Next Article in Journal
Highly Sensitive RNA-Based Electrochemical Aptasensor for the Determination of C-Reactive Protein Using Carbon Nanofiber-Chitosan Modified Screen-Printed Electrode
Next Article in Special Issue
On the Near-Pole Hole Insertion Layer and the Far-Pole Hole Insertion Layer for Multi-Quantum-Well Deep Ultraviolet Light-Emitting Diodes
Previous Article in Journal
Direct Detection of Inhomogeneity in CVD-Grown 2D TMD Materials via K-Means Clustering Raman Analysis
Previous Article in Special Issue
GaN-Based Resonant-Cavity Light-Emitting Diodes Grown on Si
 
 
Font Type:
Arial Georgia Verdana
Font Size:
Aa Aa Aa
Line Spacing:
Column Width:
Background:
Article

Tunable Lifetime and Nonlinearity in Two Dimensional Materials Plasmonic-Photonic Absorber

School of Physics and Information Engineering, Guangdong University of Education, No. 351 Xinggang Road, Guangzhou 510303, China
*
Author to whom correspondence should be addressed.
Nanomaterials 2022, 12(3), 416; https://doi.org/10.3390/nano12030416
Submission received: 1 December 2021 / Revised: 18 January 2022 / Accepted: 21 January 2022 / Published: 27 January 2022
(This article belongs to the Special Issue State-of-the-Art Nanophotonics Materials and Devices in China)

Abstract

:
We investigate a framework of local field, quality factor and lifetime for tunable graphene nanoribbon plasmonic-photonic absorbers and study the second order and third order nonlinear optical response of surface plasmons. The energy exchange of plasmonic-photonic absorber occurs in two main ways: one way is the decay process of intrinsic loss for each resonant mode and another is the decay process of energy loss between graphene surface plasmon (GSP) mode and the external light field. The quality factor and lifetime of the plasmonic-photonic absorber can be obtained with using the coupled mode theory (CMT) and finite difference time domain (FDTD) method, which are effectively tunable with changing Fermi energy, carrier mobility and superstrate refractive index. The evolutions of total energy and lifetime of GSP are also shown, which are helpful for the study of micro processes in a two-dimensional material plasmonic-photonic absorber. The strongly localized fundamental field induces a desired increase of second harmonic (SH) wave and third harmonic (TH) wave. The manipulation of the quality factor and lifetime of the GSP makes graphene an excellent platform for tunable two-dimensional material plasmonic-photonic devices to realize the active control of the photoelectric/photothermal energy conversion process and higher harmonic generation.

1. Introduction

The two-dimensional (2D) materials, such as graphene and black phosphorus, have fantastic and unique properties, such as being dynamically tunable with chemical doping or electrostatic gate, which makes 2D materials an excellent plasmonic platform for dynamically tunable devices [1,2,3,4]. Compared to metal, the improved absorption and confinement of surface plasmon (SP) in graphene-like 2D materials attracts a promising interest to realize nanoscale integrated photonic and electronic circuits due to their ability for controlling and confining waves at the subwavelength scale [5,6,7]. To controlling and confining waves in graphene, graphene can be incorporated into optical cavities, dielectric gratings, and photonic crystals. In addition, light can be efficiently trapped and absorbed. It has been shown that the structured graphene derivatives yield remarkably high optical absorption, even though a single atomic sheet of graphene can absorb only 2.3% of light in the infrared to visible spectral. As a relatively new novel optical function material, 2D materials such as graphene photonic devices are realized, such as light absorption, slow light, mode-locking, etc. Moreover, the graphene can support the generation and propagation of SP. Binary graphene nanoribbons have been theoretically proposed. GSP has the opposite in-plane electron oscillations along its two surfaces. In recent experiments, the tunability of doped SP in mid-infrared frequency has been experimentally demonstrated and theoretically studied [8,9,10,11]. The Fermi energy has a value of 1.17 eV. The carrier mobility ranges from ~1000 cm2/(V·s) in chemical vapor deposition grown graphene to 230,000 cm2/(V·s) in suspended exfoliated graphene. The plasmonic-photonic absorber and their ultrafast dynamics in the photoelectric/photothermal conversion device have broad application fields of photonics, photodetectors [12,13,14] and biomedicine [15,16]. The design and control of SP-induced hot electrons is proposed, which is based on the heterojunction characteristics [17,18,19,20]. There are many advantages of SP-induced hot electrons. The rapid transfer and collection (less than 100 fs) of hot electrons can avoid the energy loss and extension of response time caused by relaxation, recombination, binding and other processes. After the hot electrons enter the 2D materials through the heterojunction interface, the enhanced photoelectric/photothermal conversion efficiency is obtained. On the other hand, the strongly localized fundamental field of SP induces a desired increase of second harmonic wave and third harmonic wave [21,22]. The high-efficiency second and third harmonic generation effects have been studied in monolayer graphene-based transistors; they have also been experimentally observed in single-layer and bi-layer graphene sheets [22]. For a free-standing graphene, the second-order nonlinearity is forbidden due to the centrosymmetric of its structure [23,24]. Despite its center symmetry, the symmetry breaking can induce the second order nonlinearity in graphene [25,26,27,28]. The coupled graphene-cavity system was described by using coupled mode theory (CMT) [29]. The surface second harmonic generation in the graphene/vicinal-SiC structure is observed with large second-order susceptibility (1.99 × 10−10 m/V) [30].
The ultrafast dynamics of excited carriers in graphene was experiment observed, which can disentangle the subsequent decay into excitations of acoustic phonons and optical phonons [31]. In this work, we set a framework to study the characteristic of graphene nanoribbons (GN) plasmonic-photonic absorbers, including the local field, density of photon flux, quality factor and lifetime, and to study the second order and third-order nonlinear optical response of GSP. A theoretical model of this framework is established using the FDTD simulation and CMT analysis [32,33]. The nanostructured GN grating structure can enhance the light-matter interaction and plasmonic-photonic absorption. We have studied wave confinement, photon flux density, quality factor and lifetime of tunable surface plasmon in subwavelength scales. The quality factor and lifetime for each process of intrinsic loss and coupling loss have been especially studied. We describe the dual graphene-cavity model with a CMT analysis. The absorption can vary with Fermi energy, carrier mobility and refractive index of superstrate, which are calculated by FDTD. The results obtained with the FDTD method agree well with the results of CMT analysis. The decay rate, quality factor and lifetime in CMT are obtained from theoretical fitting of exact values with FDTD simulation. The evolutions of total energy and lifetime of GSP modes are also shown for short pulse, which are helpful for study of micro process in graphene plasmonic-photonic absorber. The strongly localized fundamental field induces a desired increase of TH wave and SH wave, which includes second harmonic signal, sum frequency signal and difference frequency signal in the SH wave. These methods are useful for investigating the optical intrinsic loss process or optical coupling loss process in 2D materials based plasmonic-photonic devices to realize the active control of the photoelectric/photothermal energy conversion process such as solar energy conversion [34], photoelectric conversion [35], nanoantenna [36], plasmonic hot carriers controlled higher harmonic generation [37] and high-sensitivity sensing [38,39]. The ability to tune the maximal radiative quality factor from infinite to finite is a unique property for trapped light within the radiation continuum.

2. Nanostructured GN and Theoretical Analysis

The nanostructured two graphene nanoribbon had a spatial period of L = 200 nm along xy-plane, which is sandwiched with the substrate and superstrate in Figure 1a. The refraction index of superstrate was set as n1. The FDTD method was used for the calculation. All components of electric and magnetic can be defined in the Yee’s grid. The perfectly matched absorbing boundary conditions were employed along the z direction, and the periodic boundary conditions were used along the x and y directions. Four-unit cells along the xy plane are plotted in Figure 1a; only one unit cell was considered in the computational space, which contained two graphene nanoribbons. It provided some guidance for the sample fragments with close spacing of each graphene nanoribbon because it was difficult to fabricate a perfect array with one graphene nanoribbon. The x direction polarized incident wave propagated along the z-axis. The grid size of 1 nm was used to mesh the graphene thin film. The graphene nanoribbon was modeled with cuboid (length P1, width P2, thickness Δ): P1 = 160 nm along y axis, P2 = 40 nm along x axis and Δ = 1 nm along z axis. The space between the two graphene nanoribbons was d = 40 nm. The material SiO2 was set as dielectric substrate. The conductivity had the form [40]:
σgra(ω) = ie2Ef/ħ2(ω + iτ−1)].
The anisotropic dielectric tensor is given by εgra = (ε11, ε22, ε33). The two components of dielectric tensor in xy-plane are set with ε11 = ε22 = ε0 (1 + iσgra/(ε0ωΔ)). The component with ε33 = ε0 was along the z direction. Here, the electric charge is e, and the reduced Planck’s constant is ħ. The vacuum permittivity with ε0, Fermi velocity with νf, Fermi energy with Ef, carrier mobility with μ and carrier relaxation time with τ were used. The parameters about graphene nanoribbon were used here with Ef = 0.64eV, μ = 1 m2/(V·s), νf = 106 m/s and τ = (μEf)/(eνf 2).
When the incident light S1,in was coupled into the nanostructured GN grating, the characteristics of the GSP was analyzed using theoretical CMT. The field am (m = 1, 2, 3) of GSP modes has equation dam/dt = −iωmam, where the resonance frequency is ωm. The evolution for am can be described with the theoretical CMT model of the nanostructured GN grating [39,40]:
t | a = j Ω | a ( Γ i + Γ w ) | a + S 1 , in | K + S 2 , in | K M | a
S 2 , out = S 2 , in + K | a
S 1 , out = S 1 , in + K | a
| a = ( a 1 a 2 a 3 ) ,   | K = ( k 1 k 2 k 3 ) , K | = ( k 1     k 2     k 3 )
Ω = [ ω 11 ω 12 ω 13 ω 21 ω 22 ω 23 ω 31 ω 32 ω 33 ] Γ w = [ γ w 11 γ w 12 γ w 13 γ w 21 γ w 22 γ w 23 γ w 31 γ w 32 γ w 33 ] , Γ i = [ γ i 11 γ i 12 γ i 13 γ i 21 γ i 22 γ i 23 γ i 31 γ i 32 γ i 33 ] , M = [ μ 11 μ 12 μ 13 μ 21 μ 22 μ 23 μ 31 μ 32 μ 33 ]
1/Qm = 1/Qim + 1/Qwm.
τm = Qm/ωm.
where S1,in, S2,in, S1,out, and S2,out represent the amplitude for incoming and outgoing waves, respectively. | a represents the amplitude of resonant GSP modes and | K is the coupling coefficient between GSP modes and light field. km stands for the coupling between each GSP mode and external light field. The Ω matrix represents resonant frequencies, the Γw matrix represents external loss rate, the Γi matrix represents the intrinsic loss rate, and the Μ matrix represents coupling coefficients, respectively. The m and n are set to 1, 2 and 3. If n ≠ m, ωmn, γwmn, γimn, Qwmn and Qimn are all equal to zero; if m = n, we have the relations ωmn = ωm, γimn = γim, γwmn = γwm, Qwmn = Qwm, Qimn = Qim, μmn = 0, γwm = ωm/(2Qwm) = 1/(2τwm), Qwm = ωmτwm, γim = ωm/(2Qim) =1/(2τim) and Qim = ωmτim. The decay rate γim represents the intrinsic loss process for m-th GSP mode, and Qim is the quality factor for the corresponding decay process of intrinsic loss. The decay rates γwm represent the energy coupling loss process between the m-th GSP mode and external light field; and Qwm is the quality factor for this energy coupling loss process. The coupling coefficient is μmn, which represents the coupling between three resonant GSP, which has the relation μmn = μnm. The τwm and τim are the lifetime. The relations between the quality factor and lifetime for corresponding processes at the m-th GSP mode have the equations Qwm = ωmτwm and Qim = ωmτim. For the GN plasmonic-photonic absorber structure, the total quality factor Qm, the total lifetime τm and ωm have the relations in Equations (7) and (8).
With the initial condition S2, in = 0, the reflection function, transmission function and absorption A(ω) with using the CMT method are obtained with:
r ( ω ) = ( γ w 1 G 1 + γ w 2 G 2 + γ w 3 G 3 ) / G 0
t ( ω ) = 1 [ ( γ w 1 + γ i 1 ) G 1 ( γ w 2 + γ i 2 ) G 2 ( γ w 3 + γ i 3 ) G 3 ] / G 0
A ( ω ) = 1 | t ( ω ) | 2 | r ( ω ) | 2
where γm = −(ωm-ω)i − γwm − γim. The χ1 = iμ12, χ2 = iμ13, χ3 = iμ23. G0, G1, G2 and G3 are the function of γm, χ1, χ2 and χ3, where G 0 = 2 χ 1 χ 3 χ 2 + χ 1 χ 1 γ 3 + χ 2 χ 2 γ 2 + χ 3 χ 3 γ 1 γ 1 γ 2 γ 3 , G 1 = ( γ 2 γ 3 χ 3 χ 3 ) γ w 1 + ( χ 1 γ 3 + χ 2 χ 3 ) γ w 2 + ( χ 2 γ 2 + χ 1 χ 3 ) γ w 3 , G 2 = ( χ 1 γ 3 + χ 2 χ 3 ) γ w 1 + ( γ 1 γ 3 χ 2 χ 2 ) γ w 2 + ( γ 1 χ 3 + χ 2 χ 1 ) γ w 3 , and G 3 = ( χ 2 γ 2 + χ 3 χ 1 ) γ w 1 + ( γ 1 χ 3 + χ 1 χ 2 ) γ w 2 + ( γ 1 γ 2 χ 1 χ 1 ) γ w 3 . We can compare the absorption spectra A(ω) obtained by the CMT theory in Equation (11) with the absorption simulated by FDTD method. With using Qwm = ωm/(2γwm) and Qim = ωm/(2γim), we can get values such as ωm, Qwm, Qim, τwm and τim, respectively. Moreover, the total quality factor Qm and total lifetime τm for the m-th GSP mode can be calculated.

3. Field Enhancement and Photon Flux Density of GSP

We concentrated on the properties and behavior of collections of photons, which is investigated by the nature of the GN surface plasmon wave. The absorptions with different width and lattice period using the FDTD simulation are shown here in Figure 1b,c. The absorption with different width P2 = 30 nm (black line), 40 nm (blue line), 50 nm (red line) and 60 nm (green line) of the GN grating was investigated, shown in Figure 1b. The second resonant mode (blue-dotted arrow) and third resonant mode (red-dotted arrow) both have the red-shift. The absorption with different lattice period L = 200 nm (black line), 300 nm (blue line) and 400 nm (red line) in Figure 1c, respectively. The first resonant mode (black-dotted arrow) and the third resonant mode (red-dotted arrow) are almost unchanged. The second resonant mode (blue-dotted arrow) has the blue-shift. For the case of the lattice period L = 200 nm in Figure 1c, three different GSP resonance modes have the resonant wavelengths λ1 = 3.9 μm, λ2 = 4.35 μm and λ3 = 4.91 μm, respectively. From the absorption calculation with FDTD method, we can obtain the resonant frequency value ωm in Equation (11) with ωm = 2πc/λm. The absorption A(ω) can be fitted by choosing the values of γim and γwm in Equation (11). By comparing the intensity and spectral width of absorption A(ω) obtained by CMT in Equation (11) with that of absorption (case for L = 200 nm) simulated by FDTD in Figure 1c, we can get the values: (γw1, γw2, γw3) = (2.2 × 109 rad/s, 10.8 × 1010 rad/s, 12.2 × 1010 rad/s), and (γi1, γi2, γi3) = (1.25 × 1012 rad/s, 1.83 × 1012 rad/s, 1.87 × 1012 rad/s). Using Qwm = ωm/(2γwm), Qim = ωm/(2γim), τwm = 1/(2γwm), τim = 1/(2γim), Qw = ωm τw and the relations in Equations (7) and (8), we can get quality factors: (Qw1, Qw2, Qw3) = (4.7 × 104, 2.04 × 103, 1.59 × 103), (Qi1, Qi2, Qi3) = (192, 118, 103), (Q1, Q2, Q3) = (192, 112, 97) and lifetimes (τw1, τw2, τw3) = (0.2 ns, 4.7 ps, 4.15 ps), (τi1, τi2, τi3) = (397 fs, 275 fs, 270 fs) and (τ1, τ2, τ3) = (396 fs, 260 fs, 254 fs). The μmn is set as 1.0 × 104 rad/s in this model.
It is represented that the distributions of the electric field component Ez, electric field component Ex, and photon flux density Φ at λ1 = 3.9 μm, λ2 = 4.35 μm and λ3 = 4.91 μm are obtained with FDTD simulation in Figure 1d–l, respectively. The distributions of the electric field component Ez at λ1, λ2, and λ3 are shown in Figure 1d–f, respectively. The distributions of the electric field component Ex at λ1, λ2, and λ3 are shown in Figure 1g–i, respectively. The distributions of the photon flux density Φ at λ1, λ2, and λ3 are shown in Figure 1j–l, respectively. The left and right edges corresponding to the polarization of the incident light have strong local photon flux density Φ at λ1 = 3.9 μm and λ2 = 4.35 μm, whose magnitude decays very fast outside the graphene nanoribbons edge in Figure 1j–k. The Φ at λ2 = 4.35 μm is also seen to be partly localized inside the graphene nanoribbons region due to the short-range interaction in Figure 1k. The Φ with λ3 = 4.91 μm is seen to be located at the four corners of the graphene nanoribbon, which is a corner effect as shown in Figure 1l. The photon flux density Φ at λ3 = 4.91 μm has reduced to almost zero inside the center region of graphene nanoribbons.
The amplitude of electric field |Em)| for the m-th GSP mode had a function of r0, Fermi energy Ef, carrier mobility μ and refractive index n1, which can be calculated as |Em, r0, Ef, μ, n1)| with FDTD simulation:
|Em, r0, Ef, μ, n1)| = sqrt(Ex2+ Ey2+ Ez2)
where r0 is a position in the grapheme region. We concentrated on the property and behavior of collections of photons, which is determined by the nature of graphene surface plasmon wave. Monochromatic light of a frequency ω m (m = 1, 2, 3) and intensity I (w/m2) carries a mean photon flux density Φ. The distribution of photon flux density Φ for the m-th GSP mode (m = 1, 2, 3) can be calculated as:
Φ = I ( λ m ,   r 0 ,   E f ,   μ , n 1 ) / h ω m   = E ( λ m ,   r 0 ,   E f ,   μ , n 1 )   E * ( λ m ,   r 0 ,   E f ,   μ , n 1 ) / h ω m
For tunable graphene nanoribbons plasmonic-photonic absorber, we can get the tunable ability of electric field |Em)| and photon flux density Φ using Fermi energy Ef, carrier mobility μ and refractive index n1.
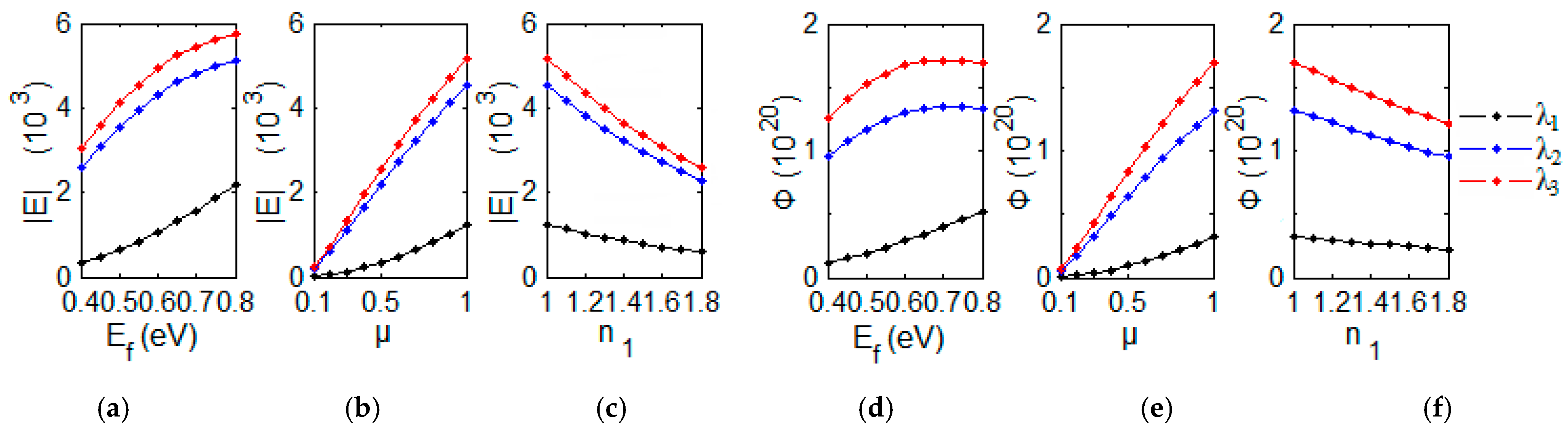
To get more insight into the field localization and corresponding photonic localization, electric field and photon flux density with different modulated parameters Ef are studied with FDTD simulation in Figure 2a–f. The parameters are fixed with μ = 1 m2/(V·s) and n1 = 1 for various Fermi level Ef. With the FDTD simulation, the amplitude of electric field |Em)| and photon flux density Φ(λm) (m = 1, 2, 3) at λ1, λ2 and λ3 inside the graphene region with various Fermi energy Ef are depicted in Figure 2a,d). For Ef = 0.4 eV, the three different resonant modes with wavelengths λ1 = 4.94 μm, λ2 = 5.51 μm and λ3 = 6.21 μm are obtained with the FDTD simulation. Then, we can obtain |Em)| and Φ(λm) for the case Ef = 0.4 eV in grapheme region using Equations (12) and (13). For other cases Ef = 0.45, 0.50, 0.55, 0.60, 0.65, 0.70, 0.75, and 0.80 eV, both |Em)| and Φ(λm) can also be obtained in grapheme region, respectively. The values of |Em)|, Φ(λm) with different Fermi level Ef have the fitting expresses as the follows: |E1)| = 5.3Ef2 − 1.7Ef + 0.2 (103), |E2)| =−11.7Ef2 + 20.4Ef − 3.7 (103), |E3)|= −13.7Ef2 + 23.2Ef − 4.1 (103), Φ(λ1) = 0.6Ef2 + 0.2Ef − 0.1 (1019), Φ(λ2) = −3.9Ef2 + 5.6Ef − 0.7 (1020) and Φ(λ3) = −5.0Ef2 + 7.1Ef − 0.8 (1020). For plasmonic-photonic absorber, we can get the tunable ability of electric field amplitude |Em)| and photon flux density Φ using Fermi energy Ef, which can be adjusted with applied voltage bias or doping concentration.
If we set Fermi level Ef = 0.64 eV and n1 = 1, we can study similar field localization and corresponding photonic localization with different carrier mobility μ. The amplitude of electric field |Em)| and photon flux density Φ(λm) at λ1, λ2 and λ3 inside the graphene region with various carrier mobility μ are depicted in Figure 2b,e. The values of |Em)|, Φ(λm) with different carrier mobility μ have the fitting expresses: |E1)|= 1.1μ2 + 0.2μ − 0.02 (103), |E2)|= 4.9μ − 0.3 (103), |E3)|= 5.6μ − 0.3 (103), Φ(λ1) = 0.3μ2 + 0.1μ − 0.005 (1019), Φ(λ2) = 1.4μ − 0.1 (1020), and Φ(λ3) = 1.8μ − 0.1 (1020). The electric field |Em)| and photon flux density Φ can be adjusted with the type and quantity of impurities, and working temperature. The corresponding sensors probe the impurity and analyzing temperature [41].
For fixed Ef = 0.64 eV and carrier mobility μ = 1 m2/(V·s), the field localization and corresponding photonic localization are sensitive with refractive index n1 of superstrate, which has sensing application in detecting the surrounding environment. The amplitude of electric field |Em)| and Φ(λm) at λ1, λ2 and λ3 inside the graphene region with various refractive index n1 are depicted in Figure 2c,f. The fitting expresses are set as follows: |E1)|= −0.8n1 + 2.0 (103), |E2)|= −2.8n1 + 7.2 (103), |E3)|= −3.2n1 + 8.2 (103), Φ(λ1) = −0.1n1 + 0.5 (1019), Φ(λ2) = −0.5n1 + 1.8 (1020) and Φ(λ3) = −0.6n1 + 2.3 (1020). The theoretical descriptions of the tunable photon flux density Φ will make it useful in applying the theory for sensing applications by changing the refractive index n1 of superstrate such as aqueous solution [39].

4. Tuning Quality Factor and Lifetime of GSP

The field localization and corresponding photonic localization can be adjusted with applied voltage bias, doping concentration, impurities, working temperature and refractive index n1 of superstrate. The quality (Q) factor of the system may vary greatly with different applications and requirements. The system, with an emphasis on damping, only needs a low-quality factor. The Q factor of atomic clock, accelerators, laser or other optical resonators, which need strong resonance or frequency stability, is high. And their Q factor can reach 1011 or even higher. Trapped light within the radiation continuum has been experimentally measured, and the ability to tune the maximal radiative Q from infinite to finite is an unique property that may be exploited [42]. High Q-factor indicates that the energy loss rate of the oscillator is slow, and the vibration lasts for a long time. It is necessary that the quality factor and lifetime of GSP in plasmonic-photonic devices can undergo tuning.
The energy exchange of plasmonic-photonic absorber has mainly two ways: one way is the decay process of intrinsic loss for each resonant mode and another is the decay process of coupling loss between the GSP mode and the external light field. Qim and τim are the quality factor and lifetime of the first decay process. Qwm and τwm are the quality factor and lifetime of the second decay process. For the plasmonic-photonic absorber, the total quality factor Qm and total lifetime τm can be obtained with the relations in Equations (7) and (8).
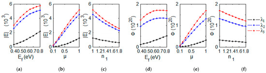
The GSP resonances can be used for modulation using electric voltage bias. There was a good broad tunability of the GSP by changing the Fermi energy Ef. The parameter of carrier mobility is fixed with μ = 1 m2/(V·s) and n1 = 1 here. The photoresponsivity of GN grating strongly depends on the Fermi energy Ef. The evolution of optical absorption spectra for different Fermi energy Ef is investigated with FDTD simulation in Figure 3a. The three GSP modes have the blue shift with the increasing of Fermi energy Ef. For Ef = 0.40 eV, the graphene surface plasmon have three resonant wavelengths λ1 = 4.94 μm, λ2 = 5.51 μm and λ3 = 6.21 μm with the FDTD simulation. The absorption A(ω) in Equation (11) can be obtained with appropriate values of γim and γwm. By comparing the intensity and spectral width of absorption A(ω) in Equation (11) with that of absorption simulated with FDTD in Figure 3a, we can get the fitting values: (γw1, γw2, γw3) = (2.2 × 108 rad/s, 8.2 × 1010 rad/s, 1.04 × 1011 rad/s) and (γi1, γi2, γi3) = (1.26 × 1012 rad/s, 1.81 × 1012 rad/s, 1.85 × 1012 rad/s). Using Qwm = ωm/(2γwm), Qim = ωm/(2γim), τwm = 1/(2γwm), τim = 1/(2γim), Qw = ωmτw and the relations in Equations (7) and (8), we can get quality factors: (Qw1, Qw2, Qw3) = (8.67 × 105, 2.06 × 103, 1.45 × 103), (Qi1, Qi2, Qi3) = (151, 94, 82), (Q1, Q2, Q3) = (151, 90, 78) and lifetimes (τw1, τw2, τw3) = (2.27 ns, 6.02 ps, 4.78 ps), (τi1, τi2, τi3) = (397 fs, 275 fs, 270 fs), (τ1, τ2, τ3) = (397 fs, 263 fs, 256 fs). For other Ef = 0.45, 0.50, 0.55, 0.60, 0.65, 0.70, 0.75, and 0.80 eV, all values of total quality factor Qm and total lifetime τm using CMT method are shown in Figure 3b.
For graphene plasmonic-photonic structure at m-th GSP mode (m = 1, 2, 3), the quality factor Qm and lifetime τm with different Fermi energy Ef are shown in Figure 3b. With the fixed value μ = 1 m2/(V·s) and n1 = 1, the Qm increase as the increasing of Fermi energy Ef in Figure 3b. The τm has little change as the Ef increasing from 0.40 eV to 0.70 eV. The τ2 and τ3 increase lightly with the change of Fermi energy Ef from 0.7 eV to 0.8 eV. According to the different applications and requirements, the total quality factor Qm and lifetime τm of three GSP modes can be modulated with Ef by changing voltage bias or doping concentration. Quality factors Qw2, Qw3 and lifetimes τw2, τw3 with different Fermi energy Ef using CMT method are shown in Figure 3c. The quality factors Qi2, Qi3 and lifetimes τi2, τi3 with different Fermi energy Ef using CMT method are shown in Figure 3d. The values are shown with: Qw1 = 1.4 × 109 exp(−12Ef1/2), Qw2 = 6.1 × 103 − 1.6 × 104 Ef + 1.5 × 104 Ef2, Qw3 = 4 × 103 − 1.1 × 104 Ef + 1.1 × 104 Ef2, Qi1 = 91 + 156 Ef, Qi2 = 56 + 97 Ef and Qi3 = 49 + 85 Ef. The intrinsic loss and coupling loss are investigated with changing Fermi energy Ef, which provide the insight into understanding two decay processes. Therefore, the graphene grating is a promising candidate for interesting electrically-controlled graphene nanoplasmonic-photonic devices.
The lower mobility in the graphene nanoribbon corresponds to higher loss with fixed Fermi energy Ef = 0.64 eV and n1 = 1. The evolution of optical absorption spectra for different carrier mobility μ is investigated with FDTD simulation as shown in Figure 4a. The resonant modes with λ1 = 3.9 μm, λ2 = 4.35 μm and λ3 = 4.91 μm keep unchanged with different carrier mobility μ. The absorption intensity of the three resonance modes in GSP system possesses the exponential decay with the decrease of carrier mobility μ. The lower mobility corresponds to a higher loss in the GN grating. The fitting parameters Qwm, Qim, γim, γwm, τim and τwm can be resented by comparing absorption A(ω) with absorption obtained by FDTD simulation. Then we can get Qim, Qwm,τwm, τim, Qm and τm (m = 1, 2, 3) with various carrier mobility μ from μ = 0.1 to μ = 1 m2/(V·s). For graphene plasmonic-photonic structure at m-th GSP mode (m = 1, 2,3), the total quality factor Qm and total lifetime τm are the function of carrier mobility μ obtained using CMT method in Figure 4b. In Figure 4b, the Qm increase with the increase of μ. The total lifetime τm increase as the increasing of carrier mobility μ in Figure 4b. With the CMT method, the quality factors Qw2, Qw3 and lifetimes τw2, τw3 with different carrier mobility μ is shown in Figure 4c. With the CMT method, the quality factors Qi2, Qi3 and lifetimes τi2, τi3 with different carrier mobility μ is represented in Figure 4d. All the fitting values of parameters for the quality factors are obtained as follows: Qw1 = 7.7 × 109 exp(−12μ1/5), Qw2 = 3.2 × 103 − 8.9 × 103μ + 1.5 × 104μ2 − 7.5 × 103μ3, Qw3 = 2.2 × 103 − 6.1 × 103μ + 1.1 × 104μ2 − 5.2 × 103μ3, Qi1= 2.3 × 10−6 + 172μ+ 191μ2, Qi2 = 3.4 × 10−7 + 107μ + 119μ2 and Qi3 = −1.5 × 10−7 + 94μ+ 104μ2. The theoretical descriptions and data fitting of decay rates or lifetimes will make it useful in to apply the methods for the change of carrier mobility μ in future modulated graphene devices. According to the different applications and requirements, the total quality factor Qm and lifetime τm can be modulated by carrier mobility by changing the type and quantity of impurities and working temperature.
Here, we fix the values of Ef = 0.64 eV and μ = 1 m2/(V·s). The evolution of simulated optical absorption spectra for different refractive index n1 is investigated with the FDTD method, as shown in Figure 5a. The fitting values of Qwm, Qim, τwm, τim, γwm and γim can be represented after comparing absorption A(ω) in Equation (11) with that obtained by FDTD simulation in Figure 5a. The three resonance GSP modes have the red-shift with increasing of refractive index n1 in Figure 5a. This quasi-linear response characteristic between the n1 and resonant wavelength is especially valuable for the sensing application of graphene. For the graphene plasmonic-photonic structure at the m-th GSP mode (m = 1, 2, 3), the total quality factor Qm and total lifetime τm are shown as the function of the refractive index n1 of superstrate using CMT method in Figure 5b. In Figure 5b, the total quality factors Qm decreased as the refractive index n1 increased from 1 to 1.8, while the total lifetime τm remained nearly unchanging with the various refractive index n1. With the CMT method, the quality factors Qw2, Qw3 and lifetimes τw2, τw3 with different refractive index n1 is shown in Figure 5c. With the CMT method, the quality factors Qi2, Qi3 and lifetimes τi2 and τi3 with different refractive index n1 are shown in Figure 5d. All the values of quality factors are represented as follows: Qw1 = − 22,375 n1 + 1.1726 × 105, Qw2 = − 784 n1 + 2902, Qw3 = −696 n1 + 2526, Qi1 = 10 n1 + 38, Qi2 = −5 n1 + 17, Qi3 = 4 n1 + 15. The theoretical descriptions and data fitting of quality factors and lifetimes with different n1 of superstrate, such as aqueous solution, will make it useful to apply the methods for future 2D materials modulation and sensing devices.
How to describe the Figure of merit (FOM) of a sensor? It can be related to the resonance wavelength shifts at certain refractive index n1. The sensitivity can be defined as [38,39]. Resonant wavelength variation Δλ can be changed by the refractive index change Δn of superstrate environment.
The carrier dynamic of a saturable structure plays an important role to determine how a short pulse can be produced in large-scale vertical bilayer junctions [23]. Let us assume that the incident field is ultrashort pulse here [43]. The short pulse with two different central frequencies ω2 and ω3 can be written as E(r,t) = E(r)exp(−(t − t0)2/(td2)) (e−iω2t + e−iω3t), where delay of time is t0 and td is 200 fs.
Oscillations and plasmon energy shift are studied in gold nanorods [44]. Experiment of the carrier dynamics in perovskite was observed [45,46]. The transient optical responses and dynamic evolution of the carrier in the 2D materials junction samples can be characterized using femtosecond differential transmission spectroscopy [19]. For thorough investigation of total energy W and lifetime τm for m-th resonant GSP mode, the transient dynamic evolution of optical responses can be investigated here using the FDTD code. The evolution of total energy W and total lifetime τm can be investigated with using the pulse excitation. The relation between the lifetime τm of the m-th resonant mode is the equations τm = W/P. The W is the total energy stored inside the computational region while P is the power radiation out from the grapheme region. ωm represents frequency of the resonant GSP modes. The manipulation of the quality factor and lifetime of the GSP makes graphene an excellent application platform of the photoelectric/photothermal energy conversion process and higher harmonic generation.
First, we investigate the total energy W for m-th resonant GSP mode, which is stored inside the computational region. For the fixed value with μ = 1 m2/(V·s) and n1 = 1, the transient dynamic evolution of total energy at wavelengths λ2 and λ3 various with three different Fermi energy Ef from 0.8 eV to 0.4 eV obtained with FDTD simulation are plotted in Figure 6a–c, respectively. The total energy for Ef = 0.40 eV has a more rapidly decay than that of Ef = 0.60 eV and Ef = 0.80 eV. Moreover, the total energy of the mode λ2 has a more rapidly exponential decay than that of λ3. For plasmonic-photonic absorber, we can study the time evolution of total energy and its photon flux density by changing applied voltage bias. For the fixed value of Ef = 0.6 eV and n1 = 1, the time evolution of total energy at λ2 and λ3 with three different carrier mobility μ = 0.1 eV, 0.6 eV and 1 m2/(V·s) are represented with FDTD simulation in Figure 6d–f, respectively. The total energy has a more rapid decay when carrier mobility μ decreased from μ = 1 m2/(V·s) to μ = 0.1 m2/(V·s). The time evolution of total energy with different carrier mobility is helpful to probe the impurity and analyzing temperature.
For the case μ = 1 m2/(V·s) and n1 = 1, the dynamics evolution of lifetimes at wavelengths λ2 and λ3 various with three different values of Ef = 0.4 eV, 0.6 eV and 0.8 eV are represented with FDTD simulation in Figure 6g–i, respectively. The lifetimes can almost reach 1.4 ps for the cases Ef = 0.6 eV and 0.80 eV. The lifetime of the mode λ2 has a more rapid exponential decay than that of λ3. For trapped light within the radiation continuum, the ability to tune the maximal radiative Q from infinite to finite is a unique property that may be exploited [42].
For the ultrafast dynamics of excited carriers in graphene, the time, energy, and momentum-resolved statistical distribution of hot electrons in quasi-free-standing graphene was directly measured after a photoexcitation process, which plays a central role for many electronic and optoelectronic applications [31]. The photoinduced carrier multiplication and carrier density were obtained from the electronic temperature. To study the dynamic evolution of the SP-induced hot carrier in the heterostructure of gold–graphene [44], the time-resolved differential reflection measurements were performed. After photoexcitation, the strongly out-of-equilibrium photocarriers rapidly thermalize distribution. The dominant mechanism for SP induced hot electron generation in the graphene originates from the near-field enhancement of direct photoexcitation in the graphene.

5. Second-Order and Third-Order Nonlinearity of GSP

The high-efficiency second and third harmonic generation effects have been experimentally investigated in monolayer graphene-based transistors and exfoliated BP [21,22]. It was found that the local SP can also enhance the second and third harmonic generation (THG). The strongly localized fundamental field induces a desired increase of second harmonic wave and third harmonic wave. Here, we investigated the TH wave and SH wave including SHG as well as the SFG and DFG signals, whose results re calculated by the FDTD simulation in Figure 7 and Figure 8.
The incident electromagnetic field is composed of two monochromatic plane waves with frequencies ω1 and ω2: E(r,t) = E2ei(krω2t) + E3e i(krω3t). Here, ki (I = 2, 3) is the corresponding wave vector. Using the express of E(r,t), we can obtain the polarization of second-order nonlinear P(2)(r,t):
P(2) = ε0χ(2): [E2E2e 2i(k2·rω2t) + E3E3e 2i(k3·rω3t) + 2E2E3e i[(k2+k3)·r−(ω2+ω3)t] + 2E2E3*e
i[(k2−k3)·r(ω2−ω3)t] + cc]+2ε0χ(2): (E2E2* + E3E3*)
The terms in the Equation (15) have the second harmonic generation (SHG) signal at frequencies 2ω2 and 2ω3, difference frequency generation (DFG) signal with (ω3ω2) and sum frequency generation (SFG) signal with (ω2 + ω3), respectively. The value of χ(2) can be obtained from Equation (15). The Equation (15) represents the nonlinear optical processes, including SHG, SFG, and DFG. When the fundamental wave (FW) light with two frequencies is incident upon the GN grating, SHW will be excited. It is noted that observation of optical second harmonic generation from suspended single-layer and bi-layer grapheme was experimentally reported [21].
Let us now assume that the incident electromagnetic field is the superposition of two monochromatic plane waves. These incident electric fields with two frequencies ω2 and ω3 can be written as: E(r,t) = E0(r)(e−iω2t + e−iω3t). For incident wave with λ2 = 4.35 μm and λ3 = 4.91 μm, the Fourier spectrum of Ex propagating away from structure is shown in Figure 7a. There are four GSP modes for second-order nonlinear spectrum with four resonant wavelengths λ4 = 2.17 μm, λ5 = 2.31 μm, λ6 = 2.45 μm, and λ7 = 38.87 μm in Figure 7a. The SHG modes with λ4 = 2.17 μm and λ6 = 2.45 μm are resulted from the FW with wavelengths λ2 = 4.35 μm and λ3 = 4.91 μm due to the SHG effect, respectively. The SFG field has the wavelength λ5 = 2.31 μm. The resonant wavelength is λ7 = 38.87 μm for DFG field. The distributions of SH photon flux density Φ for λ4 = 2.17 μm, λ5 = 2.31 μm, λ6 = 2.45 μm, and λ7 = 38.87 μm are represented in Figure 7b–e, respectively. The distribution of SH photon flux density Φ at wavelength λ4 is seen to be mainly localized inside the graphene nanoribbons center region due to the short-range interaction in Figure 7b. The distribution of SH wave photon flux density Φ at wavelength λ6 is seen to be mainly localized along the short edge region in Figure 7d. The distribution of SH wave photon flux density Φ at wavelength λ7 is seen to be mainly localized along the four-edge region in Figure 7e.
Log plots of the SH enhancement factor with three different Fermi energy Ef = 0.40 eV, 0.60 eV and 0.80 eV are obtained in Figure 7f. Log plot of the SH enhancement factor with three different position z = 0, z = 10 nm and z = 100 nm away from the graphene layer with Fermi energy Ef = 0.64 eV are plotted in Figure 7g, respectively.
The third order nonlinear optical property in nonlinear 2D material graphene plasmonic-photonic absorber is investigated here. The Kerr effect of the third-order nonlinear polarization of graphene is expressed as following:
P(3)(ω) = 3ε0χ(3)|E(ω)|2E(ω).
In this equation, third order susceptibility χ(3) of graphene can be obtained in nonlinear 2D material. The graphene lattice with D6h space group is centrosymmetric. A direct implication of this property is that second-order nonlinearity is forbidden. However, nonlinearity for TH wave is allowed and particularly strong in graphene. The quadratic optical nonlinearity of graphene can be described with using the nonlinear optical conductivity tensor σ3. The current density of third order nonlinear is j3nl(r,t) = σ3E(r,t)|E(r,t)|2. The nonlinear conductivity has the form [47]:
σ3(ω) = ie2Efħ2(ω + iτ1)] + 3ie2(eνf)2(1 + α)/(32πħ2Ef/ω3).
Here, the imaginary of σ3 is negative, which describes the self-focusing type nonlinear response in graphene. Both linear conductivity σgra in Equation (1) and nonlinear conductivity σ3 in Equation (17) nonlinear conductivity are highly dependent on fermi energy, which could provide a way to get an electrically controlled optical biostability. After considering nonlinear effect, total conductivity has the form:
σ = σgra + σ3|E(r,t)|2.
When the FW wave with one frequency is incident upon the GN grating, third-order nonlinearity will be excited. Log plot of the TH enhancement factor with three different Fermi energy Ef = 0.40 eV, 0.60 eV and 0.80 eV are shown for mode λ2 in Figure 8a. TH enhancement factor is about 10−4. The THG mode with wavelength λ′2 (blue-dotted line) was excited by the FW wave with wavelength λ2 (blue-dotted line). Illuminated with an x-polarized plane wave at the fundamental frequency λ2, the polarization state of the SH emission for amplitude of electric field (|E|) at λ′2 from an array of two graphene nanoribbons is shown in Figure 8b. The TH signal is a function of the angle (not the polarization of the incident field); the θ = 0 corresponds to the x axis. The log plot of the TH enhancement factor at TH mode λ8 with three different position z = 0, z = 10 nm and z = 100 nm away from the graphene layer is shown in Figure 8c. Recently, quantum confinement-induced enhanced third-order nonlinearity and carrier lifetime modulation in two-dimensional tin sulfide were observed with Z-scan measurements and fs-resolved transient absorption spectroscopy [48].

6. Conclusions

We investigate a framework of the local field enhancement, photon flux density, quality factor and lifetime for tunable graphene plasmonic-photonic structure and study the second order and third order nonlinear optical response of grapheme surface plasmons. The quality factor and lifetime for each process of intrinsic loss or coupling loss have been studied. We have investigated the modulated plasmonic-photonic absorber in two graphene nanoribbons grating using Fermi energy, carrier mobility and refractive index. The theoretical descriptions and data fitting will make it useful to apply the methods for future 2D material plasmonic-photonic structures, modulation, and devices application. The modulated 2D plasmonic-photonic absorber results from the enhanced local field. The strongly-localized fundamental field induces a desired increase of TH wave and SH wave, including SHG, as well as the SFG and DFG signals. The proposed configuration and results could provide the guidance for designing quality factor and lifetime modulated 2D material plasmonic-photonic devices and the active control of the photoelectric/photothermal energy conversion process such as solar energy conversion, nanoantenna, higher harmonic generation and high-sensitivity sensing.

Author Contributions

Writing—original draft preparation, R.Z.; visualization, S.Y.; supervision, Y.Z. All authors have read and agreed to the published version of the manuscript.

Funding

This research was funded by the Province Natural Science Foundation of Guangdong (2018A030313684), and Scientific Key Research Fund of Guangdong Provincial Education Department (2019KZDXM061, 2019KQNCX099, 2020ZDZX2059).

Conflicts of Interest

The authors declare no conflict of interest. The funders had no role in the design of the study; in the collection, analyses, or interpretation of data; in the writing of the manuscript, or in the decision to publish the results.

References

  1. Miao, J.; Hu, W.; Jing, Y.; Luo, W.; Liao, L.; Pan, A.; Wu, S.; Cheng, J.; Chen, X.; Lu, W. Surface Plasmon-Enhanced Photodetection in Few-Layer MoS2 Phototransistors with Au Nanostructure Arrays. Small 2015, 11, 2392–2398. [Google Scholar] [CrossRef]
  2. Wang, Z.; Wang, P.; Wang, F.; Ye, J.; He, T.; Wu, F.; Peng, M.; Wu, P.; Chen, Y.; Zhong, F.; et al. A Noble Metal Dichalcogenide for High-Performance Field-Effect Transistors and Broadband Photodetectors. Adv. Funct. Mater. 2020, 30, 1907945. [Google Scholar] [CrossRef]
  3. Guo, N.; Xiao, L.; Gong, F.; Luo, M.; Wang, F.; Jia, Y.; Chang, H.; Liu, J.; Li, Q.; Wu, Y.; et al. Light-Driven WSe2-ZnO Junction Field-Effect Transistors for High-Performance Photodetection. Adv. Sci. 2020, 7, 1901637. [Google Scholar] [CrossRef] [PubMed] [Green Version]
  4. Tang, Y.; Wang, Z.; Wang, P.; Wu, F.; Wang, Y.; Chen, Y.; Wang, H.; Peng, M.; Shan, C.; Zhu, Z.; et al. WSe2 Photovoltaic Device Based on Intramolecular p–n Junction. Small 2019, 15, 1805545. [Google Scholar] [CrossRef] [PubMed]
  5. Wang, P.; Xia, H.; Li, Q.; Wang, F.; Zhang, L.; Li, T.; Martyniuk, P.; Rogalski, A.; Hu, W. Sensing Infrared Photons at Room Temperature: From Bulk Materials to Atomic Layers. Small 2019, 15, 1904396. [Google Scholar] [CrossRef]
  6. Yang, S.; Zhou, R.; Liu, D.; Lin, Q.; Li, S. Controlling the plasmon-induced transparency system based on Dirac semimetal at mid-infrared band. Opt. Commun. 2019, 449, 13–18. [Google Scholar] [CrossRef]
  7. Chen, J.; Li, Z.; Li, J.; Gong, Q. Compact and high-resolution plasmonic wavelength demultiplexers based on Fano interference. Opt. Express 2017, 19, 9976–9985. [Google Scholar] [CrossRef]
  8. Wu, F.; Li, Q.; Wang, P.; Xia, H.; Wang, Z.; Wang, Y.; Luo, M.; Chen, L.; Chen, F.; Miao, J.; et al. High efficiency and fast van der Waals hetero-photodiodes with a unilateral depletion region. Nat. Commun. 2019, 10, 4663. [Google Scholar] [CrossRef] [Green Version]
  9. Tong, L.; Duan, X.; Song, L.; Liu, T.; Ye, L.; Huang, X.; Wang, P.; Sun, Y.; He, X.; Zhang, L.; et al. Artificial control of in-plane anisotropic photoelectricity in monolayer MoS2. Appl. Mater. Today 2019, 15, 203–211. [Google Scholar] [CrossRef]
  10. Liu, X.; Yang, H.; Cui, Y.; Chen, G.; Yang, Y.; Wu, X.; Guo, J. Graphene-clad Microfiber Saturable Absorber for Ultrafast Fibre Lasers. Sci. Rep. 2016, 6, 26024. [Google Scholar] [CrossRef] [Green Version]
  11. Zhou, R.; Yang, S.; Liu, D.; Cao, G. The confined surface plasmon and second harmonic waves in graphene nanoribbon arrays. Opt. Express 2017, 25, 31478–31491. [Google Scholar] [CrossRef] [PubMed]
  12. Song, Y.; You, K.; Chen, Y.; Zhao, J.; Jiang, X.; Ge, Y.; Wang, Y.; Zheng, J.; Xing, C.; Zhang, H. Lead monoxide: A promising two-dimensional layered material for applications in nonlinear photonics in the infrared band. Nanoscale 2019, 11, 12595. [Google Scholar] [CrossRef] [PubMed]
  13. Chen, K.; Wang, Y.; Liu, J.; Kang, J.; Ge, Y.; Huang, W.; Lin, Z.; Guo, Z.; Zhang, Y.; Zhang, H. In situ preparation of CsPbBr3/black phosphorus heterostructure with optimized interface and photodetector application. Nanoscale 2019, 11, 16852–16859. [Google Scholar] [CrossRef] [PubMed]
  14. Ge, Y.; Huang, W.; Yang, F.; Liu, J.; Wang, C.; Wang, Y.; Guo, J.; Zhang, F.; Song, Y.; Xu, S.; et al. Beta-lead oxide quantum dot (β-PbO QD)/polystyrene (PS) composite films and their applications in ultrafast photonics. Nanoscale 2019, 11, 6828–6837. [Google Scholar] [CrossRef]
  15. Luo, M.; Fan, T.; Zhou, Y.; Zhang, H.; Mei, L. 2D Black Phosphorus–Based Biomedical Applications. Adv. Funct. Mater. 2019, 29, 1808306. [Google Scholar] [CrossRef]
  16. Qiu, M.; Ren, W.; Jeong, T.; Won, M.; Park, G.Y.; Sang, D.K.; Liu, L.; Zhang, H.; Kim, J.S. Omnipotent phosphorene: A next-generation, two-dimensional nanoplatform for multidisciplinary biomedical applications. Chem. Soc. Rev. 2018, 47, 5588–5601. [Google Scholar] [CrossRef]
  17. Zhang, F.; Jiang, X.; He, Z.; Liang, W.; Xu, S.; Zhang, H. Third-order nonlinear optical responses and carrier dynamics in antimonite. Opt. Mater. 2019, 95, 109209. [Google Scholar] [CrossRef]
  18. Shan, H.; Yu, Y.; Zhang, R.; Cheng, R.; Zhang, D.; Luo, Y.; Wang, X.; Li, B.; Zu, S.; Lin, F.; et al. Electron transfer and cascade relaxation dynamics of graphene quantum dots/MoS2 monolayer mixed-dimensional van der Waals heterostructures. Mater. Today 2019, 24, 10–16. [Google Scholar] [CrossRef]
  19. Chen, Y.-H.; Tamming, R.R.; Chen, K.; Zhang, Z.; Liu, F.; Zhang, Y.; Hodgkiss, J.M.; Blaikie, R.J.; Ding, B.; Qium, M. Bandgap Control in Two-Dimensional Semiconductors via Coherent Doping of Plasmonic Hot Electrons. Nat. Commun. 2021, 12, 4332. [Google Scholar] [CrossRef]
  20. Gilbertson, A.M.; Francescato, Y.; Roschuk, T.; Shautsova, V.; Chen, Y.; Sidiropoulos, T.P.H.; Hong, M.; Giannini, V.; Maier, S.A.; Cohen, L.F.; et al. Oulton.Plasmon-Induced Optical Anisotropy in Hybrid Graphene−Metal Nanoparticle Systems. Nano Lett. 2015, 15, 3458. [Google Scholar] [CrossRef]
  21. Lin, K.; Weng, S.; Lyu, P.; Tsai, T.; Su, W. Observation of optical second harmonic generation from suspended single-layer and bi-layer graphene. Appl. Phys. Lett. 2014, 105, 109. [Google Scholar]
  22. Youngblood, N.; Peng, R.; Nemilentsau, A.; Low, T.; Li, M. Layer-Tunable Third-Harmonic Generation in Multilayer Black Phosphorus. ACS Photonics 2017, 4, 8–14. [Google Scholar] [CrossRef]
  23. Wu, S.; Mao, L.; Jones, A.M.; Yao, W.; Zhang, C.; Xu, X. Quantum-enhanced tunable second-order optical nonlinearity in bilayer graphene. Nano Lett. 2012, 12, 2032. [Google Scholar] [CrossRef] [PubMed] [Green Version]
  24. Glazov, M. Second harmonic generation in graphene. JETP Lett. 2011, 93, 366. [Google Scholar] [CrossRef] [Green Version]
  25. Wang, B.; Wang, R.; Liu, R.; Lu, X.; Zhao, J.; Li, Z.Y. Origin of Shape Resonance in Second-Harmonic Generation from Metallic Nanohole Arrays. Sci. Rep. 2013, 3, 2358. [Google Scholar] [CrossRef] [PubMed] [Green Version]
  26. Zhou, R.; Lu, H.; Liu, X.; Gong, Y.; Mao, D. Second harmonic generation from a periodic array of noncentrosymmetric nanoholes. J. Opt. Soc. Am. B 2010, 27, 2405. [Google Scholar] [CrossRef]
  27. Smirnova, D.; Shadrivov, I.; Miroshnichenko, A.; Smirnov, A.; Kivshar, Y. Second-harmonic generation by a graphene nanoparticle. Phys. Rev. B. 2014, 90, 93. [Google Scholar] [CrossRef] [Green Version]
  28. Fang, Z.; Wang, Y.; Liu, Z.; Schlather, A.; Ajayan, M.P.; Koppens, H.L.F.; Nordlander, P.; Halas, J.N. Plasmon-Induced Doping of Graphene. ACS Nano 2012, 6, 10222–10228. [Google Scholar] [CrossRef]
  29. Lou, Y.; Pan, H.; Zhu, T.; Ruan, Z. Spatial coupled-mode theory for surface plasmon polariton excitation at metallic gratings. J. Opt. Soc. Am. B 2016, 33, 819–824. [Google Scholar] [CrossRef]
  30. An, Y.; Rowe, J.; Dougherty, D.; Ji, U.; Diebold, A. Optical second-harmonic generation induced by electric current in graphene on Si and SiC substrates. Phys. Rev. B 2014, 89, 106. [Google Scholar] [CrossRef]
  31. Johannsen, J.; Ulstrup, S.; Cilento, F.; Crepaldi, A.; Zacchigna, M.; Cacho, C.; Turcu, E.; Springate, E.; Fromm, F.; Raidel, C.; et al. Direct View of Hot Carrier Dynamics in Graphene. Phys. Rev. Lett. 2013, 111, 027403. [Google Scholar] [CrossRef] [PubMed]
  32. Lu, H.; Gan, X.; Mao, D.; Jia, B.; Zhao, J. Flexibly tunable high-quality-factor induced transparency in plasmonic systems. Sci. Rep. 2018, 8, 1558. [Google Scholar] [CrossRef] [PubMed] [Green Version]
  33. Cao, G.; Li, H.; Zhan, S.; He, Z.; Guo, Z.; Xu, X.; Yang, H. Uniform theoretical description of plasmon-induced transparency in plasmonic stub waveguide. Opt. Lett. 2014, 39, 216–219. [Google Scholar] [CrossRef] [PubMed]
  34. Wu, K.; Chen, J.; McBride, J.; Lian, T. Efficient hot-electron transfer by a plasmon-induced interfacial charge-transfer transition. Science 2015, 349, 632. [Google Scholar] [CrossRef] [Green Version]
  35. Yu, Y.; Sun, Y.; Hu, Z.; An, X.; Zhou, D.; Zhou, H.; Wang, W.; Liu, K.; Jiang, J.; Yang, D.; et al. Fast Photoelectric Conversion in the Near-Infrared Enabled by Plasmon-Induced Hot-Electron Transfer. Adv. Mater. 2019, 31, 1903829. [Google Scholar] [CrossRef]
  36. Yu, Y.; Ji, Z.; Zu, S.; Du, B.; Kang, Y.; Li, Z.; Zhou, Z.; Shi, K.; Fang, Z. Ultrafast Plasmonic Hot Electron Transfer in Au Nanoantenna/MoS2 Heterostructures. Adv. Funct. Mater. 2016, 26, 6394–6401. [Google Scholar] [CrossRef]
  37. Wen, X.; Xu, W.; Zhao, W.; Khurgin, J.; Xiong, Q. Plasmonic Hot Carriers Controlled Second Harmonic Generation in WSe2 Bilayers. Nano Lett. 2018, 18, 1686–1692. [Google Scholar] [CrossRef]
  38. Deng, Y.; Cao, G.; Yang, H.; Li, G.; Chen, X.; Lu, W. Tunable and high-sensitivity sensing based on Fano resonance with coupled plasmonic cavities. Sci. Rep. 2017, 7, 10639. [Google Scholar] [CrossRef] [Green Version]
  39. Zhou, R.; Peng, J.; Yang, S.; Liu, D.; Xiao, Y.; Cao, G. Lifetime and nonlinearity of modulated surface plasmon for black phosphorus sensing application. Nanoscale 2018, 10, 18878–18891. [Google Scholar] [CrossRef] [Green Version]
  40. Lu, H.; Gan, X.; Mao, D.; Zhao, J. Graphene-supported manipulation of surface plasmon polaritons in metallic nanowaveguides. Photonics Res. 2017, 5, 162–167. [Google Scholar] [CrossRef]
  41. Xu, R.; Zhang, H.; Cai, Y.; Ruan, J.; Qu, K.; Liu, N.; Ni, X.; Lu, M.; Dong, X. Flexible and wearable 3D graphene sensor with 141 KHz frequency signal response capability. Appl. Phys. Lett. 2017, 111, 103501. [Google Scholar] [CrossRef]
  42. Hsu, C.; Zhen, B.; Lee, J.; Chua, S.; Johnson, S.; Joannopoulos, J.; Soljacic, M. Observation of trapped light within the radiation continuum. Nature 2013, 499, 188–191. [Google Scholar] [CrossRef] [PubMed] [Green Version]
  43. Zhou, R.; Yang, S.; Ullah, K.; Lin, Q.; Tang, L.; Liu, D.; Li, S.; Zhao, Y.; Wang, F. Recent advances in Graphene and Black-Phosphorus Nonlinear Plasmonics. Nanophotonics 2020, 9, 1695–1715. [Google Scholar] [CrossRef] [Green Version]
  44. Soavi, G.; Tempra, I.; Pantano, M.; Cattoni, A.; Collin, S.; Biagioni, P.; Pugno, N.M.; Cerullo, G. Ultrasensitive characterization of mechanical oscillations and plasmon energy shift in gold nanorods. ACS Nano 2016, 10, 2251–2258. [Google Scholar] [CrossRef] [PubMed]
  45. Shi, D.; Adinolfi, V.; Comin, R.; Yuan, M.; Alarousu, E.; Buin, A.; Chen, Y.; Hoogland, S.; Rothenberger, A.; Katsiev, K.; et al. Low trap-state density and long carrier diffusion in organolead trihalide perovskite single crystals. Science 2017, 347, 519–522. [Google Scholar] [CrossRef] [Green Version]
  46. Milot, R.; Eperon, G.; Snaith, H.; Johnston, M.; Herz, L. Temperature-dependent charge-carrier dynamics in CH3NH3PbI3 Perovskite Thin Films. Adv. Funct. Mater. 2015, 25, 6218–6227. [Google Scholar] [CrossRef] [Green Version]
  47. Dai, X.; Jiang, L.; Xiang, Y. Tunable optical bistability of dielectric/nonlinear graphene/dielectric heterostructures. Opt. Express 2015, 23, 6497–6508. [Google Scholar] [CrossRef]
  48. Zhang, F.; Xu, N.; Zhao, J.; Wang, Y.; Jiang, X.; Zhang, Y.; Huang, W.; Hu, L.; Tang, Y.; Xu, S.; et al. Quantum confinement-induced enhanced nonlinearity and carrier lifetime modulation in two-dimensional tin sulfide. Nanophotonics 2020, 9, 1963–1972. [Google Scholar] [CrossRef]
Figure 1. (a) The nanostructured GN surrounded with substrate and superstrate. (b) The absorption with different width P2 = 30 nm, 40 nm, 50 nm and 60 nm, respectively. (c) The absorption with different lattice period L = 200 nm, 300 nm and 400 nm, respectively. The distributions of electric field Ez at (d) λ1 = 3.9 μm, (e) λ2 = 4.35 μm, and (f) λ3 = 4.90 μm, respectively. The distributions of electric field Ex at (g) λ1 = 3.9 μm, (h) λ2 = 4.35 μm, and (i) λ3 = 4.90 μm, respectively. The distributions of photon flux density Φ at (j) λ1 = 3.9 μm, (k) λ2 = 4.35 μm, and (l) λ3 = 4.90 μm, respectively.
Figure 1. (a) The nanostructured GN surrounded with substrate and superstrate. (b) The absorption with different width P2 = 30 nm, 40 nm, 50 nm and 60 nm, respectively. (c) The absorption with different lattice period L = 200 nm, 300 nm and 400 nm, respectively. The distributions of electric field Ez at (d) λ1 = 3.9 μm, (e) λ2 = 4.35 μm, and (f) λ3 = 4.90 μm, respectively. The distributions of electric field Ex at (g) λ1 = 3.9 μm, (h) λ2 = 4.35 μm, and (i) λ3 = 4.90 μm, respectively. The distributions of photon flux density Φ at (j) λ1 = 3.9 μm, (k) λ2 = 4.35 μm, and (l) λ3 = 4.90 μm, respectively.
Nanomaterials 12 00416 g001aNanomaterials 12 00416 g001b
Figure 2. The amplitude of electric field (|E|) with different (a) Ef, (b) μ, (c) n1, and photon flux density Φ with different (d) Ef, (e) μ, (f) n1 at resonant wavelengths λ1, λ2 and λ3 inside the graphene region with FDTD simulation, respectively.
Figure 2. The amplitude of electric field (|E|) with different (a) Ef, (b) μ, (c) n1, and photon flux density Φ with different (d) Ef, (e) μ, (f) n1 at resonant wavelengths λ1, λ2 and λ3 inside the graphene region with FDTD simulation, respectively.
Nanomaterials 12 00416 g002
Figure 3. (a) The evolution of optical absorption spectra with different Fermi energy with using FDTD simulation. (b) Q1, Q2, Q3 and τ1, τ2, τ3 with different Fermi energy Ef. (c) Qw2, Qw3 and τw2, τw3 with different Fermi energy Ef. (d) Qi2, Qi3 and τi2, τi3 with different Fermi energy Ef.
Figure 3. (a) The evolution of optical absorption spectra with different Fermi energy with using FDTD simulation. (b) Q1, Q2, Q3 and τ1, τ2, τ3 with different Fermi energy Ef. (c) Qw2, Qw3 and τw2, τw3 with different Fermi energy Ef. (d) Qi2, Qi3 and τi2, τi3 with different Fermi energy Ef.
Nanomaterials 12 00416 g003
Figure 4. (a) The evolution of optical absorption spectra with different μ using FDTD simulation. (b) Q1, Q2, Q3 and τ1, τ2, τ3 with various μ. (c) Qw2, Qw3 and τw2, τw3 with various μ. (d) Qi2, Qi3 and τi2, τi3 with various μ.
Figure 4. (a) The evolution of optical absorption spectra with different μ using FDTD simulation. (b) Q1, Q2, Q3 and τ1, τ2, τ3 with various μ. (c) Qw2, Qw3 and τw2, τw3 with various μ. (d) Qi2, Qi3 and τi2, τi3 with various μ.
Nanomaterials 12 00416 g004
Figure 5. (a) The evolution of optical absorption spectra with different refractive index n1. (b) Qm (m = 1, 2, 3) with various n1 of superstrate. (c) Qw2, Qw3 and τw2, τw3 with various n1. (d) Qi2, Qi3 and τi2, τi3 with various n1.
Figure 5. (a) The evolution of optical absorption spectra with different refractive index n1. (b) Qm (m = 1, 2, 3) with various n1 of superstrate. (c) Qw2, Qw3 and τw2, τw3 with various n1. (d) Qi2, Qi3 and τi2, τi3 with various n1.
Nanomaterials 12 00416 g005
Figure 6. (ac) The time evolution of total energy with time at λ2 and λ3 with Ef = 0.8 eV, 0.6 eV and 0.4 eV. (df) Evolution of total energy with time at λ2 and λ3 with μ = 1, 0.6 and 0.1 m2/(V·s). (gi) The time evolution of lifetime at wavelengths λ2 and λ3 with various Ef = 0.4 eV, 0.6 eV and 0.8 eV.
Figure 6. (ac) The time evolution of total energy with time at λ2 and λ3 with Ef = 0.8 eV, 0.6 eV and 0.4 eV. (df) Evolution of total energy with time at λ2 and λ3 with μ = 1, 0.6 and 0.1 m2/(V·s). (gi) The time evolution of lifetime at wavelengths λ2 and λ3 with various Ef = 0.4 eV, 0.6 eV and 0.8 eV.
Nanomaterials 12 00416 g006
Figure 7. (a) Log plot of the spectrum of SH response. The distributions of Φ with different wavelengths (b) λ4, (c) λ5, (d) λ6, (e) λ7. (f) Log plot of the SH enhancement factor with three different Fermi energy Ef = 0.4 eV, 0.6 eV and 0.8 eV, respectively. (g) Log plot of the SH enhancement factor with three different position z = 0, z = 10 nm and z = 100 nm away from the graphene layer, respectively.
Figure 7. (a) Log plot of the spectrum of SH response. The distributions of Φ with different wavelengths (b) λ4, (c) λ5, (d) λ6, (e) λ7. (f) Log plot of the SH enhancement factor with three different Fermi energy Ef = 0.4 eV, 0.6 eV and 0.8 eV, respectively. (g) Log plot of the SH enhancement factor with three different position z = 0, z = 10 nm and z = 100 nm away from the graphene layer, respectively.
Nanomaterials 12 00416 g007
Figure 8. (a) Log plot of the THG enhancement factor with three different Ef = 0.40 eV (black solid line), 0.60 eV (blue dotted line) and 0.80 eV (red dash line) for FW modes λ2. (b) Polar diagram of polarization state of the THG emission at λ′2. (c) Log plot of the THG enhancement factor at λ′2 with three different position z = 0, z = 10 nm and z = 100 nm away from the graphene layer, respectively. The polarization state of the THG emission at λ8 is a function of the angle (not the polarization of the incident field θ = 0) corresponding to the x direction.
Figure 8. (a) Log plot of the THG enhancement factor with three different Ef = 0.40 eV (black solid line), 0.60 eV (blue dotted line) and 0.80 eV (red dash line) for FW modes λ2. (b) Polar diagram of polarization state of the THG emission at λ′2. (c) Log plot of the THG enhancement factor at λ′2 with three different position z = 0, z = 10 nm and z = 100 nm away from the graphene layer, respectively. The polarization state of the THG emission at λ8 is a function of the angle (not the polarization of the incident field θ = 0) corresponding to the x direction.
Nanomaterials 12 00416 g008
Publisher’s Note: MDPI stays neutral with regard to jurisdictional claims in published maps and institutional affiliations.

Share and Cite

MDPI and ACS Style

Zhou, R.; Yang, S.; Zhao, Y. Tunable Lifetime and Nonlinearity in Two Dimensional Materials Plasmonic-Photonic Absorber. Nanomaterials 2022, 12, 416. https://doi.org/10.3390/nano12030416

AMA Style

Zhou R, Yang S, Zhao Y. Tunable Lifetime and Nonlinearity in Two Dimensional Materials Plasmonic-Photonic Absorber. Nanomaterials. 2022; 12(3):416. https://doi.org/10.3390/nano12030416

Chicago/Turabian Style

Zhou, Renlong, Sa Yang, and Yongming Zhao. 2022. "Tunable Lifetime and Nonlinearity in Two Dimensional Materials Plasmonic-Photonic Absorber" Nanomaterials 12, no. 3: 416. https://doi.org/10.3390/nano12030416

APA Style

Zhou, R., Yang, S., & Zhao, Y. (2022). Tunable Lifetime and Nonlinearity in Two Dimensional Materials Plasmonic-Photonic Absorber. Nanomaterials, 12(3), 416. https://doi.org/10.3390/nano12030416

Note that from the first issue of 2016, this journal uses article numbers instead of page numbers. See further details here.

Article Metrics

Back to TopTop