Steady Squeezing Flow of Magnetohydrodynamics Hybrid Nanofluid Flow Comprising Carbon Nanotube-Ferrous Oxide/Water with Suction/Injection Effect
Abstract
:1. Introduction
2. Mathematical Formulation of the Problem
3. Boundary Conditions
4. Numerical Solution by PCM
- First order of ODE
- Introducing parameter q, we obtained ODEs in a q-parameter group,
- Differentiation by q reaches at the following system w.r.t. the sensitivities to the parameter-q
- Cauchy Problemwhere , are vector functions. By resolving the two Cauchy problems for every component, we then automatically satisfy the ODEsand leave the boundary conditions.
- Using by Numerical SolutionAn absolute scheme has been used for the resolution of the problem
- Taking of the corresponding coefficientsAs given boundaries are usually applied for , where , for the solution of ODEs, we required to apply , which seems to be in matrix form aswhere .
5. Error Analysis
6. Results and Discussions
7. Concluding Remarks
- As the magnetic field parameter M is increasing, the transverse velocity of the hybrid nanofluid is decreasing because of the increase of electromagnetic force.
- The Lorentz force, which is produced by a magnetic field, has been observed to increase flow resistance.
- The velocity profile is reduced in the region because the fluid faces more resistance in the wide channel.
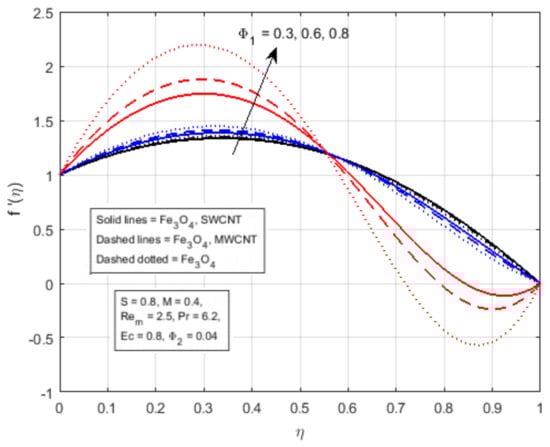
- The increase in the volume fraction of nanoparticles has a favorable impact on fluid flow. If and are increased, the thickness of the boundary layer is reduced, resulting in an increase in axial velocity for , otherwise it decreases.
- The fluid friction increases as the Eckert number rises, converting kinetic energy into thermal energy and raising the temperature profile. The Eckert number becomes parabolic as the value of increases, approaching the maximum value at the center.
Author Contributions
Funding
Institutional Review Board Statement
Informed Consent Statement
Data Availability Statement
Acknowledgments
Conflicts of Interest
References
- Choi, S.U.; Eastman, J.A. Enhancing Thermal Conductivity of Fluids With Nanoparticles; CONF-951135-29 ON: DE96004174; TRN: 96:001707; Argonne National Lab.: Lemont, IL, USA, 1995; Available online: https://ANL/MSD/CP-84938 (accessed on 8 May 2021).
- Shahid, A.; Huang, H.; Bhatti, M.M.; Zhang, L.; Ellahi, R. Numerical investigation on the swimming of gyrotactic microorganisms in nanofluids through porous medium over a stretched surface. Mathematics 2020, 8, 380. [Google Scholar] [CrossRef] [Green Version]
- Turkyilmazoglu, M. Anomalous heat transfer enhancement by slip due to nanofluids in circular concentric pipes. Int. J. Heat Mass Transfer 2015, 85, 609–614. [Google Scholar] [CrossRef]
- Xu, C.; Xu, S.; Wei, S.; Chen, P. Experimental investigation of heat transfer for pulsating flow of GOPs-water nanofluid in a microchannel. Int. Commun. Heat Mass Transfer 2015, 110, 104403. [Google Scholar] [CrossRef]
- Dogonchi, A.S.; Ganji, D.D. Investigation of MHD nanofluid flow and heat transfer in a stretching/shrinking convergent/divergent channel considering thermal radiation. J. Mol. Liq. 2016, 220, 592–603. [Google Scholar] [CrossRef]
- Reddy, P.S.; Sreedevi, P. Impact of chemical reaction and double stratification on heat and mass transfer characteristics of nanofluid flow over porous stretching sheet with thermal radiation. Int. J. Ambient Energy 2020, 126, 1–11. [Google Scholar] [CrossRef]
- Arrigo, R.; Bellavia, S.; Gambarotti, C.; Dintcheva, N.T.; Carroccio, S. Carbon nanotubes-based nanohybrids for multifunctional nanocomposites. J. King Saud Univ. Sci. 2017, 29, 502–509. [Google Scholar] [CrossRef]
- Khan, U.; Ahmed, N.; Asadullah, M.; Mohyud-din, S.T. Effects of viscous dissipation and slip velocity on two-dimensional and axisymmetric squeezing flow of Cu-water and Cu-kerosene nanofluids. Propul. Power Res. 2015, 4, 40–49. [Google Scholar] [CrossRef] [Green Version]
- Rehman, A.U.; Mehmood, R.; Nadeem, S.; Akbar, N.S.; Motsa, S.S. Effects of single and multi-walled carbon nano tubes on water and engine oil based rotating fluids with internal heating. Adv. Powder Technol. 2017, 28, 1991–2002. [Google Scholar] [CrossRef]
- Hassan, M.; Marin, M.; Ellahi, R.; Alamri, S.Z. Exploration of convective heat transfer and flow characteristics synthesis by CuAg/water hybridnanofluids. Heat Transfer Res. 2018, 49, 1837–1848. [Google Scholar] [CrossRef]
- Ellahi, R.; Sait, S.M.; Shehzad, N.; Ayaz, Z. A hybrid investigation on numerical and analytical solutions of electro-magnetohydrodynamics flow of nanofluid through porous media with entropy generation. Int. J. Numer. Methods Heat Fluid Flow 2019, 30, 834–854. [Google Scholar] [CrossRef]
- Raza, M.; Ellahi, R.; Sait, S.M.; Sarafraz, M.M.; Shadloo, M.S.; Waheed, I. Enhancement of heat transfer in peristaltic flow in a permeable channel under induced magnetic field using different CNTs. J. Therm. Anal. Calorim. 2020, 140, 1277–1291. [Google Scholar] [CrossRef]
- Majeed, A.; Zeeshan, A.; Bhatti, M.M.; Ellahi, R. Heat transfer in magnetite (Fe3O4) nanoparticles suspended in conventional fluids: Refrigerant-134A (C2H2F4), kerosene (C10H22), and water (H2O) under the impact of dipole. Heat Transfer Res. 2020, 51, 217–232. [Google Scholar] [CrossRef]
- Hafeez, A.; Khan, M.; Ahmed, J. Flow of Oldroyd-B fuid over a rotating disk with Cattaneo-Christov theory for heat and mass fuxes. Comput. Methods Programs Biomed. 2020, 191, 1053–1074. [Google Scholar] [CrossRef] [PubMed]
- Nazari, S.; Ellahi, R.; Sarafraz, M.M.; Safaei, M.R.; Asgari, A.; Akbari, O.A. Numerical study on mixed convection of a non-Newtonian nanofuid with porous media in a two lid-driven square cavity. J. Term. Anal. Calorim. 2020, 140, 1121–1145. [Google Scholar] [CrossRef]
- Hsu, J.-P.; Kao, C.-Y.; Tseng, S.; Chen, C.-J. Electrokinetic flow through an elliptical microchannel: Effects of aspect ratio and electrical boundary conditions. J. Colloid Interface Sci. 2002, 248, 176–184. [Google Scholar] [CrossRef] [Green Version]
- Siddiqui, A.M.; Manzoor, N.; Maqbool, K.; Mann, A.B.; Shaheen, S. Magnetohydrodynamic fow induced by ciliary movement: An application to lower respiratory track diseases. J. Magn. Magn. Mater. 2019, 480, 164–170. [Google Scholar] [CrossRef]
- Hafidzuddin, M.E.; Nazar, R.; Arifin, N.M. Application of the Keller-box method to magnetohydrodynamic rotating flow over a permeable shrinking surface. Embrac. Math. Divers. 2019, 130, 36–41. [Google Scholar] [CrossRef] [Green Version]
- Subhani, M.; Nadeem, S. Numerical investigation into unsteady magnetohydrodynamics flow of micropolar hybrid nanofluid in porous medium. Phys. Scr. 2019, 94, 105–120. [Google Scholar] [CrossRef]
- Lokesh, H.J.; Gireesha, B.J.; Kumar, K.G. Characterization of chemical reaction on magnetohydrodynamics flow and nonlinear radiative heat transfer of Casson nanoparticles over an exponentially sheet. J. Nanofluids 2019, 8, 1260–1266. [Google Scholar] [CrossRef]
- Khashi’ie, N.S.; Arifin, N.M.; Nazar, R.; Hafidzuddin, E.H.; Wahi, N.; Pop, I. Magnetohydrodynamics (MHD) axisymmetric flow and heat transfer of a hybrid nanofluid past a radially permeable stretching/shrinking sheet with Joule heating. Chin. J. Phys. 2020, 64, 251–263. [Google Scholar] [CrossRef]
- Tlili, I.; Nabwey, H.A.; Ashwinkumar, G.P.; Sandeep, N. 3-D magnetohydrodynamic AA7072-AA7075/methanol hybrid nanofluid flow above an uneven thickness surface with slip effect. Sci. Rep. 2020, 10, 13. [Google Scholar] [CrossRef] [PubMed] [Green Version]
- Khan, U.; Zaib, A.; Khan, I.; Nisar, K.S. Activation energy on MHD flow of titanium alloy (Ti6Al4V) nanoparticle along with a cross flow and streamwise direction with binary chemical reaction and non-linear radiation: Dual solutions. J. Mater. Res. Technol. 2020, 9, 188–199. [Google Scholar] [CrossRef]
- Goodarzi, M.; Toghraie, D.; Reiszadeh, M.; Afrand, M. Experimental evaluation of dynamic viscosity of ZnOMWCNTs/engine oil hybrid nanolubricant based on changes in temperature and concentration. J. Therm. Anal. Calorim. 2019, 30, 513–525. [Google Scholar] [CrossRef]
- Bovand, M.; Rashidi, S.; Ahmadi, G.; Esfahani, J.A. Effects of trap and reflect particle boundary conditions on particle transport and convective heat transfer for duct flow-A two-way coupling of Eulerian-Lagrangian model. Appl. Therm. Eng. 2016, 108, 368–377. [Google Scholar] [CrossRef]
- Bovand, M.; Rashidi, S.; Esfahani, J.A. Optimum interaction between magnetohydrodynamics and nanofluid for thermal and drag management. J. Thermophys. Heat Transfer 2017, 31, 218–229. [Google Scholar] [CrossRef]
- Waini, I.; Ishak, A.; Pop, I. Hybrid nanofluid flow towards a stagnation point on a stretching/shrinking cylinder. Sci. Rep. 2020, 10, 92–96. [Google Scholar] [CrossRef]
- Waini, I.; Ishak, A.; Pop, I. Hybrid nanofluid flow and heat transfer over a permeable biaxial stretching/shrinking sheet. Int. J. Numer. Meth. Heat Fluid Flow 2019, 30, 3497–3513. [Google Scholar] [CrossRef]
- Waini, I.; Ishak, A.; Pop, I. Squeezed hybrid nanofluid flow over a permeable sensor surface. Mathematics 2020, 8, 898–905. [Google Scholar] [CrossRef]
- Khan, M.S.; Mei, S.; Fernandez-Gamiz, U.; Noeiaghdam, S.; Shah, S.A.; Khan, A. Numerical Analysis of Unsteady Hybrid Nanofluid Flow Comprising CNTs-Ferrousoxide/Water with Variable Magnetic Field. Nanomaterials 2022, 12, 180. [Google Scholar] [CrossRef]
- Shah, R.A.; Ullah, H.; Khan, M.S.; Khan, A. Parametric analysis of the heat transfer behavior of the nano-particle ionic-liquid flow between concentric cylinders. Adv. Mech. Eng. 2021, 13, 16878140211024009. [Google Scholar] [CrossRef]
- Shah, R.A.; Anjum, M.N.; Khan, M.S. Analysis of unsteady squeezing flow between two porous plates with variable magnetic field. Int. J. Adv. Eng. Manag. Sci. 2017, 3, 239–756. [Google Scholar]
- Khan, A.; Shah, R.A.; Alam, M.K.; Rehman, S.; Shahzad, M.; Almad, S.; Khan, M.S. Flow dynamics of a time-dependent non-Newtonian and non-isothermal fluid between coaxial squeezing disks. Adv. Mech. Eng. 2021, 13, 16878140211033370. [Google Scholar] [CrossRef]
- Yahaya, R.I.; Arifin, N.M.; Nazar, R.; Pop, I. Flow and heat transfer past a permeable stretching/shrinking sheet in Cu-Al2O3/ water hybrid nanofluid. Int. J. Numer. Meth. Heat Fluid Flow 2019, 130, 2345–2353. [Google Scholar] [CrossRef]
- Khan, M.S.; Rehan, A.S.; Amjad, A.; Aamir, K. Parametric investigation of the NernstPlanck model and Maxwells equations for a viscous fluid between squeezing plates. Bound. Value Probl. 2019, 2019, 107. [Google Scholar] [CrossRef] [Green Version]
- Chamkha, A.J.; Dogonchi, A.S.; Ganji, D.D. Magneto-hydrodynamic flow and heat transfer of a hybrid nanofluid in a rotating system among two surfaces in the presence of thermal radiation and Joule heating. AIP Adv. 2019, 9, 025103. [Google Scholar] [CrossRef] [Green Version]
- Khan, M.S.; Rehan, A.S.; Aamir, K. Effect of variable magnetic field on the flow between two squeezing plates. Eur. Phys. J. Plus 2019, 134, 219. [Google Scholar] [CrossRef]







| HO | 997.1 | 4179 | 0.613 | 5.5 × |
| FeO | 5200 | 670 | 6 | 9.74 × |
| SWCNT | 2600 | 425 | 6600 | |
| MWCNT | 1600 | 796 | 3000 |
| S | Present | Ali et al. [35] | |
|---|---|---|---|
| = 0% | 0.1 | 1.075221 | 1.078381 |
| 0.5 | 1.401148 | 1.403658 | |
| 1.0 | 1.810361 | 1.813100 | |
| 1.5 | 2.206271 | 2.201327 | |
| = 5% | 0.1 | 1.292331 | 1.298621 |
| 0.5 | 1.613601 | 1.619052 | |
| 1.0 | 2.021148 | 2.026519 | |
| 1.5 | 2.423006 | 2.422539 | |
| = 10% | 0.1 | 1.572331 | 1.573849 |
| 0.5 | 1.883601 | 1.889474 | |
| 1.0 | 2.291148 | 2.292857 | |
| 1.5 | 2.693006 | 2.691972 |
| PCM | BVP4C | PCM | BVP4C | |||
|---|---|---|---|---|---|---|
| 0.0 | 0.4 | 0.2 | −3.9734 | −3.9704 | 5.7209 | 5.7252 |
| 0.3 | −3.9967 | −3.9909 | 5.7042 | 5.7038 | ||
| 0.5 | −3.9956 | −3.9905 | 0.7386 | 0.7314 | ||
| 0.6 | −3.9388 | −3.9317 | 0.7410 | 0.7452 | ||
| 0.8 | −3.8789 | −3.8752 | 0.7434 | 0.7481 | ||
| 0.6 | −3.6286 | −3.6232 | 0.7397 | 0.7372 | ||
| 1.2 | −3.8337 | −3.8323 | 0.7082 | 0.7075 |
| 0.0 | 5.5324 | 5.5324 |
| 0.01 | 5.5778 | 5.5851 |
| (0.8206% increase) | (0.9526% increase) | |
| 0.02 | 5.6242 | 5.6381 |
| (1.6593% increase) | (1.9106% increase) | |
| 0.03 | 5.6720 | 5.6915 |
| (2.5233% increase) | (2.8758% increase) |
Publisher’s Note: MDPI stays neutral with regard to jurisdictional claims in published maps and institutional affiliations. |
© 2022 by the authors. Licensee MDPI, Basel, Switzerland. This article is an open access article distributed under the terms and conditions of the Creative Commons Attribution (CC BY) license (https://creativecommons.org/licenses/by/4.0/).
Share and Cite
Khan, M.S.; Mei, S.; Shabnam; Ali Shah, N.; Chung, J.D.; Khan, A.; Shah, S.A. Steady Squeezing Flow of Magnetohydrodynamics Hybrid Nanofluid Flow Comprising Carbon Nanotube-Ferrous Oxide/Water with Suction/Injection Effect. Nanomaterials 2022, 12, 660. https://doi.org/10.3390/nano12040660
Khan MS, Mei S, Shabnam, Ali Shah N, Chung JD, Khan A, Shah SA. Steady Squeezing Flow of Magnetohydrodynamics Hybrid Nanofluid Flow Comprising Carbon Nanotube-Ferrous Oxide/Water with Suction/Injection Effect. Nanomaterials. 2022; 12(4):660. https://doi.org/10.3390/nano12040660
Chicago/Turabian StyleKhan, Muhammad Sohail, Sun Mei, Shabnam, Nehad Ali Shah, Jae Dong Chung, Aamir Khan, and Said Anwar Shah. 2022. "Steady Squeezing Flow of Magnetohydrodynamics Hybrid Nanofluid Flow Comprising Carbon Nanotube-Ferrous Oxide/Water with Suction/Injection Effect" Nanomaterials 12, no. 4: 660. https://doi.org/10.3390/nano12040660
APA StyleKhan, M. S., Mei, S., Shabnam, Ali Shah, N., Chung, J. D., Khan, A., & Shah, S. A. (2022). Steady Squeezing Flow of Magnetohydrodynamics Hybrid Nanofluid Flow Comprising Carbon Nanotube-Ferrous Oxide/Water with Suction/Injection Effect. Nanomaterials, 12(4), 660. https://doi.org/10.3390/nano12040660

