Humidity Sensing Ceria Thin-Films
Abstract
:1. Introduction
2. Materials and Methods
2.1. Preparation
2.2. Characterization
3. Results
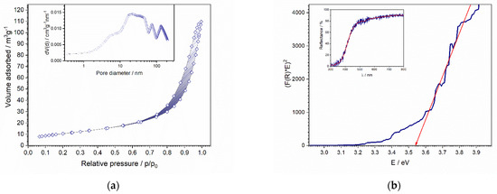
3.1. Structural and Microstructural Analysis of Powders
3.2. Structural and Microstructural Analysis of Thin-Films
3.3. Electrical Properties
3.3.1. Thick Pellet Configuration: Temperature-Dependent Conductivity
3.3.2. Thick Pellet Configuration: Humidity-Dependent Conductivity
3.3.3. Thin-film Configuration: Controlled Relative Humidity
4. Conclusions
Author Contributions
Funding
Data Availability Statement
Acknowledgments
Conflicts of Interest
References
- Almar, A.L.; Tarancón, A.; Andreu, T.; Torrell, M.; Hu, Y.; Dezanneau, G.; Morata, A. Mesoporous ceramic oxides as humidity sensors: A case study for gadolinium-doped ceria. Sens. Actuators B Chem. 2015, 216, 41–48. [Google Scholar] [CrossRef]
- Divya, T.; Nikhila, M.P.; Anju, M.; Kusumam, T.A.; Akhila, A.K.; Ravikiran, Y.T.; Renuka, N.K. Nanoceria based thin films as efficient humidity sensors. Sens. Actuators A Phys. 2017, 26, 85–93. [Google Scholar] [CrossRef]
- Sivakumar, A.; Ramya, S.; Dhas, S.S.J.; Almansour, A.I.; Kumar, R.S.; Arumugam, N.; Murugesan, M.; Dhas, S.M.B. Assessment of crystallographic and electronic phase stability of shock wave loaded cubic cerium oxide nanoparticles. Ceram. Int. 2022, 48, 1963–1968. [Google Scholar] [CrossRef]
- Chakraborty, I.; Ghosh, D.; Sathe, S.M.; Dubey, B.K.; Pradhan, D.; Ghangrekar, M.M. Investigating the efficacy of CeO2 multi-layered triangular nanosheets for augmenting cathodic hydrogen peroxide production in microbial fuel cell. Electrochim. Acta 2021, 398, 139341. [Google Scholar] [CrossRef]
- Kurajica, S.; Munda, I.K.; Dražić, G.; Mandić, V.; Mužina, K.; Bauer, L.; Matijašić, G. Manganese-doped, hydrothermally-derived ceria: The occurrence of birnessite and the distribution of manganese. Ceram. Int. 2020, 46, 29451–29458. [Google Scholar] [CrossRef]
- Salaev, M.A.; Salaeva, A.A.; Kharlamova, T.S.; Mamontov, G.V. Pt–CeO2-based composites in environmental catalysis: A review. Appl. Catal. B 2021, 295, 120286. [Google Scholar] [CrossRef]
- Traversa, E. Ceramic sensors for humidity detection: The state-of-the-art and future developments. Sens. Actuators B Chem. 1995, 23, 135–156. [Google Scholar] [CrossRef]
- Fu, X.Q.; Wang, C.; Yu, H.C.; Wang, Y.G.; Wang, T.H. Fast humidity sensors based on CeO2 nanowires. Nanotechnology 2007, 18, 145503. [Google Scholar] [CrossRef]
- Thakur, S.; Patil, P. Rapid synthesis of cerium oxide nanoparticles with superior humidity-sensing performance. Sens. Actuators B Chem. 2014, 194, 260–268. [Google Scholar] [CrossRef]
- Gatea, H.A. The role of substrate temperature on the performance of humidity sensors manufactured from cerium oxide thin films. J. Mater. Sci. Mater. Electron. 2020, 31, 22119–22130. [Google Scholar] [CrossRef]
- Acosta-Silva, Y.J.; Toledano-Ayala, M.; Torres-Delgado, G.; Torres-Pacheco, I.; Méndez-López, A.; Castanedo-Pérez, R.; Zelaya-Ángel, O. Nanostructured CeO2 thin films prepared by the sol-gel dip-coating method with anomalous behavior of crystallite size and bandgap. J. Nanomater. 2019, 2019, 5413134. [Google Scholar] [CrossRef] [Green Version]
- Kurajica, S.; Macan, J.; Mandić, V.; Galjer, M.; Mužina, K.; Plaisier, J.R. Reinforcing blade-cast photocatalytic-titania thin film by titanate nanotubes. Mater. Res. Bull. 2018, 105, 142–148. [Google Scholar] [CrossRef]
- Wang, B.; Zhu, B.; Yun, S.; Zhang, W.; Xia, C.; Afzal, M.; Cai, Y.; Liu, Y.; Wang, Y.; Wang, H. Fast ionic conduction in semiconductor CeO2-δ electrolyte fuel cells. NPG Asia Mater. 2019, 11, 1–12. [Google Scholar] [CrossRef] [Green Version]
- Campbell, C.T.; Peden, C.H. Oxygen vacancies and catalysis on ceria surfaces. Science 2005, 309, 713–714. [Google Scholar] [CrossRef] [PubMed]
- Knoblauch, N.; Dörrer, L.; Fielitz, P.; Schmücker, M.; Borchardt, G. Surface controlled reduction kinetics of nominally undoped polycrystalline CeO2. Phys. Chem. Chem. Phys. 2015, 17, 5849–5860. [Google Scholar] [CrossRef]
- Kulwicki, B.M. Ceramic sensors and transducers. J. Phys. Chem. Solids 1984, 45, 1015–1031. [Google Scholar] [CrossRef]
- Lee, C.Y.; Lee, G.B. Humidity sensors: A review. Sens. Lett. 2005, 3, 1–15. [Google Scholar] [CrossRef]
- Qu, W.; Wlodarski, W. A thin-film sensing element for ozone, humidity and temperature. Sens. Actuators B Chem. 2020, 64, 42–48. [Google Scholar] [CrossRef]
- Anderson, J.H., Jr.; Parks, G.A. Electrical conductivity of silica gel in the presence of adsorbed water. J. Phys. Chem. 1968, 72, 3662–3668. [Google Scholar] [CrossRef]
- Pokhrel, S.; Nagaraja, K.S. Electrical and humidity sensing properties of Chromium (III) oxide–tungsten (VI) oxide composites. Sens. Actuators B Chem. 2003, 92, 144–150. [Google Scholar] [CrossRef]
- Takamura, H.; Takahashi, N. Electrical conductivity of dense nanocrystalline ceria under humidified atmosphere. Solid State Ion 2010, 181, 100–103. [Google Scholar] [CrossRef]
- Zamiri, R.; Abbastabar Ahangar, H.; Kaushal, A.; Zakaria, A.; Zamiri, G.; Tobaldi, D.; Ferreira, J.M.F. Dielectrical properties of CeO2 nanoparticles at different temperatures. PLoS ONE 2015, 10, e0122989. [Google Scholar] [CrossRef] [Green Version]
- Younis, A.; Loucif, A. Defects mediated enhanced catalytic and humidity sensing performance in ceria nanorods. Ceram. Int. 2021, 47, 15500–15507. [Google Scholar] [CrossRef]
- Chen, H.I.; Chang, H.Y. Synthesis and characterization of nanocrystalline cerium oxide powders by two-stage non-isothermal precipitation. Solid State Commun. 2005, 133, 593–598. [Google Scholar] [CrossRef]
- Plaisier, J.R.; Nodari, L.; Gigli, L.; San Miguel, E.P.R.; Bertoncello, R.; Lausi, A. The X-ray diffraction beamline MCX at Elettra: A case study of non-destructive analysis on stained glass. Acta Imeko 2017, 6, 71–75. [Google Scholar] [CrossRef]
- Valencia, S.; Marín, J.M.; Restrepo, G. Study of the bandgap of synthesized titanium dioxide nanoparticules using the sol-gel method and a hydrothermal treatment. Open Mater. Sci. 2009, 4, 9–14. [Google Scholar] [CrossRef]
- Nečas, D.; Klapetek, P. Gwyddion: An Open-Source Software for SPM Data Analysis. Open Phys. 2012, 10, 181–188. [Google Scholar] [CrossRef]
- Thommes, M.; Kaneko, K.; Neimark, A.V.; Olivier, J.P.; Rodriguez-Reinoso, F.; Rouquerol, J.; Sing, K.S. Physisorption of gases, with special reference to the evaluation of surface area and pore size distribution (IUPAC Technical Report). Pure Appl. Chem. 2015, 87, 1051–1069. [Google Scholar] [CrossRef] [Green Version]
- Seiyama, T.; Yamazoe, N.; Arai, H. Ceramic humidity sensors. Sens. Actuat. 1983, 4, 85–96. [Google Scholar] [CrossRef]
- Dhannia, T.; Jayalekshmi, S.; Kumar, M.S.; Rao, T.P.; Bose, A.C. Effect of iron doping and annealing on structural and optical properties of cerium oxide nanocrystals. J. Phys. Chem. Solids 2010, 71, 1020–1025. [Google Scholar] [CrossRef]
- Zhang, Y.W.; Si, R.; Liao, C.S.; Yan, C.H.; Xiao, C.X.; Kou, Y. Facile alcohothermal synthesis, size-dependent ultraviolet absorption, and enhanced CO conversion activity of ceria nanocrystals. J. Phys. Chem. 2003, 107, 10159–10167. [Google Scholar] [CrossRef]
- Kumar, E.; Selvarajan, P.; Muthuraj, D. Synthesis and characterization of CeO2 nanocrystals by solvothermal route. Mater. Res. 2013, 16, 269–276. [Google Scholar] [CrossRef] [Green Version]
- Miao, J.J.; Wang, H.; Li, Y.R.; Zhu, J.M.; Zhu, J.J. Ultrasonic-induced synthesis of CeO2 nanotubes. J. Cryst. Growth. 2005, 281, 525–529. [Google Scholar] [CrossRef]
- Kubuki, S.; Osouda, K.; Ali, A.S.; Khan, I.; Zhang, B.; Kitajou, A.; Okada, S.; Okabayashi, J.; Homonnay, Z.; Kuzmann, E.; et al. 57Fe-Mössbauer and XAFS Studies of Conductive Sodium Phospho-Vanadate Glass as a Cathode Active Material for Na-ion Batteries with Large Capacity. J. Non-Cryst. Solids 2021, 570, 120998. [Google Scholar] [CrossRef]
- Razum, M.; Pavić, L.; Ghussn, L.; Moguš-Milanković, A.; Šantić, A. Transport of potassium ions in niobium phosphate glasses. J. Am. Ceram. Soc. 2021, 104, 4669–4678. [Google Scholar] [CrossRef]
- Jakovac, M.; Klaser, T.; Radatović, B.; Skoko, Ž.; Pavić, L.; Žic, M. Surface Characterization and Conductivity of Two Types of Lithium-Based Glass Ceramics after Accelerating Ageing. Materials 2020, 13, 5632. [Google Scholar] [CrossRef]
- Thoms, E.; Sippel, P.; Reuter, D.; Weiß, M.; Loidl, A.; Krohns, S. Dielectric study on mixtures of ionic liquids. Sci. Rep. 2017, 7, 7463. [Google Scholar] [CrossRef] [PubMed] [Green Version]
- Dubraja, L.A.; Žilić, D.; Olujić, K.; Pavić, L.; Molčanov, K.; Pajić, D. Targeted synthesis of a Cr III–O–VV core oxo-bridged complex: Spectroscopic, magnetic and electrical properties. New J. Chem. 2021, 45, 6336–6343. [Google Scholar] [CrossRef]
- Pavić, L.; Skoko, Ž.; Gajović, A.; Su, D.; Moguš-Milanković, A. Electrical transport in iron phosphate glass-ceramics. J. Non-Cryst. Solids 2018, 502, 44–53. [Google Scholar] [CrossRef]
- Pavicć, L.; Sklepicć, K.; Skoko, Ž.; Tricot, G.; Mošer, P.; Koudelka, L.; Moguš-Milankovicć, A. Ionic conductivity of lithium germanium phosphate glass-ceramics. J. Phys. Chem. C 2019, 123, 23312–23322. [Google Scholar] [CrossRef]
- Page, L.; Adams, N.I. Principles of Electricity, 2nd ed.; Van Nostrand: New York, NY, USA, 2019. [Google Scholar]
- Irvine, J.T.; Sinclair, D.C.; West, A.R. Electroceramics: Characterization by impedance spectroscopy. Adv. Mat. 1990, 2, 132–138. [Google Scholar] [CrossRef]
- Sinclair, D.C. Characterisation of electro-materials using ac impedance spectroscopy. Bol. Soc. Esp. Cerám. V 1995, 34, 55–65. [Google Scholar]
- Khan, I.; Kuzmann, E.; Nomura, K.; Ali, A.S.; Akiyama, K.; Homonnay, Z.; Sinko, K.; Pavic, L.; Kubuki, S. Structural characterization, electrical and photocatalytic properties of α− and γ-Fe2O3 nanoparticles dispersed in iron aluminosilicate glass. J. Non-Cryst. Solids 2021, 561, 120756. [Google Scholar] [CrossRef]
- Miyake, T.; Rolandi, M. Grotthuss mechanisms: From proton transport in proton wires to bioprotonic devices. J. Phys. Condens. Matter. 2015, 28, 023001. [Google Scholar] [CrossRef] [PubMed]














| Parameters | Temperature /°C | ||
|---|---|---|---|
| 90 | 150 | 210 | |
| R1/Ω | 3.01 × 108 | 5.09 × 106 | 2.79 × 105 |
| A1/(sα Ω−1) | 4.05 × 10−11 | 6.06 × 10−11 | 7.97 × 10−11 |
| α1 | 0.72 | 0.80 | 0.82 |
| C1 */F | 3.70 × 10−12 | 8.03 × 10−12 | 7.59 × 10−12 |
| R2/Ω | 3.15 × 108 | 5.44 × 106 | 2.20 × 105 |
| A2/(sα Ω−1) | 1.55 × 10−9 | 2.69 × 10−9 | 6.85 × 10−9 |
| α2 | 0.47 | 0.59 | 0.62 |
| C2 */F | 1.55 × 10−10 | 1.43 × 10−10 | 1.28 × 10−10 |
| A3/(sα Ω−1) | 1.53 × 10−7 | 6.28 × 10−7 | 5.14 × 10−6 |
| α3 | 0.61 | 0.46 | 0.41 |
| CeO2 Sample—Pellet Form | |
|---|---|
| σDCa/(Ω cm)−1 | 1.22 × 10−9 |
| EDC/eV | 0.88 |
| Eg/eV | 0.87 |
| Egb/eV | 0.90 |
| Parameters | Relative Humidity (RH) | ||
|---|---|---|---|
| 30% | 70% | 85% | |
| R1/Ω | 10901 | 3345 | 292 |
| A1/(sα Ω−1) | 1.43 × 10−8 | 2.49 × 10−8 | 4.61 × 10−8 |
| α1 | 0.56 | 0.61 | 0.63 |
| C1 */F | 1.46 × 10−11 | 6.14 × 10−11 | 6.35 × 10−11 |
| R2/Ω | 1.87 × 105 | 5.25 × 104 | 7.31 × 103 |
| A2/(sα Ω−1) | 5.07 × 10−6 | 7.71 × 10−6 | 2.05 × 10−5 |
| α2 | 0.55 | 0.58 | 0.64 |
| C2 */F | 4.85 × 10−6 | 4.01 × 10−6 | 7.05 × 10−6 |
| σDCa/(Ω cm)−1 | 3.81 × 10−6 | 1.35 × 10−5 | 9.91 × 10−5 |
| Parameters | Surface Setup/RH% | Cross-Section/RH% | ||||
|---|---|---|---|---|---|---|
| 30 | 70 | 85 | 30 | 70 | 85 | |
| R1/Ω | 4.57 × 106 | 4.64 × 106 | 2.37 × 106 | 2.71 × 106 | 1.84 × 106 | 2.49 × 106 |
| A1/(sα Ω−1) | 1.41 × 10−11 | 7.83 × 10−11 | 6.23 × 10−10 | 4.30 × 10−12 | 7.48 × 10−10 | 1.81 × 10−9 |
| α1 | 0.83 | 0.72 | 0.63 | 0.94 | 0.72 | 0.66 |
| C1 */F | 1.95 × 10−12 | 3.60 × 10−12 | 1.36 × 10−11 | 2.08 × 10−12 | 5.77 × 10−11 | 1.12 × 10−10 |
| R2/Ω | / | / | 2.45 × 106 | 1.00 × 106 | 1.98 × 106 | 1.51 × 106 |
| A2/(sα Ω−1) | / | / | 2.12 × 10−8 | 1.44 × 10−9 | 3.06 × 10−9 | 2.76 × 10−8 |
| α2 | / | / | 0.45 | 0.65 | 0.52 | 0.45 |
| C2 */F | / | / | 5.71 × 10−10 | 4.25 × 10−11 | 2.75 × 10−11 | 5.68 × 10−10 |
| Parameters | Surface Setup/RH% | Cross-Section/RH% | ||||
|---|---|---|---|---|---|---|
| 30 | 70 | 85 | 30 | 70 | 85 | |
| R1/Ω | 3.67 × 105 | 1.59 × 105 | 1.05 × 105 | 1.25 × 105 | 1.58 × 105 | 2.87 × 105 |
| A1/(sα Ω−1) | 2.15 × 10−10 | 2.25 × 10−10 | 5.54 × 10−8 | 6.48 × 10−12 | 5.93 × 10−8 | 7.43 × 10−7 |
| α1 | 0.71 | 0.76 | 0.44 | 0.98 | 0.368 | 0.29 |
| C1 */F | 4.54 × 10−12 | 8.87 × 10−12 | 7.92 × 10−11 | 4.87 × 10−12 | 1.95 × 10−11 | 1.69 × 10−8 |
| R2/Ω | 3.17 × 106 | 6.72 × 105 | 6.00 × 105 | 1.89 × 106 | 1.93 × 106 | 1.32 × 106 |
| A2/(sα Ω−1) | 2.13 × 10−10 | 8.14 × 10−8 | 8.89 × 10−8 | 1.82 × 10−9 | 1.08 × 10−6 | 1.13 × 10−6 |
| α2 | 0.83 | 0.54 | 0.58 | 0.72 | 0.70 | 0.69 |
| C2 */F | 4.78 × 10−11 | 6.85 × 10−9 | 1.06 × 10−8 | 2.00 × 10−10 | 1.43 × 10−6 | 1.35 × 10−6 |
| R3/Ω | – | 3.11 × 106 | 2.98 × 106 | – | – | – |
| A3/(sα Ω−1) | – | 4.47 × 10−7 | 4.42 × 10−7 | – | – | – |
| α3 | – | 0.59 | 0.55 | – | – | – |
| C3 */F | – | 5.62 × 10−7 | 5.54 × 10−7 | – | – | – |
Publisher’s Note: MDPI stays neutral with regard to jurisdictional claims in published maps and institutional affiliations. |
© 2022 by the authors. Licensee MDPI, Basel, Switzerland. This article is an open access article distributed under the terms and conditions of the Creative Commons Attribution (CC BY) license (https://creativecommons.org/licenses/by/4.0/).
Share and Cite
Mandić, V.; Bafti, A.; Pavić, L.; Panžić, I.; Kurajica, S.; Pavelić, J.-S.; Shi, Z.; Mužina, K.; Ivković, I.K. Humidity Sensing Ceria Thin-Films. Nanomaterials 2022, 12, 521. https://doi.org/10.3390/nano12030521
Mandić V, Bafti A, Pavić L, Panžić I, Kurajica S, Pavelić J-S, Shi Z, Mužina K, Ivković IK. Humidity Sensing Ceria Thin-Films. Nanomaterials. 2022; 12(3):521. https://doi.org/10.3390/nano12030521
Chicago/Turabian StyleMandić, Vilko, Arijeta Bafti, Luka Pavić, Ivana Panžić, Stanislav Kurajica, Jakov-Stjepan Pavelić, Zhen Shi, Katarina Mužina, and Ivana Katarina Ivković. 2022. "Humidity Sensing Ceria Thin-Films" Nanomaterials 12, no. 3: 521. https://doi.org/10.3390/nano12030521
APA StyleMandić, V., Bafti, A., Pavić, L., Panžić, I., Kurajica, S., Pavelić, J.-S., Shi, Z., Mužina, K., & Ivković, I. K. (2022). Humidity Sensing Ceria Thin-Films. Nanomaterials, 12(3), 521. https://doi.org/10.3390/nano12030521

