Synthesis of New Zirconium Magnetic Nanocomposite as a Bioactive Agent and Green Catalyst in the Four-Component Synthesis of a Novel Multi-Ring Compound Containing Pyrazole Derivatives
Abstract
1. Introduction
2. Materials and Methods
2.1. Solvents and Raw Materials
2.2. Zirconium Magnetic Nanocomposite Synthesis
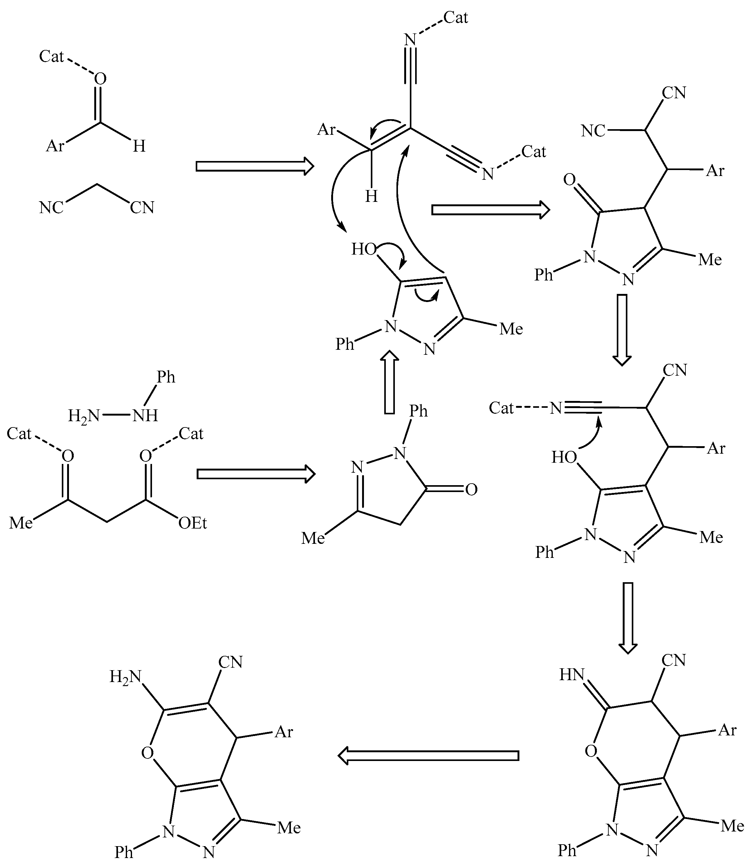
2.3. Synthesis of 1,4-Dihydropyrano[2,3-c]pyrazole-5-Carbonitrile Derivatives Using Zirconium Magnetic Nanocomposite as a Catalyst
2.4. Zirconium Magnetic Nanocomposite Antimicrobial Activity
3. Results
3.1. Results of Synthesis and Confirmation Structure of Zirconium Magnetic Nanocomposite
3.2. Results of Four-Component Synthesis of Multi-Ring Compound Containing Pyrazole Using Zirconium Magnetic Nanocomposite
3.3. Results of Biological Activity of Zirconium Magnetic Nanocomposite
4. Conclusions
Author Contributions
Funding
Data Availability Statement
Acknowledgments
Conflicts of Interest
References
- Moonen, K.; Laureyn, I.; Stevens, C.V. Synthetic methods for azaheterocyclic phosphonates and their biological activity. Chem. Rev. 2004, 104, 6177–6216. [Google Scholar] [CrossRef] [PubMed]
- Hosseinzadegan, S.; Hazeri, N.; Maghsoodlou, M.T.; Moghaddam-Manesh, M.; Shirzaei, M. Synthesis and evaluation of biological activity of novel chromeno [4,3-b] quinolin-6-one derivatives by SO3 H-tryptamine supported on Fe3O4@ SiO2@ CPS as recyclable and bioactive magnetic nanocatalyst. J. Iran. Chem. Soc. 2020, 17, 3271–3284. [Google Scholar] [CrossRef]
- Etemadi, Y.; Shiri, A.; Eshghi, H.; Akbarzadeh, M.; Saadat, K.; Mozafari, S.; Beyzaei, H.; Moghaddam-Manesh, M. Synthesis, characterisation, and in vitro antibacterial evaluation of a new class of 2-substituted-4-methyl-7, 8-dihydro-5H-pyrimido [4, 5-d] thiazolo [3,2-a] pyrimidines. J. Chem. Res. 2016, 40, 600–603. [Google Scholar] [CrossRef]
- Moghaddam-Manesh, M.; Hosseinzadegan, S. Introducing new method for the synthesis of polycyclic compounds containing [1,3] dithiine derivatives, with anticancer and antibacterial activities against common bacterial strains between aquatic and human. J. Heterocycl. Chem. 2021, 58, 2174–2180. [Google Scholar] [CrossRef]
- Nath, R.; Pathania, S.; Grover, G.; Akhtar, M.J. Isatin containing heterocycles for different biological activities: Analysis of structure activity relationship. J. Mol. Struct. 2020, 1222, 128900. [Google Scholar] [CrossRef]
- Moghaddam-Manesh, M.; Ghazanfari, D.; Sheikhhosseini, E.; Akhgar, M. Synthesis, Characterization and Antimicrobial Evaluation of Novel 6′-Amino-spiro [indeno [1,2-b] quinoxaline [1,3] dithiine]-5′-carbonitrile Derivatives. Acta Chim. Slov. 2020, 67, 276–282. [Google Scholar] [CrossRef]
- Wang, X.; Wu, S.; Zhong, Y.; Wang, Y.; Pan, Y.; Tang, H. Electrochemically mediated decarboxylative acylation of N-nitrosoanilines with α-oxocarboxylic acids. Chin. Chem. Lett. 2022, 34, 107537. [Google Scholar] [CrossRef]
- Ott, I. On the medicinal chemistry of gold complexes as anticancer drugs. Coord. Chem. Rev. 2009, 253, 1670–1681. [Google Scholar] [CrossRef]
- Mihorianu, M.; Franz, M.H.; Jones, P.G.; Freytag, M.; Kelter, G.; Fiebig, H.H.; Tamm, M.; Neda, I. N-Heterocyclic carbenes derived from imidazo-[1,5-a] pyridines related to natural products: Synthesis, structure and potential biological activity of some corresponding gold (I) and silver (I) complexes. Appl. Organomet. Chem. 2016, 30, 581–589. [Google Scholar] [CrossRef]
- Vollbrecht, A.; Neda, I.; Thönnessen, H.; Jones, P.G.; Schmutzler, R.; Harris, R.K.; Crowe, L.A. Synthesis, Structure, and Reactivity of Tetrakis (O, O-phosphorus)-Bridged Calix [4] resorcinols and Their Derivatives. Chem. Ber. 1997, 130, 1715–1720. [Google Scholar] [CrossRef]
- Plinta, H.-J.; Neda, I.; Schmutzler, R. 1.3-Dimethyl-1, 3-diaza-2-R-5, 6-benzo-2λ3-phosphorinan-4-one (R = F, Me2N, 2-Methylpiperidino, MeC (: 0) NH-) als Liganden in Übergangsmetallkomplexen; Synthese und Struktur von Dichloro-Platin (II)-und Tetracarbonyl-Metall (O)-Koordinationsverbindungen (Metall = Cr, Mo und W)/1.3-Dimethyl-1, 3-diaza-2-R-5, 6-benzo-2λ3-phosphorinan-4-ones (R = F, Me2N, 2-Methylpiperidino, MeC (: 0) NH-) as Ligands in Transition-Metal Complexes; Synthesis and Structure of Dichloro-Platinum (II)-and Tetracarbonyl-Metal (0) Coordination Compounds (Metal = Cr, Mo and W). Z. Nat. B 1994, 49, 100–110. [Google Scholar]
- Marichev, K.O.; Patil, S.A.; Patil, S.A.; Heras Martinez, H.M.; Bugarin, A. N-heterocyclic carbene metal complexes as therapeutic agents: A patent review. Expert Opin. Ther. Pat. 2022, 32, 47–61. [Google Scholar] [CrossRef]
- Kumar, V.; Kaur, K.; Gupta, G.K.; Sharma, A.K. Pyrazole containing natural products: Synthetic preview and biological significance. Eur. J. Med. Chem. 2013, 69, 735–753. [Google Scholar] [CrossRef] [PubMed]
- Kumar, H.; Saini, D.; Jain, S.; Jain, N. Pyrazole scaffold: A remarkable tool in the development of anticancer agents. Eur. J. Med. Chem. 2013, 70, 248–258. [Google Scholar] [CrossRef]
- Reddy, T.S.; Kulhari, H.; Reddy, V.G.; Bansal, V.; Kamal, A.; RaviShukla. Design, synthesis and biological evaluation of 1,3-diphenyl-1H-pyrazole derivatives containing benzimidazole skeleton as potential anticancer and apoptosis inducing agents. Eur. J. Med. Chem. 2015, 101, 790–805. [Google Scholar] [CrossRef] [PubMed]
- Abdellatif, K.R.; Fadaly, W.A.; Kamel, G.M.; Elshaier, Y.A.; El-Magd, M.A. Design, synthesis, modeling studies and biological evaluation of thiazolidine derivatives containing pyrazole core as potential anti-diabetic PPAR-γ agonists and anti-inflammatory COX-2 selective inhibitors. Bioorg. Chem. 2019, 82, 86–99. [Google Scholar] [CrossRef]
- Bakthavatchala Reddy, N.; Zyryanov, G.V.; Mallikarjuna Reddy, G.; Balakrishna, A.; Padmaja, A.; Padmavathi, V.; Suresh Reddy, C.; Garcia, J.R.; Sravya, G. Design and synthesis of some new benzimidazole containing pyrazoles and pyrazolyl thiazoles as potential antimicrobial agents. J. Heterocycl. Chem. 2019, 56, 589–596. [Google Scholar] [CrossRef]
- Verma, R.; Verma, S.K.; Rakesh, K.P.; Girish, Y.R.; Ashrafizadeh, M.; Kumar, K.S.S.; Rangappa, K.S. Pyrazole-based analogs as potential antibacterial agents against methicillin-resistance staphylococcus aureus (MRSA) and its SAR elucidation. Eur. J. Med. Chem. 2021, 212, 113134. [Google Scholar] [CrossRef]
- Kumari, S.; Paliwal, S.K.; Chauhan, R. An improved protocol for the synthesis of chalcones containing pyrazole with potential antimicrobial and antioxidant activity. Curr. Bioact. Compd. 2018, 14, 39–47. [Google Scholar] [CrossRef]
- Kar, S.; Sanderson, H.; Roy, K.; Benfenati, E.; Leszczynski, J. Green Chemistry in the Synthesis of Pharmaceuticals. Chem. Rev. 2021, 122, 3637–3710. [Google Scholar] [CrossRef]
- Ou, C.-H.; Pan, Y.-M.; Tang, H.-T. Electrochemically promoted N-heterocyclic carbene polymer-catalyzed cycloaddition of aldehyde with isocyanide acetate. Sci. China Chem. 2022, 65, 1873–1878. [Google Scholar] [CrossRef]
- Arlan, F.M.; Marjani, A.P.; Javahershenas, R.; Khalafy, J. Recent developments in the synthesis of polysubstituted pyridines via multi-component reactions using nanocatalysts. New J. Chem. 2021, 45, 12328–12345. [Google Scholar] [CrossRef]
- Hosseinzadegan, S.; Hazeri, N.; Maghsoodlou, M.T. Synthesis and evaluation of antimicrobial and antioxidant activity of novel 7-Aryl-6H, 7H-benzo [f] chromeno [4, 3-b] chromen-6-one by MgO nanoparticle as green catalyst. J. Heterocycl. Chem. 2020, 57, 621–626. [Google Scholar] [CrossRef]
- Kumar, P.P.; Bhatlu, M.L.D.; Sukanya, K.; Karthikeyan, S.; Jayan, N. Synthesis of magnesium oxide nanoparticle by eco friendly method (green synthesis)–A review. Mater. Today Proc. 2021, 37, 3028–3030. [Google Scholar] [CrossRef]
- Ghafuri, H. Transition metal-free oxidation of benzylic alcohols to carbonyl compounds by hydrogen peroxide in the presence of acidic silica gel. Curr. Chem. Lett. 2015, 4, 27–32. [Google Scholar] [CrossRef]
- Aghaei-Hashjin, M.; Yahyazadeh, A.; Abbaspour-Gilandeh, E. Mo@ GAA-Fe3O4 MNPs: A highly efficient and environmentally friendly heterogeneous magnetic nanocatalyst for the synthesis of polyhydroquinoline derivatives. RSC Adv. 2021, 11, 10497–10511. [Google Scholar] [CrossRef]
- Feng, X.; Xia, L.; Jiang, Z.; Tian, M.; Zhang, S.; He, C. Dramatically promoted toluene destruction over Mn@ Na-Al2O3@ Al monolithic catalysts by Ce incorporation: Oxygen vacancy construction and reaction mechanism. Fuel 2022, 326, 125051. [Google Scholar] [CrossRef]
- Yao, X.; Bai, C.; Chen, J.; Li, Y. Efficient and selective green oxidation of alcohols by MOF-derived magnetic nanoparticles as a recoverable catalyst. RSC Adv. 2016, 6, 26921–26928. [Google Scholar] [CrossRef]
- Yan, J.; Liu, T.; Liu, X.; Yan, Y.; Huang, Y. Metal-organic framework-based materials for flexible supercapacitor application. Coord. Chem. Rev. 2022, 452, 214300. [Google Scholar] [CrossRef]
- Dourandish, Z.; Tajik, S.; Beitollahi, H.; Jahani, P.M.; Nejad, F.G.; Sheikhshoaie, I.; Di Bartolomeo, A. A Comprehensive Review of Metal–Organic Framework: Synthesis, Characterization, and Investigation of Their Application in Electrochemical Biosensors for Biomedical Analysis. Sensors 2022, 22, 2238. [Google Scholar] [CrossRef]
- Liu, W.; Huang, F.; Liao, Y.; Zhang, J.; Ren, G.; Zhuang, Z.; Zhen, J.; Lin, Z.; Wang, C. Treatment of CrVI-Containing Mg(OH)2 Nanowaste. Angew. Chem. 2008, 120, 5701–5704. [Google Scholar] [CrossRef]
- Martín, N.; Dusselier, M.; De Vos, D.E.; Cirujano, F.G. Metal-Organic framework derived metal oxide clusters in porous aluminosilicates: A catalyst design for the synthesis of bioactive aza-heterocycles. ACS Catal. 2018, 9, 44–48. [Google Scholar] [CrossRef]
- Niknam, E.; Panahi, F.; Daneshgar, F.; Bahrami, F.; Khalafi-Nezhad, A. Metal–organic framework MIL-101 (Cr) as an efficient heterogeneous catalyst for clean synthesis of benzoazoles. ACS Omega 2018, 3, 17135–17144. [Google Scholar] [CrossRef] [PubMed]
- Abdieva, G.A.; Patra, I.; Al-Qargholi, B.; Shahryari, T.; Chauhan, N.P.S.; Moghaddam-Manesh, M. An Efficient Ultrasound-Assisted Synthesis of Cu/Zn Hybrid MOF Nanostructures With High Microbial Strain Performance. Front. Bioeng. Biotechnol. 2022, 10, 861580. [Google Scholar] [CrossRef] [PubMed]
- Zeraati, M.; Moghaddam-Manesh, M.; Khodamoradi, S.; Hosseinzadegan, S.; Golpayegani, A.; Chauhan, N.P.S.; Sargazi, G. Ultrasonic assisted reverse micelle synthesis of a novel Zn-metal organic framework as an efficient candidate for antimicrobial activities. J. Mol. Struct. 2022, 1247, 131315. [Google Scholar] [CrossRef]
- Moghaddam-Manesh, M.; Ghazanfari, D.; Sheikhhosseini, E.; Akhgar, M. MgO-Nanoparticle-Catalyzed Synthesis and Evaluation of Antimicrobial and Antioxidant Activity of New Multi-Ring Compounds Containing Spiro [indoline-3, 4′-[1, 3] dithiine]. ChemistrySelect 2019, 4, 9247–9251. [Google Scholar] [CrossRef]
- Shiri, L.; Narimani, H.; Kazemi, M. Synthesis and characterization of sulfamic acid supported on Fe3O4 nanoparticles: A green, versatile and magnetically separable acidic catalyst for oxidation reactions and Knoevenagel condensation. Appl. Organomet. Chem. 2018, 32, e3927. [Google Scholar] [CrossRef]
- Mallakpour, S.; Shafiee, E. The synthesis of poly(vinyl chloride) nanocomposite films containing ZrO(2) nanoparticles modified with vitamin B(1) with the aim of improving the mechanical, thermal and optical properties. Des. Monomers Polym. 2017, 20, 378–388. [Google Scholar] [CrossRef]
- Mirhosseini, H.; Shamspur, T.; Mostafavi, A.; Sargazi, G. A novel ultrasonic reverse micelle-assisted electrospun efficient route for Eu-MOF and Eu-MOF/CA composite nanofibers: A high performance photocatalytic treatment for removal of BG pollutant. Environ. Sci. Pollut. Res. 2021, 28, 4317–4328. [Google Scholar] [CrossRef]
- Alimohammadi, E.; Kaveh, K.; Ali, Z.M. Preparation of triazine-based functionalized HY zeolite and its application in the green synthesis of tetrahydrobenzo [b] pyran and 1, 4-dihydropyrano [2, 3-c] pyrazole derivatives as a novel mesoporous recyclable nanocatalyst. J. Iran. Chem. Soc. 2022, 19, 4721–4734. [Google Scholar] [CrossRef]
- Eftekhari far, B.; Nasr-Esfahani, M. Synthesis, characterization and application of Fe3O4@ SiO2@ CPTMO@ DEA-SO3H nanoparticles supported on bentonite nanoclay as a magnetic catalyst for the synthesis of 1, 4-dihydropyrano [2, 3-c] pyrazoles. Appl. Organomet. Chem. 2020, 34, e5406. [Google Scholar] [CrossRef]
- Solgi, M.; Khazaei, A.; Akbarpour, T. Synthesis of magnetic nanoparticles Fe3O4@ CQD@ Si (OEt)(CH2)3@ melamine@ TC@ Ni (NO3) with application in the synthesis of 2-amino-3-cyanopyridine and pyrano [2, 3-c] pyrazole derivatives. Res. Chem. Intermed. 2022, 48, 2443–2468. [Google Scholar] [CrossRef]
- Heravi, M.M.; Malakooti, R.; Kafshdarzadeh, K.; Amiri, Z.; Zadsirjan, V.; Atashin, H. Supported palladium oxide nanoparticles in Al-SBA-15 as an efficient and reusable catalyst for the synthesis of pyranopyrazole and benzylpyrazolyl coumarin derivatives via multi-component reactions. Res. Chem. Intermed. 2022, 48, 203–234. [Google Scholar] [CrossRef]
- Balaskar, R.S.; Gavade, S.N.; Mane, M.S.; Shingate, B.B.; Shingare, M.S.; Mane, D.V. Greener approach towards the facile synthesis of 1, 4-dihydropyrano [2, 3-c] pyrazol-5-yl cyanide derivatives at room temperature. Chin. Chem. Lett. 2010, 21, 1175–1179. [Google Scholar] [CrossRef]
- Shi, D.; Mou, J.; Zhuang, Q.; Niu, L.; Wu, N.; Wang, X. Three-component one-pot synthesis of 1, 4-dihydropyrano [2, 3-c] pyrazole derivatives in aqueous media. Synth. Commun. 2004, 34, 4557–4563. [Google Scholar] [CrossRef]
- Irani, S.; Maghsoodlou, M.T.; Hadavi, M.S.; Hazeri, N.; Lashkari, M. Ag/Tio2 Nano Thin Films Catalyzed Efficient Synthesis of 6-Amino-4-Aryl-3-Methyl-1, 4-Dihydropyrano [2, 3-C] Pyrazole-5-Carbonitriles at Green Conditions. Orient. J. Chem. 2017, 33, 814. [Google Scholar] [CrossRef][Green Version]
- Iravani, N.; Keshavarz, M.; Kish, H.A.S.; Parandvar, R. Tin sulfide nanoparticles supported on activated carbon as an efficient and reusable Lewis acid catalyst for three-component one-pot synthesis of 4H-pyrano [2, 3-c] pyrazole derivatives. Chin. J. Catal. 2015, 36, 626–633. [Google Scholar] [CrossRef]
- Tahmassebi, D.; Blevins, J.E.; Gerardot, S.S. Zn (L-proline) 2 as an efficient and reusable catalyst for the multi-component synthesis of pyran-annulated heterocyclic compounds. Appl. Organomet. Chem. 2019, 33, e4807. [Google Scholar] [CrossRef]
- Zolfigol, M.A.; Ayazi-Nasrabadi, R.; Baghery, S.; Khakyzadeh, V.; Azizian, S. Applications of a novel nano magnetic catalyst in the synthesis of 1, 8-dioxo-octahydroxanthene and dihydropyrano [2, 3-c] pyrazole derivatives. J. Mol. Catal. A Chem. 2016, 418, 54–67. [Google Scholar] [CrossRef]
- Sadjadi, S.; Heravi, M.M.; Zadsirjan, V.; Farzaneh, V. A ternary hybrid system based on combination of mesoporous silica, heteropolyacid and double-layered clay: An efficient catalyst for the synthesis of 2, 4-dihydro-3H-pyrazol-3-ones and pyranopyrazoles in aqueous medium: Studying the effect of the synthetic procedure on the catalytic activity. Res. Chem. Intermed. 2018, 44, 6765–6785. [Google Scholar]
- Khademi, S.; Zahmatkesh, S.; Aghili, A.; Badri, R. Tungstic acid (H4WO5) immobilized on magnetic-based zirconium amino acid metal-organic framework: An efficient heterogeneous Brønsted acid catalyst for l-(4-phenyl)-2, 4-dihydropyrano [2, 3c] pyrazole derivatives preparation. Appl. Organomet. Chem. 2021, 35, e6192. [Google Scholar] [CrossRef]
- Sedighinia, E.; Badri, R.; Kiasat, A. Application of yttrium iron garnet as a powerful and recyclable nanocatalyst for one-pot synthesis of pyrano [2, 3-c] pyrazole derivatives under solvent-free conditions. Russ. J. Org. Chem. 2019, 55, 1755–1763. [Google Scholar] [CrossRef]
- Amine Khodja, I.; Fisli, A.; Lebhour, O.; Boulcina, R.; Boumoud, B.; Debache, A. Four-component synthesis of pyrano [2, 3-c] pyrazoles catalyzed by triphenylphosphine in aqueous medium. Lett. Org. Chem. 2016, 13, 85–91. [Google Scholar] [CrossRef]
- Pandey, A.; Kumar, A.; Shrivastava, S. Sugarcane Bagasse Ash-Based Silica-Supported Boric Acid (SBA-SiO2-H3BO3): A Versatile and Reusable Catalyst for the Synthesis of 1, 4Dihydropyrano [2, 3c] pyrazole Derivatives. Russ. J. Org. Chem. 2021, 57, 653–660. [Google Scholar] [CrossRef]
- Zakeri, M.; Nasef, M.M.; Kargaran, T.; Ahmad, A.; Abouzari-Lotf, E.; Asadi, J. Synthesis of pyrano [2, 3-c] pyrazoles by ionic liquids under green and eco-safe conditions. Res. Chem. Intermed. 2017, 43, 717–728. [Google Scholar] [CrossRef]









| Product | Solvent | Catalyst (mg) | Temperature (°C) | Time (min) | Yield (%) |
|---|---|---|---|---|---|
| 5a | EtOH | 2 | 50 | 25 | 80 |
| 5a | H2O:EtOH (1:1) | 2 | 50 | 25 | 87 |
| 5a | MeOH | 2 | 50 | 45 | 34 |
| 5a | CH3CN | 2 | 50 | 60 | 21 |
| 5a | H2O:EtOH (1:1) | 1 | 50 | 30 | 75 |
| 5a | H2O:EtOH (1:1) | 3 | 50 | 25 | 90 |
| 5a | H2O:EtOH (1:1) | 4 | 50 | 20 | 95 |
| 5a | H2O:EtOH (1:1) | 5 | 50 | 20 | 93 |
| 5a | H2O:EtOH (1:1) | 4 | r. t | 45 | 71 |
| 5a | H2O:EtOH (1:1) | 4 | 40 | 30 | 89 |
| 5a | H2O:EtOH (1:1) | 4 | 60 | 20 | 94 |
| 5a | H2O:EtOH (1:1) | 4 | 80 | 25 | 86 |
| 5a | H2O:EtOH (1:1) | 4 | reflux | 25 | 83 |
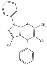
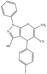
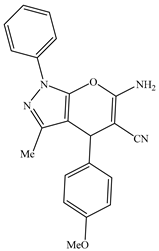
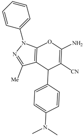
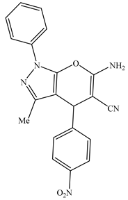
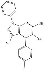
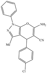
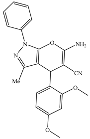
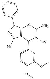
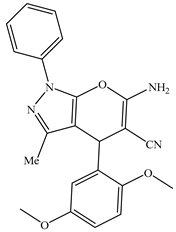
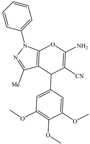
| Product | Structure | Time (min) | Yield (%) | Mp (°C) | |
|---|---|---|---|---|---|
| Found | Reported | ||||
| 5a | ![]() | 20 | 95 | 165–167 | 166–168 [40] |
| 5b | ![]() | 45 | 90 | 170–172 | 173–175 [41] |
| 5c | ![]() | 20 | 95 | 170–172 | 169–171 [42] |
| 5d | ![]() | 25 | 87 | 220 | 219–222 [40] |
| 5e | ![]() | 15 | 96 | 186–189 | 188–191 [40] |
| 5f | ![]() | 20 | 91 | 168–170 | 170–172 [42] |
| 5g | ![]() | 15 | 92 | 175–178 | 174–180 [40] |
| 5h | ![]() | 20 | 92 | 176–178 | 175–180 [40] |
| 5i | ![]() | 25 | 92 | 191–193 | 192–194 [43] |
| 5j | ![]() | 20 | 90 | 175–176 | 176–178 [44] |
| 5k | ![]() | 25 | 87 | 192–195 | 193–195 [45] |
| 5l | ![]() | 30 | 85 | 207–210 | 209–211 [46] |
| 5m | ![]() | 20 | 89 | 196–198 | 194–196 [47] |
| 5m | ![]() | 30 | 92 | 173–174 | 172–174 [48] |
| 5n | ![]() | 60 | 90 | 226–229 | 225–228 [48] |
| 5o | ![]() | 25 | 89 | 205–208 | 207–208 [49] |
| Product | Condition | Time (min) | Temperature (°C) | Yield (%) |
|---|---|---|---|---|
| 5a | triazine-based functionalized HY zeolite | 50 | 80 | 95 [40] |
| 5a | SBA-15/hydrotalcite/heteropoly acid (phosphotungstic acid) | 20 | reflux | 93 [50] |
| 5a | tungstic acid immobilized on zirconium-L-aspartate amino acid metal-organic framework-grafted L-(+)-tartaric acid-stabilized magnetic Fe3O4 nanoparticles | 45 | 60 | 92 [51] |
| 5a | yttrium iron garnet | 20 | 80 | 90 [52] |
| 5a | triphenylphosphine | 2h | reflux | 87 [53] |
| 5a | sugarcane bagasse ash-based silica-supported boric acid | 35 | 75 | 86 [54] |
| 5a | 1,3-dimethyl-2-oxo-1,3-bis(4-sulfobutyl) imidazolidine-1,3-diium hydrogen sulfate[DMDBSI]2HSO4 | 15 | 60 | 85 [55] |
| 5a | This work | 20 | 50 | 95 |
| Zirconium Magnetic Nanocomposite and Drugs | Gram-Positive Bacteria Species | Gram-Negative Bacteria Species | Fungi Species | |||||||
|---|---|---|---|---|---|---|---|---|---|---|
| Staphylococcusepidermidis | Bacillus cereus | Klebsiella pneumoniae | Shigelladysenteriae | Candida albicans | ||||||
| MIC | MBC | MIC | MBC | MIC | MBC | MIC | MBC | MIC | MFC | |
| Zirconium magnetic nanocomposite | 8 | 16 | 64 | 128 | 32 | 64 | 128 | 256 | 64 | 128 |
| Antibacterial drug | 2 | 4 | - | - | 4 | 8 | - | - | * | * |
| Antifungal drug | * | * | * | * | * | * | * | * | - | - |
Publisher’s Note: MDPI stays neutral with regard to jurisdictional claims in published maps and institutional affiliations. |
© 2022 by the authors. Licensee MDPI, Basel, Switzerland. This article is an open access article distributed under the terms and conditions of the Creative Commons Attribution (CC BY) license (https://creativecommons.org/licenses/by/4.0/).
Share and Cite
Asiri, M.; Abdulsalam, A.G.; Kahtan, M.; Alsaikhan, F.; Farhan, I.; Mutlak, D.A.; Hadrawi, S.K.; Suliman, M.; Di Lorenzo, R.; Laneri, S. Synthesis of New Zirconium Magnetic Nanocomposite as a Bioactive Agent and Green Catalyst in the Four-Component Synthesis of a Novel Multi-Ring Compound Containing Pyrazole Derivatives. Nanomaterials 2022, 12, 4468. https://doi.org/10.3390/nano12244468
Asiri M, Abdulsalam AG, Kahtan M, Alsaikhan F, Farhan I, Mutlak DA, Hadrawi SK, Suliman M, Di Lorenzo R, Laneri S. Synthesis of New Zirconium Magnetic Nanocomposite as a Bioactive Agent and Green Catalyst in the Four-Component Synthesis of a Novel Multi-Ring Compound Containing Pyrazole Derivatives. Nanomaterials. 2022; 12(24):4468. https://doi.org/10.3390/nano12244468
Chicago/Turabian StyleAsiri, Mohammed, Ahmed Ghalib Abdulsalam, Mustafa Kahtan, Fahad Alsaikhan, Issa Farhan, Dhameer A. Mutlak, Salema K. Hadrawi, Muath Suliman, Ritamaria Di Lorenzo, and Sonia Laneri. 2022. "Synthesis of New Zirconium Magnetic Nanocomposite as a Bioactive Agent and Green Catalyst in the Four-Component Synthesis of a Novel Multi-Ring Compound Containing Pyrazole Derivatives" Nanomaterials 12, no. 24: 4468. https://doi.org/10.3390/nano12244468
APA StyleAsiri, M., Abdulsalam, A. G., Kahtan, M., Alsaikhan, F., Farhan, I., Mutlak, D. A., Hadrawi, S. K., Suliman, M., Di Lorenzo, R., & Laneri, S. (2022). Synthesis of New Zirconium Magnetic Nanocomposite as a Bioactive Agent and Green Catalyst in the Four-Component Synthesis of a Novel Multi-Ring Compound Containing Pyrazole Derivatives. Nanomaterials, 12(24), 4468. https://doi.org/10.3390/nano12244468

















