Abstract
Mn5Ge3 epitaxial thin films previously grown mainly on Ge substrate have been synthesized on Si(111) using the co-deposition of Mn and Ge at a temperature of 390 °C. RMS roughness decreases by almost a factor of two in the transition from a completely polycrystalline to a highly ordered growth mode. This mode has been stabilized by changing the ratio of the Mn and Ge evaporation rate from the stoichiometric in the buffer layer. Highly ordered Mn5Ge3 film has two azimuthal crystallite orientations, namely Mn5Ge3 (001) [1-10] and Mn5Ge3 (001) [010] matching Si(111)[-110]. Lattice parameters derived a (7.112(1) Å) and c (5.027(1) Å) are close to the bulk values. Considering all structural data, we proposed a double buffer layer model suggesting that all layers have identical crystal structure with P6₃/mcm symmetry similar to Mn5Ge3, but orientation and level of Si concentration are different, which eliminates 8% lattice mismatch between Si and Mn5Ge3 film. Mn5Ge3 film on Si(111) demonstrates no difference in magnetic properties compared to other reported films. TC is about 300 K, which implies no significant excess of Mn or Si doping. It means that the buffer layer not only serves as a platform for the growth of the relaxed Mn5Ge3 film, but is also a good diffusion barrier.
1. Introduction
Ferromagnetic manganese germanide Mn5Ge3 thin films have been the object of close study for about 20 years [,], remaining a promising material for spintronic devices [,] since they possess the necessary properties []. The Curie temperature TC, which is 296 K for the stoichiometric composition of a bulk crystal [], can be increased by doping with iron [], carbon [], or other dopants []. Furthermore, the magnetic properties of such films can be changed via epitaxial stresses []. The simplest method for obtaining Mn5Ge3 thin films is solid-phase epitaxy, in which germanium and manganese films are annealed on a substrate [,,]. There are also several works on the synthesis of epitaxial films using the molecular-beam epitaxy (MBE) method on semiconductor Ge substrates [,,,], and even on GaAs(111) and GaSb(001) [,]. However, the successful synthesis of Mn5Ge3 films on Si substrates through direct MBE growth has not been reported, which is most likely due to a rather large lattice mismatch (8%). The solution to this problem will contribute to the creation and study of Mn5Ge3-based magnetic and spintronic devices compatible with silicon CMOS technology. In our work, we demonstrate the successful synthesis of a highly ordered Mn5Ge3 film on a Si(111) substrate using the MBE method, which was implemented by finely tuning the buffer layer.
2. Experimental Details
Mn5Ge3 films were synthesized on p-Si(111) substrate using MBE (base vacuum 6.5 × 10−8 Pa). Si surface was annealed in a vacuum chamber until the 7 × 7 reconstruction appeared, providing an atomically smooth and clean surface. Then, the silicon substrate was cooled to a temperature of 390 °C, which was kept constant during all experiments. Mn and Ge were co-deposited in certain ratios from Knudsen effusion cells. The process was monitored in situ using reflection high-energy electron diffraction (RHEED). After deposition, the samples were evacuated from the vacuum chamber and thoroughly characterized. X-ray diffraction (XRD) analysis was performed using a PANalytical (Panalytical, Almelo, Netherlands) X’Pert PRO diffractometer equipped with a solid-state detector PIXcel on Cu Ka radiation. Morphology and microstructure of Mn5Ge3 films were studied with atomic force microscopy (AFM) and transmission electron microscopy (TEM) with help of a NanoInk (DPN 5000 device, NanoInk, Skokie, IL, USA) DPN 5000 instrument and Hitachi (Hitachi, Tokyo, Japan) HT-7700 microscope, respectively. To investigate details of the chemical composition of the thin film obtained, Rutherford backscattering spectroscopy (RBS) was used with helium ions, He+, at 1.504 MeV and a scattering angle of 160° relative to the beam’s propagation direction. The magnetic properties of the prepared films were examined with the help of a vibrating sample magnetometer (VSM) LakeShore (Lake Shore Cryotronics, Westerville, OH, USA) VSM 8600.
3. Results and Discussion
To determine the conditions for the epitaxial growth of Mn5Ge3 on the Si(111) surface, a series of experiments were performed. Here we show three processes differing in the rate, ratio and time of Mn and Ge deposition during the growth of the buffer layers. These examples demonstrate the effect of buffer layers on the growth processes, structure and morphology of Mn5Ge3 thin films. Schematic diagram of process flow is shown on Figure 1. Sample #1 was synthesized as a single layer at a fixed deposition rate of Mn VMn = 0.58 nm/min and Ge VGe = 0.33 nm/min. During the growth of the first 15 nm, the RHEED pattern transforms from point reflections to streaks and then turns into Debye rings, indicating the formation of a polycrystal (Figure 2a). For sample #2a, one approximately 3 nm thick buffer layer with a low concentration of Mn was grown (VMn = 0.2 nm/min and VGe = 0.33 nm/min).

Figure 1.
Diagram of process flow for four different samples.

Figure 2.
RHEED pattern and AFM images of the Mn5Ge3 thin films on Si(111). RHEED patterns for the samples #1 (a), #2a (b), #2 (c), #3 (d) and AFM images for 2 × 2 μm2 area for the samples #1 (e), #2a (f), #2 (g), #3 (h) are shown. The thicknesses of Mn5Ge3 films are #1—45 nm, #2a—60 nm, #2—30 nm and #3—150 nm. The length of the scale bar is 500 nm.
Then, within 10 min, the evaporation rate VMn gradually increased to the stoichiometric value of 0.58 nm/min. At a film thickness of approximately 19 nm, the diffraction pattern contains mainly only lines from a single crystal. This pattern is observed up to 35 nm, after which the rings begin to appear (Figure 2b). This means that with the help of a highly textured buffer layer used, the Mn5Ge3 growth can only be stabilized up to a thickness of 35 nm, after which the accumulated stresses in the lattice lead to the formation of crystallites of various orientations. According to this scheme, sample #2 was made with a thickness of about 30 nm. The RHEED pattern for this sample is shown in Figure 2c. To reduce the stresses in the Mn5Ge3 film, we added three additional buffer layers. For sample #3, after 3 nm at a rate of VMn = 0.2 nm/min and VGe = 0.33 nm/min, a 25 nm layer followed with a uniform rate increase up to VMn = 0.58 nm/min. Further, VMn was increased to 0.8 nm/min for 10 min, which corresponds approximately to 10 nm. Thereafter, VMn decreased to 0.4 nm/min and remained unchanged for 4 h 16 min (approximately 150 nm), during which the RHEED pattern remained as the streaks (Figure 2d). In this case, we were able to stabilize the epitaxy-like growth to relatively large thicknesses.
In addition to RHEED, AFM measurements were performed. As seen in Figure 2, RHEED and AFM correlate well with each other, which is expected since both methods are surface-sensitive. AFM demonstrates a visual image of the surface, which clearly shows the difference between polycrystalline samples #1 and #2a and highly ordered samples #2 and #3. Furthermore, we can compare quantitative parameters such as root-mean-square roughness (Sq) taken over the entire area of the scanning frame (Sq values are marked in Figure 2e–h). Comparing Sq for samples #2a and #3, it can be seen that, upon stabilization of the growth conditions for #3, Sq decreases by almost a factor of two. For two highly ordered samples #2 and #3, the crystallite shape and general surface morphology are similar. However, the size of crystallites for sample #3 is much larger than for sample #2, and one can even talk of the formation of terraces. For a deeper analysis of the crystal structure and composition of the film and buffer layers, an XRD study was carried out. Figure 3a demonstrates XRD profiles for samples #1, #2 and #3.

Figure 3.
(a) XRD profiles for samples #1, #2, #3. (b) Phi-scan for sample #3. (c) The crystallographic cell of Mn5Ge3 at a different orientation parallel to Si(111)[-110].
Similar XRD patterns are observed for all samples. The diffraction peaks are in good agreement with those for the Mn5Ge3 with P6₃/mcm space group crystal. The lattice parameters presented in Table 1 were determined via Pawley refinement with the help of GSAS-II software []. Silicon diffraction peaks were used for correction of line shift and afterwards excluded from the refinement procedure. Analysis shows that lattice parameters a (7.112(1) Å) and c (5.027(1) Å) are close to the bulk values. It should be noted that the parameters of sample #3 correspond most accurately to the reference lattice parameters. In addition, the intensity of reflection with index (006) at 133.5 degrees on the X-ray pattern increases from sample to sample and reaches a maximum at #3, which indicates good crystalline quality and high texture on the Mn5Ge3(001) plane. Consequently, sample #3 was selected for further detailed studies. Figure 3b shows a phi-scan, in which reflections can be interpreted assuming two predominant azimuthal orientations in the (001) plane of Mn5Ge3 relative to Si(111), as well as a signal from the buffer layer and other differently orientated crystallites of Mn5Ge3, i.e., (100) texture. The formation of a negligible amount of side orientation is explained by a temperature gradient over 40 × 40 mm substrate. This indicates a high texture on the (001) Mn5Ge3 plane and only two crystallite orientations. Figure 3c schematically shows the crystal cells of Mn5Ge3 and marks the two orientation relationships derived from the phi-scan.

Table 1.
Lattice parameters of Mn5Ge3 films along with R-factors obtained by Pawley refinement.
Sample #3, which has the most complex buffer layer composition and the most ordered structure of the Mn5Ge3 film, was further investigated using TEM and electron transmission diffraction (SAED) (Figure 4). In Figure 4a, one can see the columnar structure of the film with relatively large crystallites of 100 nm or more. Figure 4b–e show SAED from film and silicon substrate regions. Pairs of images in Figure 4b–e taken in different directions confirm the presence of two different azimuthal orientations corresponding to the epitaxial relations Mn5Ge3 (001)[1-10]//Si(111)[-110] and Mn5Ge3 (001)[ 010]//Si(111)[-110]. At higher magnification (Figure 4f), we can clearly distinguish the buffer layer, as well as see the atomic planes of Si, the buffer layer and Mn5Ge3 film. The distances between the Mn5Ge3(100) planes increase with the distance from the buffer layer, changing by 3%. Thus, it can be assumed that most (5% of 8%) of the lattice mismatch between Si and Mn5Ge3 film is eliminated by the buffer layer.

Figure 4.
TEM and SAED patterns for sample #3. (a) Cross-sectional TEM image of Mn5Ge3/Si structure. (b–e) Electron diffraction pattern of Mn5Ge3 and Si in different crystallographic directions. (f) High-resolution TEM near the interface Mn5Ge3/Si. Numbers are distances between atomic planes in the arb. units extracted from the image by fast Furrier transform analysis. (g) Structural model of the Mn5Ge3 growth with two buffer layers of different orientations and levels of Si substitution of Ge sites.
Summing up the RHEED, XRD and TEM data, several candidates can be suggested, including Mn3Ge, Mn5Ge2 and Mn11Ge8. Taking into account the possible diffusion of silicon from the substrate, Mn10(SiGe)3 and Mn5Si2Ge may also be considered. Considering that, in the course of deposition, we tried to reduce the manganese content in the buffer layer, we can assume the formation of Mn11Ge8 or Mn5(Si,Ge)3 in the buffer layer.
For a more detailed analysis of the composition of the layers, RBS studies were carried out. Experimental and model RBS spectra are presented in Figure 5a. The sum of simulated individual spectra of Ge, Mn and Si has good agreement with experimental data. The calculated depth profile is shown in Figure 5b. On the surface, we can see some oxidation and carbon contamination. Manganese germanide lies deeper with stoichiometry close to Mn5Ge3 slightly doped by silicon. Then, the content of manganese and germanium decreases, but the content of silicon increases. This is the transition layer that we are trying to implement in the growing process. However, silicon diffusion additionally occurred in the experiment. It is likely that the area marked with a rectangle in Figure 4f corresponds to a composition of approximately Mn5Ge1.5Si1.5. From here, the decrease in the interplanar distance indicated in Figure 4f becomes clear. Silicon, having a smaller ionic radius than germanium, reduces the volume of the crystal cell. The lowest layer contains up to 90% silicon. Thus, we can conclude that the buffer layer takes on almost all of the silicon diffusing from the substrate, preventing its incorporation into the main Mn5Ge3 layer.

Figure 5.
Experimental and model RBS spectra (a) and calculated depth profile (b) of Mn5Ge3/Si sample #3.
Considering all structural data and assuming RBS layer modelling, we can propose a double buffer layer model as shown in Figure 4g. This model suggests that all layers have identical crystal structures with P6₃/mcm symmetry similar to Mn5Ge3, but orientation and level of Si doping are different. Visibly tilted buffer layer (Figure 4f) has Mn5(Si,Ge)3(111)[-110]||Si(111)[11-2] orientation. Because of the high Si concentration for this layer, the c parameter and the interplanar spacing are closer to Mn5Si3 than to Mn5Ge3. Next, the intermediate layer is strained Mn5(Si,Ge)3 with less Si content and Mn5(Si,Ge)3(111)[11-2]||Si(111)[11-2] orientation. The upper film with the biggest volume is relaxed Mn5(Ge)3 with (001)[010] orientation. Nonetheless, additional azimuthal orientation (001)[1-10] revealed from XRD analysis is presented in the macroscopic film. It should be noted that, estimated from the TEM image (Figure 4f), the angle between the crystal planes of Mn5Ge3 and Si do not equal 90 degrees. This indicates an additional tilt of the buffer layer. According to our model (Figure 4g), the buffer layer (100) plane may tend to become parallel to the Si(1-31) plane (blue) for better lattice match. In this case, the whole layer will be slightly tilted, and the subsequent layers too. Similar behavior, in particular, two orientations and a non-90 deg. or 0 deg. angle between the c-axis and main substrate direction were observed for Mn5Ge3 thin films grown on Ge(001) []. Alvídrez-Lechuga et al. [] name such growth regime epitaxial mosaic-like.
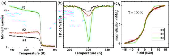
To establish the relationship between some physical properties and the structure of the films, the magnetic properties were characterized. From the VSM data, we found that the Curie temperature (TC) is about 300 K (Figure 6a). For previously synthesized films on Ge substrates, TC is also about 300 K, which is in good agreement with our samples. For stoichiometric bulk, Mn5Ge3 TC should be close to 296 K []. According to [], an excess of Mn can lead to an increase in the transition temperature, while doping with Si leads to a decrease in TC []. We can, therefore, exclude diffusion of Si from the substrate into the film. According to RBS, a slight excess of Mn and Si doping is possible, which compensates for their effect on TC and leaves TC close to the stoichiometric Mn5Ge3. It follows that the buffer layer is a good diffusion barrier. Another reason for the deviation of TC may be stresses in the crystal that affect the magnetic properties. Summing up the diffraction data, we can assume that the main reason for the small increase in TC is the excess of manganese Mn5+xGe3-x rather than stresses in the crystal. Epitaxial ordering also does not affect TC. On Figure 6b, one can see that the extremum of the derivative for all samples corresponds to approximately 300 K. One should note that the width of the ferromagnetic transition is shrinking with consistently increasing the crystal quality of films #1, #2 and #3. Extracted from hysteresis loops (Figure 6c), saturation magnetization MS is around 1050 emu/cm3, which is very close to the bulk quoted value of 1070 emu/cm3 [] and is similar to reported films’ values []. Crystal ordering strongly affects magnetic anisotropy, which can be clearly seen from the sharp kink for #3 on Figure 6c.

Figure 6.
(a) Non-normalized magnetization temperature dependencies. (b) First derivative of magnetization temperature dependencies. (c) Normalized hysteresis loops measured at 100 K for Mn5Ge3 samples #1, #2 and #3.
4. Conclusions
The synthesis of Mn5Ge3 thin films on Si(111) substrates was performed with varying the rate and time of Mn and Ge deposition at the stages of initial growth. Subsequent gradual decrease and increase in the Mn flux and then return to a stoichiometric ratio of 5:3 make it possible to grow a relaxed highly ordered Mn5Ge3 layer with 100% texture on the (001) Mn5Ge3 plane. Most (5% out of 8%) of the lattice mismatch between Si and Mn5Ge3 film is eliminated by the buffer layer. Considering all structural data, we proposed a double buffer layer model suggesting that all layers have an identical crystal structure and symmetry similar to Mn5Ge3, but orientation and level of Si concentration are different. Analysis of XRD and SAED data shows the presence of two different azimuthal orientations corresponding to the epitaxial relations Mn5Ge3 (001)[1-10]//Si(111)[-110] and Mn5Ge3 (001)[010]//Si(111)[-110]. Examination of the magnetic properties has revealed that the Curie temperature, TC is about 300 K, which is close to the bulk value (296 K) and coincides with one of the other reported values for films synthesized on different substrates. Furthermore, the elemental composition of the film probed by RBS allowed us to conclude that the buffer layer takes on almost all the silicon diffusing from the substrate, preventing its incorporation into the main Mn5Ge3 layer, which is in good agreement with the magnetic properties. We believe that full epitaxial growth can be realized by developing a buffer layer approach and careful substrate temperature control. The observed details of the synthesis of highly ordered Mn5Ge3 film can be useful for the growth technology of ferromagnetic epitaxial films on Si(111) substrates and can expand the number of applicable materials in silicon spintronics.
Author Contributions
Conceptualization, A.T.; data curation, I.T., A.T. and A.L.; funding acquisition, S.V. and S.O.; investigation, I.Y., A.L., M.R., L.S., A.S., M.V., D.E., A.G. and A.T.; methodology, I.Y., I.T. and N.V.; project administration, S.V. and S.O.; supervision, N.V.; visualization, I.T., A.L. and I.B.; writing—original draft, I.Y., I.T., A.L. and A.T.; writing—review and editing, I.T. and A.T. All authors have read and agreed to the published version of the manuscript.
Funding
The research was funded by Russian Science Foundation, project No. 21-12-00226. The RBS experiment was conducted in REC «Functional Nanomaterials», Immanuel Kant Baltic Federal University under the financial support from the Ministry of Science and Higher Education of the Russian Federation (project FZWN-2020-0008).
Institutional Review Board Statement
Not applicable.
Informed Consent Statement
Not applicable.
Data Availability Statement
Not applicable.
Acknowledgments
The authors thank the Collective Use Center at the Krasnoyarsk Scientific Center (Siberian Division, Russian Academy of Sciences) for assistance.
Conflicts of Interest
The authors declare no conflict of interest.
References
- Zeng, C.; Erwin, S.C.; Feldman, L.C.; Li, A.P.; Jin, R.; Song, Y.; Thompson, J.R.; Weitering, H.H. Epitaxial ferromagnetic Mn5Ge3 on Ge(111). Appl. Phys. Lett. 2003, 83, 5002–5004. [Google Scholar] [CrossRef]
- Panguluri, R.P.; Zeng, C.; Weitering, H.H.; Sullivan, J.M.; Erwin, S.C.; Nadgorny, B. Spin polarization and electronic structure of ferromagnetic Mn5Ge3 epilayers. Phys. Stat. Sol. (B) 2005, 242, R67–R69. [Google Scholar] [CrossRef]
- Spiesser, A.; Saito, H.; Jansen, R.; Yuasa, S.; Ando, K. Large spin accumulation voltages in epitaxial Mn5Ge3 contacts on Ge without an oxide tunnel barrier. Phys. Rev. B. 2014, 90, 205213. [Google Scholar] [CrossRef]
- Fischer, I.A.; Chang, L.T.; Sürgers, C.; Rolseth, E.; Reiter, S.; Stefanov, S.; Chiussi, S.; Tang, J.; Wang, K.L.; Schulze, J. Hanle-effect measurements of spin injection from Mn5Ge3C0.8/Al2O3-contacts into degenerately doped Ge channels on Si. Appl. Phys. Lett. 2014, 105, 222408. [Google Scholar] [CrossRef]
- Bechler, S.; Kern, M.; Funk, H.S.; Colston, G.; Fischer, I.A.; Weißhaupt, D.; Myronov, M.; van Slageren, J.; Schulze, J. Formation of Mn5Ge3 by thermal annealing of evaporated Mn on doped Ge on Si (111). Semicond. Sci. Technol. 2018, 33, 095008. [Google Scholar] [CrossRef]
- Maraytta, N.; Voigt, J.; Salazar Mejía, C.; Friese, K.; Skourski, Y.; Perßon, J.; Salman, S.M. and Brückel, Anisotropy of the magnetocaloric effect: Example of Mn5Ge3. J. Appl. Phys. 2020, 242, 103903. [Google Scholar] [CrossRef]
- Austin, A.E. Magnetic Properties of Fe5Ge3–Mn5Ge3 Solid Solutions. J. Appl. Phys. 1969, 40, 1381–1382. [Google Scholar] [CrossRef]
- Le Thanh, V.; Spiesser, A.; Dau, M.T.; Olive-Mendez, S.F.; Michez, L.A.; Petit, M. Epitaxial growth and magnetic properties of Mn5Ge3/Ge and Mn5Ge3Cx/Ge heterostructures for spintronic applications. Adv. Nat. Sci. Nanosci. Nanotechnol. 2013, 4, 043002. [Google Scholar] [CrossRef]
- Myagkov, V.; Matsynin, A.; Bykova, L.; Zhigalov, V.; Mikhlin, Y.; Volochayev, M.; Velikanov, D.; Aleksandrovsky, A.; Bondarenko, G. Solid-state synthesis and characterization of ferromagnetic Mn5Ge3 nanoclusters in GeO/Mn thin films. J. Alloys Compd. 2019, 782, 632–640. [Google Scholar] [CrossRef]
- Xie, Y.; Yuan, Y.; Birowska, M.; Zhang, C.; Cao, L.; Wang, M.; Grenzer, J.; Kriegner, D.; Doležal, P.; Zeng, Y.J.; et al. Strain-induced switching between noncollinear and collinear spin configuration in magnetic Mn5Ge3 films. Phys. Rev. B. 2021, 104, 064416. [Google Scholar] [CrossRef]
- Yasasun, B.T.; Önel, A.C.; Aykac, I.G.; Gulgun, M.A.; Arslan, L.C. Effect of Ge layer thickness on the formation of Mn5Ge3 thin film on Ge/Si (1 1 1). J. Magn. Magn. Mater. 2018, 473, 348–354. [Google Scholar] [CrossRef]
- Alvídrez-Lechuga, A.; Antón, R.L.; Gutiérrez-Pérez, R.M.; Fuentes-Montero, M.E.; Espinosa-Magaña, F.; Holguín-Momaca, J.T.; Andrés, J.P.; Olive-Méndez, S.F. Strong magnetization and anisotropy of Mn5Ge3 thin films on Ge (001). J. Phys. Condens. Matter 2021, 33, 225802. [Google Scholar] [CrossRef]
- Olive-Mendez, S.; Spiesser, A.; Michez, L.A.; Le Thanh, V.; Glachant, A.; Derrien, J.; Devillers, T.; Barski, A.; Jamet, M. Epitaxial growth of Mn5Ge3/Ge (111) heterostructures for spin injection. Thin Solid Film. 2008, 517, 191–196. [Google Scholar] [CrossRef]
- Spiesser, A.; Slipukhina, I.; Dau, M.T.; Arras, E.; Le Thanh, V.; Michez, L.; Pochet, P.; Saito, H.; Yuasa, S.; Jamet, M.; et al. Control of magnetic properties of epitaxial Mn5Ge3Cx films induced by carbon doping. Phys. Rev. B. 2011, 84, 165203. [Google Scholar] [CrossRef]
- Spiesser, A.; Virot, F.; Michez, L.A.; Hayn, R.; Bertaina, S.; Favre, L.; Petit, M.; Le Thanh, V. Magnetic anisotropy in epitaxial Mn5Ge3 films. Phys. Rev. B. 2012, 86, 035211. [Google Scholar] [CrossRef]
- Petit, M.; Boussadi, A.; Heresanu, V.; Ranguis, A.; Michez, L. Step flow growth of Mn5Ge3 films on Ge (111) at room temperature. Appl. Surf. Sci. 2019, 480, 529–536. [Google Scholar] [CrossRef]
- Dung, D.D.; Odkhuu, D.; Thanh Vinh, L.; Cheol Hong, S.; Cho, S. Strain-induced modification in the magnetic properties of Mn5Ge3 thin films. J. Appl. Phys. 2013, 114, 073906. [Google Scholar] [CrossRef]
- de Oliveira, R.C.; Demaille, D.; Casaretto, N.; Zheng, Y.; Marangolo, M.; Mosca, D.; Varalda, J. Magnetic and structural properties of Mn5+xGe3+y thin films as a function of substrate orientation. J. Magn. Magn. Mater. 2021, 539, 168325. [Google Scholar] [CrossRef]
- Toby, B.H.; Von Dreele, R.B. GSAS-II: The genesis of a modern open-source all purpose crystallography software package. J. Appl. Crystallogr. 2013, 46, 544–549. [Google Scholar] [CrossRef]
- Alvídrez-Lechuga, A.; Antón, R.L.; Fuentes-Cobas, L.E.; Holguín-Momaca, J.T.; Solís-Canto, O.; Espinosa-Magaña, F.; Olive-Méndez, S.F. Epitaxial mosaic-like Mn5Ge3 thin films on Ge(001) substrates. J. Alloy. Compd. 2018, 762, 363–369. [Google Scholar] [CrossRef]
- Kim, Y.; Kim, E.J.; Choi, K.; Han, W.B.; Kim, H.S.; Yoon, C.S. Magnetocaloric effect of Mn5+xGe3−x alloys. J. Alloy. Compd. 2015, 620, 164–167. [Google Scholar] [CrossRef]
- Liu, X.B.; Altounian, Z. Magnetocaloric effect in Mn5Ge3−xSix pseudobinary compounds. J. Appl. Phys. 2006, 99, 08Q101. [Google Scholar] [CrossRef]
- Kappel, G.; Fischer, G.; Jaegle, A. On the saturation magnetization of Mn5 Ge3. Phys. Lett. A 1973, 45, 267–268. [Google Scholar] [CrossRef]
Publisher’s Note: MDPI stays neutral with regard to jurisdictional claims in published maps and institutional affiliations. |
© 2022 by the authors. Licensee MDPI, Basel, Switzerland. This article is an open access article distributed under the terms and conditions of the Creative Commons Attribution (CC BY) license (https://creativecommons.org/licenses/by/4.0/).