Advanced Nanostructured Materials for Electrocatalysis in Lithium–Sulfur Batteries
Abstract
1. Introduction
2. Heterogeneous Catalysts
2.1. Metal Compounds
2.1.1. Metal Oxide
2.1.2. Metal Nitride
2.1.3. Metal Sulfides
2.1.4. Metal Phosphides
2.2. Heterostructures
2.2.1. Metal-Based Heterostructures
2.2.2. Carbon-Based Heterostructures
2.2.3. MOFs/COFs-Based Heterostructures
2.3. Single Atoms
2.3.1. Saturated Coordination Configuration
2.3.2. Unsaturated Coordination Configuration
3. Effect of Nanostructure on Heterogeneous Electrocatalysts
4. Homogeneous Electrocatalysts
4.1. Homogeneous-Type Electrocatalysts
4.2. Semi-Immobilized-Type Electrocatalysts
5. Effect of Molecular Structure on Homogeneous Electrocatalysts
5.1. Building Fast Electronic Pathway Types
5.2. Change the Electrochemical Reaction Mechanism Types
6. Conclusions and Prospective
- (1)
- Nanostructure innovation: Electrocatalysts with advanced nanostructures can effectively promote the redox of sulfur. To date, it remains a challenge to design novel structured electrocatalysts for effective inhibition of the shuttle of polysulfides. The 1D materials with fast conductivity, 2D materials with a large accessible surface, and 3D materials with a network structure can improve the electrocatalytic performance to a certain extent. Therefore, the construction of electrocatalysts with special nanostructures through advanced synthesis and preparation technologies (such as atomic vapor deposition and molecular beam epitaxy) will help to improve the performance of lithium–sulfur batteries.
- (2)
- Testing method innovation: Generally speaking, the conventional electrochemical research method is to obtain the sum of various microscopic information of the electrochemical system by means of detection with electrical signals as the excitation. In recent years, with the progress and development of nanomaterials, it is difficult for conventional electrochemical testing methods to intuitively and accurately reflect the various reaction processes, species concentrations and morphological changes at the electrode/solution interface, which brings great problems to the correct interpretation and expression of electrochemical reaction mechanism, and also limits the development of electrocatalytic materials for Li-S batteries. Therefore, the development of new testing methods, especially high-resolution electron microscopy equipment and in situ testing equipment, is helpful to understand the key role of nanostructures in electrocatalysis.
- (3)
- Exploration of catalytic mechanism: With the wide application of Li-S battery electrocatalysts, scientists have deeply realized that a series of catalysts with special nanostructures and properties can effectively regulate polysulfides. The surface reactivity, conductivity, adsorption ability of polysulfides, and catalytic conversion ability of polysulfides all affect the actual performance of Li-S batteries. However, the study of various catalytic mechanisms of electrocatalysts is far from thorough, and further exploration and relevant principles of universality are needed.
Author Contributions
Funding
Conflicts of Interest
References
- Chu, S.; Cui, Y.; Liu, N. The path towards sustainable energy. Nat. Mater. 2017, 16, 16–22. [Google Scholar] [CrossRef] [PubMed]
- Bruce, D.; Haresh, K.; Jean, M.T. Electrical energy storage for the grid: A battery of choices. Science 2011, 334, 928–935. [Google Scholar]
- Schmidt, O.; Hawkes, A.; Gambhir, A.; Staffell, I. The future cost of electrical energy storage based on experience rates. Nat. Energy 2017, 2, 17110. [Google Scholar] [CrossRef]
- Alexandra, K.S. The age of Li-ion batteries. Joule 2019, 3, 2583–2584. [Google Scholar] [CrossRef]
- Chou, S.L.; Yu, Y. Next generation batteries: Aim for the future. Adv. Energy Mater. 2017, 7, 1703223. [Google Scholar] [CrossRef]
- Fang, R.P.; Zhao, S.Y.; Sun, Z.H.; Wang, D.W.; Cheng, H.M.; Li, F. More reliable lithium-sulfur batteries: Status, solutions and prospects. Adv. Mater. 2017, 29, 1606823. [Google Scholar] [CrossRef] [PubMed]
- Wild, M.; O’Neill, L.; Zhang, T.; Purkayastha, R.; Minton, G.; Marinescu, M.; Offer, G.J. Lithium sulfur batteries, a mechanistic review. Energy Environ. Sci. 2015, 8, 3477–3494. [Google Scholar] [CrossRef]
- Zhang, M.; Chen, W.; Xue, L.; Jiao, Y.; Lei, T.; Chu, J.; Huang, J.; Gong, C.; Yan, C.; Yan, Y.; et al. Adsorption-catalysis design in the lithium-sulfur battery. Adv. Energy Mater. 2020, 10, 1903008. [Google Scholar] [CrossRef]
- Liu, T.F.; Hu, H.L.; Ding, X.F.; Yuan, H.D.; Jin, C.B.; Nai, J.W.; Liu, Y.J.; Wang, Y.; Wan, Y.H.; Tao, X.Y. 12 years roadmap of the sulfur cathode for lithium sulfur batteries (2009–2020). Energy Storage Mater. 2020, 30, 346–366. [Google Scholar] [CrossRef]
- Kaiser, M.R.; Han, Z.J.; Liang, J.; Dou, S.X.; Wang, J.Z. Lithium sulfide-based cathode for lithium-ion/sulfur battery: Recent progress and challenges. Energy Storage Mater. 2019, 19, 1–15. [Google Scholar] [CrossRef]
- Harks, P.P.R.M.L.; Robledo, C.B.; Verhallen, T.W.; Notten, P.H.L.; Mulder, F.M. The significance of elemental sulfur dissolution in liquid electrolyte lithium sulfur batteries. Adv. Energy Mater. 2017, 7, 1601635. [Google Scholar] [CrossRef]
- Wang, J.L.; He, Y.S.; Yang, J. Sulfur-based composite cathode materials for high-energy rechargeable lithium batteries. Adv. Mater. 2015, 27, 569–575. [Google Scholar] [CrossRef]
- Zhao, X.H.; Wang, C.L.; Li, Z.W.; Hu, X.C.; Razzaq, A.A.; Deng, Z. Sulfurized polyacrylonitrile for high-performance lithium sulfur batteries: Advances and prospects. J. Mater. Chem. A 2021, 9, 19282–19297. [Google Scholar] [CrossRef]
- Yin, L.C.; Wang, J.L.; Lin, F.J.; Yang, J.; Nuli, Y. Polyacrylonitrile/graphene composite as a precursor to a sulfur-based cathode material for high-rate rechargeable Li–S batteries. Energy Environ. Sci. 2012, 5, 6966–6972. [Google Scholar] [CrossRef]
- Wang, X.; Qian, Y.; Wang, L.; Yang, H.; Li, H.; Zhao, Y.; Liu, T. Sulfurized polyacrylonitrile cathodes with high compatibility in both ether and carbonate electrolytes for ultrastable lithium–sulfur batteries. Adv. Funct. Mater. 2019, 29, 1902929. [Google Scholar] [CrossRef]
- He, B.; Rao, Z.; Cheng, Z.; Liu, D.; He, D.; Chen, J.; Miao, Z.; Yuan, L.; Li, Z.; Huang, Y. Rationally design a sulfur cathode with solid-phase conversion mechanism for high cycle-stable Li–S batteries. Adv. Energy Mater. 2021, 11, 2003690. [Google Scholar] [CrossRef]
- Zhang, X.; Xie, H.; Kim, C.S.; Zaghib, K.; Mauger, A.; Julien, C.M. Advances in lithium—Sulfur batteries. Mater. Sci. Eng. R Rep. 2017, 121, 1–29. [Google Scholar] [CrossRef]
- Tang, T.; Hou, Y. Chemical confinement and utility of lithium polysulfides in lithium sulfur batteries. Small Methods 2019, 4, 1900001. [Google Scholar] [CrossRef]
- Guo, J.L.; Pei, H.Y.; Dou, Y.; Zhao, S.Y.; Shao, G.S.; Liu, J.P. Rational designs for lithium-sulfur batteries with low electrolyte/sulfur ratio. Adv. Funct. Mater. 2021, 31, 2010499. [Google Scholar] [CrossRef]
- Xu, Z.L.; Kim, J.K.; Kang, K. Carbon nanomaterials for advanced lithium sulfur batteries. Nano Today 2018, 19, 84–107. [Google Scholar] [CrossRef]
- Fan, L.L.; Deng, N.P.; Yan, J.; Li, Z.H.; Kang, W.M.; Cheng, B.W. The recent research status quo and the prospect of electrolytes for lithium sulfur batteries. Chem. Eng. J. 2019, 369, 874–897. [Google Scholar] [CrossRef]
- Chung, S.H.; Manthiram, A. Current status and future prospects of metal–sulfur batteries. Adv. Mater. 2019, 31, 1901125. [Google Scholar] [CrossRef] [PubMed]
- Huang, L.; Li, J.; Liu, B.; Li, Y.H.; Shen, S.H.; Deng, S.J.; Lu, C.W.; Zhang, W.K.; Xia, Y.; Pan, G.X.; et al. Electrode design for lithium–sulfur batteries: Problems and solutions. Adv. Funct. Mater. 2020, 30, 1910375. [Google Scholar] [CrossRef]
- Zhang, S.S. Liquid electrolyte lithium/sulfur battery: Fundamental chemistry, problems, and solutions. J. Power Sources 2013, 231, 153–162. [Google Scholar] [CrossRef]
- Li, F.; Liu, Q.H.; Hu, J.W.; Feng, Y.Z.; He, P.B.; Ma, J.M. Recent advances in cathode materials for rechargeable lithium–sulfur batteries. Nanoscale 2019, 11, 15418–15439. [Google Scholar] [CrossRef] [PubMed]
- Fan, X.J.; Sun, W.W.; Meng, F.C.; Xing, A.M.; Liu, J.H. Advanced chemical strategies for lithium–sulfur batteries: A review. Green Energy Environ. 2018, 3, 2–19. [Google Scholar] [CrossRef]
- Hu, A.; Zhou, M.; Lei, T.; Hu, Y.; Du, X.; Gong, C.; Shu, C.; Long, J.; Zhu, J.; Chen, W.; et al. Optimizing redox reactions in aprotic lithium–sulfur batteries. Adv. Energy Mater. 2020, 10, 2002180. [Google Scholar] [CrossRef]
- Miao, Z.Y.; Li, Y.P.; Xiao, X.P.; Sun, Q.Z.; He, B.; Chen, X.; Liao, Y.Q.; Zhang, Y.; Yuan, L.X.; Yan, Z.J.; et al. Direct optical fiber monitor on stress evolution of the sulfur-based cathodes for lithium–sulfur batteries. Energy Environ. Sci. 2022, 15, 2029–2038. [Google Scholar] [CrossRef]
- Zhang, S.S. Understanding of sulfurized polyacrylonitrile for superior performance lithium/sulfur battery. Energies 2014, 7, 4588–4600. [Google Scholar] [CrossRef]
- Seh, Z.W.; Sun, Y.M.; Zhang, Q.F.; Cui, Y. Designing high-energy lithium–sulfur batteries. Chem. Soc. Rev. 2016, 45, 5605–5634. [Google Scholar] [CrossRef]
- Zhou, L.; Danilov, D.L.; Qiao, F.; Wang, J.; Li, H.; Eichel, R.; Notten, P.H.L. Sulfur reduction reaction in lithium–sulfur batteries: Mechanisms, catalysts, and characterization. Adv. Energy Mater. 2022, 12, 2202094. [Google Scholar] [CrossRef]
- Li, G.R.; Wang, S.; Zhang, Y.N.; Li, M.; Chen, Z.W.; Lu, J. Revisiting the role of polysulfides in lithium–sulfur batteries. Adv. Mater. 2018, 30, 1705590. [Google Scholar] [CrossRef] [PubMed]
- Li, T.; Bai, X.; Gulzar, U.; Bai, Y.J.; Capiglia, C.; Deng, W.; Zhou, X.F.; Liu, Z.P.; Feng, Z.F.; Zaccaria, R.P. A comprehensive understanding of lithium–sulfur battery technology. Adv. Funct. Mater. 2019, 29, 1901730. [Google Scholar] [CrossRef]
- Borchardt, L.; Oschatz, M.; Kaskel, S. Carbon materials for lithium sulfur batteries—Ten critical questions. Chem. Eur. J. 2016, 22, 7324. [Google Scholar] [CrossRef]
- Chung, S.H.; Chang, C.H.; Manthiram, A. Progress on the critical parameters for lithium–sulfur batteries to be practically viable. Adv. Funct. Mater. 2018, 28, 1801188. [Google Scholar] [CrossRef]
- Shen, X.; Liu, H.; Cheng, X.B.; Yan, C.; Huang, J.Q. Beyond lithium ion batteries: Higher energy density battery systems based on lithium metal anodes. Energy Storage Mater. 2018, 12, 161–175. [Google Scholar] [CrossRef]
- Wei, Z.H.; Ren, Y.Q.; Sokolowski, J.; Zhu, X.D.; Wu, G. Mechanistic understanding of the role separators playing in advanced lithium-sulfur batteries. InfoMat 2020, 2, 483–508. [Google Scholar] [CrossRef]
- Chen, Y.; Wang, T.; Tian, H.; Su, D.; Zhang, Q.; Wang, G. Advances in lithium–sulfur batteries: From academic research to commercial viability. Adv. Mater. 2021, 33, 2003666. [Google Scholar] [CrossRef] [PubMed]
- Zhang, L.L.; Wang, Y.J.; Niu, Z.Q.; Chen, J. Advanced nanostructured carbon-based materials for rechargeable lithium-sulfur batteries. Carbon 2019, 141, 400–416. [Google Scholar] [CrossRef]
- Liu, X.; Huang, J.Q.; Zhang, Q.; Mai, L.Q. Nanostructured metal oxides and sulfides for lithium–sulfur batteries. Adv. Mater. 2017, 29, 1601759. [Google Scholar] [CrossRef]
- Huang, S.Z.; Wang, Z.H.; Lim, Y.V.; Wang, Y.; Li, Y.; Zhang, D.H.; Yang, H.Y. Recent advances in heterostructure engineering for lithium–sulfur batteries. Adv. Energy Mater. 2021, 11, 2003689. [Google Scholar] [CrossRef]
- Li, S.Q.; Fan, Z.Y. Encapsulation methods of sulfur particles for lithium-sulfur batteries: A review. Energy Storage Mater. 2021, 34, 107–127. [Google Scholar] [CrossRef]
- Versaci, D.; Cozzarin, M.; Amici, J.; Francia, C.; Leiva, E.P.M.; Visintin, A.; Bodoardo, S. Influence of synthesis parameters on g-C3N4 polysulfides trapping: A systematic study. Appl. Mater. Today 2021, 25, 101169. [Google Scholar] [CrossRef]
- Versaci, D.; Canale, I.; Goswami, S.; Amici, J.; Francia, C.; Fortunato, E.; Martins, R.; Pereira, L.; Bodoardo, S. Molybdenum disulfide/polyaniline interlayer for lithium polysulphide trapping in lithium-sulphur batteries. J. Power Sources 2022, 521, 230945. [Google Scholar] [CrossRef]
- Chen, W.; Lei, T.Y.; Wu, C.Y.; Deng, M.; Gong, C.H.; Hu, K.; Ma, Y.C.; Dai, L.P.; Lv, W.Q.; He, W.D.; et al. Designing safe electrolyte systems for a high-stability lithium–sulfur battery. Adv. Energy Mater. 2018, 8, 1702348. [Google Scholar] [CrossRef]
- Umeshbabu, E.; Zheng, B.Z.; Yang, Y. Recent progress in all-solid-state lithium−sulfur batteries using high Li-ion conductive solid electrolytes. Electrochem. Energy Rev. 2019, 2, 199–230. [Google Scholar] [CrossRef]
- Zhao, H.J.; Deng, N.P.; Yan, J.; Kang, W.M.; Ju, J.G.; Ruan, Y.L.; Wang, X.Q.; Zhuang, X.P.; Li, Q.X.; Cheng, B.W. A review on anode for lithium-sulfur batteries: Progress and prospects. Chem. Eng. J. 2018, 347, 343–365. [Google Scholar] [CrossRef]
- Bonnick, P.; Muldoon, J. The Dr Jekyll and Mr Hyde of lithium sulfur batteries. Energy Environ. Sci. 2020, 13, 4808–4833. [Google Scholar] [CrossRef]
- Lim, W.G.; Kim, S.; Jo, C.; Lee, J. A comprehensive review of materials with catalytic effects in Li–S batteries: Enhanced redox kinetics. Angew. Chem. Int. Ed. 2019, 58, 18746. [Google Scholar] [CrossRef]
- Shi, Z.X.; Li, M.; Sun, J.Y.; Chen, Z.W. Defect engineering for expediting Li–S chemistry: Strategies, mechanisms, and perspectives. Adv. Energy Mater. 2021, 11, 2100332. [Google Scholar] [CrossRef]
- Hickman, A.J.; Sanford, M.S. High-valent organometallic copper and palladium in catalysis. Nature 2012, 484, 177–185. [Google Scholar] [CrossRef]
- Lutz, M.D.R.; Morandi, B. Metal-catalyzed carbon-carbon bond cleavage of unstrained alcohols. Chem. Rev. 2021, 121, 300–326. [Google Scholar] [CrossRef] [PubMed]
- Beniya, A.; Higashi, S. Towards dense single-atom catalysts for future automotive applications. Nat. Catal. 2019, 2, 590–602. [Google Scholar] [CrossRef]
- Borghei, M.; Lehtonen, J.; Liu, L.; Rojas, O.J. Advanced biomass-derived electrocatalysts for the oxygen reduction reaction. Adv. Mater. 2018, 30, 1703691. [Google Scholar] [CrossRef]
- Wang, S.; Lu, A.L.; Zhong, C.J. Hydrogen production from water electrolysis: Role of catalysts. Nano Converg. 2021, 8, 4. [Google Scholar] [CrossRef] [PubMed]
- Liu, D.H.; Zhang, C.; Zhou, G.M.; Lv, W.; Ling, G.W.; Zhi, L.J.; Yang, Q.H. Catalytic effects in lithium–sulfur batteries: Promoted sulfur transformation and reduced shuttle effect. Adv. Sci. 2018, 5, 1700270. [Google Scholar] [CrossRef]
- Al Salem, H.; Babu, G.; Rao, C.V.; Arava, L.M.R. Electrocatalytic polysulfide traps for controlling redox shuttle process of Li-S batteries. J. Am. Chem. Soc. 2015, 137, 11542–11545. [Google Scholar] [CrossRef]
- Ng, S.F.; Lau, M.Y.L.; Ong, W.J. Lithium–sulfur battery cathode design: Tailoring metal-based nanostructures for robust polysulfide adsorption and catalytic conversion. Adv. Mater. 2021, 33, 2008654. [Google Scholar] [CrossRef] [PubMed]
- Zhao, M.; Peng, H.J.; Li, B.Q.; Chen, X.; Xie, J.; Liu, X.Y.; Zhang, Q.; Huang, J.Q. Electrochemical phase evolution of metal-based pre-catalysts for high-rate polysulfide conversion. Angew. Chem. Int. Ed. 2020, 59, 9011. [Google Scholar] [CrossRef] [PubMed]
- Xu, J.; Zhang, W.X.; Fan, H.B.; Cheng, F.L.; Su, D.W.; Wang, G.X. Promoting lithium polysulfide/sulfide redox kinetics by the catalyzing of zinc sulfide for high performance lithium-sulfur battery. Nano Energy 2018, 51, 73–82. [Google Scholar] [CrossRef]
- Li, Y.; Zhang, J.W.; Chen, Q.G.; Xia, X.H.; Chen, M.H. Emerging of heterostructure materials in energy storage: A review. Adv. Mater. 2021, 33, 2100855. [Google Scholar] [CrossRef]
- Zhou, G.M.; Zhao, S.Y.; Wang, T.S.; Yang, S.Z.; Johannessen, B.; Chen, H.; Liu, C.W.; Ye, Y.S.; Wu, Y.C.; Peng, Y.C.; et al. Theoretical calculation guided design of single-atom catalysts toward fast kinetic and long-life Li-S batteries. Nano Lett. 2020, 20, 1252–1261. [Google Scholar] [CrossRef]
- Lu, C.; Fang, R.Y.; Chen, X. Single-atom catalytic materials for advanced battery systems. Adv. Mater. 2020, 32, 1906548. [Google Scholar] [CrossRef]
- Xiao, R.; Chen, K.; Zhang, X.Y.; Yang, Z.Z.; Hu, G.J.; Sun, Z.H.; Cheng, H.M.; Li, F. Single-atom catalysts for metal-sulfur batteries: Current progress and future perspectives. J. Energy Chem. 2021, 54, 452–466. [Google Scholar] [CrossRef]
- Wang, Y.C.; Chu, F.L.; Zeng, J.; Wang, Q.J.; Naren, T.; Li, Y.Y.; Cheng, Y.; Lei, Y.P.; Wu, F.X. Single atom catalysts for fuel cells and rechargeable batteries: Principles, advances, and opportunities. ACS Nano 2021, 15, 210–239. [Google Scholar] [CrossRef]
- Luo, C.; Liang, X.; Sun, Y.F.; Lv, W.; Sun, Y.W.; Lu, Z.Y.; Hua, W.X.; Yang, H.T.; Wang, R.C.; Yan, C.L.; et al. An organic nickel salt-based electrolyte additive boosts homogeneous catalysis for lithium-sulfur batteries. Energy Storage Mater. 2020, 33, 290–297. [Google Scholar] [CrossRef]
- He, J.R.; Manthiram, A. A review on the status and challenges of electrocatalysts in lithium-sulfur batteries. Energy Storage Mater. 2019, 20, 55–70. [Google Scholar] [CrossRef]
- Wei, B.; Shang, C.; Pan, X.; Chen, Z.; Shui, L.; Wang, X.; Zhou, G. Lotus root-like nitrogen-doped carbon nanofiber structure assembled with VN catalysts as a multifunctional host for superior lithium–sulfur batteries. Nanomaterials 2019, 9, 1724. [Google Scholar] [CrossRef]
- Wang, P.; Xi, B.J.; Huang, M.; Chen, W.H.; Feng, J.K.; Xiong, S.L. Emerging catalysts to promote kinetics of lithium–sulfur batteries. Adv. Energy Mater. 2021, 11, 2002893. [Google Scholar] [CrossRef]
- Zhang, Z.W.; Peng, H.J.; Zhao, M.; Huang, J.Q. Heterogeneous/homogeneous mediators for high-energy-density lithium–sulfur batteries: Progress and prospects. Adv. Funct. Mater. 2018, 28, 1707536. [Google Scholar] [CrossRef]
- Teixeira, M.F.S.; Olean-Oliveira, A.; Anastácio, F.C.; David-Parra, D.N.; Cardoso, C.X. Electrocatalytic reduction of CO2 in water by a palladium-containing metallopolymer. Nanomaterials 2022, 12, 1193. [Google Scholar] [CrossRef]
- Wang, X.Q.; Li, Z.J.; Qu, Y.T.; Yuan, T.W.; Wang, W.Y.; Wu, Y.; Li, Y.D. Review of metal catalysts for oxygen reduction reaction: From nanoscale engineering to atomic design. Chem 2019, 5, 1486–1511. [Google Scholar] [CrossRef]
- Peng, Y.; Liao, Y.; Ye, D.; Meng, Z.; Wang, R.; Zhao, S.; Tian, T.; Tang, H. Recent advances regarding precious metal-based electrocatalysts for acidic water splitting. Nanomaterials 2022, 12, 2618. [Google Scholar] [CrossRef]
- Fan, C.Y.; Xiao, P.; Li, H.G.; Wang, H.F.; Zhang, L.L.; Sun, H.Z.; Wu, X.L.; Xie, H.M.; Zhang, J.P. Nanoscale polysulfides reactors achieved by chemical Au–S interaction: Improving the performance of Li–S batteries on the electrode level. ACS Appl. Mater. Interfaces 2015, 7, 27959–27967. [Google Scholar] [CrossRef]
- Mei, J.; Liao, T.; Kou, L.Z.; Sun, Z.Q. Two-dimensional metal oxide nanomaterials for next-generation rechargeable batteries. Adv. Mater. 2017, 29, 1700176. [Google Scholar] [CrossRef]
- Liu, Y.T.; Liu, S.; Li, G.R.; Yan, T.Y.; Gao, X.P. High volumetric energy density sulfur cathode with heavy and catalytic metal oxide host for lithium–sulfur battery. Adv. Sci. 2020, 7, 1903693. [Google Scholar] [CrossRef]
- Zheng, C.; Niu, S.Z.; Lv, W.; Zhou, G.M.; Li, J.; Fan, S.X.; Deng, Y.Q.; Pan, Z.Z.; Li, B.H.; Kang, F.Y.; et al. Propelling polysulfides transformation for high-rate and long-life lithium–sulfur batteries. Nano Energy 2017, 33, 306–312. [Google Scholar] [CrossRef]
- Pang, Q.; Kundu, D.; Cuisinier, M.; Nazar, L.F. Surface-enhanced redox chemistry of polysulphides on a metallic and polar host for lithium-sulphur batteries. Nat. Commun. 2014, 5, 4759. [Google Scholar] [CrossRef]
- Han, H.; Wang, T.; Zhang, Y.; Nurpeissova, A.; Bakenov, Z. Three-dimensionally ordered macroporous ZnO framework as dual-functional sulfur host for high-efficiency lithium–sulfur batteries. Nanomaterials 2020, 10, 2267. [Google Scholar] [CrossRef]
- Zhang, Z.; Yi, Z.; Liu, L.; Yang, J.; Zhang, C.; Pan, X.; Chi, F. 3D hollow rGO microsphere decorated with ZnO nanoparticles as efficient sulfur host for high-performance Li-S battery. Nanomaterials 2020, 10, 1633. [Google Scholar] [CrossRef]
- Dong, C.W.; Gao, W.; Jin, B.; Jiang, Q. Advances in cathode materials for high-performance lithium-sulfur batteries. iScience 2018, 6, 151–198. [Google Scholar] [CrossRef]
- He, B.W.; Wang, Z.Y.; Li, G.R.; Liu, S.; Gao, X.P. Perovskite transition metal oxide of nanofibers as catalytic hosts for lithium–sulfur battery. J. Alloys Compd. 2022, 918, 165660. [Google Scholar] [CrossRef]
- Zhang, Y.P.; Gu, R.; Zheng, S.; Liao, K.X.; Shi, P.H.; Fan, J.C.; Xu, Q.J.; Min, Y.L. Long-life Li–S batteries based on enabling the immobilization and catalytic conversion of polysulfides. J. Mater. Chem. A 2019, 7, 21747–21758. [Google Scholar] [CrossRef]
- Su, Z.; Chen, M.Q.; Pan, Y.K.; Liu, Y.J.; Xu, H.; Zhang, Y.Y.; Long, D.H. Expediting polysulfide catalytic conversion for lithium–sulfur batteries via in situ implanted ultrafine Fe3O4 nanocrystals in carbon nanospheres. J. Mater. Chem. A 2020, 8, 24117–24127. [Google Scholar] [CrossRef]
- Ni, L.B.; Wu, Z.; Zhao, G.J.; Sun, C.Y.; Zhou, C.Q.; Gong, X.X.; Diao, G.W. Core–shell structure and interaction mechanism of γ-MnO2 coated sulfur for improved lithium-sulfur batteries. Small 2017, 13, 1603466. [Google Scholar] [CrossRef]
- Liang, X.; Hart, C.; Pang, Q.; Garsuch, A.; Weiss, T.; Nazar, L.F. A highly efficient polysulfide mediator for lithium–sulfur batteries. Nat. Commun. 2015, 6, 5682. [Google Scholar] [CrossRef]
- Guo, X.; Bi, X.; Zhao, J.; Yu, X.; Dai, H. Tunnel structure enhanced polysulfide conversion for inhibiting “shuttle effect” in lithium-sulfur battery. Nanomaterials 2022, 12, 2752. [Google Scholar] [CrossRef]
- Zukalová, M.; Vinarčíková, M.; Bouša, M.; Kavan, L. Nanocrystalline TiO2/carbon/sulfur composite cathodes for lithium–sulfur battery. Nanomaterials 2021, 11, 541. [Google Scholar] [CrossRef]
- Yang, J.B.; Xu, L.Y.; Li, S.Z.; Peng, C. The role of titanium-deficient anatase TiO2 interlayers in boosting lithium–sulfur battery performance: Polysulfide trapping, catalysis and enhanced lithium ion transport. Nanoscale 2020, 12, 4645–4654. [Google Scholar] [CrossRef]
- Zhang, H.; Yang, L.; Zhang, P.G.; Lu, C.J.; Sha, D.W.; Yan, B.Z.; He, W.; Zhou, M.; Zhang, W.; Pan, L.; et al. MXene-derived TinO2n−1 quantum dots distributed on porous carbon nanosheets for stable and long-life Li–S batteries: Enhanced polysulfide mediation via defect engineering. Adv. Mater. 2021, 33, 2008447. [Google Scholar] [CrossRef]
- Xia, J.; Gao, R.H.; Yang, Y.; Tao, Z.; Han, Z.Y.; Zhang, S.C.; Xing, Y.L.; Yang, P.H.; Lu, X.; Zhou, G.M. TinO2n–1/MXene hierarchical bifunctional catalyst anchored on graphene aerogel toward flexible and high-energy Li–S batteries. ACS Nano 2022, 16, 19133–19144. [Google Scholar] [CrossRef] [PubMed]
- Sun, F.G.; Wang, J.T.; Long, D.H.; Qiao, W.M.; Ling, L.C.; Lv, C.X.; Cai, R. A high-rate lithium–sulfur battery assisted by nitrogen-enriched mesoporous carbons decorated with ultrafine La2O3 nanoparticles. J. Mater. Chem. A 2013, 1, 13283–13289. [Google Scholar] [CrossRef]
- Lin, H.B.; Zhang, S.L.; Zhang, T.R.; Ye, H.L.; Yao, Q.F.; Zheng, G.W.; Lee, J.Y. Elucidating the catalytic activity of oxygen deficiency in the polysulfide conversion reactions of lithium–sulfur batteries. Adv. Energy Mater. 2018, 8, 1801868. [Google Scholar] [CrossRef]
- Ma, L.B.; Chen, R.P.; Zhu, G.Y.; Hu, Y.; Wang, Y.R.; Chen, T.; Liu, J.; Jin, Z. Cerium oxide nanocrystal embedded bimodal micromesoporous nitrogen-rich carbon nanospheres as effective sulfur host for lithium–sulfur batteries. ACS Nano 2017, 11, 7274–7283. [Google Scholar] [CrossRef]
- Zhang, Z.; Wu, G.; Ji, H.; Chen, D.; Xia, D.; Gao, K.; Xu, J.; Mao, B.; Yi, S.; Zhang, L.; et al. 2D/1D V2O5 nanoplates anchored carbon nanofibers as efficient separator interlayer for highly stable lithium–sulfur battery. Nanomaterials 2020, 10, 705. [Google Scholar] [CrossRef]
- Zhou, Y.; Zhou, C.G.; Li, Q.Y.; Yan, C.J.; Han, B.; Xia, K.S.; Gao, Q.; Wu, J.P. Enabling prominent high-rate and cycle performances in one lithium–sulfur battery: Designing permselective gateways for Li+ transportation in holey-CNT/S cathodes. Adv. Mater. 2015, 27, 3774–3781. [Google Scholar] [CrossRef]
- Chen, Z.J.; Lv, W.; Kang, F.Y.; Li, J. Theoretical investigation of the electrochemical performance of transition metal nitrides for lithium–sulfur batteries. J. Phys. Chem. C 2019, 123, 25025. [Google Scholar] [CrossRef]
- Zhong, Y.; Xia, X.H.; Shi, F.; Zhan, J.Y.; Tu, J.P.; Fan, H.J. Transition metal carbides and nitrides in energy storage and conversion. Adv. Sci. 2016, 3, 1500286. [Google Scholar] [CrossRef]
- Wang, H.; Li, J.M.; Li, K.; Lin, Y.P.; Chen, J.M.; Gao, L.J.; Nicolosi, V.; Xiao, X.; Lee, J.M. Transition metal nitrides for electrochemical energy applications. Chem. Soc. Rev. 2021, 50, 1354–1390. [Google Scholar] [CrossRef]
- Sun, Z.H.; Zhang, J.Q.; Yin, L.C.; Hu, G.J.; Fang, R.P.; Cheng, H.M.; Li, F. Conductive porous vanadium nitride/graphene composite as chemical anchor of polysulfides for lithium-sulfur batteries. Nat. Commun. 2017, 8, 14627. [Google Scholar] [CrossRef]
- Cui, Z.M.; Zu, C.X.; Zhou, W.D.; Manthiram, A.; Goodenough, J.B. Mesoporous titanium nitride-enabled highly stable lithium-sulfur batteries. Adv. Mater. 2016, 28, 6926–6931. [Google Scholar] [CrossRef] [PubMed]
- Liu, H.H.; Shen, H.J.; Li, R.R.; Liu, S.Q.; Turak, A.; Yang, M.H. Tungsten-nitride-coated carbon nanospheres as a sulfur host for high-performance lithium-sulfur batteries. ChemElectroChem 2019, 6, 2074. [Google Scholar] [CrossRef]
- Zubair, U.; Bianco, S.; Amici, J.; Francia, C.; Bodoardo, S. Probing the interaction mechanism of heterostructured VOxNy nanoparticles supported in nitrogen-doped reduced graphene oxide aerogel as an efficient polysulfide electrocatalyst for stable sulfur cathodes. J. Power Sources 2020, 461, 228144. [Google Scholar] [CrossRef]
- Wang, C.; Lu, J.H.; Wang, Z.L.; Wang, A.B.; Zhang, H.; Wang, W.K.; Jin, Z.Q.; Fan, L.Z. Synergistic adsorption-catalytic sites TiN/Ta2O5 with multidimensional carbon structure to enable high-performance Li-S batteries. Nanomaterials 2021, 11, 2882. [Google Scholar] [CrossRef]
- Bonaccorso, F.; Colombo, L.; Yu, G.H.; Stoller, M.; Tozzini, V.; Ferrari, A.C.; Ruoff, R.S.; Pellegrini, V. Graphene, related two-dimensional crystals, and hybrid systems for energy conversion and storage. Science 2015, 347, 1246501. [Google Scholar] [CrossRef]
- Ma, Z.L.; Li, Z.; Hu, K.; Liu, D.D.; Huo, J.; Wang, S.Y. The enhancement of polysulfide absorbsion in LiS batteries by hierarchically porous CoS2/carbon paper interlayer. J. Power Sources 2016, 325, 71–78. [Google Scholar] [CrossRef]
- Zhang, S.S.; Tran, D.T. Pyrite FeS2 as an efficient adsorbent of lithium polysulphide for improved lithium–sulphur batteries. J. Mater. Chem. A 2016, 4, 4371–4374. [Google Scholar] [CrossRef]
- Chandrasekaran, S.; Yao, L.; Deng, L.B.; Bowen, C.; Zhang, Y.; Chen, S.M.; Lin, Z.Q.; Peng, F.; Zhang, P.X. Recent advances in metal sulfides: From controlled fabrication to electrocatalytic, photocatalytic and photoelectrochemical water splitting and beyond. Chem. Soc. Rev. 2019, 48, 4178–4280. [Google Scholar] [CrossRef]
- Pang, Q.; Kundu, D.; Nazar, L.F. A graphene-like metallic cathode host for long-life and high-loading lithium–sulfur batteries. Mater. Horiz. 2016, 3, 130–136. [Google Scholar] [CrossRef]
- Lu, K.; Liu, Y.Z.; Chen, J.Z.; Zhang, Z.C.; Cheng, Y.W. Redox catalytic and quasi-solid sulfur conversion for high-capacity lean lithium sulfur batteries. ACS Nano 2019, 13, 14540–14548. [Google Scholar] [CrossRef]
- Lin, H.B.; Yang, L.Q.; Jiang, X.; Li, G.C.; Zhang, T.R.; Yao, Q.F.; Zheng, G.Y.W.; Lee, J.Y. Electrocatalysis of polysulfide conversion by sulfur-deficient MoS2 nanoflakes for lithium–sulfur batteries. Energy Environ. Sci. 2017, 10, 1476–1486. [Google Scholar] [CrossRef]
- Wang, H.E.; Li, X.C.; Qin, N.; Zhao, X.; Cheng, H.; Cao, G.Z.; Zhang, W.J. Sulfur-deficient MoS2 grown inside hollow mesoporous carbon as a functional polysulfide mediator. J. Mater. Chem. A 2019, 7, 12068–12074. [Google Scholar] [CrossRef]
- Wang, H.T.; Zhang, Q.F.; Yao, H.B.; Liang, Z.; Lee, H.W.; Hsu, P.C.; Zheng, G.Y.; Cui, Y. High electrochemical selectivity of edge versus terrace sites in two-dimensional layered MoS2 materials. Nano Lett. 2014, 14, 7138–7144. [Google Scholar] [CrossRef] [PubMed]
- Yuan, Z.; Peng, H.J.; Hou, T.Z.; Huang, J.Q.; Chen, C.M.; Wang, D.W.; Cheng, X.B.; Wei, F.; Zhang, Q. Powering lithium–sulfur battery performance by propelling polysulfide redox at sulfiphilic hosts. Nano Lett. 2016, 16, 519–527. [Google Scholar] [CrossRef] [PubMed]
- Sun, W.W.; Liu, S.K.; Li, Y.J.; Wang, D.Q.; Guo, Q.P.; Hong, X.B.; Xie, K.; Ma, Z.Y.; Zheng, C.M.; Xiong, S.Z. Monodispersed FeS2 electrocatalyst anchored to nitrogen-doped carbon host for lithium–sulfur batteries. Adv. Funct. Mater. 2022, 32, 2205471. [Google Scholar] [CrossRef]
- Zhou, G.M.; Tian, H.Z.; Jin, Y.; Tao, X.Y.; Liu, B.F.; Zhang, R.F.; She, Z.W.; Zhuo, D.; Liu, Y.Y.; Sun, J.; et al. Catalytic oxidation of Li2S on the surface of metal sulfides for Li−S batteries. Proc. Natl. Acad. Sci. USA 2017, 114, 840–845. [Google Scholar]
- Sun, M.; Liu, H.J.; Qu, J.H.; Li, J.H. Earth-rich transition metal phosphide for energy conversion and storage. Adv. Energy Mater. 2016, 6, 1600087. [Google Scholar] [CrossRef]
- Peng, L.S.; Shah, S.S.A.; Wei, Z.D. Recent developments in metal phosphide and sulfide electrocatalysts for oxygen evolution reaction. Chin. J. Catal. 2018, 39, 1575. [Google Scholar] [CrossRef]
- Zhong, Y.R.; Yin, L.C.; He, P.; Liu, W.; Wu, Z.S.; Wang, H.L. Surface chemistry in cobalt phosphide-stabilized lithium–sulfur batteries. J. Am. Chem. Soc. 2018, 140, 1455–1459. [Google Scholar] [CrossRef]
- Shen, J.D.; Xu, X.J.; Liu, J.; Liu, Z.B.; Li, F.K.; Hu, R.Z.; Liu, J.W.; Hou, X.H.; Feng, Y.Z.; Yu, Y.; et al. Mechanistic understanding of metal phosphide host for sulfur cathode in high-energy-density lithium–sulfur batteries. ACS Nano 2019, 13, 8986–8996. [Google Scholar] [CrossRef]
- Yuan, H.D.; Chen, X.L.; Zhou, G.M.; Zhang, W.K.; Luo, J.M.; Huang, H.; Gan, Y.P.; Liang, C.; Xia, Y.; Zhang, J.; et al. Efficient activation of Li2S by transition metal phosphides nanoparticles for highly stable lithium–sulfur batteries. ACS Energy Lett. 2017, 2, 1711–1719. [Google Scholar] [CrossRef]
- Benítez, A.; Amaro-Gahete, J.; Esquivel, D.; Romero-Salguero, F.J.; Morales, J.; Caballero, Á. MIL-88A metal-organic framework as a stable sulfur-host cathode for long-cycle Li-S batteries. Nanomaterials 2020, 10, 424. [Google Scholar] [CrossRef] [PubMed]
- Niu, S.; Hu, C.; Liu, Y.; Zhao, Y.; Yin, F. Nanoporous Co and N-codoped carbon composite derived from ZIF-67 for high-performance lithium-sulfur batteries. Nanomaterials 2021, 11, 1910. [Google Scholar] [CrossRef] [PubMed]
- Chen, H.; Wang, J.; Zhao, Y.; Zeng, Q.; Zhou, G.; Jin, M. Three-dimensionally ordered macro/mesoporous Nb2O5/Nb4N5 heterostructure as sulfur host for high-performance lithium/sulfur batteries. Nanomaterials 2021, 11, 1531. [Google Scholar] [CrossRef] [PubMed]
- Ye, C.; Jiao, Y.; Jin, H.Y.; Slattery, A.D.; Davey, K.; Wang, H.H.; Qiao, S.Z. 2D MoN-VN heterostructure to regulate polysulfides for highly efficient lithium-sulfur batteries. Angew. Chem. Int. Ed. 2018, 57, 16703. [Google Scholar] [CrossRef]
- Wang, S.Z.; Feng, S.P.; Liang, J.W.; Su, Q.M.; Zhao, F.P.; Song, H.J.; Zheng, M.; Sun, Q.; Song, Z.X.; Jia, X.H.; et al. Insight into MoS2–MoN heterostructure to accelerate polysulfide conversion toward high-energy-density lithium–sulfur batteries. Adv. Energy Mater. 2021, 11, 2003314. [Google Scholar] [CrossRef]
- Shi, M.J.; Liu, Z.; Zhang, S.; Liang, S.C.; Jiang, Y.T.; Bai, H.; Jiang, Z.M.; Chang, J.; Feng, J.; Chen, W.S.; et al. A mott–schottky heterogeneous layer for Li–S Batteries: Enabling both high stability and commercial-sulfur utilization. Adv. Energy Mater. 2022, 12, 2103657. [Google Scholar] [CrossRef]
- Zhou, T.H.; Lv, W.; Li, J.; Zhou, G.M.; Zhao, Y.; Fan, S.X.; Liu, B.L.; Li, B.H.; Kang, F.Y.; Yang, Q.H. Twinborn TiO2–TiN heterostructures enabling smooth trapping–diffusion–conversion of polysulfides towards ultralong life lithium–sulfur batteries. Energy Environ. Sci. 2017, 10, 1694–1703. [Google Scholar] [CrossRef]
- Xue, Y.F.; Luo, D.; Yang, N.; Ma, G.; Zhang, Z.; Hou, J.F.; Wang, J.T.; Ma, C.Y.; Wang, X.; Jin, M.L.; et al. Engineering checkerboard-like heterostructured sulfur electrocatalyst towards high-performance lithium sulfur batteries. Chem. Eng. J. 2022, 440, 135990. [Google Scholar] [CrossRef]
- Xiong, D.B.; Li, X.F.; Bai, Z.M.; Lu, S.G. Recent advances in layered Ti3C2Tx MXene for electrochemical energy storage. Small 2018, 14, 1703419. [Google Scholar] [CrossRef]
- Yao, C.; Li, W.; Duan, K.; Zhu, C.; Li, J.; Ren, Q.; Bai, G. Properties of S-functionalized nitrogen-based MXene (Ti2NS2) as a hosting material for lithium-sulfur batteries. Nanomaterials 2021, 11, 2478. [Google Scholar] [CrossRef]
- Zhao, Q.; Zhu, Q.Z.; Liu, Y.; Xu, B. Status and prospects of MXene-based lithium–sulfur batteries. Adv. Funct. Mater. 2021, 31, 2100457. [Google Scholar] [CrossRef]
- Jiao, L.; Zhang, C.; Geng, C.N.; Wu, S.C.; Li, H.; Lv, W.; Tao, Y.; Chen, Z.J.; Zhou, G.M.; Li, J.; et al. Capture and catalytic conversion of polysulfides by in situ built TiO2-MXene heterostructures for lithium–sulfur batteries. Adv. Energy Mater. 2019, 9, 1900219. [Google Scholar] [CrossRef]
- Artchuea, T.; Srikhaow, A.; Sriprachuabwong, C.; Tuantranont, A.; Tang, I.-M.; Pon-On, W. Copper zinc sulfide (CuZnS) quantum dot-decorated (NiCo)–S/conductive carbon matrix as the cathode for Li–S batteries. Nanomaterials 2022, 12, 2403. [Google Scholar] [CrossRef]
- Wang, H.; Song, Y.; Zhao, Y.; Zhao, Y.; Wang, Z. CuCo2S4 nanoparticles embedded in carbon nanotube networks as sulfur hosts for high performance lithium-sulfur batteries. Nanomaterials 2022, 12, 3104. [Google Scholar] [CrossRef]
- Zhou, L.; Danilov, D.L.; Eichel, R.A.; Notten, P.H.L. Host materials anchoring polysulfides in Li–S batteries reviewed. Adv. Energy Mater. 2021, 11, 2001304. [Google Scholar] [CrossRef]
- Li, S.; Cen, Y.; Xiang, Q.; Aslam, M.K.; Hu, B.B.; Li, W.; Tang, Y.; Yu, Q.; Liu, Y.P.; Chen, C.G. Vanadium dioxide-reduced graphene oxide binary host as an efficient polysulfide plague for high-performance lithium–sulfur batteries. J. Mater. Chem. A 2019, 7, 1658–1668. [Google Scholar] [CrossRef]
- Luo, Y.F.; Luo, N.N.; Kong, W.B.; Wu, H.C.; Wang, K.; Fan, S.S.; Duan, W.H.; Wang, J.P. Multifunctional interlayer based on molybdenum diphosphide catalyst and carbon nanotube film for lithium–sulfur batteries. Small 2018, 14, 1702853. [Google Scholar] [CrossRef] [PubMed]
- Huang, S.Z.; Wang, Y.; Hu, J.P.; Lim, Y.V.; Kong, D.; Zheng, Y.; Ding, M.; Pam, M.E.; Yang, H.Y. Mechanism investigation of high-performance Li-polysulfide batteries enabled by tungsten disulfide nanopetals. ACS Nano 2018, 12, 9504–9512. [Google Scholar] [CrossRef] [PubMed]
- Yi, R.; Zhao, Y.; Liu, C.; Sun, Y.; Zhao, C.; Li, Y.; Yang, L.; Zhao, C. A Ti3C2Tx-based composite as separator coating for stable Li-S batteries. Nanomaterials 2022, 12, 3770. [Google Scholar] [CrossRef] [PubMed]
- Zhang, T.P.; Hu, F.Y.; Song, C.; Li, S.M.; Shao, W.L.; Liu, S.Y.; Peng, H.; Hu, S.; Jian, X.G. Constructing covalent triazine-based frameworks to explore the effect of heteroatoms and pore structure on electrochemical performance in Li–S batteries. Chem. Eng. J. 2021, 407, 127141. [Google Scholar] [CrossRef]
- Zhang, C.Q.; Du, R.F.; Biendicho, J.J.; Yi, M.J.; Xiao, K.; Yang, D.W.; Zhang, T.; Wang, X.; Arbiol, J.; Llorca, J.; et al. Tubular CoFeP@CN as a mott–schottky catalyst with multiple adsorption sites for robust lithium−sulfur batteries. Adv. Energy Mater. 2021, 11, 2100432. [Google Scholar] [CrossRef]
- Xiao, Q.H.Q.; Li, G.R.; Li, M.J.; Liu, R.P.; Li, H.B.; Ren, P.F.; Dong, Y.; Feng, M.; Chen, Z.W. Biomass-derived nitrogen-doped hierarchical porous carbon as efficient sulfur host for lithium–sulfur batteries. J. Energy Chem. 2020, 44, 61–67. [Google Scholar] [CrossRef]
- Liang, Z.B.; Qu, C.; Guo, W.H.; Zou, R.Q.; Xu, Q. Pristine metal–organic frameworks and their composites for energy storage and conversion. Adv. Mater. 2018, 30, 1702891. [Google Scholar] [CrossRef] [PubMed]
- Zheng, Y.; Zheng, S.S.; Xue, H.G.; Pang, H. Metal–organic frameworks for lithium–sulfur batteries. J. Mater. Chem. A 2019, 7, 3469–3491. [Google Scholar] [CrossRef]
- Han, G.; Wang, X.; Yao, J.; Zhang, M.; Wang, J. The application of indium oxide@CPM-5-C-600 composite material derived from MOF in cathode material of lithium sulfur batteries. Nanomaterials 2020, 10, 177. [Google Scholar] [CrossRef]
- Li, Y.J.; Fan, J.M.; Zheng, M.S.; Dong, Q.F. A novel synergistic composite with multi-functional effects for high-performance Li–S batteries. Energy Environ. Sci. 2016, 9, 1998–2004. [Google Scholar] [CrossRef]
- Ye, Z.Q.; Jiang, Y.; Li, L.; Wu, F.; Chen, R.J. Self-assembly of 0D-2D heterostructure electrocatalyst from MOF and MXene for boosted lithium polysulfide conversion reaction. Adv. Mater. 2021, 33, 2101204. [Google Scholar] [CrossRef]
- Huang, N.; Wang, P.; Jiang, D.L. Covalent organic frameworks: A materials platform for structural and functional designs. Nat. Rev. Mater. 2016, 1, 16068. [Google Scholar] [CrossRef]
- Zhan, X.J.; Chen, Z.; Zhang, Q.C. Recent progress in two-dimensional COFs for energy-related applications. J. Mater. Chem. A 2017, 5, 14463–14479. [Google Scholar] [CrossRef]
- Chen, X.D.; Sun, W.W.; Wang, Y. Covalent organic frameworks for next-generation batteries. ChemElectroChem 2020, 7, 3905. [Google Scholar] [CrossRef]
- Yang, Z.Y.; Peng, C.X.; Meng, R.J.; Zu, L.H.; Feng, Y.T.; Chen, B.J.; Mi, Y.L.; Zhang, C.; Yang, J.H. Hybrid anatase/rutile nanodots-embedded covalent organic frameworks with complementary polysulfide adsorption for high-performance lithium-sulfur batteries. ACS Cent. Sci. 2019, 5, 1876–1883. [Google Scholar] [CrossRef] [PubMed]
- Du, B.W.; Luo, Y.H.; Yang, Y.Q.; Xue, W.; Liu, G.H.; Li, J.D. COFs-confined multifunctional sulfur-host design towards high-performance lithium-sulfur batteries. Chem. Eng. J. 2022, 442, 135823. [Google Scholar] [CrossRef]
- He, J.R.; Bhargav, A.; Asl, H.Y.; Chen, Y.F.; Manthiram, A. 1T′-ReS2 nanosheets in situ grown on carbon nanotubes as a highly efficient polysulfide electrocatalyst for stable Li-S batteries. Adv. Energy Mater. 2020, 10, 202001017. [Google Scholar] [CrossRef]
- Yang, J.L.; Liu, T.; Zhao, S.X. Interfaces-dominated Li2S nucleation behavior enabled by heterostructure catalyst for fast kinetics Li-S batteries. Nano Energy 2021, 89, 106452. [Google Scholar] [CrossRef]
- Zhang, H.B.; Liu, G.G.; Shi, L.; Ye, J.H. Single-atom catalysts: Emerging multifunctional materials in heterogeneous catalysis. Adv. Funct. Mater. 2018, 8, 1701343. [Google Scholar] [CrossRef]
- Zhang, J.; You, C.Y.; Lin, H.Z.; Wang, Z. Electrochemical kinetic modulators in lithium–sulfur batteries: From defect-rich catalysts to single atomic catalysts. Energy Environ. Mater. 2021, 5, 731–750. [Google Scholar] [CrossRef]
- Shi, Z.X.; Ding, Y.F.; Zhang, Q.; Sun, J.Y. Electrocatalyst modulation toward bidirectional sulfur redox in Li-S batteries: From strategic probing to mechanistic understanding. Adv. Energy Mater. 2022, 12, 2201056. [Google Scholar] [CrossRef]
- Xu, Y.S.; Zheng, W.; Liu, X.H.; Zhang, L.Q.; Zheng, L.L.; Yang, C.; Pinna, N.; Zhang, J. Platinum single atoms on tin oxide ultrathin films for extremely sensitive gas detection. Mater. Horiz. 2020, 7, 1519–1527. [Google Scholar] [CrossRef]
- Jones, J.; Xiong, H.F.; DeLaRiva, A.T.; Peterson, E.J.; Hien, P.; Challa, S.R.; Qi, G.S.; Oh, S.; Wiebenga, M.H.; Hernandez, X.I.P.; et al. Thermally stable single-atom platinum-on-ceria catalysts via atom trapping. Science 2016, 353, 150–154. [Google Scholar] [CrossRef]
- Qiao, B.T.; Liu, J.X.; Wang, Y.G.; Lin, Q.Q.; Liu, X.Y.; Wang, A.Q.; Li, J.; Zhang, T.; Liu, J.Y. Highly efficient catalysis of preferential oxidation of CO in H-2-rich stream by gold single-atom catalysts. ACS Catal. 2015, 5, 6249–6254. [Google Scholar] [CrossRef]
- Kaden, W.E.; Wu, T.P.; Kunkel, W.A.; Anderson, S.L. Electronic structure controls reactivity of size-selected Pd clusters adsorbed on TiO2 surfaces. Science 2009, 326, 826–829. [Google Scholar] [CrossRef] [PubMed]
- Yang, M.; Allard, L.F.; Flytzani-Stephanopoulos, M. Atomically dispersed Au-(OH)x species bound on titania catalyze the low-temperature water-gas shift reaction. J. Am. Chem. Soc. 2013, 135, 3768–3771. [Google Scholar] [CrossRef] [PubMed]
- Liu, W.G.; Zhang, L.L.; Yan, W.S.; Liu, X.Y.; Yang, X.F.; Miao, S.; Wang, A.Q.; Zhang, T. Single-atom dispersed Co-N-C catalyst: Structure identification and performance for hydrogenative coupling of nitroarenes. Chem. Sci. 2016, 7, 5758–5764. [Google Scholar] [CrossRef]
- Liu, W.G.; Chen, Y.J.; Qi, H.F.; Zhang, L.L.; Yan, W.S.; Liu, X.Y.; Yang, X.F.; Miao, S.; Wang, W.T.; Liu, C.G. A durable nickel single-atom catalyst for hydrogenation reactions and cellulose valorization under harsh conditions. Angew. Chem. Int. Ed. 2018, 57, 7071–7075. [Google Scholar] [CrossRef] [PubMed]
- Liu, Z.Z.; Zhou, L.; Ge, Q.; Chen, R.J.; Ni, M.; Utetiwabo, W.; Zhang, X.L.; Yang, W. Atomic iron catalysis of polysulfide conversion in lithium-sulfur batteries. ACS Appl. Mater. Interfaces 2018, 10, 19311–19317. [Google Scholar] [CrossRef]
- Wang, J.; Jia, L.J.; Zhong, J.; Xiao, Q.B.; Wang, C.; Zang, K.T.; Lin, H.T.; Zheng, H.C.; Luo, J.; Yang, J. Single-atom catalyst boosts electrochemical conversion reactions in batteries. Energy Storage Mater. 2019, 18, 246–252. [Google Scholar] [CrossRef]
- Wang, S.Y.; Li, J.Q.; Li, Q.; Bai, X.W.; Wang, J.L. Metal single-atom coordinated graphitic carbon nitride as an efficient catalyst for CO oxidation. Nanoscale 2020, 12, 364–371. [Google Scholar] [CrossRef]
- Lu, B.Z.; Liu, Q.M.; Chen, S.W. Electrocatalysis of single-atom sites: Impacts of atomic coordination. ACS Catal. 2020, 10, 7584–7618. [Google Scholar] [CrossRef]
- Fang, L.Z.; Feng, Z.G.; Cheng, L.; Winans, R.E.; Li, T. Design principles of single atoms on carbons for lithium-sulfur batteries. Small Methods 2020, 4, 2000315. [Google Scholar] [CrossRef]
- Li, Y.J.; Wu, J.B.; Zhang, B.; Wang, W.Y.; Zhang, G.Q.; Seh, Z.W.; Zhang, N.; Sun, J.; Huang, L.; Jiang, J.J.; et al. Fast conversion and controlled deposition of lithium (poly)sulfides in lithium-sulfur batteries using high-loading cobalt single atoms. Energy Storage Mater. 2020, 30, 250–259. [Google Scholar] [CrossRef]
- Du, Z.Z.; Chen, X.J.; Hu, W.; Chuang, C.H.; Xie, S.; Hu, A.J.; Yan, W.S.; Kong, X.H.; Wu, X.J.; Ji, H.X.; et al. Cobalt in nitrogen-doped graphene as single-atom catalyst for high-sulfur content lithium-sulfur batteries. J. Am. Chem. Soc. 2019, 141, 3977–3985. [Google Scholar] [CrossRef] [PubMed]
- Zhang, S.J.; Shao, Q.J.; Su, Y.; Xu, L.; Jiang, Q.K.; Chen, J. Atomically dispersed Co-anchored on N, S-riched carbon as efficient electrocatalysts for advanced Li-S batteries. J. Alloys Compd. 2022, 910, 164799. [Google Scholar] [CrossRef]
- Li, Y.J.; Lin, S.Y.; Wang, D.D.; Gao, T.T.; Song, J.W.; Zhou, P.; Xu, Z.K.; Yang, Z.H.; Xiao, N.; Guo, S.J. Single atom array mimic on ultrathin MOF nanosheets boosts the safety and life of lithium-sulfur batteries. Adv. Mater. 2020, 32, 1906722. [Google Scholar] [CrossRef] [PubMed]
- Feng, Y.T.; Zu, L.H.; Yang, S.S.; Chen, L.; Liao, K.X.; Meng, S.; Zhang, C.; Yang, J.H. Ultrahigh-content Co-P cluster as a dual-atom-site electrocatalyst for accelerating polysulfides conversion in Li-S batteries. Adv. Funct. Mater. 2022, 32, 2207579. [Google Scholar] [CrossRef]
- Kim, J.H.; Kim, S.J.; Jung, E.Y.; Mok, D.H.; Paidi, V.K.; Lee, J.W.; Lee, H.S.; Jeoun, Y.S.; Ko, W.J.; Shin, H.J.; et al. Atomic structure modification of Fe-N-C catalysts via morphology engineering of graphene for enhanced conversion kinetics of lithium-sulfur batteries. Adv. Funct. Mater. 2022, 32, 2270108. [Google Scholar] [CrossRef]
- Zhang, S.L.; Ao, X.; Huang, J.; Wei, B.; Zhai, Y.L.; Zhai, D.; Deng, W.Q.; Su, C.L.; Wang, D.S.; Li, Y.D. Isolated single-atom Ni-N5 catalytic site in hollow porous carbon capsules for efficient lithium-sulfur batteries. Nano Lett. 2021, 21, 9691–9698. [Google Scholar] [CrossRef]
- Zhang, Y.G.; Liu, J.B.; Wang, J.Y.; Zhao, Y.; Luo, D.; Yu, A.P.; Wang, X.; Chen, Z.W. Engineering oversaturated Fe-N5 multifunctional catalytic sites for durable lithium-sulfur batteries. Angew. Chem.-Int. Ed. 2021, 60, 26622–26629. [Google Scholar] [CrossRef] [PubMed]
- Liu, G.L.; Wang, W.M.; Zeng, P.; Yuan, C.; Wang, L.; Li, H.T.; Zhang, H.; Sun, X.H.; Dai, K.H.; Mao, J.; et al. Strengthened d-p orbital hybridization through asymmetric coordination engineering of single-atom catalysts for durable lithium-sulfur batteries. Nano Lett. 2022, 22, 6366–6374. [Google Scholar] [CrossRef]
- Ma, F.; Wan, Y.Y.; Wang, X.M.; Wang, X.C.; Liang, J.S.; Miao, Z.P.; Wang, T.Y.; Ma, C.; Lu, G.; Han, J.T.; et al. Bifunctional atomically dispersed Mo-N2/C nanosheets boost lithium sulfide deposition/decomposition for stable lithium-sulfur batteries. ACS Nano 2020, 14, 10115–10126. [Google Scholar] [CrossRef]
- Wang, Y.Z.; Adekoya, D.; Sun, J.Q.; Tang, T.Y.; Qiu, H.L.; Xu, L.; Zhang, S.Q.; Hou, Y.L. Manipulation of edge-site Fe-N2 moiety on holey Fe, N codoped graphene to promote the cycle stability and rate capacity of Li-S batteries. Adv. Funct. Mater. 2019, 29, 1807485. [Google Scholar] [CrossRef]
- Zhao, C.X.; Li, X.Y.; Zhao, M.; Chen, Z.X.; Song, Y.W.; Chen, W.J.; Liu, J.N.; Wang, B.; Zhang, X.Q.; Chen, C.M.; et al. Semi-immobilized molecular electrocatalysts for high-performance lithium-sulfur batteries. J. Am. Chem. Soc. 2021, 143, 19865–19872. [Google Scholar] [CrossRef] [PubMed]
- Tsao, Y.C.; Lee, M.; Miller, E.C.; Gao, G.P.; Park, J.; Chen, S.C.; Katsumata, T.; Tran, H.; Wang, L.W.; Toney, M.F.; et al. Designing a quinone-based redox mediator to facilitate Li2S oxidation in Li-S batteries. Joule 2019, 3, 872–884. [Google Scholar] [CrossRef]
- Gao, X.; Zheng, X.L.; Tsao, Y.C.; Zhang, P.; Xiao, X.; Ye, Y.S.; Li, J.; Yang, Y.F.; Xu, R.; Bao, Z.N.; et al. All-solid-state lithium–sulfur batteries enhanced by redox mediators. J. Am. Chem. Soc. 2021, 143, 18188–18195. [Google Scholar] [CrossRef]
- Jiao, L.; Jiang, H.; Lei, Y.C.; Wu, S.L.; Gao, Q.L.; Bu, S.Y.; Kong, X.; Yang, S.; Shu, D.K.; Li, C.Y.; et al. “Dual mediator system” enables efficient and persistent regulation toward sulfur redox conversion in lithium-sulfur batteries. ACS Nano 2022, 16, 14262–14273. [Google Scholar] [CrossRef]
- Zhao, M.; Chen, X.; Li, X.Y.; Li, B.Q.; Huang, J.Q. An organodiselenide comediator to facilitate sulfur redox kinetics in lithium–sulfur batteries. Adv. Mater. 2021, 33, 2007298. [Google Scholar] [CrossRef]
- Wang, Z.K.; Ji, H.Q.; Zhou, L.Z.; Shen, X.W.; Gao, L.H.; Liu, J.; Yang, T.Z.; Qian, T.; Yan, C.L. All-liquid-phase reaction mechanism enabling cryogenic Li-S batteries. ACS Nano 2021, 15, 13847–13856. [Google Scholar] [CrossRef]
- Xie, J.; Peng, H.J.; Song, Y.W.; Li, B.Q.; Xiao, Y.; Zhao, M.; Yuan, H.; Huang, J.Q.; Zhang, Q. Spatial and kinetic regulation of sulfur electrochemistry on semi-immobilized redox mediators in working batteries. Angew. Chem. Int. Ed. 2020, 59, 17670–17675. [Google Scholar] [CrossRef]
- Gerber, L.C.H.; Frischmann, P.D.; Fan, F.Y.; Doris, S.E.; Qu, X.H.; Scheuermann, A.M.; Persson, K.; Chiang, Y.M.; Helms, B.A. Three-dimensional growth of Li2S in lithium-sulfur batteries promoted by a redox mediator. Nano Lett. 2016, 16, 549–554. [Google Scholar] [CrossRef]
- Zhao, M.; Peng, H.J.; Wei, J.Y.; Huang, J.Q.; Li, B.Q.; Yuan, H.; Zhang, Q. Dictating high-capacity lithium–sulfur batteries through redox-mediated lithium sulfide growth. Small Methods 2020, 4, 1900344. [Google Scholar] [CrossRef]
- Ye, H.L.; Sun, J.G.; Lim, X.F.; Zhao, Y.; Lee, J.Y. Mediator-assisted catalysis of polysulfide conversion for high-loading lithium-sulfur batteries operating under the lean electrolyte condition. Energy Storage Mater. 2021, 38, 338–343. [Google Scholar] [CrossRef]


























| Heterogeneous Electrocatalyst | Material | Nanostructure | Cycle Performance [mAh g−1] | Ref. |
|---|---|---|---|---|
| Metal compound electrocatalyst | Titanium-deficient anatase TiO2 | 0D | 511/2 C/1000th | [89] |
| Fe3O4 nanocrystals/CNTs | 0D/1D | 538.5/1 C/1800th | [83] | |
| Pt NPs/graphene | 0D/2D | 789/0.1 C/100th | [57] | |
| CNTs/V2O5 nanoplates | 1D/2D | 887.2/1 C/500th | [95] | |
| Fe2O3 NPs/Porous graphene | 0D/3D | 516/5 C/1000th | [77] | |
| FeS2 nanoclusters/Porous carbon | 0D/3D | 1171/0.4 C/100th | [115] | |
| FeP/Carbon nanoarray | 1D | 500/1 C/200th | [120] | |
| MnO2 nanosheets | 2D/ | 245/2 C/2000th | [86] | |
| Graphene-like Co9S8 | 2D | 643/2 C/400th | [109] | |
| Layered MoS2 | 2D | over 800/0.2 C/300th | [113] | |
| VN nanoribbon/Graphene | 3D | 917/1 C/200th | [100] | |
| Mesoporous TiN | 3D | 644/0.5 C/500th | [101] | |
| MIL-88A | 3D | 200/0.5 C/1000th | [122] | |
| Nanoporous Co and N-Codoped Carbon Composite | 3D | 477/1 C/1000th | [123] | |
| Heterostructure electrocatalyst | TiO2-TiN | 0D/0D | 704/1 C/2000th | [128] |
| CoS2-Co | 0D/0D | 1227/0.2 C/150th | [129] | |
| MoP2 NPs/CNTs | 0D/2D | 543/1 C/500th | [138] | |
| TiO2/Ti3C2Tx | 0D/2D | 576/2 C/1000th | [133] | |
| CoZn-Se NPs/MXene | 0D/2D | 849/3 C/300th | [148] | |
| TiO2 nanodots/COFs | 0D/2D | 875/0.5 C/800th | [152] | |
| Nitrogen-doped MXene/nitrogen-doped carbon nanosheet-nickel | 0D/2D | 588/1 C/500th | [140] | |
| CuCo2S4 NPs/CNTs | 0D/2D | 627/1 C/500th | [135] | |
| Co NPs/N-doped graphitic carbon | 0D/3D | 625/1 C/500th | [147] | |
| COFs/MOFs | 2D/3D | 636.2/1 C/500th | [153] | |
| WS2-rGO-CNTs | 0D/1D/2D (3D) | 1227/0.1 C/100th | [139] | |
| CuZnS QDs-decorated (NiCo)–S@rGO/oxdCNT | 0D/1D/2D (3D) | 537/0.1 C/100th | [134] | |
| Single-atom electrocatalyst | SAV/Graphene | 0D/2D | 551/0.5 C/400th | [62] |
| CoSA/Carbon nanosheet | 0D/2D | 675/1 C/1000th | [171] | |
| Mo-N2/Cabon nanosheet | 0D/2D | 817/2 C/550th | [180] | |
| SAFe/N-porous carbon | 0D/3D | 427/0.1 C/300th | [166] | |
| SACo/Hollow carbon spheres | 0D/3D | 692/1 C/500th | [173] | |
| Co-P cluster/Carbon matrix | 0D/3D | 746/1 C/1000th | [175] |
| Heterogeneous Electrocatalyst | Material | Sulfur Content of Cathode [%] | Catalyst Content of Cathode [%] | Specific Surface Area [m2 g−1] | Ref. |
|---|---|---|---|---|---|
| Metal compound electrocatalyst | Titanium-deficient anatase TiO2 | 75 | 5.75 | 165 | [89] |
| Fe3O4 nanocrystals/CNTs | 60 | 4.52 | 301.2 | [83] | |
| Pt NPs/graphene | 83 | 4.25 | 405 | [57] | |
| CNTs/V2O5 nanoplates | 75 | 25 | 108 | [95] | |
| Fe2O3 NPs/Porous graphene | 56 | 17.6 | 37 | [77] | |
| Heterostructure electrocatalyst | CoS2-Co | 76 | 2.76 | 1232 | [129] |
| WS2-rGO-CNTs | 55 | 21.1 | 315 | [139] | |
| Single-atom electrocatalyst | SAV/Graphene | 80 | 0.86 | 781.9 | [62] |
| SACo/Graphene | 80 | 0.77 | 841.8 | [62] | |
| Mo-N2/Cabon nanosheet | 81 | 0.38 | 1038 | [180] | |
| Co-P cluster/Carbon matrix | 70 | 0.3 | 339 | [175] |
| Homogeneous Electrocatalyst | Material | Functional Group/Structure | Cycle Performance [mAh g−1] | Ref. |
|---|---|---|---|---|
| Homogeneous-type electrocatalyst | Nickel dimethoxyethane chloride adduct | NiCl2 | 784/1 C/500th | [66] |
| Anthraquinone derivative 1,5-bis(2-(2-(2-methoxyethoxy) ethoxy) ethoxy) an-thra-9,10-quinone | anthraquinone | 850/1 C/500th | [183] | |
| CoSNC (CoS1.097 nanoparticles (NPs) embedded in nitrogen-doped porous carbon sheets) with cobaltocene | transition metal metallocenes | 509/2 C/1200th | [185] | |
| Diphenyl diselenide (DPDSe) | phenylselenides | 720/0.5 C/350th | [186] | |
| Allyl methyl disulfide(AMDS) | disulfide structure | 798/0.8 C/50th | [187] | |
| Ethyl viologen diperchlorate (EV(ClO4)2) | ethyl viologen structure | 395/1.0 mA cm−2/500th | [191] | |
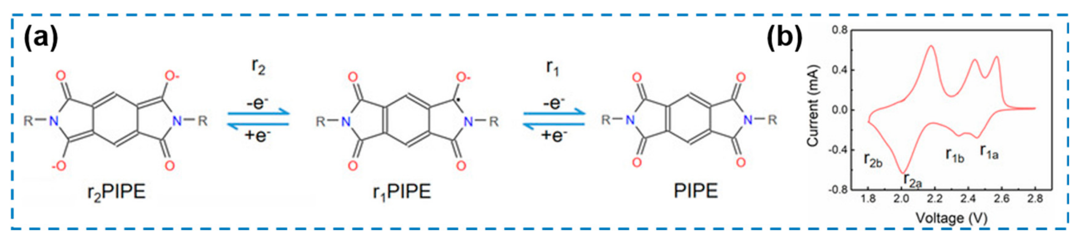
| Semi-immobilized-type electrocatalyst | PIPE | imide structure | 916/0.5 C/300th | [188] |
| G@ppy-por | porphyrin structure | 904/2 C/50th | [182] | |
| BPI | imide structure | 560/0.5 C/100th | [189] | |
| CoCp2 | transition metal metallocenes | 553/2 C/100th | [190] |
| Types of Electrocatalysts | Advantages | Disadvantages | Process/Mechanism Judgment Basis |
|---|---|---|---|
| Heterogeneous electrocatalyst | 1. Convenient and efficient electrocatalytic mechanism 2. Catalytic performance conveniently modulated by nanostructures 3. Improved anode structure and performance | 1. Decreased activity as the active surface be gradually covered 2. As an inactive component affects battery energy density | Judgment in the balance between electrocatalytic performance and catalytic activity retention based on performance requirements (heterogeneous electrocatalysts usually provide more direct electrochemical performance enhancement but less stability, while homogeneous electrocatalysts provide more stable electrocatalytic activity) |
| Homogeneous electrocatalyst | 1. Enhanced kinetics in terms of reaction mechanism 2. Active site enrichment (full exposure to active substances) | 1. Decreased activity with the shuttle effect 2. Complex catalytic mechanism |
Publisher’s Note: MDPI stays neutral with regard to jurisdictional claims in published maps and institutional affiliations. |
© 2022 by the authors. Licensee MDPI, Basel, Switzerland. This article is an open access article distributed under the terms and conditions of the Creative Commons Attribution (CC BY) license (https://creativecommons.org/licenses/by/4.0/).
Share and Cite
Song, Z.; Jiang, W.; Jian, X.; Hu, F. Advanced Nanostructured Materials for Electrocatalysis in Lithium–Sulfur Batteries. Nanomaterials 2022, 12, 4341. https://doi.org/10.3390/nano12234341
Song Z, Jiang W, Jian X, Hu F. Advanced Nanostructured Materials for Electrocatalysis in Lithium–Sulfur Batteries. Nanomaterials. 2022; 12(23):4341. https://doi.org/10.3390/nano12234341
Chicago/Turabian StyleSong, Zihui, Wanyuan Jiang, Xigao Jian, and Fangyuan Hu. 2022. "Advanced Nanostructured Materials for Electrocatalysis in Lithium–Sulfur Batteries" Nanomaterials 12, no. 23: 4341. https://doi.org/10.3390/nano12234341
APA StyleSong, Z., Jiang, W., Jian, X., & Hu, F. (2022). Advanced Nanostructured Materials for Electrocatalysis in Lithium–Sulfur Batteries. Nanomaterials, 12(23), 4341. https://doi.org/10.3390/nano12234341
