Abstract
New nanocomposites containing zirconium were synthesized using microwave irradiation. Their structure was confirmed by vibrating sample magnetometer (VSM) curves, X-ray diffraction (XRD) patterns, scanning electron microscope (SEM) and transmission electron microscopy (TEM) images, Fourier transform infrared spectroscopy (FT-IR), and Brunauer–Emmett–Teller (BET) N2 adsorption/desorption isotherms. After the structure confirmation of the zirconium magnetic nanocomposite, the catalytic properties in the synthesis of pyrazole derivatives were investigated. Next, the biological activities of the zirconium magnetic nanocomposite, such as the antibacterial and antifungal activities, were investigated. The research results showed that the zirconium magnetic nanocomposite has high catalytic properties and can be used as a magnetic nanocatalyst for synthesizing heterocyclic compounds such as pyrazole derivatives in addition to having high biological properties. The unique properties of the nanoparticles can be attributed to their synthesis method and microwave radiation.
1. Introduction
Cyclic organic compounds withwith at least one heteroatom, such as nitrogen, sulfur, and phosphorus, are called heterocycles. Heterocycles have many biological properties. There are heterocyclic compounds in the structures of many drugs. So far, biological properties such as antibacterial, antifungal, anticancer, and antioxidant properties of heterocyclic compounds containing nitrogen, sulfur, and phosphorus have been reported [1,2,3,4,5,6,7]. One of criticalheterocyclic compounds’ critical applications is their use as ligands in complexes. The use of heterocycles as ligands makes the final product retain the biological properties of the heterocycle and the metal, thus having high biological properties. There have been reports of using heterocycles as ligands and synthesizing novel complexes containing various metals such as Cr, Mo, W, gold, and silver. These have unique properties, including anticancer properties [8,9,10,11,12].
The heterocyclic compound of pyrazole with two nitrogen atoms in its structure has many biological properties. This heterocyclic ring is found abundantly in nature, and its valuable derivatives with biological properties have been extracted from natural compounds [13]. Biological properties, such as anticancer [14,15], anti-diabetic [16], antimicrobial [17,18], and antioxidant [19] of heterocyclic compounds containing pyrazole, have been reported. Considering their importance, it is necessary to provide new methods for its synthesis.
Recently, developments in green chemistry and multi-component reactions (MCRs) in synthesizing heterocyclic compounds, particularly for drugs, have increased dramatically. The factors driving this increase include the prevention of environmental pollution, economic efficiency, and high efficiency [20,21]. Another advantage of MCRs is that they perform the reaction in one step, reducing the products’ synthesis time. In multi-component reactions, choosing a suitable catalyst is very important, and recently, nanocatalysts have proven to be effective in these reactions. Nanocatalysts have the added benefit of being recyclable and compatible with green chemistry. [22]. There have been several reports of various nanocatalysts, including metal oxide nanoparticles [23,24,25], magnetic nanoparticles [2,26], supported nanoparticles [27], and metal-organic framework nanoparticles [28], in the synthesis of organic and heterocyclic compounds.
Metal-organic framework nanoparticles are compounds with unique capabilities. High specific surface area and porosity are the main capabilities of these nanostructures, which have resulted in their application as flexible supercapacitors [29] and electrochemical biosensors for biomedical analysis [30,31]. There have been reports of these compounds being efficient and recyclable catalysts in synthesizing organic and heterocyclic compounds [32,33].
This study synthesized a new zirconium magnetic nanocomposite using Fe3O4 nanoparticles, dipicolinic acid, ZrCl4, and a microwave-assisted method. The final product’s structure was identified and confirmed using VSM, XRD, SEM and TEM images, FT-IR, and BET. The final product was used as a catalyst candidate to synthesize new pyrazole derivatives and antimicrobial agents.
2. Materials and Methods
2.1. Solvents and Raw Materials
The high-purity solvents and raw materials used in this study were purchased from Merck and Sigma-Aldrich. The Fe3O4 nanostructures were prepared from Sigma-Aldrich. No purification of the raw materials was carried out (Merck KGaA, St. Louis, MO, USA).
2.2. Zirconium Magnetic Nanocomposite Synthesis
For the zirconium magnetic nanocomposite synthesis, Fe3O4 nanoparticles (2 mmol), dipicolinic acid (4 mmol), and ZrCl4 (2 mmol) were added to 30 mL double-distilled water and stirred at 80 °C. After 10 min, the solution was put into a microwave and irradiated at a microwave power of 450 W at room temperature. After 10 min, the mixture cooled (room temperature), and the desired product was isolated using an external magnet. The synthesized zirconium magnetic nanocomposite was washed several times with a mix of double-distilled water and ethanol and dried at an ambient temperature.
2.3. Synthesis of 1,4-Dihydropyrano[2,3-c]pyrazole-5-Carbonitrile Derivatives Using Zirconium Magnetic Nanocomposite as a Catalyst
For the synthesis of 1,4-dihydropyrano[2,3-c]pyrazole-5-carbonitrile derivatives, zirconium magnetic nanocomposite (4 mg), aromatic aldehydes (1 mmol), and malononitrile (1 mmol) were added to 2 mL EtOH:H2O and stirred at 50 °C for 5 min. Then, phenylhydrazine (1 mmol) and ethyl acetoacetate (1 mmol) was added and stirred at 50 °C. The reaction was monitored by thin-layer chromatography. After the completion of the reaction, the zirconium magnetic nanocomposite was separated using an external magnet. The synthesized 1,4-dihydropyrano[2,3-c]pyrazole-5-carbonitrile derivatives were purified using recrystallization in ethanol.
After separation by the magnet, the zirconium magnetic nanocomposite was washed several times with a mixture of double-distilled water and ethanol and was reused after drying at room temperature.
6-amino-3-methyl-1,4-diphenyl-1,4-dihydropyrano[2,3-c]pyrazole-5-carbonitrile (5a) FT-IR (KBr, cm−1): 3402, 3284, 3181, 2203, 1675, 1660, 1529, 1461, 1317, 1240, 1101. 1H-NMR (250 MHz, DMSO-d6): δ (ppm) 7.64 (s, 1 H), 7.41–7.27 (m, 11 H), 4.73 (s, 1 H), 1.63 (s, 3 H). 13C-NMR (75 MHz, DMSO-d6): δ (ppm) 159.24, 144.86, 143.92, 143.61, 137.01, 128.92, 128.52, 128.07, 127.69, 127.12, 126.34, 119.96, 112.51, 97.96, 58.13, 11.73.
6-amino-4-(4-methoxyphenyl)-3-methyl-1-phenyl-1,4-dihydropyrano[2,3-c]pyrazole-5-carbonitrile (5c) FT-IR (KBr, cm−1): 3392, 3342, 3112, 2165, 1673, 1525, 1416, 1341, 12,120, 1114. 1H-NMR (250 MHz, DMSO-d6): δ (ppm) 7.69 (d, 2 H, J = 8.4 Hz), 7.42 (t, 2 H, J = 8 Hz), 7.35 (t, 1 H, J = 7.8 Hz), 7.19 (d, 4 H, J = 8.4 Hz), 6.95 (s, 2 H), 4.63 (s, 1 H), 3.62 (s, 3 H), 1.82 (s, 3 H). 13C-NMR (75 MHz, DMSO-d6): δ (ppm) 160.82, 145.62, 144.01, 143.25, 137.82, 129.07, 128.15, 128.52, 127.67, 127.35, 126.73, 119.03, 112.46, 97.34, 57.57, 12.01.
6-amino-4-(4-hydroxyphenyl)-3-methyl-1-phenyl-1,4-dihydropyrano[2,3-c]pyrazole-5-carbonitrile (5i) FT-IR (KBr, cm−1): 3381, 3313, 3157, 2189, 1670, 1538, 1402, 1321, 1249, 1157. 1H-NMR (250 MHz, DMSO-d6): δ (ppm) 9.28 (s, 1 H), 7.71 (d, 2 H, J = 8.4 Hz), 7.55–7.49 (t, 2 H, J = 8.7 Hz), 7.29–7.21 (t, 1 H, J = 8.4 Hz), 7.04 (s, 2 H), 7.11–7.14 (d, 2 H, J = 7.5 Hz), 6.71 (s, 2 H), 4.54 (s, 1 H), 1.77 (s, 3 H). 13C-NMR (75 MHz, DMSO-d6): δ (ppm); 160.11, 156.01, 144.98, 143.75, 143.08, 137.21, 133.62, 129.04, 128.66, 126.17, 120.49, 119.34, 114.99, 99.18, 58.61, 12.64.
2.4. Zirconium Magnetic Nanocomposite Antimicrobial Activity
To measure the MIC, MBC, and MFC, a concentration of 1–2048 mg/mL of zirconium magnetic nanocomposite and the drug were prepared. The Clinical and Laboratory Standards Institute (CLSI) guidelines (M07-A9, M26-A, M27-A2) were used for the zirconium magnetic nanocomposite antimicrobial activity. Based on the reported methods, relevant tests on the desired Gram-positive, Gram-negative species, and desired fungal species were performed [34,35,36].
3. Results
3.1. Results of Synthesis and Confirmation Structure of Zirconium Magnetic Nanocomposite
A new zirconium magnetic nanocomposite using Fe3O4 nanoparticles, pyridine-2,6 dicarboxylic acid, and zirconium (IV) chloride was synthesized under microwave irradiation. Various techniques and analyses, such as vibrating sample magnetometer curves (VSM, Magnetic Daghigh Danesh Pajoh Co, Iran, Kashan), X-ray diffraction patterns (XRD, Philips XPERT PRO, Netherlands, Eindhoven), scanning electron microscope images (SEM, Hitachi S-4800 FESEM, Japan, Tokyo) and transmission electron microscopy images (TEM, Philips EM 208S, Netherlands, Eindhoven), Fourier transform infrared spectroscopy (FT-IR, Thermo Scientific Nicolet-6700, Waltham, MA, USA), and Brunauer–Emmett–Teller N2 adsorption/desorption isotherms (BET, Micromeritics, TriStar II 3020 analyser, Norcross, GA, USA), were used to identify and confirm the structure of the zirconium magnetic nanocomposite.
The magnetic saturation of the zirconium magnetic nanocomposite, as shown in the VSM curve in Figure 1, was 0.014 emu/g.
Figure 1.
Magnetic saturation curve of zirconium magnetic nanocomposite.
The magnetic property of the zirconium magnetic nanocomposite was compared with the magnetic property of the Fe3O4 nanoparticles. According to previous reports, the saturation value of the Fe3O4 nanoparticles was 0.055 emu/g [2]. The decrease in the magnetic saturation of the zirconium magnetic nanocomposite shows that the Fe3O4 nanoparticles were covered in groups.
The XRD pattern of the zirconium magnetic nanocomposite (Figure 2) confirmed the crystalline structure and the presence of Fe3O4 nanoparticles in the final product’s structure [37].
Figure 2.
X-ray diffraction pattern of zirconium magnetic nanocomposite.
The SEM and TEM images of the zirconium magnetic nanocomposite (Figure 3) confirmed the uniformity of the structure and the morphology of the final product. In addition, the SEM and TEM images proved that the structure of the compound was in the nano-sized range.
Figure 3.
Scanning electron microscope and transmission electron microscopy images of zirconium magnetic nanocomposite.
The FT-IR spectrum of the zirconium magnetic nanocomposite, as shown in Figure 4, proved the desired absorptions of the final product’s structure.
Figure 4.
Fourier transform infrared spectroscopy of zirconium magnetic nanocomposite.
The Fe3O4 nanoparticles showed absorption in the region of 526 cm−1. The peaks in areas 617 cm−1 and 667 cm−1 were related to Zr-O [38]. The peak observed in the region 1124 cm−1 corresponded to the C-O group. The C=C and C=O groups showed absorption in areas 1548 cm−1 and 1651 cm−1, respectively. The absorption of the C-H group was observed in areas 2930 cm−1 and 2970 cm−1. Finally, the absorption of the O-H group was observed in the 3400 cm−1.
The N2 adsorption/desorption isotherms of the zirconium magnetic nanocomposite were the fourth type of the classical isotherm series [39]. The specific surface area of the zirconium magnetic nanocomposite was about 1850 m2/g (Figure 5).
Figure 5.
N2 adsorption/desorption isotherms of zirconium magnetic nanocomposite.
As an overall finding, it can be stated that the synthetic compound had magnetic properties and could be easily separated in catalytic reactions. The desired elements and functional groups were observed in the structure of the synthesized compound. The synthesis method and microwave radiation caused uniform morphology and nano-sized particles. In addition, the synthesis method increased the specific surface area, which led to its use as an efficient catalyst and bioactive agent.
Based on the observations and spectral analysis, the following structure was suggested for the zirconium magnetic nanocomposite (Figure 6).
Figure 6.
Suggested structure for zirconium magnetic nanocomposite.
3.2. Results of Four-Component Synthesis of Multi-Ring Compound Containing Pyrazole Using Zirconium Magnetic Nanocomposite
From the four-component reaction of the aromatic aldehyde derivatives, malononitrile, phenylhydrazine, and ethyl acetoacetate in the presence of the zirconium magnetic nanocomposite as a catalyst, 1,4-dihydropyrano[2,3-c]pyrazole-5-carbonitrile derivatives were synthesized (Scheme 1).
Scheme 1.
Synthesis of 1,4-dihydropyrano[2,3-c]pyrazole-5-carbonitrile using aromatic aldehyde derivatives, malononitrile, phenylhydrazine, and ethyl acetoacetate.
To synthesize the derivatives, we first optimized the reaction conditions, such as the solvent, amount of catalyst, and temperature. Different solvents, such as EtOH, EtOH: H2O (1:1), MeOH, and CH3CN, were tested during optimization. Based on the obtained results, the highest efficiency was obtained using EtOH: H2O.
To optimize the catalyst amount, the reactions in amounts of 1–5 mg were tested. Based on the obtained results, high efficiency was observed in using 4 mg as the catalyst. Finally, temperature optimization was performed, and the reaction at 50 °C had the highest yield. The optimization results are given in Table 1.
Table 1.
Optimization of solvent, amount of catalyst, and temperature in the four-component synthesis of 1,4-dihydropyrano[2,3-c]pyrazole-5-carbonitrile.
The structures of the 16 derivatives of 1,4-dihydropyrano[2,3-c]pyrazole-5-carbonitrile (5a–o) synthesized in this study under optimal conditions are given in Table 2.
Table 2.
1,4-dihydropyrano[2,3-c]pyrazole-5-carbonitrile derivatives synthesized using zirconium magnetic nanocomposite as a catalyst.
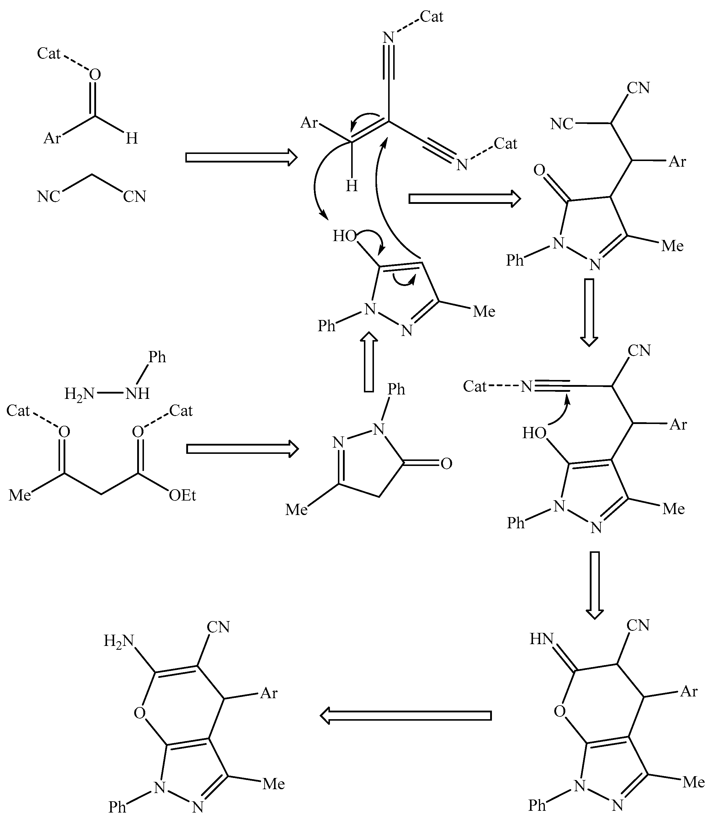
For synthesizing the 1,4-dihydropyrano[2,3-c]pyrazole-5-carbonitrile derivatives studied in this research using the zirconium magnetic nanocomposite as a catalyst, the Scheme 2 mechanism was proposed.
Scheme 2.
Synthesis mechanism of 1,4-dihydropyrano[2,3-c]pyrazole-5-carbonitrile derivatives using zirconium magnetic nanocomposite.
Table 3 shows a comparison of the recently reported synthesis methods of 1,4-dihydropyrano[2,3-c]pyrazole-5-carbonitrile derivatives such as triazine-based functionalized HY zeolite [40], SBA-15/hydrotalcite/heteropoly acid (phosphotungstic acid) [50], tungstic acid immobilized on zirconium-L-aspartate amino acid metal-organic framework-grafted L-(+)-tartaric acid-stabilized magnetic Fe3O4 nanoparticles [51], yttrium iron garnet [52], triphenylphosphine [53], sugarcane bagasse ash-based silica-supported boric acid [54], and 1,3-dimethyl-2-oxo-1,3-bis(4-sulfobutyl) imidazolidine-1,3-diium hydrogen sulfate[DMDBSI]2HSO4 [55] as a catalyst.
Table 3.
Comparison of synthesis methods of 1,4-dihydropyrano[2,3-c]pyrazole-5-carbonitrile with the method studied in this research.
As a result, the zirconium magnetic nanocomposite synthesized the desired product with better results, including higher efficiency, a shorter time, and a lower temperature.
As mentioned earlier, the favorable conditions of the zirconium magnetic nanocomposite as a catalyst can be attributed to its high specific surface area.
Another essential advantage of the catalyst studied in this study was its recycling ability.
Figure 7 shows that the zirconium magnetic nanocomposite can be reused up to six times (for 5a), which does not significantly reduce the efficiency of the product.
Figure 7.
The results of recycling the catalyst in the synthesis of 1,4-dihydropyrano[2,3-c]pyrazole-5-carbonitrile.
3.3. Results of Biological Activity of Zirconium Magnetic Nanocomposite
The high specific surface area of the zirconium magnetic nanocomposite synthesized in this study significantly affected the Gram-positive, Gram-negative, and fungal species. Zirconium magnetic nanocomposite’s antimicrobial effects were tested based on the MIC (minimum inhibitory concentration), MBC (minimum bactericidal concentration), and MFC (minimum fungicidal concentration) parameters (Table 4).
Table 4.
Results of antibacterial and antifungal activity of zirconium magnetic nanocomposite compared to commercial drugs.
The antibacterial effects of nanoparticles were examined on Staphylococcus epidermidis and Bacillus cereus (Gram-positive), Klebsiella pneumonia and Shigella dysenteriae (Gram-negative), and Candida albicans (fungi).
Furthermore, the antimicrobial effects of some commercial drugs (Cefazolin as an antibacterial drug and Terbinafine as an antifungal drug) on the studied species were tested to compare their effectiveness to the zirconium magnetic nanocomposite.
The results of the antimicrobial tests proved that the zirconium magnetic nanocomposite positively affected all studied Gram-positive, Gram-negative, and fungi species. The MBC value was 16 μg/mL on Staphylococcus epidermidis, 128 μg/mL on Bacillus cereus, 64 μg/mL on Klebsiella pneumonia, and 128 μg/mL on Shigella dysenteriae, and the MFC value on Candida albicans was 128 μg/mL.
It is noteworthy that Cefazolin was ineffective on Bacillus cereus and Shigella dysenteriae, and Terbinafine was ineffective on Candida albicans. However, the zirconium magnetic nanocomposite had a positive effect.
As mentioned earlier, the unique properties of the zirconium magnetic nanocomposite can be attributed to its high specific surface area, which is the result of its synthesis method.
4. Conclusions
In the present study, a zirconium magnetic nanocomposite was synthesized using the microwave method. Analyses such as vibrating sample magnetometer curves, X-ray diffraction patterns, scanning electron microscope and transmission electron microscopy images, Fourier transform infrared spectroscopy, and Brunauer–Emmett–Teller N2 adsorption/desorption isotherms to identify and confirm its structure were performed. The results of the analyses showed that the synthesis method caused uniform morphology and increased the specific surface area of the zirconium magnetic nanocomposite. The synthesized zirconium magnetic nanocomposite was used as a catalyst in the synthesis of 1,4-dihydropyrano[2,3-c]pyrazole-5-carbonitrile derivatives due to its unique properties, including its high specific surface area, which is essential for catalytic applications. The catalytic activity results compared to the previously reported methods for synthesizing 1,4-dihydropyrano[2,3-c]pyrazole-5-carbonitrile derivatives were significant. One of the other advantages of its use as a catalyst is its possible reuse without a noticeable decrease in efficiency. The high specific surface area of the zirconium magnetic nanocomposite resulted in biological activity, which was effective on Gram-positive, Gram-negative, and the studied fungal species. The noteworthy finding of the antibacterial activity was its higher effectiveness compared to the commercially used drugs.
Author Contributions
Study conception and design, R.D.L. and S.L.; data collection, M.A. and F.A.; analysis and interpretation of results, A.G.A. and M.K.; draft manuscript preparation, M.S. and S.K.H.; editing, R.D.L.; visualization, S.L.; supervision, D.A.M.; project administration, I.F. All authors have read and agreed to the published version of the manuscript.
Funding
This research received no external funding.
Data Availability Statement
The authors confirm that the data supporting the findings of this study are available within the article.
Acknowledgments
The authors extend their appreciation to the Deanship of Scientific Research at King Khalid University for funding this work through the extensive research group program under grant number (R.G.P.02/148/43).
Conflicts of Interest
The authors declare no conflict of interest.
References
- Moonen, K.; Laureyn, I.; Stevens, C.V. Synthetic methods for azaheterocyclic phosphonates and their biological activity. Chem. Rev. 2004, 104, 6177–6216. [Google Scholar] [CrossRef] [PubMed]
- Hosseinzadegan, S.; Hazeri, N.; Maghsoodlou, M.T.; Moghaddam-Manesh, M.; Shirzaei, M. Synthesis and evaluation of biological activity of novel chromeno [4,3-b] quinolin-6-one derivatives by SO3 H-tryptamine supported on Fe3O4@ SiO2@ CPS as recyclable and bioactive magnetic nanocatalyst. J. Iran. Chem. Soc. 2020, 17, 3271–3284. [Google Scholar] [CrossRef]
- Etemadi, Y.; Shiri, A.; Eshghi, H.; Akbarzadeh, M.; Saadat, K.; Mozafari, S.; Beyzaei, H.; Moghaddam-Manesh, M. Synthesis, characterisation, and in vitro antibacterial evaluation of a new class of 2-substituted-4-methyl-7, 8-dihydro-5H-pyrimido [4, 5-d] thiazolo [3,2-a] pyrimidines. J. Chem. Res. 2016, 40, 600–603. [Google Scholar] [CrossRef]
- Moghaddam-Manesh, M.; Hosseinzadegan, S. Introducing new method for the synthesis of polycyclic compounds containing [1,3] dithiine derivatives, with anticancer and antibacterial activities against common bacterial strains between aquatic and human. J. Heterocycl. Chem. 2021, 58, 2174–2180. [Google Scholar] [CrossRef]
- Nath, R.; Pathania, S.; Grover, G.; Akhtar, M.J. Isatin containing heterocycles for different biological activities: Analysis of structure activity relationship. J. Mol. Struct. 2020, 1222, 128900. [Google Scholar] [CrossRef]
- Moghaddam-Manesh, M.; Ghazanfari, D.; Sheikhhosseini, E.; Akhgar, M. Synthesis, Characterization and Antimicrobial Evaluation of Novel 6′-Amino-spiro [indeno [1,2-b] quinoxaline [1,3] dithiine]-5′-carbonitrile Derivatives. Acta Chim. Slov. 2020, 67, 276–282. [Google Scholar] [CrossRef]
- Wang, X.; Wu, S.; Zhong, Y.; Wang, Y.; Pan, Y.; Tang, H. Electrochemically mediated decarboxylative acylation of N-nitrosoanilines with α-oxocarboxylic acids. Chin. Chem. Lett. 2022, 34, 107537. [Google Scholar] [CrossRef]
- Ott, I. On the medicinal chemistry of gold complexes as anticancer drugs. Coord. Chem. Rev. 2009, 253, 1670–1681. [Google Scholar] [CrossRef]
- Mihorianu, M.; Franz, M.H.; Jones, P.G.; Freytag, M.; Kelter, G.; Fiebig, H.H.; Tamm, M.; Neda, I. N-Heterocyclic carbenes derived from imidazo-[1,5-a] pyridines related to natural products: Synthesis, structure and potential biological activity of some corresponding gold (I) and silver (I) complexes. Appl. Organomet. Chem. 2016, 30, 581–589. [Google Scholar] [CrossRef]
- Vollbrecht, A.; Neda, I.; Thönnessen, H.; Jones, P.G.; Schmutzler, R.; Harris, R.K.; Crowe, L.A. Synthesis, Structure, and Reactivity of Tetrakis (O, O-phosphorus)-Bridged Calix [4] resorcinols and Their Derivatives. Chem. Ber. 1997, 130, 1715–1720. [Google Scholar] [CrossRef]
- Plinta, H.-J.; Neda, I.; Schmutzler, R. 1.3-Dimethyl-1, 3-diaza-2-R-5, 6-benzo-2λ3-phosphorinan-4-one (R = F, Me2N, 2-Methylpiperidino, MeC (: 0) NH-) als Liganden in Übergangsmetallkomplexen; Synthese und Struktur von Dichloro-Platin (II)-und Tetracarbonyl-Metall (O)-Koordinationsverbindungen (Metall = Cr, Mo und W)/1.3-Dimethyl-1, 3-diaza-2-R-5, 6-benzo-2λ3-phosphorinan-4-ones (R = F, Me2N, 2-Methylpiperidino, MeC (: 0) NH-) as Ligands in Transition-Metal Complexes; Synthesis and Structure of Dichloro-Platinum (II)-and Tetracarbonyl-Metal (0) Coordination Compounds (Metal = Cr, Mo and W). Z. Nat. B 1994, 49, 100–110. [Google Scholar]
- Marichev, K.O.; Patil, S.A.; Patil, S.A.; Heras Martinez, H.M.; Bugarin, A. N-heterocyclic carbene metal complexes as therapeutic agents: A patent review. Expert Opin. Ther. Pat. 2022, 32, 47–61. [Google Scholar] [CrossRef]
- Kumar, V.; Kaur, K.; Gupta, G.K.; Sharma, A.K. Pyrazole containing natural products: Synthetic preview and biological significance. Eur. J. Med. Chem. 2013, 69, 735–753. [Google Scholar] [CrossRef] [PubMed]
- Kumar, H.; Saini, D.; Jain, S.; Jain, N. Pyrazole scaffold: A remarkable tool in the development of anticancer agents. Eur. J. Med. Chem. 2013, 70, 248–258. [Google Scholar] [CrossRef]
- Reddy, T.S.; Kulhari, H.; Reddy, V.G.; Bansal, V.; Kamal, A.; RaviShukla. Design, synthesis and biological evaluation of 1,3-diphenyl-1H-pyrazole derivatives containing benzimidazole skeleton as potential anticancer and apoptosis inducing agents. Eur. J. Med. Chem. 2015, 101, 790–805. [Google Scholar] [CrossRef] [PubMed]
- Abdellatif, K.R.; Fadaly, W.A.; Kamel, G.M.; Elshaier, Y.A.; El-Magd, M.A. Design, synthesis, modeling studies and biological evaluation of thiazolidine derivatives containing pyrazole core as potential anti-diabetic PPAR-γ agonists and anti-inflammatory COX-2 selective inhibitors. Bioorg. Chem. 2019, 82, 86–99. [Google Scholar] [CrossRef]
- Bakthavatchala Reddy, N.; Zyryanov, G.V.; Mallikarjuna Reddy, G.; Balakrishna, A.; Padmaja, A.; Padmavathi, V.; Suresh Reddy, C.; Garcia, J.R.; Sravya, G. Design and synthesis of some new benzimidazole containing pyrazoles and pyrazolyl thiazoles as potential antimicrobial agents. J. Heterocycl. Chem. 2019, 56, 589–596. [Google Scholar] [CrossRef]
- Verma, R.; Verma, S.K.; Rakesh, K.P.; Girish, Y.R.; Ashrafizadeh, M.; Kumar, K.S.S.; Rangappa, K.S. Pyrazole-based analogs as potential antibacterial agents against methicillin-resistance staphylococcus aureus (MRSA) and its SAR elucidation. Eur. J. Med. Chem. 2021, 212, 113134. [Google Scholar] [CrossRef]
- Kumari, S.; Paliwal, S.K.; Chauhan, R. An improved protocol for the synthesis of chalcones containing pyrazole with potential antimicrobial and antioxidant activity. Curr. Bioact. Compd. 2018, 14, 39–47. [Google Scholar] [CrossRef]
- Kar, S.; Sanderson, H.; Roy, K.; Benfenati, E.; Leszczynski, J. Green Chemistry in the Synthesis of Pharmaceuticals. Chem. Rev. 2021, 122, 3637–3710. [Google Scholar] [CrossRef]
- Ou, C.-H.; Pan, Y.-M.; Tang, H.-T. Electrochemically promoted N-heterocyclic carbene polymer-catalyzed cycloaddition of aldehyde with isocyanide acetate. Sci. China Chem. 2022, 65, 1873–1878. [Google Scholar] [CrossRef]
- Arlan, F.M.; Marjani, A.P.; Javahershenas, R.; Khalafy, J. Recent developments in the synthesis of polysubstituted pyridines via multi-component reactions using nanocatalysts. New J. Chem. 2021, 45, 12328–12345. [Google Scholar] [CrossRef]
- Hosseinzadegan, S.; Hazeri, N.; Maghsoodlou, M.T. Synthesis and evaluation of antimicrobial and antioxidant activity of novel 7-Aryl-6H, 7H-benzo [f] chromeno [4, 3-b] chromen-6-one by MgO nanoparticle as green catalyst. J. Heterocycl. Chem. 2020, 57, 621–626. [Google Scholar] [CrossRef]
- Kumar, P.P.; Bhatlu, M.L.D.; Sukanya, K.; Karthikeyan, S.; Jayan, N. Synthesis of magnesium oxide nanoparticle by eco friendly method (green synthesis)–A review. Mater. Today Proc. 2021, 37, 3028–3030. [Google Scholar] [CrossRef]
- Ghafuri, H. Transition metal-free oxidation of benzylic alcohols to carbonyl compounds by hydrogen peroxide in the presence of acidic silica gel. Curr. Chem. Lett. 2015, 4, 27–32. [Google Scholar] [CrossRef]
- Aghaei-Hashjin, M.; Yahyazadeh, A.; Abbaspour-Gilandeh, E. Mo@ GAA-Fe3O4 MNPs: A highly efficient and environmentally friendly heterogeneous magnetic nanocatalyst for the synthesis of polyhydroquinoline derivatives. RSC Adv. 2021, 11, 10497–10511. [Google Scholar] [CrossRef]
- Feng, X.; Xia, L.; Jiang, Z.; Tian, M.; Zhang, S.; He, C. Dramatically promoted toluene destruction over Mn@ Na-Al2O3@ Al monolithic catalysts by Ce incorporation: Oxygen vacancy construction and reaction mechanism. Fuel 2022, 326, 125051. [Google Scholar] [CrossRef]
- Yao, X.; Bai, C.; Chen, J.; Li, Y. Efficient and selective green oxidation of alcohols by MOF-derived magnetic nanoparticles as a recoverable catalyst. RSC Adv. 2016, 6, 26921–26928. [Google Scholar] [CrossRef]
- Yan, J.; Liu, T.; Liu, X.; Yan, Y.; Huang, Y. Metal-organic framework-based materials for flexible supercapacitor application. Coord. Chem. Rev. 2022, 452, 214300. [Google Scholar] [CrossRef]
- Dourandish, Z.; Tajik, S.; Beitollahi, H.; Jahani, P.M.; Nejad, F.G.; Sheikhshoaie, I.; Di Bartolomeo, A. A Comprehensive Review of Metal–Organic Framework: Synthesis, Characterization, and Investigation of Their Application in Electrochemical Biosensors for Biomedical Analysis. Sensors 2022, 22, 2238. [Google Scholar] [CrossRef]
- Liu, W.; Huang, F.; Liao, Y.; Zhang, J.; Ren, G.; Zhuang, Z.; Zhen, J.; Lin, Z.; Wang, C. Treatment of CrVI-Containing Mg(OH)2 Nanowaste. Angew. Chem. 2008, 120, 5701–5704. [Google Scholar] [CrossRef]
- Martín, N.; Dusselier, M.; De Vos, D.E.; Cirujano, F.G. Metal-Organic framework derived metal oxide clusters in porous aluminosilicates: A catalyst design for the synthesis of bioactive aza-heterocycles. ACS Catal. 2018, 9, 44–48. [Google Scholar] [CrossRef]
- Niknam, E.; Panahi, F.; Daneshgar, F.; Bahrami, F.; Khalafi-Nezhad, A. Metal–organic framework MIL-101 (Cr) as an efficient heterogeneous catalyst for clean synthesis of benzoazoles. ACS Omega 2018, 3, 17135–17144. [Google Scholar] [CrossRef] [PubMed]
- Abdieva, G.A.; Patra, I.; Al-Qargholi, B.; Shahryari, T.; Chauhan, N.P.S.; Moghaddam-Manesh, M. An Efficient Ultrasound-Assisted Synthesis of Cu/Zn Hybrid MOF Nanostructures With High Microbial Strain Performance. Front. Bioeng. Biotechnol. 2022, 10, 861580. [Google Scholar] [CrossRef] [PubMed]
- Zeraati, M.; Moghaddam-Manesh, M.; Khodamoradi, S.; Hosseinzadegan, S.; Golpayegani, A.; Chauhan, N.P.S.; Sargazi, G. Ultrasonic assisted reverse micelle synthesis of a novel Zn-metal organic framework as an efficient candidate for antimicrobial activities. J. Mol. Struct. 2022, 1247, 131315. [Google Scholar] [CrossRef]
- Moghaddam-Manesh, M.; Ghazanfari, D.; Sheikhhosseini, E.; Akhgar, M. MgO-Nanoparticle-Catalyzed Synthesis and Evaluation of Antimicrobial and Antioxidant Activity of New Multi-Ring Compounds Containing Spiro [indoline-3, 4′-[1, 3] dithiine]. ChemistrySelect 2019, 4, 9247–9251. [Google Scholar] [CrossRef]
- Shiri, L.; Narimani, H.; Kazemi, M. Synthesis and characterization of sulfamic acid supported on Fe3O4 nanoparticles: A green, versatile and magnetically separable acidic catalyst for oxidation reactions and Knoevenagel condensation. Appl. Organomet. Chem. 2018, 32, e3927. [Google Scholar] [CrossRef]
- Mallakpour, S.; Shafiee, E. The synthesis of poly(vinyl chloride) nanocomposite films containing ZrO(2) nanoparticles modified with vitamin B(1) with the aim of improving the mechanical, thermal and optical properties. Des. Monomers Polym. 2017, 20, 378–388. [Google Scholar] [CrossRef]
- Mirhosseini, H.; Shamspur, T.; Mostafavi, A.; Sargazi, G. A novel ultrasonic reverse micelle-assisted electrospun efficient route for Eu-MOF and Eu-MOF/CA composite nanofibers: A high performance photocatalytic treatment for removal of BG pollutant. Environ. Sci. Pollut. Res. 2021, 28, 4317–4328. [Google Scholar] [CrossRef]
- Alimohammadi, E.; Kaveh, K.; Ali, Z.M. Preparation of triazine-based functionalized HY zeolite and its application in the green synthesis of tetrahydrobenzo [b] pyran and 1, 4-dihydropyrano [2, 3-c] pyrazole derivatives as a novel mesoporous recyclable nanocatalyst. J. Iran. Chem. Soc. 2022, 19, 4721–4734. [Google Scholar] [CrossRef]
- Eftekhari far, B.; Nasr-Esfahani, M. Synthesis, characterization and application of Fe3O4@ SiO2@ CPTMO@ DEA-SO3H nanoparticles supported on bentonite nanoclay as a magnetic catalyst for the synthesis of 1, 4-dihydropyrano [2, 3-c] pyrazoles. Appl. Organomet. Chem. 2020, 34, e5406. [Google Scholar] [CrossRef]
- Solgi, M.; Khazaei, A.; Akbarpour, T. Synthesis of magnetic nanoparticles Fe3O4@ CQD@ Si (OEt)(CH2)3@ melamine@ TC@ Ni (NO3) with application in the synthesis of 2-amino-3-cyanopyridine and pyrano [2, 3-c] pyrazole derivatives. Res. Chem. Intermed. 2022, 48, 2443–2468. [Google Scholar] [CrossRef]
- Heravi, M.M.; Malakooti, R.; Kafshdarzadeh, K.; Amiri, Z.; Zadsirjan, V.; Atashin, H. Supported palladium oxide nanoparticles in Al-SBA-15 as an efficient and reusable catalyst for the synthesis of pyranopyrazole and benzylpyrazolyl coumarin derivatives via multi-component reactions. Res. Chem. Intermed. 2022, 48, 203–234. [Google Scholar] [CrossRef]
- Balaskar, R.S.; Gavade, S.N.; Mane, M.S.; Shingate, B.B.; Shingare, M.S.; Mane, D.V. Greener approach towards the facile synthesis of 1, 4-dihydropyrano [2, 3-c] pyrazol-5-yl cyanide derivatives at room temperature. Chin. Chem. Lett. 2010, 21, 1175–1179. [Google Scholar] [CrossRef]
- Shi, D.; Mou, J.; Zhuang, Q.; Niu, L.; Wu, N.; Wang, X. Three-component one-pot synthesis of 1, 4-dihydropyrano [2, 3-c] pyrazole derivatives in aqueous media. Synth. Commun. 2004, 34, 4557–4563. [Google Scholar] [CrossRef]
- Irani, S.; Maghsoodlou, M.T.; Hadavi, M.S.; Hazeri, N.; Lashkari, M. Ag/Tio2 Nano Thin Films Catalyzed Efficient Synthesis of 6-Amino-4-Aryl-3-Methyl-1, 4-Dihydropyrano [2, 3-C] Pyrazole-5-Carbonitriles at Green Conditions. Orient. J. Chem. 2017, 33, 814. [Google Scholar] [CrossRef][Green Version]
- Iravani, N.; Keshavarz, M.; Kish, H.A.S.; Parandvar, R. Tin sulfide nanoparticles supported on activated carbon as an efficient and reusable Lewis acid catalyst for three-component one-pot synthesis of 4H-pyrano [2, 3-c] pyrazole derivatives. Chin. J. Catal. 2015, 36, 626–633. [Google Scholar] [CrossRef]
- Tahmassebi, D.; Blevins, J.E.; Gerardot, S.S. Zn (L-proline) 2 as an efficient and reusable catalyst for the multi-component synthesis of pyran-annulated heterocyclic compounds. Appl. Organomet. Chem. 2019, 33, e4807. [Google Scholar] [CrossRef]
- Zolfigol, M.A.; Ayazi-Nasrabadi, R.; Baghery, S.; Khakyzadeh, V.; Azizian, S. Applications of a novel nano magnetic catalyst in the synthesis of 1, 8-dioxo-octahydroxanthene and dihydropyrano [2, 3-c] pyrazole derivatives. J. Mol. Catal. A Chem. 2016, 418, 54–67. [Google Scholar] [CrossRef]
- Sadjadi, S.; Heravi, M.M.; Zadsirjan, V.; Farzaneh, V. A ternary hybrid system based on combination of mesoporous silica, heteropolyacid and double-layered clay: An efficient catalyst for the synthesis of 2, 4-dihydro-3H-pyrazol-3-ones and pyranopyrazoles in aqueous medium: Studying the effect of the synthetic procedure on the catalytic activity. Res. Chem. Intermed. 2018, 44, 6765–6785. [Google Scholar]
- Khademi, S.; Zahmatkesh, S.; Aghili, A.; Badri, R. Tungstic acid (H4WO5) immobilized on magnetic-based zirconium amino acid metal-organic framework: An efficient heterogeneous Brønsted acid catalyst for l-(4-phenyl)-2, 4-dihydropyrano [2, 3c] pyrazole derivatives preparation. Appl. Organomet. Chem. 2021, 35, e6192. [Google Scholar] [CrossRef]
- Sedighinia, E.; Badri, R.; Kiasat, A. Application of yttrium iron garnet as a powerful and recyclable nanocatalyst for one-pot synthesis of pyrano [2, 3-c] pyrazole derivatives under solvent-free conditions. Russ. J. Org. Chem. 2019, 55, 1755–1763. [Google Scholar] [CrossRef]
- Amine Khodja, I.; Fisli, A.; Lebhour, O.; Boulcina, R.; Boumoud, B.; Debache, A. Four-component synthesis of pyrano [2, 3-c] pyrazoles catalyzed by triphenylphosphine in aqueous medium. Lett. Org. Chem. 2016, 13, 85–91. [Google Scholar] [CrossRef]
- Pandey, A.; Kumar, A.; Shrivastava, S. Sugarcane Bagasse Ash-Based Silica-Supported Boric Acid (SBA-SiO2-H3BO3): A Versatile and Reusable Catalyst for the Synthesis of 1, 4Dihydropyrano [2, 3c] pyrazole Derivatives. Russ. J. Org. Chem. 2021, 57, 653–660. [Google Scholar] [CrossRef]
- Zakeri, M.; Nasef, M.M.; Kargaran, T.; Ahmad, A.; Abouzari-Lotf, E.; Asadi, J. Synthesis of pyrano [2, 3-c] pyrazoles by ionic liquids under green and eco-safe conditions. Res. Chem. Intermed. 2017, 43, 717–728. [Google Scholar] [CrossRef]
Publisher’s Note: MDPI stays neutral with regard to jurisdictional claims in published maps and institutional affiliations. |
© 2022 by the authors. Licensee MDPI, Basel, Switzerland. This article is an open access article distributed under the terms and conditions of the Creative Commons Attribution (CC BY) license (https://creativecommons.org/licenses/by/4.0/).















