T.; Rebello Sousa Dias, M.; Leite, M.S. Machine learning roadmap for perovskite photovoltaics. J. Phys. Chem. Lett. 2021, 12, 7866–7877. [Google Scholar] [CrossRef]
- Chen, H.A.; Pao, C.W. Fast and accurate artificial neural network potential model for MAPbI3 perovskite materials. ACS Omega 2019, 4, 10950–10959. [Google Scholar] [CrossRef] [Green Version]
- Sun, S.; Hartono, N.T.; Ren, Z.D.; Oviedo, F.; Buscemi, A.M.; Layurova, M.; Chen, D.X.; Ogunfunmi, T.; Thapa, J.; Ramasamy, S.; et al. Accelerated development of perovskite-inspired materials via high-throughput synthesis and machine-learning diagnosis. Joule 2019, 3, 1437–1451. [Google Scholar] [CrossRef]
- Kirman, J.; Johnston, A.; Kuntz, D.A.; Askerka, M.; Gao, Y.; Todorović, P.; Ma, D.; Privé, G.G.; Sargent, E.H. Machine-learning-accelerated perovskite crystallization. Matter 2020, 2, 938–947. [Google Scholar] [CrossRef]
- Li, R.; Deng, Q.; Tian, D.; Zhu, D.; Lin, B. Predicting Perovskite Performance with Multiple Machine-Learning Algorithms. Crystals 2021, 11, 818. [Google Scholar] [CrossRef]
- Sun, Y.; Szűcs, G.; Brandt, A.R. Solar PV output prediction from video streams using convolutional neural networks. Energy Environ. Sci. 2018, 11, 1811–1818. [Google Scholar] [CrossRef]
- Alam, A.M.; Razee, I.A.; Zunaed, M. Solar PV Power Forecasting Using Traditional Methods and Machine Learning Techniques. In Proceedings of the 2021 IEEE Kansas Power and Energy Conference (KPEC), Manhattan, KS, USA, 19–20 April 2021; pp. 1–5. [Google Scholar]
- Ghalambaz, N.; Ganji, J.; Shabani, P. The development of a neural network model for the structural improvement of perovskite solar cells using an evolutionary particle swarm optimization algorithm. J. Comput. Electron. 2021, 20, 966–973. [Google Scholar] [CrossRef]
- Nelson, M.D.; Di Vece, M. Using a neural network to improve the optical absorption in halide perovskite layers containing core-shells silver nanoparticles. Nanomaterials 2019, 9, 437. [Google Scholar] [CrossRef] [Green Version]
- Jacobsson, T.J.; Correa-Baena, J.P.; Pazoki, M.; Saliba, M.; Schenk, K.; Grätzel, M.; Hagfeldt, A. Exploration of the compositional space for mixed lead halogen perovskites for high efficiency solar cells. Energy Environ. Sci. 2016, 9, 1706–1724. [Google Scholar] [CrossRef]
- Fujiwara, H. Spectroscopic Ellipsometry: Principles and Applications; John Wiley & Sons: Hoboken, NJ, USA, 2007. [Google Scholar]
- Tompkins, H.; Irene, E.A. Handbook of Ellipsometry; William Andrew: Burlington, MA, USA, 2005. [Google Scholar]
- Khardani, M.; Bouaïcha, M.; Bessaïs, B. Bruggeman effective medium approach for modelling optical properties of porous silicon: Comparison with experiment. Phys. Status Solidi C 2007, 4, 1986–1990. [Google Scholar] [CrossRef]
- Bruggeman, V.D. Berechnung verschiedener physikalischer Konstanten von heterogenen Substanzen. I. Dielektrizitätskonstanten und Leitfähigkeiten der Mischkörper aus isotropen Substanzen. Ann. Phys. 1935, 416, 636–664. [Google Scholar] [CrossRef]
- Landauer, R. Electrical conductivity in inhomogeneous media. Aip Conf. Proc. Am. Inst. Phys. 1978, 40, 2–45. [Google Scholar]
- Forouhi, A.; Bloomer, I. Optical dispersion relations for amorphous semiconductors and amorphous dielectrics. Phys. Rev. B 1986, 34, 7018. [Google Scholar] [CrossRef]
- Liu, Y.; Xu, G.; Song, C.; Weng, W.; Du, P.; Han, G. Modification on Forouhi and Bloomer model for the optical properties of amorphous silicon thin films. Thin Solid Film. 2007, 515, 3910–3913. [Google Scholar] [CrossRef]
- Meneses, D.D.S.; Malki, M.; Echegut, P. Structure and lattice dynamics of binary lead silicate glasses investigated by infrared spectroscopy. J. Non-Cryst. Solids 2006, 352, 769–776. [Google Scholar] [CrossRef]
- Alias, M.S.; Dursun, I.; Saidaminov, M.I.; Diallo, E.M.; Mishra, P.; Ng, T.K.; Bakr, O.M.; Ooi, B.S. Optical constants of CH3NH3PbBr3 perovskite thin films measured by spectroscopic ellipsometry. Opt. Express 2016, 24, 16586–16594. [Google Scholar] [CrossRef]
- Park, J.S.; Choi, S.; Yan, Y.; Yang, Y.; Luther, J.M.; Wei, S.H.; Parilla, P.; Zhu, K. Electronic structure and optical properties of α-CH3NH3PbBr3 perovskite single crystal. J. Phys. Chem. Lett. 2015, 6, 4304–4308. [Google Scholar] [CrossRef]
- Brittman, S.; Garnett, E.C. Measuring n and k at the Microscale in Single Crystals of CH3NH3PbBr3 Perovskite. J. Phys. Chem. C 2016, 120, 616–620. [Google Scholar] [CrossRef]
- Leguy, A.M.; Azarhoosh, P.; Alonso, M.I.; Campoy-Quiles, M.; Weber, O.J.; Yao, J.; Bryant, D.; Weller, M.T.; Nelson, J.; Walsh, A.; et al. Experimental and theoretical optical properties of methylammonium lead halide perovskites. Nanoscale 2016, 8, 6317–6327. [Google Scholar] [CrossRef] [Green Version]















| Perovskite Compositions | Molar Concentration of Precursors in Respective Compositions | |||||
|---|---|---|---|---|---|---|
| MAI | MABr | FAI | FABr | PbI | PbBr | |
| FAPbI | 0 | 0 | 1.14 | 0 | 1.25 | 0 |
| FAPbIPbBr | 0 | 0 | 0.57 | 0.57 | 0.625 | 0.625 |
| FAPbBr | 0 | 0 | 0 | 1.14 | 0 | 1.25 |
| FAMAPbI | 0.57 | 0 | 0.57 | 0 | 1.25 | 0 |
| FAMAPbIPbBr | 0.285 | 0.285 | 0.285 | 0.285 | 0.625 | 0.625 |
| FAMAPbBr | 0 | 0.57 | 0 | 0.57 | 0 | 1.25 |
| MAPbI | 1.14 | 0 | 0 | 0 | 1.25 | 0 |
| MAPbIPbBr | 0.57 | 0.57 | 0 | 0 | 0.625 | 0.625 |
| MAPbBr | 0 | 1.14 | 0 | 0 | 0 | 1.25 |
| Count | Big data of refractive index | |||||
| Input neuron data | Output neuron data | |||||
| MA | FA | I | Br | Wavelength (m) | n | |
| 1 | 1 | 0 | 1 | 0 | 0.976372547 | 2.406349547 |
| 2 | 1 | 0 | 1 | 0 | 0.975582775 | 2.406770478 |
| ⋮ | ⋮ | ⋮ | ⋮ | ⋮ | ⋮ | ⋮ |
| 928 | 1 | 0 | 1 | 0 | 0.244254811 | 1.523567095 |
| 929 | 1 | 0 | 0.5 | 0.5 | 0.976372547 | 2.141620475 |
| ⋮ | ⋮ | ⋮ | ⋮ | ⋮ | ⋮ | ⋮ |
| 6612 | 0 | 1 | 0 | 1 | 0.244254811 | 1.501819505 |
| Count | Big data of extinction coefficient | |||||
| Input neuron data | Output neuron data | |||||
| MA | FA | I | Br | Wavelength (m) | k | |
| 1 | 1 | 0 | 1 | 0 | 0.976372547 | 0.029159807 |
| 2 | 1 | 0 | 1 | 0 | 0.975582775 | 0.029408273 |
| ⋮ | ⋮ | ⋮ | ⋮ | ⋮ | ⋮ | ⋮ |
| 928 | 1 | 0 | 1 | 0 | 0.244254811 | 0.741038184 |
| 929 | 1 | 0 | 0.5 | 0.5 | 0.976372547 | 0.021949375 |
| ⋮ | ⋮ | ⋮ | ⋮ | ⋮ | ⋮ | ⋮ |
| 6612 | 0 | 1 | 0 | 1 | 0.244254811 | 0.754939147 |
Publisher’s Note: MDPI stays neutral with regard to jurisdictional claims in published maps and institutional affiliations. |
© 2022 by the authors. Licensee MDPI, Basel, Switzerland. This article is an open access article distributed under the terms and conditions of the Creative Commons Attribution (CC BY) license (https://creativecommons.org/licenses/by/4.0/).
Share and Cite
Kim, S.M.; Naqvi, S.D.H.; Kang, M.G.; Song, H.-e.; Ahn, S. Optical Characterization and Prediction with Neural Network Modeling of Various Stoichiometries of Perovskite Materials Using a Hyperregression Method. Nanomaterials 2022, 12, 932. https://doi.org/10.3390/nano12060932
Kim SM, Naqvi SDH, Kang MG, Song H-e, Ahn S. Optical Characterization and Prediction with Neural Network Modeling of Various Stoichiometries of Perovskite Materials Using a Hyperregression Method. Nanomaterials. 2022; 12(6):932. https://doi.org/10.3390/nano12060932
Chicago/Turabian StyleKim, Soo Min, Syed Dildar Haider Naqvi, Min Gu Kang, Hee-eun Song, and SeJin Ahn. 2022. "Optical Characterization and Prediction with Neural Network Modeling of Various Stoichiometries of Perovskite Materials Using a Hyperregression Method" Nanomaterials 12, no. 6: 932. https://doi.org/10.3390/nano12060932
APA StyleKim, S. M., Naqvi, S. D. H., Kang, M. G., Song, H.-e., & Ahn, S. (2022). Optical Characterization and Prediction with Neural Network Modeling of Various Stoichiometries of Perovskite Materials Using a Hyperregression Method. Nanomaterials, 12(6), 932. https://doi.org/10.3390/nano12060932

