Dynamic Instability of Functionally Graded Graphene Platelet-Reinforced Porous Beams on an Elastic Foundation in a Thermal Environment
Abstract
1. Introduction
2. Model Construction
3. Formulations
3.1. Equations of Governing
3.2. Solution Method
4. Discussion
4.1. Validation and Convergence Study
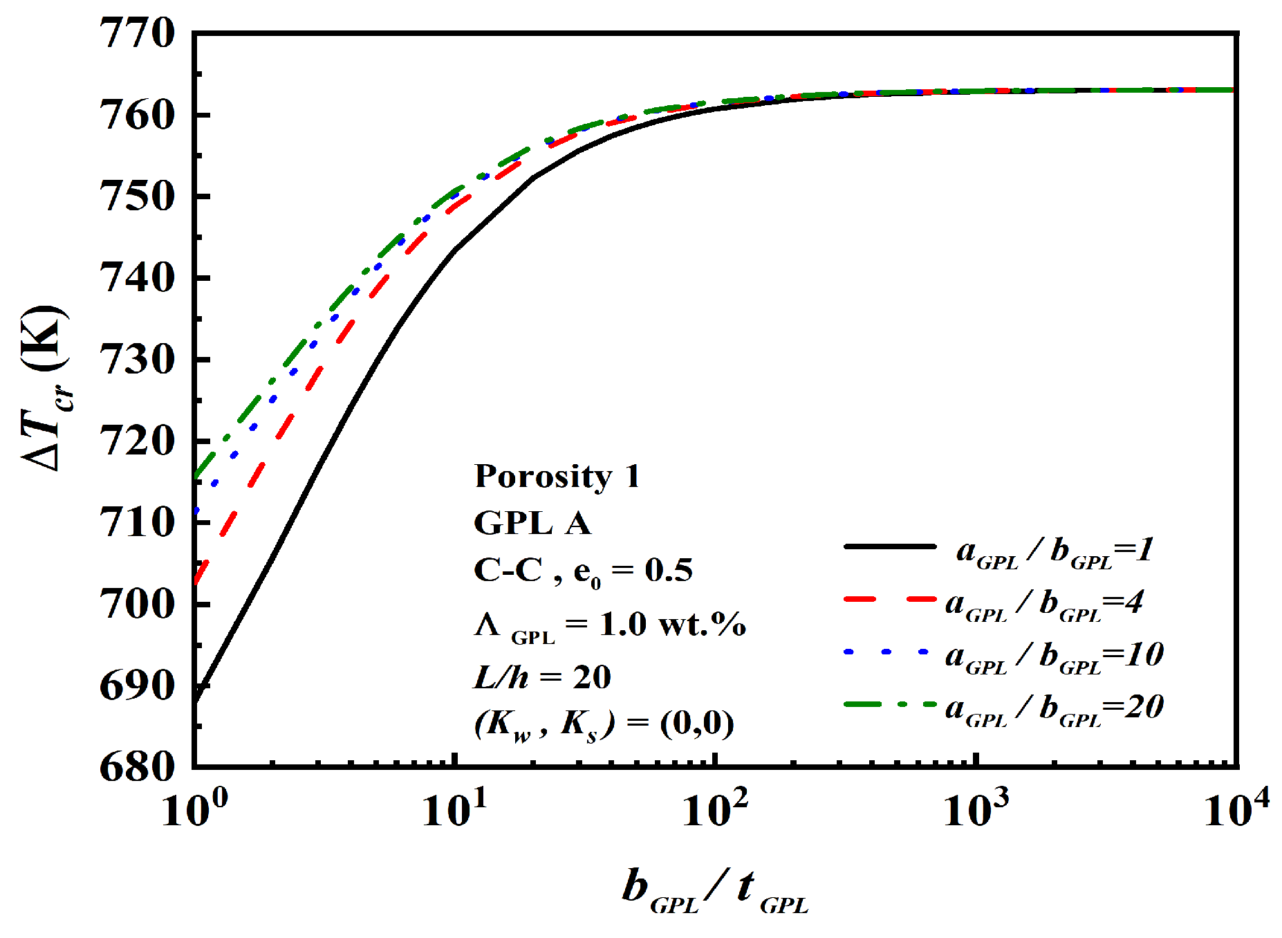
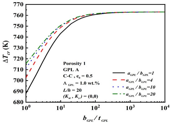
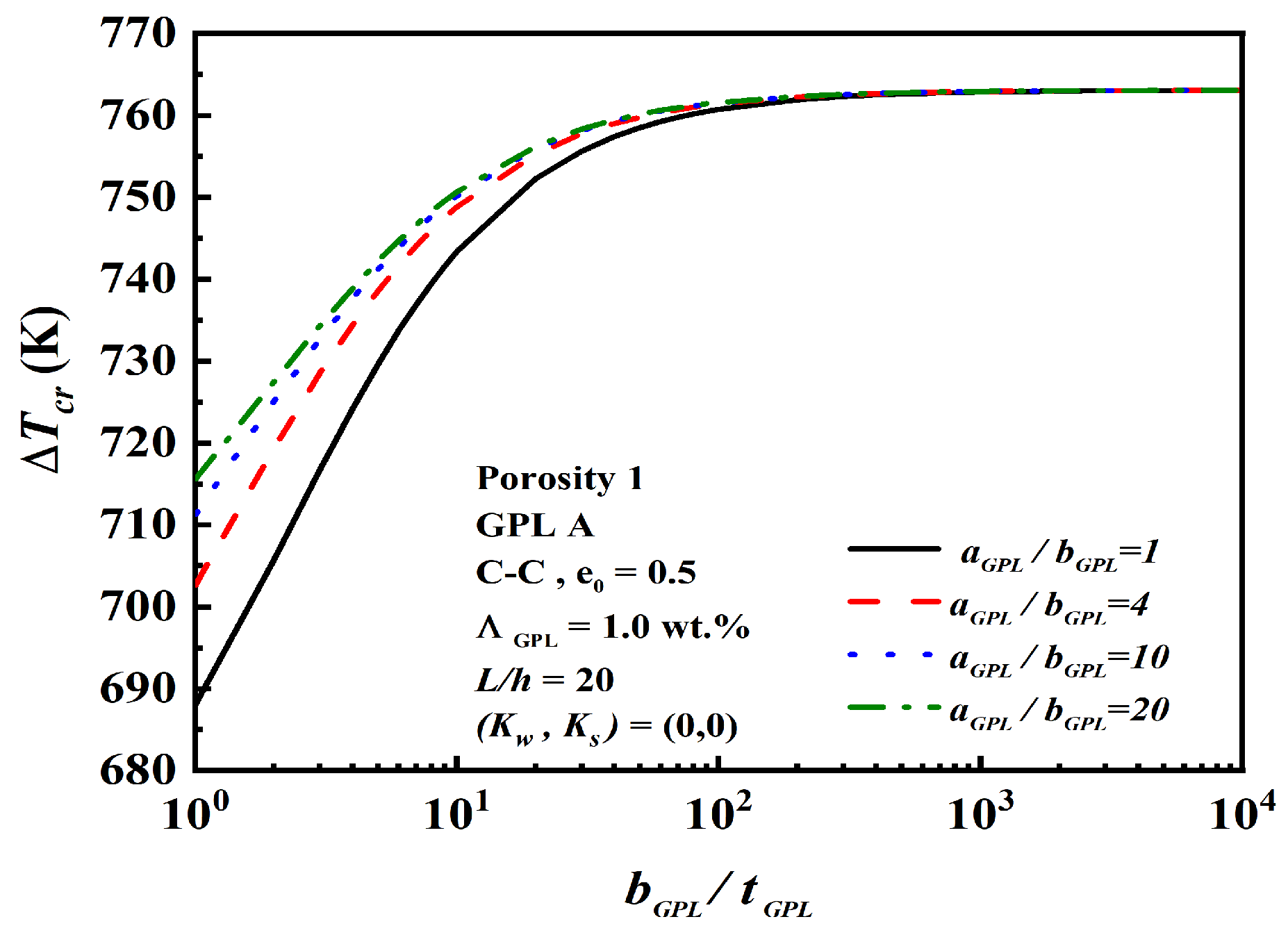
4.2. Thermal Buckling
4.3. Thermo-Mechanical Vibration
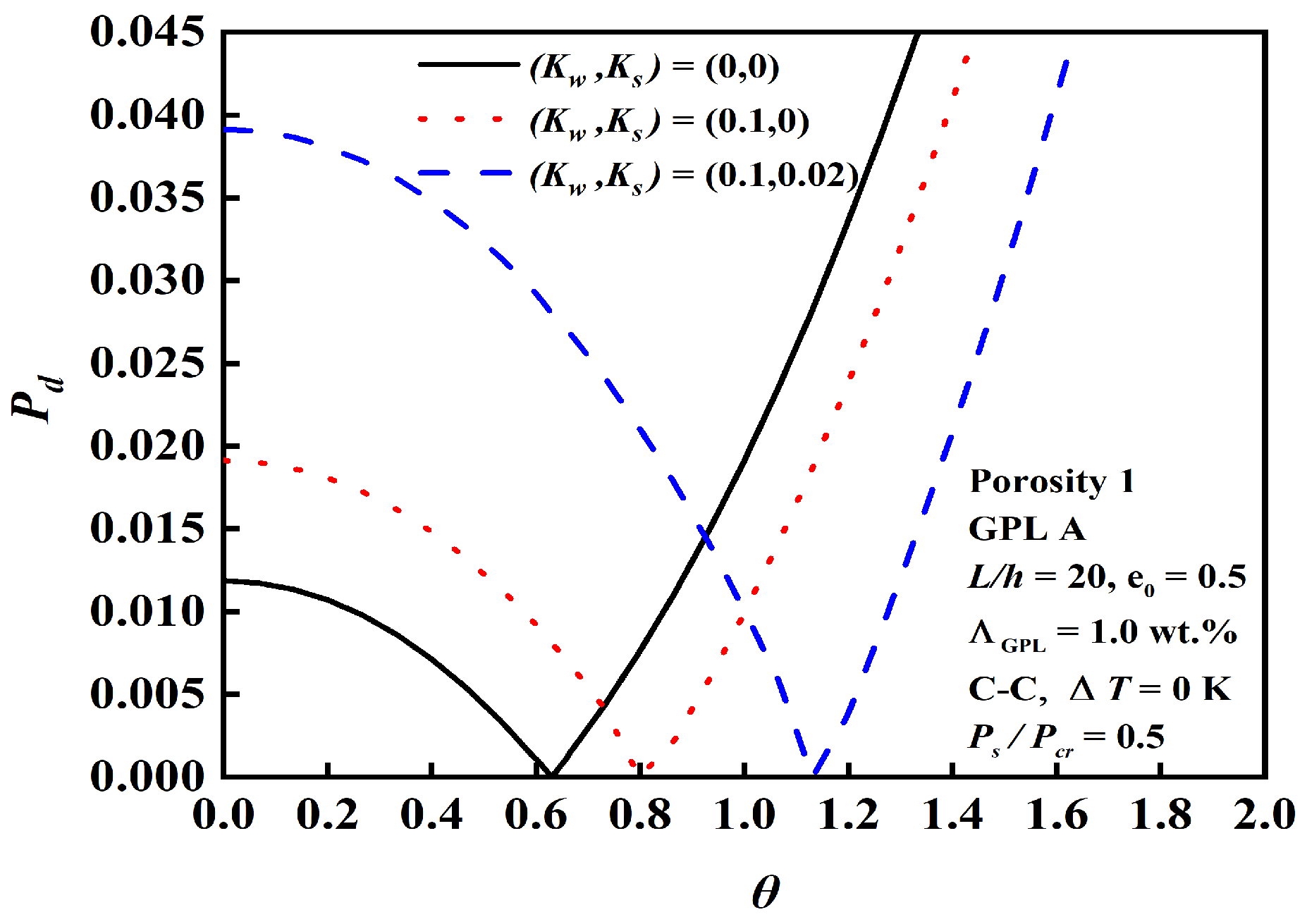
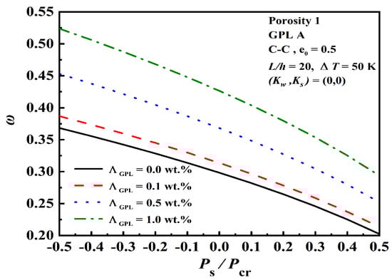
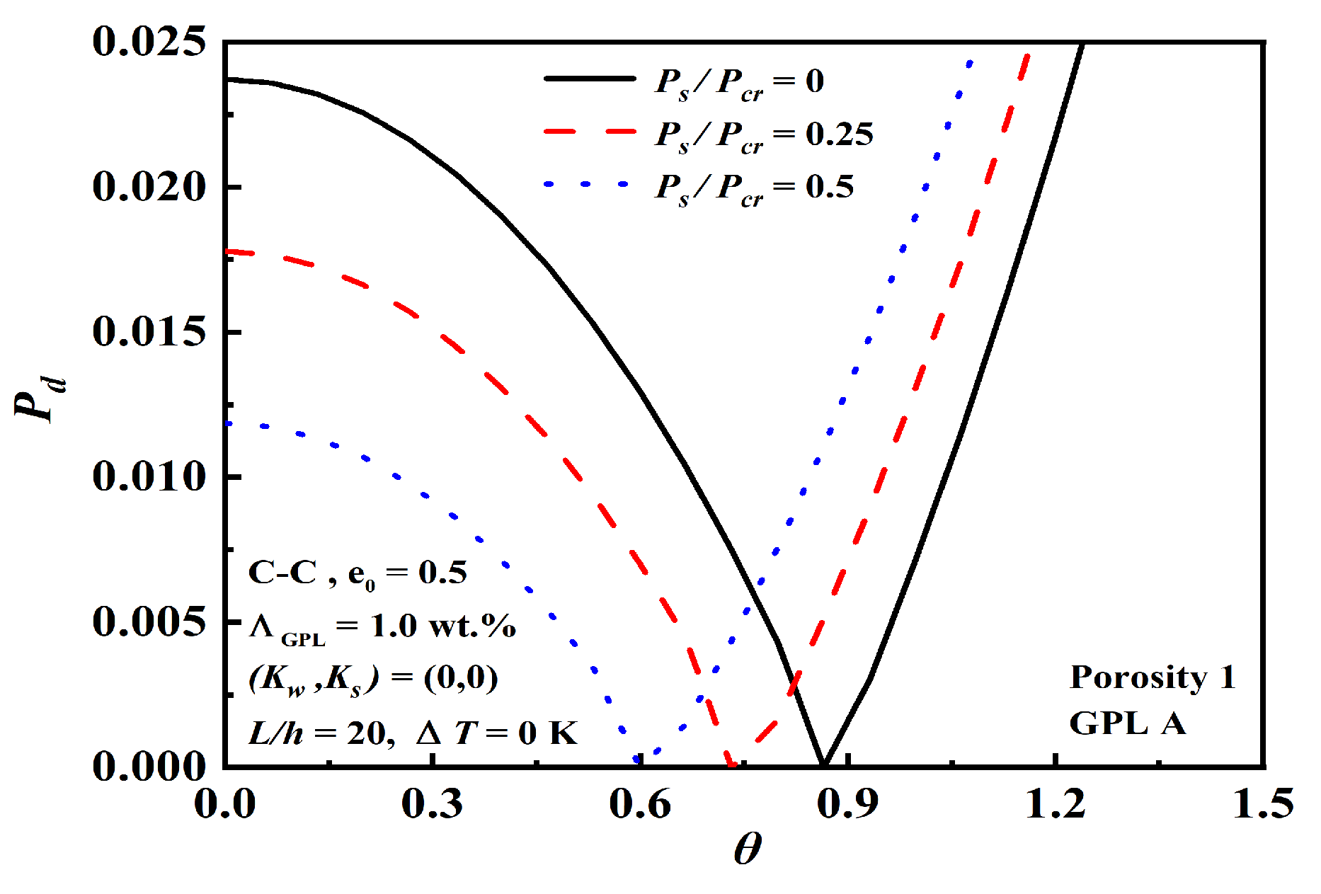
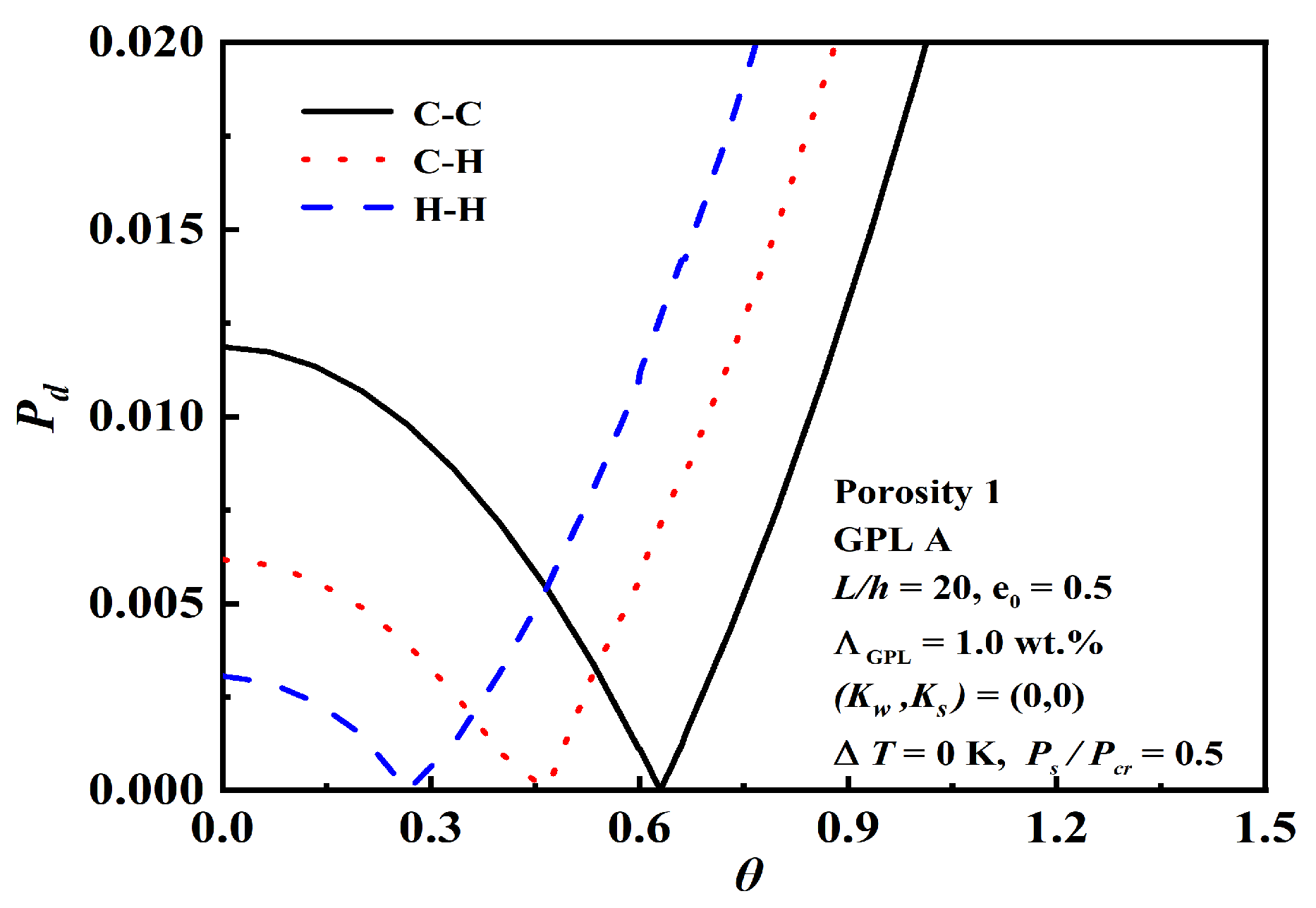
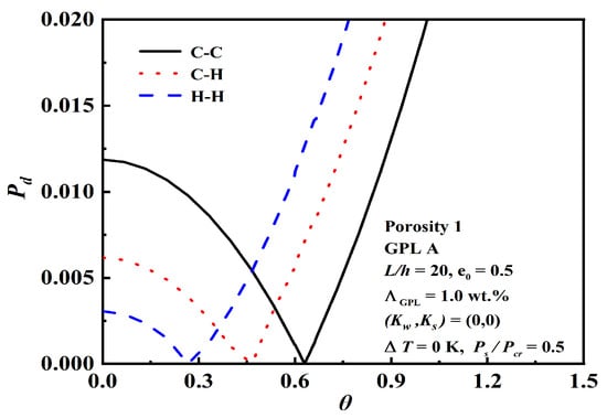
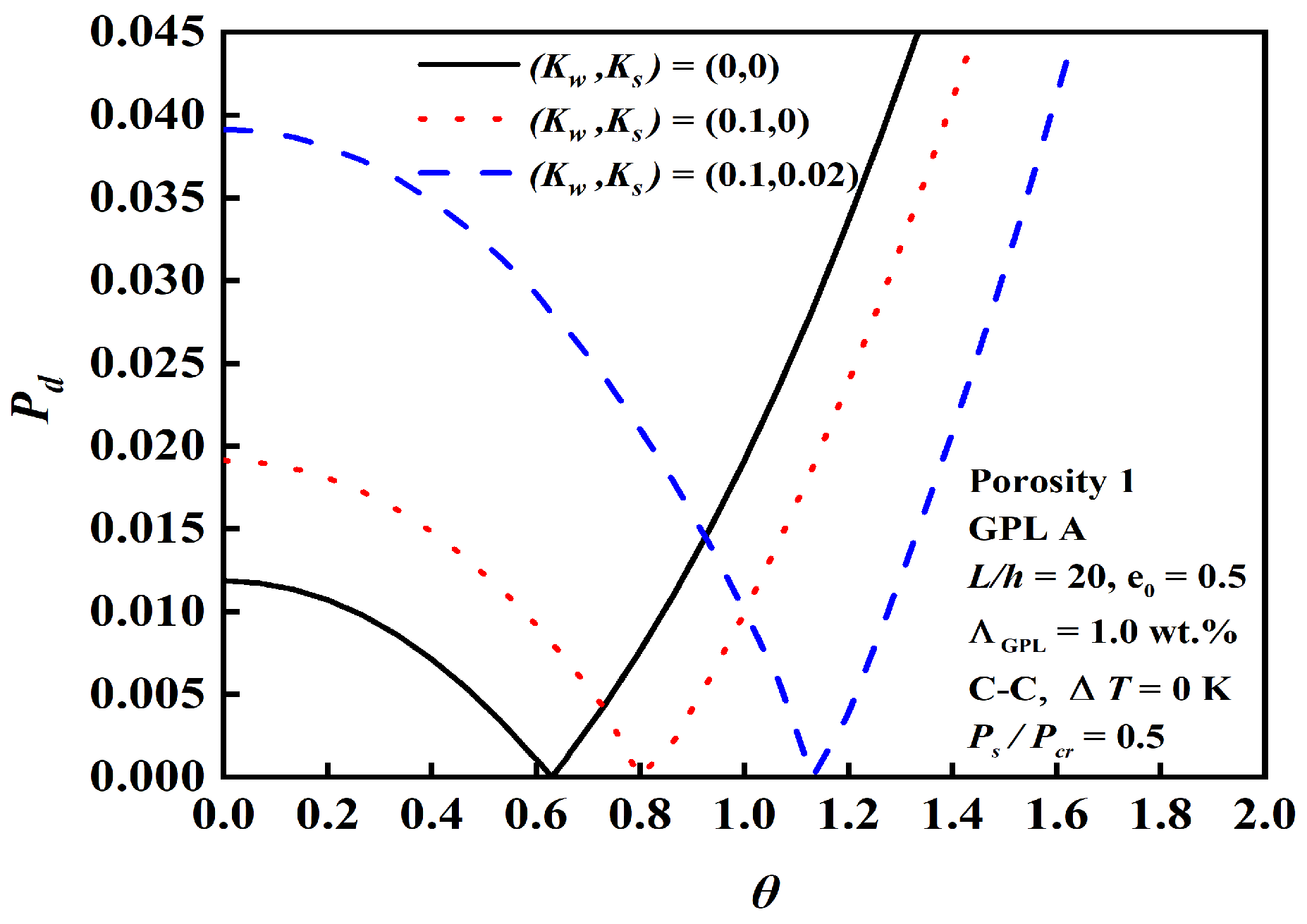
4.4. Dynamic Instability
5. Conclusions
- •
- Porosity 1 reinforced by GPL A of the beam has the biggest value of critical buckling, temperature rise, dimensionless fundamental frequency, and the origin of dynamic instability. The non-uniform, symmetric porosity distribution and GPL pattern have the strongest enhancement.
- •
- The porosity coefficient has an important influence on thermal buckling, thermo-mechanical vibration, and dynamic instability. When the porosity coefficient grows, the origin of the dynamic instability shows a decreasing trend, but the dimensionless fundamental frequency and critical buckling temperature rise both increase.
- •
- The addition of GPL nanofillers can enhance the beam stiffness significantly, and the mechanical performance is enhanced with increases.
- •
- The values of thermo-mechanical vibration and dynamic instability decrease with normalized static axial force and initial thermal loading increase.
- •
- Winkler and Pasternak foundations both strengthen the stiffness of the beam. It is noted that shearing layer stiffness has a better enhancement effect than Winkler foundation stiffness.
Author Contributions
Funding
Data Availability Statement
Conflicts of Interest
References
- Vural, M.; Ravichandran, G. Dynamic response and energy dissipation characteristics of balsa wood: Experiment and analysis. Int. J. Solids Struct. 2003, 40, 2147–2170. [Google Scholar] [CrossRef]
- Avalle, M.; Belingardi, G.; Montanini, R. Characterization of polymeric structural foams under compressive impact loading by means of energy-absorption diagram. Int. J. Impact Eng. 2001, 25, 455–472. [Google Scholar] [CrossRef]
- Betts, C. Benefits of metal foams and developments in modelling techniquesto assess their materials behaviour: A review. Mater. Sci. Technol. 2012, 28, 129–143. [Google Scholar] [CrossRef]
- Mourad, C.; Suresh, G.A.; Ali, G.; Shridhar, Y. Modeling of filtration through multiple layers of dual scale fibrous porous media. Polym. Compos. 2006, 27, 570–581. [Google Scholar]
- Zeng, S.; Wang, K.; Wang, B.; Wu, J. Vibration analysis of piezoelectric sandwich nanobeam with flexoelectricity based on nonlocal strain gradient theory. Appl. Math. Mech. 2020, 41, 859–880. [Google Scholar] [CrossRef]
- Juergen, B.; Michael, S.; Matthew, S.; Marcus, A.W.; Monika, M.B.; Klint, A.R.; Theodore, F.B. Advanced carbon aerogels for energy applications. Energy Environ. Sci. Ees. 2011, 4, 656–667. [Google Scholar]
- Rabiei, A.; O’Neill, A.T. A study on processing of a composite metal foam via casting. Mater. Sci. Eng. 2005, 404, 159–164. [Google Scholar] [CrossRef]
- Nguyen, N.; Nguyen, T.; Nguyen, T.; Vo, T.P. A new two-variable shear deformation theory for bending, free vibration and buckling analysis of functionally graded porous beams. Compos. Struct. 2022, 282, 115095. [Google Scholar] [CrossRef]
- Akbaş, Ş.D. Forced vibration analysis of functionally graded porous deep beams. Compos. Struct. 2018, 186, 293–302. [Google Scholar] [CrossRef]
- Akbaş, Ş.D. Post-buckling responses of functionally graded beams with porosities. Steel Compos. Struct. 2017, 24, 579–589. [Google Scholar]
- Akbaş, Ş.D. Thermal Effects on the Vibration of Functionally Graded Deep Beams with Porosity. Int. J. Appl. Mech. 2017, 9, 556–569. [Google Scholar] [CrossRef]
- Farzad, E.; Mohadese, M. Transverse vibration analysis of rotating porous beam with functionally graded microstructure using the differential transform method. J. Braz. Soc. Mech. Sci. Eng. 2015, 37, 1435–1444. [Google Scholar]
- Yousef, S.A.R.; Azhar, G.H. Free vibration of functionally Euler-Bernoulli and Timoshenko graded porous beams using the transfer matrix method. KSCE J. Civ. Eng. 2017, 21, 792–806. [Google Scholar]
- Nuttawit, W.; Arisara, C. Flexural vibration of imperfect functionally graded beams based on Timoshenko beam theory: Chebyshev collocation method. Meccanica 2015, 50, 1331–1342. [Google Scholar]
- Chen, D.; Yang, J.; Kitipornchai, S. Elastic buckling and static bending of shear deformable functionally graded porous beam. Compos. Struct. 2015, 133, 54–61. [Google Scholar] [CrossRef]
- Chen, D.; Yang, J.; Kitipornchai, S. Free and forced vibrations of shear deformable functionally graded porous beams. Int. J. Mech. Sci. 2016, 108, 14–22. [Google Scholar] [CrossRef]
- Chen, D.; Kitipornchai, S.; Yang, J. Nonlinear free vibration of shear deformable sandwich beam with a functionally graded porous core. Thin-Walled Struct. 2016, 107, 39–48. [Google Scholar] [CrossRef]
- Hoa, L.K.; Hoan, P.V.; Hoai, B.T.T.; Chan, D.Q. Nonlinear Buckling and Postbuckling of ES-FG Porous Cylindrical Shells Under External Pressure. In Modern Mechanics and Applications; Springer: Singapore, 2022; pp. 743–754. [Google Scholar]
- Chan, D.Q.; Hoan, P.V.; Trung, N.T.; Hoa, L.K.; Huan, D.T. Nonlinear buckling and post-buckling of imperfect FG porous sandwich cylindrical panels subjected to axial loading under various boundary conditions. Acta Mech. 2021, 232, 1163–1179. [Google Scholar] [CrossRef]
- Li, Z.; Wang, L.; Li, Y.; Feng, Y.; Feng, W. Carbon-based functional nanomaterials: Preparation, properties and applications. Compos. Sci. Technol. 2019, 179, 10–40. [Google Scholar] [CrossRef]
- Gong, L.; Young, R.J.; Kinloch, I.A.; Riaz, I.; Jalil, R.; Novoselov, K.S. Optimizing the reinforcement of polymer-based nanocomposites by graphene. ACS Nano 2012, 6, 2086–2095. [Google Scholar] [CrossRef]
- Sumio, I. Helical microtubules of graphitic carbon. Nature 1991, 354, 56–58. [Google Scholar]
- Novoselov, K.S.; Geim, A.K.; Morozov, S.V.; Jiang, D.; Zhang, Y.; Dubonos, S.V.; Grigorieva, I.V.; Firsov, A.A. Electric Field Effect in Atomically Thin Carbon Films. Science 2004, 306, 666–669. [Google Scholar] [CrossRef] [PubMed]
- Chen, D.; Yang, J.; Kitipornchai, S. Nonlinear vibration and postbuckling of functionally graded graphene reinforced porous nanocomposite beams. Compos. Sci. Technol. 2017, 142, 235–245. [Google Scholar] [CrossRef]
- Sritawat, K.; Da, C.; Jie, Y. Free vibration and elastic buckling of functionally graded porous beams reinforced by graphene platelets. Mater. Des. 2017, 116, 656–665. [Google Scholar]
- Yas, M.; Rahimi, S. Thermal buckling analysis of porous functionally graded nanocomposite beams reinforced by graphene platelets using Generalized differential quadrature method. Aerosp. Sci. Technol. 2020, 107, 106261. [Google Scholar] [CrossRef]
- Yas, M.; Rahimi, S. Thermal vibration of functionally graded porous nanocomposite beams reinforced by graphene platelets. Appl. Math. Mech. Engl. Ed. 2020, 41, 1209–1226. [Google Scholar] [CrossRef]
- Yang, J.; Chen, D.; Kitipornchai, S. Buckling and free vibration analyses of functionally graded graphene reinforced porous nanocomposite plates based on Chebyshev-Ritz method. Compos. Struct. 2018, 193, 281–294. [Google Scholar] [CrossRef]
- Teng, M.W.; Wang, Y.Q. Nonlinear forced vibration of simply supported functionally graded porous nanocomposite thin plates reinforced with graphene platelets. Thin-Walled Struct. 2021, 164, 107799. [Google Scholar] [CrossRef]
- Dong, Y.H.; He, L.W.; Wang, L.; Li, Y.H.; Yang, J. Buckling of spinning functionally graded graphene reinforced porous nanocomposite cylindrical shells: An analytical study. Aerosp. Sci. Technol. 2018, 82–83, 466–478. [Google Scholar] [CrossRef]
- Zhou, Z.; Ni, Y.; Tong, Z.; Zhu, S.; Sun, J.; Xu, X. Accurate nonlinear buckling analysis of functionally graded porous graphene platelet reinforced composite cylindrical shells. Int. J. Mech. Sci. 2019, 151, 537–550. [Google Scholar] [CrossRef]
- Yang, Z.; Wu, H.; Yang, J.; Liu, A.; Safaei, B.; Lv, J.; Fu, J. Nonlinear forced vibration and dynamic buckling of FG graphene-reinforced porous arches under impulsive loading. Thin-Walled Struct. 2022, 181, 110059. [Google Scholar] [CrossRef]
- Lakes, R.S. Cellular solid structures with unbounded thermal expansion. J. Mater. Sci. Lett. 2004, 15, 475–477. [Google Scholar] [CrossRef]
- Roberts, A.P.; Garboczi, E.J. Elastic moduli of model random three-dimensional closed-cell cellular solids. Acta Mater. 2001, 49, 189–197. [Google Scholar] [CrossRef]
- Roberts, A.P.; Garboczi, E.J. Computation of the Linear Elastic Properties of Random Porous Materials with a Wide Variety of Microstructure. Proc. Math. Phys. Eng. Sci. 2002, 458, 1033–1054. [Google Scholar] [CrossRef]
- Rafiee, M.A.; Rafiee, J.; Wang, Z.; Song, H.; Yu, Z.; Koratkar, N. Enhanced mechanical properties of nanocomposites at low graphene content. ACS Nano 2009, 3, 3884–3890. [Google Scholar] [CrossRef] [PubMed]
- Shokrieh, M.; Esmkhani, M.; Shokrieh, Z.; Zhao, Z. Stiffness prediction of graphene nanoplatelet/epoxy nanocomposites by a combined molecular dynamics - micromechanics method. Comput. Mater. Sci. 2014, 92, 444–450. [Google Scholar] [CrossRef]
- Affdl, J.C.H.; Kardos, J.L. The Halpin-Tsai equations: A review. Polym. Eng. Sci. 1976, 16, 344–352. [Google Scholar] [CrossRef]
- Guzmán De Villoria, R.; Miravete, A. Mechanical model to evaluate the effect of the dispersion in nanocomposites. Acta Mater. 2007, 55, 3025–3031. [Google Scholar] [CrossRef]
- Shu, C. Differential Quadrature and Its Application in Engineering; Springer Science and Business Media: London, UK, 2012. [Google Scholar]
- Wu, H.; Kitipornchai, S.; Yang, J. Thermo-electro-mechanical postbuckling of piezoelectric FG-CNTRC beams with geometric imperfections. Smart Mater. Struct. 2016, 25, 95022–95035. [Google Scholar] [CrossRef]
- Bert, C.W.; Wang, X.W.; Striz, A.G. Differential quadrature for static and free vibration analyses of anisotropic plates. Int. J. Solids Struct. 1993, 30, 1737–1744. [Google Scholar] [CrossRef]
- Bolotin, V. The Dynamic Stability of Elastic Systems; Holden-Day: San Francisco, CA, USA, 1962. [Google Scholar]
- Tjong, S.C. Recent progress in the development and properties of novel metal matrix nanocomposites reinforced with carbon nanotubes and graphene nanosheets. Mater. Sci. Eng. Rep. 2013, 74, 281–350. [Google Scholar] [CrossRef]
- Bakshi, S.; Lahiri, D.; Agarwal, A. Carbon nanotube reinforced metal matrix composites—A review. Int. Mater. Rev. 2010, 50, 41–64. [Google Scholar] [CrossRef]
- Jagannadham, K. Thermal Conductivity of Copper-Graphene Composite Films Synthesized by Electrochemical Deposition with Exfoliated Graphene Platelets. Metall. Mater. Trans. Process. Metall. Mater. Process. Sci. 2011, 43, 316–324. [Google Scholar] [CrossRef]
- Wu, H.; Yang, J.; Kitipornchai, S. Dynamic instability of functionally graded multilayer graphene nanocomposite beams in thermal environment. Compos. Struct. 2017, 162, 244–254. [Google Scholar] [CrossRef]



















| n | |||||||||
|---|---|---|---|---|---|---|---|---|---|
| Ref. [25] | Present | Ref. [25] | Present | Ref. [25] | Present | Ref. [25] | Present | ||
| 1 wt.% | 2 | 0.3376 | 0.3376 | 0.3217 | 0.3217 | 0.3042 | 0.3042 | 0.2845 | 0.2845 | 
| 6 | 0.4390 | 0.4390 | 0.4336 | 0.4336 | 0.4289 | 0.4289 | 0.4259 | 0.4259 | |
| 10 | 0.4464 | 0.4464 | 0.4421 | 0.4421 | 0.4388 | 0.4388 | 0.4372 | 0.4372 | |
| 14 | 0.4484 | 0.4484 | 0.4444 | 0.4444 | 0.4415 | 0.4415 | 0.4403 | 0.4403 | |
| 18 | 0.4492 | 0.4492 | 0.4454 | 0.4454 | 0.4426 | 0.4426 | 0.4416 | 0.4416 | |
| 10,000 | 0.4505 | 0.4505 | 0.4468 | 0.4468 | 0.4442 | 0.4442 | 0.4436 | 0.4436 | |
| 0 wt.% | 14 | 0.3159 | 0.3159 | 0.3134 | 0.3134 | 0.3121 | 0.3121 | 0.3128 | 0.3128 | 
| 10,000 | 0.3167 | 0.3167 | 0.3144 | 0.3144 | 0.3132 | 0.3132 | 0.3142 | 0.3142 | |
| n | |||||||||
|---|---|---|---|---|---|---|---|---|---|
| Ref. [25] | Present | Ref. [25] | Present | Ref. [25] | Present | Ref. [25] | Present | ||
| 1 wt.% | 2 | 0.008550 | 0.008550 | 0.007218 | 0.007219 | 0.005917 | 0.005918 | 0.004647 | 0.004647 | 
| 6 | 0.014323 | 0.014324 | 0.013057 | 0.013058 | 0.011784 | 0.011784 | 0.010486 | 0.010486 | |
| 10 | 0.014798 | 0.014798 | 0.013572 | 0.013573 | 0.012333 | 0.012334 | 0.011063 | 0.011063 | |
| 14 | 0.014929 | 0.014929 | 0.013714 | 0.013715 | 0.012486 | 0.012486 | 0.011224 | 0.011224 | |
| 18 | 0.014982 | 0.014983 | 0.013773 | 0.013774 | 0.012549 | 0.012549 | 0.011290 | 0.011290 | |
| 10,000 | 0.015065 | 0.015066 | 0.013863 | 0.013864 | 0.012645 | 0.012646 | 0.011392 | 0.011392 | |
| 0 wt.% | 14 | 0.007946 | 0.007947 | 0.007316 | 0.007316 | 0.006693 | 0.006693 | 0.006076 | 0.006076 | 
| 10,000 | 0.007986 | 0.007986 | 0.007362 | 0.007362 | 0.006745 | 0.006746 | 0.006135 | 0.006135 | |
| n | |||||||||||||
|---|---|---|---|---|---|---|---|---|---|---|---|---|---|
| DQM | TSPM | Error | DQM | TSPM | Error | DQM | TSPM | Error | DQM | TSPM | Error | ||
| 1 wt.% | 2 | 97.7638 | 97.7646 | 0.0008% | 97.5424 | 97.5433 | 0.0009% | 97.2608 | 97.2616 | 0.0008% | 96.8839 | 96.8847 | 0.0008% | 
| 6 | 162.4627 | 162.4641 | 0.0009% | 170.1854 | 170.1868 | 0.0008% | 179.9406 | 179.9421 | 0.0008% | 192.7597 | 192.7613 | 0.0008% | |
| 10 | 167.7434 | 167.7448 | 0.0008% | 176.4998 | 176.5012 | 0.0008% | 187.5116 | 187.5131 | 0.0008% | 201.8757 | 201.8774 | 0.0008% | |
| 14 | 169.1999 | 169.2013 | 0.0008% | 178.2459 | 178.2474 | 0.0008% | 189.6084 | 189.6100 | 0.0008% | 204.4014 | 204.4031 | 0.0008% | |
| 18 | 169.7995 | 169.8009 | 0.0008% | 178.9652 | 178.9667 | 0.0008% | 190.4726 | 190.4742 | 0.0008% | 205.4423 | 205.4440 | 0.0008% | |
| 1000 | 170.7175 | 170.7189 | 0.0008% | 180.0671 | 180.0686 | 0.0008% | 191.7968 | 191.7984 | 0.0008% | 207.0375 | 207.0392 | 0.0008% | |
| 0 wt.% | 14 | 119.4444 | 119.4454 | 0.0008% | 127.2565 | 127.2576 | 0.0009% | 137.5587 | 137.5598 | 0.0008% | 151.8699 | 151.8712 | 0.0008% | 
| 1000 | 120.0523 | 120.0533 | 0.0008% | 128.0345 | 128.0356 | 0.0009% | 138.5566 | 138.5578 | 0.0009% | 153.1614 | 153.1627 | 0.0008% | |
| n | |||||||||||||
|---|---|---|---|---|---|---|---|---|---|---|---|---|---|
| DQM | TSPM | Error | DQM | TSPM | Error | DQM | TSPM | Error | DQM | TSPM | Error | ||
| 1 wt.% | 2 | 0.1053 | 0.1051 | 0.1899% | 0.1002 | 0.1000 | 0.1996% | 0.0946 | 0.0944 | 0.2114% | 0.0882 | 0.0881 | 0.1134% | 
| 6 | 0.1639 | 0.1636 | 0.1830% | 0.1636 | 0.1633 | 0.1834% | 0.1638 | 0.1635 | 0.1832% | 0.1649 | 0.1645 | 0.2426% | |
| 10 | 0.1679 | 0.1676 | 0.1787% | 0.1682 | 0.1678 | 0.2378% | 0.1690 | 0.1686 | 0.2367% | 0.1707 | 0.1704 | 0.1757% | |
| 14 | 0.1690 | 0.1687 | 0.1775% | 0.1694 | 0.1691 | 0.1771% | 0.1704 | 0.1700 | 0.2347% | 0.1723 | 0.1720 | 0.1741% | |
| 18 | 0.1695 | 0.1691 | 0.2360% | 0.1699 | 0.1696 | 0.1766% | 0.1710 | 0.1706 | 0.2339% | 0.1730 | 0.1726 | 0.2312% | |
| 1000 | 0.1702 | 0.1698 | 0.2350% | 0.1707 | 0.1703 | 0.2343% | 0.1718 | 0.1715 | 0.1746% | 0.1740 | 0.1736 | 0.2299% | |
| 0 wt.% | 14 | 0.1078 | 0.1076 | 0.1855% | 0.1094 | 0.1092 | 0.1828% | 0.1117 | 0.1114 | 0.2686% | 0.1151 | 0.1148 | 0.2606% | 
| 1000 | 0.1083 | 0.1081 | 0.1847% | 0.1100 | 0.1097 | 0.2727% | 0.1123 | 0.1121 | 0.1781% | 0.1158 | 0.1156 | 0.1727% | |
| BC | |||||
|---|---|---|---|---|---|
| C-C | 2730.8457 | 1316.1778 | 762.8928 | 495.2309 | 346.6018 | 
| C-H | 1487.9949 | 693.6980 | 397.0135 | 256.1591 | 178.6797 | 
| H-H | 762.8528 | 346.5832 | 196.4819 | 126.2065 | 87.8172 | 
| Multilayer Beam | 1A | 2A | 3A | 1B | 2B | 3B | 1C | 2C | 3C | 
|---|---|---|---|---|---|---|---|---|---|
| 0.4264 | 0.3863 | 0.3863 | 0.3748 | 0.3318 | 0.3389 | 0.3829 | 0.3452 | 0.3441 | |
| 0.3668 | 0.3314 | 0.3314 | 0.3213 | 0.2830 | 0.2896 | 0.3283 | 0.2949 | 0.2941 | |
| 0.2939 | 0.2641 | 0.2641 | 0.2556 | 0.2227 | 0.2287 | 0.2613 | 0.2329 | 0.2323 | 
| Publisher’s Note: MDPI stays neutral with regard to jurisdictional claims in published maps and institutional affiliations. | 
© 2022 by the authors. Licensee MDPI, Basel, Switzerland. This article is an open access article distributed under the terms and conditions of the Creative Commons Attribution (CC BY) license (https://creativecommons.org/licenses/by/4.0/).
Share and Cite
Zhang, J.; Lv, Y.; Li, L. Dynamic Instability of Functionally Graded Graphene Platelet-Reinforced Porous Beams on an Elastic Foundation in a Thermal Environment. Nanomaterials 2022, 12, 4098. https://doi.org/10.3390/nano12224098
Zhang J, Lv Y, Li L. Dynamic Instability of Functionally Graded Graphene Platelet-Reinforced Porous Beams on an Elastic Foundation in a Thermal Environment. Nanomaterials. 2022; 12(22):4098. https://doi.org/10.3390/nano12224098
Chicago/Turabian StyleZhang, Jing, Ying Lv, and Lianhe Li. 2022. "Dynamic Instability of Functionally Graded Graphene Platelet-Reinforced Porous Beams on an Elastic Foundation in a Thermal Environment" Nanomaterials 12, no. 22: 4098. https://doi.org/10.3390/nano12224098
APA StyleZhang, J., Lv, Y., & Li, L. (2022). Dynamic Instability of Functionally Graded Graphene Platelet-Reinforced Porous Beams on an Elastic Foundation in a Thermal Environment. Nanomaterials, 12(22), 4098. https://doi.org/10.3390/nano12224098
 
        


 
       