3D Networks of Ge Quantum Wires in Amorphous Alumina Matrix
Abstract
1. Introduction
2. Materials and Methods
3. Results
3.1. Structural Properties
3.1.1. Quantum Wire Network Structure
3.1.2. Quantum Wire Network Growth
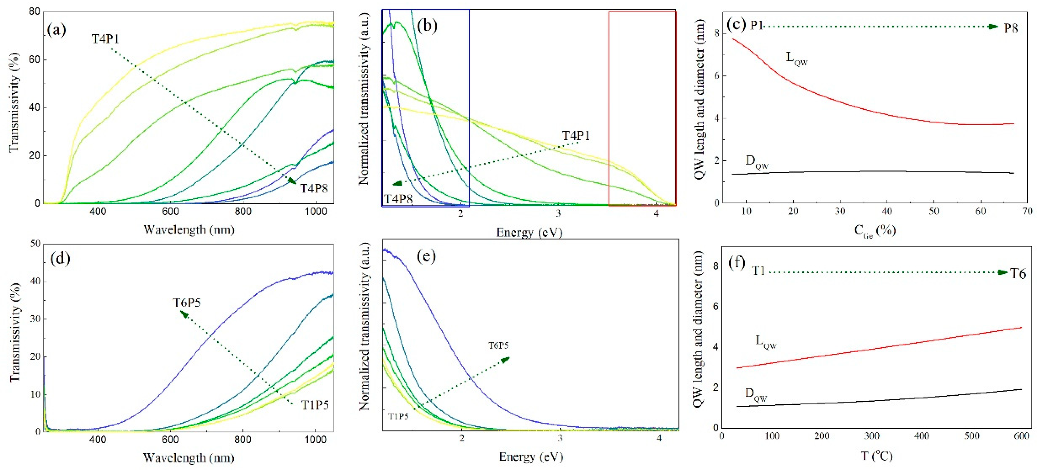
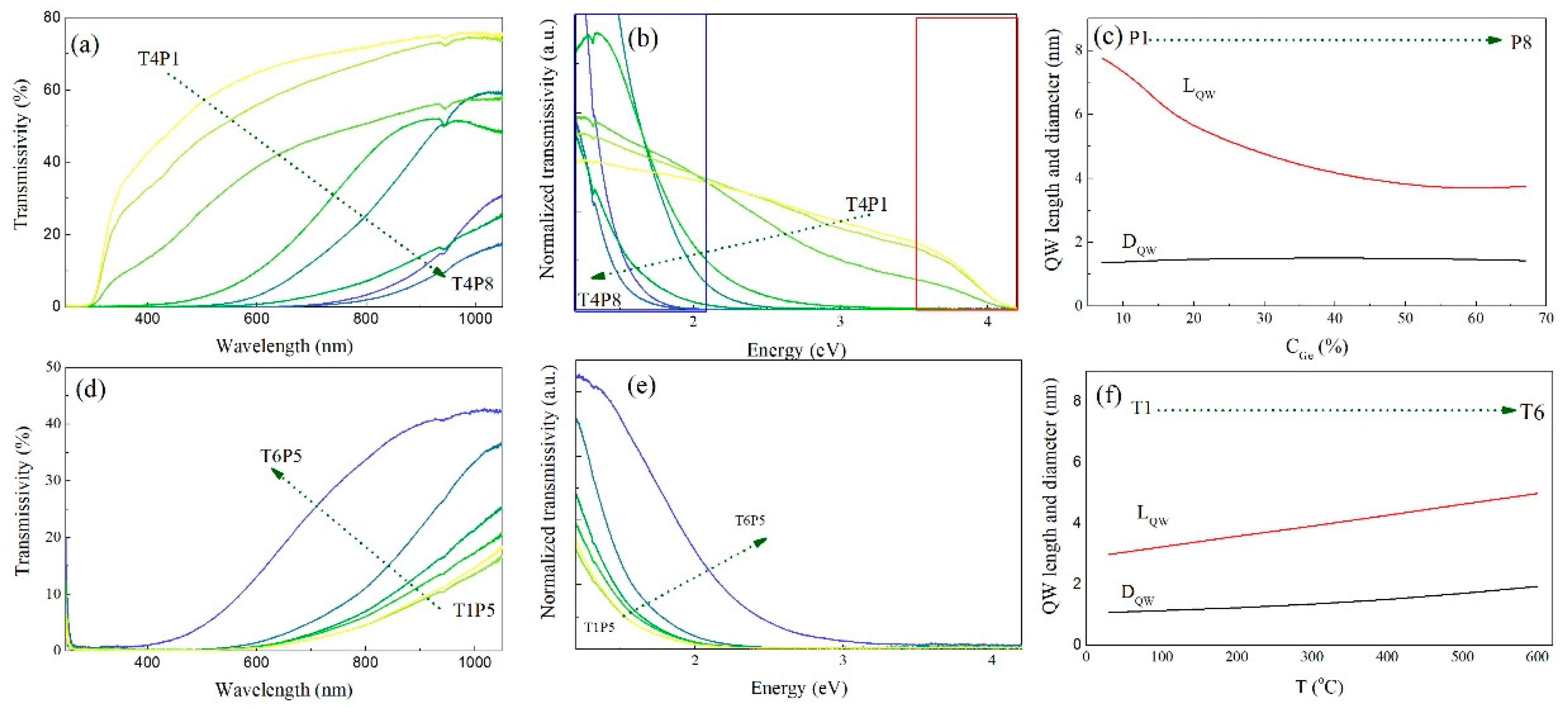
3.2. Optical Properties
4. Conclusions
Author Contributions
Funding
Acknowledgments
Conflicts of Interest
References
- Sone, J. Electron Transport in Quantum Wires and Its Device Applications. Semicond. Sci. Technol. 1992, 7, B210. [Google Scholar] [CrossRef]
- Hosseini, M.; Karimi, M.J. Tuning the Terahertz Absorption in Cylindrical Quantum Wire. Optik (Stuttg.) 2017, 138, 427–432. [Google Scholar] [CrossRef]
- Owji, E.; Keshavarz, A.; Mokhtari, H. Optical Gain of a Triple Coaxial Cylindrical Quantum Well Wires Laser under the Geometrical Effects and Magnetic Fields. Optik (Stuttg.) 2017, 139, 309–314. [Google Scholar] [CrossRef]
- Tshipa, M.; Winkoun, D.P.; Nijegorodov, N.; Masale, M. Donor Impurity Binding Energies of Coaxial GaAs/AlxGa1−xAscylindrical Quantum Wires in a Parallel Applied Magnetic Field. Superlattices Microstruct. 2018, 116, 227–237. [Google Scholar] [CrossRef]
- Kes, H.; Okan, S.E.; Aktas, S. The Excitons in Infinite Potential Centered Multilayered Coaxial Quantum Wire and the Magnetic Field Effects on Their Properties. Superlattices Microstruct. 2020, 139, 106421. [Google Scholar] [CrossRef]
- Tian, B.; Zheng, X.; Kempa, T.J.; Fang, Y.; Yu, N.; Yu, G.; Huang, J.; Lieber, C.M. Coaxial Silicon Nanowires as Solar Cells and Nanoelectronic Power Sources. Nature 2007, 449, 885–889. [Google Scholar] [CrossRef]
- Garnett, E.C.; Brongersma, M.L.; Cui, Y.; McGehee, M.D. Nanowire Solar Cells. Annu. Rev. Mater. Res. 2011, 41, 269–295. [Google Scholar] [CrossRef]
- Zhou, W.; Dai, X.; Lieber, C.M. Advances in Nanowire Bioelectronics. Reports Prog. Phys. 2017, 80, 016701. [Google Scholar] [CrossRef]
- Yu, G.; Lieber, C.M. Assembly and Integration of Semiconductor Nanowires for Functional Nanosystems. Pure Appl. Chem. 2010, 82, 2295–2314. [Google Scholar] [CrossRef][Green Version]
- Rauber, M.; Alber, I.; Muöller, S.; Neumann, R.; Picht, O.; Roth, C.; Schoökel, A.; Toimil-Molares, M.E.; Ensinger, W. Highly-Ordered Supportless Three-Dimensional Nanowire Networks with Tunable Complexity and Interwire Connectivity for Device Integration. Nano Lett. 2011, 11, 2304–2310. [Google Scholar] [CrossRef]
- Ray, N.; Gupta, N.; Adhikary, M.; Nekić, N.; Basioli, L.; Dražić, G.; Bernstorff, S.; Mičetić, M. Influence of Structure on Electronic Charge Transport in 3D Ge Nanowire Networks in an Alumina Matrix. Sci. Rep. 2019, 9, 1–9. [Google Scholar] [CrossRef]
- Bhuyan, P.D.; Kumar, A.; Sonvane, Y.; Gajjar, P.N.; Magri, R.; Gupta, S.K. Si and Ge Based Metallic Core/Shell Nanowires for Nano-Electronic Device Applications. Sci. Rep. 2018, 8, 1–10. [Google Scholar] [CrossRef] [PubMed]
- Barbagiovanni, E.G.; Lockwood, D.J.; Simpson, P.J.; Goncharova, L.V. Quantum Confinement in Si and Ge Nanostructures: Theory and Experiment. Applied Physics Reviews 1. 2014, 1, 1–47. [Google Scholar] [CrossRef]
- Li, Z.P.; Zheng, Y.C. A Review on Germanium Nanowires. Recent Pat. Nanotechnol. 2012, 6, 44–59. [Google Scholar]
- Siketić, Z.; Radović, I.B.; Jakšić, M. Development of a Time-of-Flight Spectrometer at the Ruder Bošković Institute in Zagreb. Nucl. Instruments Methods Phys. Res. Sect. B Beam Interact. Mater. Atoms 2008, 266, 1328–1332. [Google Scholar] [CrossRef]
- Siketić, Z.; Skukan, N.; Bogdanović Radović, I. A Gas Ionisation Detector in the Axial (Bragg) Geometry Used for the Time-of-Flight Elastic Recoil Detection Analysis. Rev. Sci. Instrum. 2015, 86, 083301. [Google Scholar] [CrossRef]
- Buljan, M.; Radić, N.; Ivanda, M.; Bogdanović-Radović, I.; Karlušić, M.; Grenzer, J.; Prucnal, S.; Dražić, G.; Pletikapić, G.; Svetličić, V.; et al. Ge Quantum Dot Lattices in Al2O3 Multilayers. J. Nanoparticle Res. 2013, 15, 1–13. [Google Scholar] [CrossRef]
- Buljan, M.; Radić, N.; Bernstorff, S.; Dražić, G.; Bogdanović-Radović, I.; Holý, V. Grazing-Incidence Small-Angle X-Ray Scattering: Application to the Study of Quantum Dot Lattices. Acta Crystallogr. Sect. A Found. Crystallogr. 2012, 68, 124–138. [Google Scholar] [CrossRef]
- Basioli, L.; Salamon, K.; Tkalčević, M.; Mekterović, I.; Bernstorff, S.; Mičetić, M. Application of GISAXS in the Investigation of Three-Dimensional Lattices of Nanostructures. Crystals 2019, 9, 479. [Google Scholar] [CrossRef]
- Buljan, M.; Pinto, S.R.C.; Rolo, A.G.; Martín-Sánchez, J.; Gomes, M.J.M.; Grenzer, J.; Mücklich, A.; Bernstorff, S.; Holý, V. Self-Assembling of Ge Quantum Dots in an Alumina Matrix. Phys. Rev. B 2010, 82, 1–7. [Google Scholar] [CrossRef]
- Endres, J.; Holý, V.; Daniš, S.; Buljan, M. Kinetic Monte Carlo Simulation of Growth of Ge Quantum Dot Multilayers with Amorphous Matrix. J. Nanoparticle Res. 2017, 19, 1–15. [Google Scholar] [CrossRef]
- Kholod, A.N.; Shaposhnikov, V.L.; Sobolev, N.; Borisenko, V.E.; D’Avitaya, F.A.; Ossicini, S. Orientation Effects in the Electronic and Optical Properties of Germanium Quantum Wires. Phys. Rev. B 2004, 70, 1–5. [Google Scholar] [CrossRef]
- Beckman, S.P.; Han, J.; Chelikowsky, J.R. Quantum Confinement Effects in Ge [110] Nanowires. Phys. Rev. B 2006, 74, 1–5. [Google Scholar] [CrossRef]
- Cosentino, S.; Miritello, M.; Crupi, I.; Nicotra, G.; Simone, F.; Spinella, C.; Terrasi, A.; Mirabella, S. Room-Temperature Efficient Light Detection by Amorphous Ge Quantum Wells. Nanoscale Res. Lett. 2013, 8, 1–7. [Google Scholar] [CrossRef]







| Title | P1 (2.5 W) * | P2 (2.5 W) | P3 (5 W) | P4 (10 W) | P5 (15 W) | P6 (20 W) | P7 (25 W) | P8 (30 W) |
|---|---|---|---|---|---|---|---|---|
| T1 (RT) | T1P1 | T1P2 | T1P3 | T1P4 | T1P5 | T1P6 | T1P7 | T1P8 |
| T2 (200 °C) | T2P1 | T2P2 | T2P3 | T2P4 | T2P5 | T2P6 | T2P7 | T2P8 |
| T3 (300 °C) | T3P1 | T3P2 | T3P3 | T3P4 | T3P5 | T3P6 | T3P7 | T3P8 |
| T4 (400 °C) | T4P1 | T4P2 | T4P3 | T4P4 | T4P5 | T4P6 | T4P7 | T4P8 |
| T5 (500 °C) | T5P1 | T5P2 | T5P3 | T5P4 | T5P5 | T5P6 | T5P7 | T5P8 |
| T6 (600 °C) | T6P1 | T6P2 | T6P3 | T6P4 | T6P5 | T6P6 | T6P7 | T6P8 |
| CGe (%) | 7 | 12 | 17 | 27 | 37 | 48 | 57 | 67 |
| p1 [10−6 K−2] | p2 [10−5 K−1] | p3 [10−4] | p4 [10−2 nm] | p5 [nm] | p6 [nm] | |
|---|---|---|---|---|---|---|
| 2.45 | 38.8 | 4.10 | −5.04 | 4.03 | 1.07 | |
| 400 | 320 | 4.05 | −4.86 | 2.07 | 2.53 | |
| 0.178 | 5.26 | −3.13 | 2.64 | 3.96 | 0.118 |
© 2020 by the authors. Licensee MDPI, Basel, Switzerland. This article is an open access article distributed under the terms and conditions of the Creative Commons Attribution (CC BY) license (http://creativecommons.org/licenses/by/4.0/).
Share and Cite
Basioli, L.; Tkalčević, M.; Bogdanović-Radović, I.; Dražić, G.; Nadazdy, P.; Siffalovic, P.; Salamon, K.; Mičetić, M. 3D Networks of Ge Quantum Wires in Amorphous Alumina Matrix. Nanomaterials 2020, 10, 1363. https://doi.org/10.3390/nano10071363
Basioli L, Tkalčević M, Bogdanović-Radović I, Dražić G, Nadazdy P, Siffalovic P, Salamon K, Mičetić M. 3D Networks of Ge Quantum Wires in Amorphous Alumina Matrix. Nanomaterials. 2020; 10(7):1363. https://doi.org/10.3390/nano10071363
Chicago/Turabian StyleBasioli, Lovro, Marija Tkalčević, Iva Bogdanović-Radović, Goran Dražić, Peter Nadazdy, Peter Siffalovic, Krešimir Salamon, and Maja Mičetić. 2020. "3D Networks of Ge Quantum Wires in Amorphous Alumina Matrix" Nanomaterials 10, no. 7: 1363. https://doi.org/10.3390/nano10071363
APA StyleBasioli, L., Tkalčević, M., Bogdanović-Radović, I., Dražić, G., Nadazdy, P., Siffalovic, P., Salamon, K., & Mičetić, M. (2020). 3D Networks of Ge Quantum Wires in Amorphous Alumina Matrix. Nanomaterials, 10(7), 1363. https://doi.org/10.3390/nano10071363

