MnCo2O4/NiCo2O4/rGO as a Catalyst Based on Binary Transition Metal Oxide for the Methanol Oxidation Reaction
Abstract
1. Introduction
2. Materials and Methods
2.1. Synthesis and Characterization
2.1.1. Synthesis of MnCo on a Nickel Foam Substrate
2.1.2. Synthesis of MnCo2O4/NiCo2O4
2.1.3. Synthesis of MnCo2O4/NiCo2O4/rGO
3. Results and Discussion
3.1. Characterizations
3.2. Electrochemical Studies
3.2.1. Electrode Preparation
3.2.2. Electrochemical Investigation of Catalysts for Methanol Oxidation
The Effect of Methanol Concentration on MOR Process by MN and MNR
Investigation of the Effect of Scan Rates on MOR Process by MN and MNR
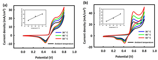
Investigation of the Effect of Temperature on the MOR Process by MN and MNR
MN and MNR Stability Evaluation in MOR Process at Optimal Scan Rate and Concentration
4. Conclusions
Author Contributions
Funding
Data Availability Statement
Conflicts of Interest
References
- Askari, M.B.; Rozati, S.M.; Di Bartolomeo, A. Fabrication of Mn3O4-CeO2-rGO as Nanocatalyst for Electro-Oxidation of Methanol. Nanomaterials 2022, 12, 1187. [Google Scholar] [CrossRef] [PubMed]
- Razmjoo, A.; Kaigutha, L.G.; Rad, M.V.; Marzband, M.; Davarpanah, A.; Denai, M. A Technical analysis investigating energy sustainability utilizing reliable renewable energy sources to reduce CO2 emissions in a high potential area. Renew. Energy 2021, 164, 46–57. [Google Scholar] [CrossRef]
- Feng, S.; Chen, J.; Ma, L.; Wu, J.; Lin, J.; Liao, J.; Lu, X.; Yan, X.; Zeng, S.; Xi, Y. Hierarchical nanoarchitecture of vanadium disulfide decorated 3D porous carbon skeleton with improved electrochemical performance toward Li ion battery and supercapacitor. Ceram. Int. 2022, 48, 20020–20032. [Google Scholar] [CrossRef]
- Mehtab, T.; Yasin, G.; Arif, M.; Shakeel, M.; Korai, R.M.; Nadeem, M.; Muhammad, N.; Lu, X. Metal-organic frameworks for energy storage devices: Batteries and supercapacitors. J. Energy Storage 2019, 21, 632–646. [Google Scholar] [CrossRef]
- Shaygan, M.; Ehyaei, M.; Ahmadi, A.; Assad, M.E.H.; Silveira, J.L. Energy, exergy, advanced exergy and economic analyses of hybrid polymer electrolyte membrane (PEM) fuel cell and photovoltaic cells to produce hydrogen and electricity. J. Clean. Prod. 2019, 234, 1082–1093. [Google Scholar] [CrossRef]
- Askari, M.B.; Salarizadeh, P. Binary nickel ferrite oxide (NiFe2O4) nanoparticles coated on reduced graphene oxide as stable and high-performance asymmetric supercapacitor electrode material. Int. J. Hydrog. Energy 2020, 45, 27482–27491. [Google Scholar] [CrossRef]
- Siwal, S.S.; Thakur, S.; Zhang, Q.; Thakur, V.K. Electrocatalysts for electrooxidation of direct alcohol fuel cell: Chemistry and applications. Mater. Today Chem. 2019, 14, 100182. [Google Scholar] [CrossRef]
- Ozoemena, K.I.; Musa, S.; Modise, R.; Ipadeola, A.K.; Gaolatlhe, L.; Peteni, S.; Kabongo, G. Fuel cell-based breath-alcohol sensors: Innovation-hungry old electrochemistry. Curr. Opin. Electrochem. 2018, 10, 82–87. [Google Scholar] [CrossRef]
- Askari, M.B.; Salarizadeh, P.; Beheshti-Marnani, A.; Di Bartolomeo, A. NiO-Co3O4-rGO as an Efficient Electrode Material for Supercapacitors and Direct Alcoholic Fuel Cells. Adv. Mater. Interfaces 2021, 8, 2100149. [Google Scholar] [CrossRef]
- Liu, F.; Yang, X.; Dang, D.; Tian, X. Engineering of hierarchical and three-dimensional architectures constructed by titanium nitride nanowire assemblies for efficient electrocatalysis. ChemElectroChem 2019, 6, 2208–2214. [Google Scholar] [CrossRef]
- Wang, P.; Cui, H.; Wang, C. Ultrathin PtMo-CeOx hybrid nanowire assemblies as high-performance multifunctional catalysts for methanol oxidation, oxygen reduction and hydrogen oxidation. Chem. Eng. J. 2022, 429, 132435. [Google Scholar] [CrossRef]
- De Sá, M.; Pinto, A.; Oliveira, V. Passive direct methanol fuel cells as a sustainable alternative to batteries in hearing aid devices–An overview. Int. J. Hydrog. Energy 2022, 47, 16552–16567. [Google Scholar] [CrossRef]
- Chen, A.; Holt-Hindle, P. Platinum-based nanostructured materials: Synthesis, properties, and applications. Chem. Rev. 2010, 110, 3767–3804. [Google Scholar] [CrossRef] [PubMed]
- Jiang, Y.; Guo, Y.; Zhou, Y.; Deng, S.; Hou, L.; Niu, Y.; Jiao, T. Synergism of Multicomponent Catalysis: One-Dimensional Pt-Rh-Pd Nanochain Catalysts for Efficient Methanol Oxidation. ACS Omega 2020, 5, 14805–14813. [Google Scholar] [CrossRef]
- Zuo, Y.; Sheng, W.; Tao, W.; Li, Z. Direct methanol fuel cells system: A review of dual-role electrocatalysts for oxygen reduction and methanol oxidation. J. Mater. Sci. Technol. 2022, 114, 29–41. [Google Scholar] [CrossRef]
- Tian, H.; Wu, D.; Li, J.; Luo, J.; Jia, C.; Liu, Z.; Huang, W.; Chen, Q.; Shim, C.M.; Deng, P. Rational design ternary platinum based electrocatalysts for effective methanol oxidation reaction. J. Energy Chem. 2022, 70, 230–235. [Google Scholar] [CrossRef]
- Yuan, G.; Wang, L.; Zhang, X.; Wang, Q. Self-supported Pt nanoflakes-doped amorphous Ni (OH) 2 on Ni foam composite electrode for efficient and stable methanol oxidation. J. Colloid Interface Sci. 2019, 536, 189–195. [Google Scholar] [CrossRef]
- Tao, L.; Shi, Y.; Huang, Y.C.; Chen, R.; Zhang, Y.; Huo, J.; Zou, Y.; Yu, G.; Luo, J.; Dong, C.L. Interface engineering of Pt and CeO2 nanorods with unique interaction for methanol oxidation. Nano Energy 2018, 53, 604–612. [Google Scholar] [CrossRef]
- Zhang, X.; Ma, J.; Yan, R.; Cheng, W.; Zheng, J.; Jin, B. Pt-Ru/polyaniline/carbon nanotube composites with three-layer tubular structure for efficient methanol oxidation. J. Alloy. Compd. 2021, 867, 159017. [Google Scholar] [CrossRef]
- Ma, L.; Gan, M.; Ding, J.; Han, S.; Wei, D.; Shen, J.; Zhou, C. MOF-derived N-doped carbon coated CoP/carbon nanotube Pt-based catalyst for efficient methanol oxidation. Int. J. Hydrog. Energy 2020, 45, 15630–15641. [Google Scholar]
- Bhuvanendran, N.; Ravichandran, S.; Zhang, W.; Ma, Q.; Xu, Q.; Khotseng, L.; Su, H. Highly efficient methanol oxidation on durable PtxIr/MWCNT catalysts for direct methanol fuel cell applications. Int. J. Hydrog. Energy 2020, 45, 6447–6460. [Google Scholar] [CrossRef]
- Wang, H.; Yang, Y.; Ren, Y.; Chen, D.; Wei, J.; Wang, L.; Xie, A.; Luo, S. Electrochemical synthesis of Pt nanoparticles on ZrO2/MWCNTs hybrid with high electrocatalytic performance for methanol oxidation. J. Electroanal. Chem. 2021, 898, 115641. [Google Scholar] [CrossRef]
- Yang, C.; Jiang, Q.; Li, W.; He, H.; Yang, L.; Lu, Z.; Huang, H. Ultrafine Pt nanoparticle-decorated 3D hybrid architectures built from reduced graphene oxide and MXene nanosheets for methanol oxidation. Chem. Mater. 2019, 31, 9277–9287. [Google Scholar] [CrossRef]
- Liu, Y.; Hu, B.; Wu, S.; Wang, M.; Zhang, Z.; Cui, B.; He, L.; Du, M. Hierarchical nanocomposite electrocatalyst of bimetallic zeolitic imidazolate framework and MoS2 sheets for non-Pt methanol oxidation and water splitting. Appl. Catal. B Environ. 2019, 258, 117970. [Google Scholar] [CrossRef]
- Niu, W.; Li, L.; Liu, X.; Zhou, W.; Li, W.; Lu, J.; Chen, S. One-pot synthesis of graphene/carbon nanospheres/graphene sandwich supported Pt3Ni nanoparticles with enhanced electrocatalytic activity in methanol oxidation. Int. J. Hydrog. Energy 2015, 40, 5106–5114. [Google Scholar] [CrossRef]
- Su, S.; Zhang, C.; Yuwen, L.; Liu, X.; Wang, L.; Fan, C.; Wang, L. Uniform Au@ Pt core–shell nanodendrites supported on molybdenum disulfide nanosheets for the methanol oxidation reaction. Nanoscale 2016, 8, 602–608. [Google Scholar] [CrossRef]
- Tang, B.; Lv, Y.; Du, J.; Dai, Y.; Pan, S.; Xie, Y.; Zou, J. MoS2-coated Ni3S2 nanorods with exposed {110} high-index facets as excellent CO-tolerant cocatalysts for Pt: Ultradurable catalytic activity for methanol oxidation. ACS Sustain. Chem. Eng. 2019, 7, 11101–11109. [Google Scholar] [CrossRef]
- Zhou, Q.; Pan, Z.; Wu, D.; Hu, G.; Wu, S.; Chen, C.; Lin, L.; Lin, Y. Pt-CeO2/TiN NTs derived from metal organic frameworks as high-performance electrocatalyst for methanol electrooxidation. Int. J. Hydrog. Energy 2019, 44, 10646–10652. [Google Scholar] [CrossRef]
- Yu, F.; Xie, Y.; Tang, H.; Yang, N.; Meng, X.; Wang, X.; Tian, X.L.; Yang, X. Platinum decorated hierarchical porous structures composed of ultrathin titanium nitride nanoflakes for efficient methanol oxidation reaction. Electrochim. Acta 2018, 264, 216–224. [Google Scholar] [CrossRef]
- Askari, M.B.; Salarizadeh, P.; Di Bartolomeo, A.; Beitollahi, H.; Tajik, S. Hierarchical nanostructures of MgCo2O4 on reduced graphene oxide as a high-performance catalyst for methanol electro-oxidation. Ceram. Int. 2021, 47, 16079–16085. [Google Scholar] [CrossRef]
- Li, Z.; Li, B.; Chen, J.; Pang, Q.; Shen, P. Spinel NiCo2O4 3-D nanoflowers supported on graphene nanosheets as efficient electrocatalyst for oxygen evolution reaction. Int. J. Hydrog. Energy 2019, 44, 16120–16137. [Google Scholar] [CrossRef]
- Askari, M.B.; Rozati, S.M. Construction of Co3O4-Ni3S4-rGO ternary hybrid as an efficient nanoelectrocatalyst for methanol and ethanol oxidation in alkaline media. J. Alloy. Compd. 2022, 900, 163408. [Google Scholar] [CrossRef]
- Askari, M.B.; Beheshti-Marnani, A.; Seifi, M.; Rozati, S.M.; Salarizadeh, P. Fe3O4@ MoS2/RGO as an effective nano-electrocatalyst toward electrochemical hydrogen evolution reaction and methanol oxidation in two settings for fuel cell application. J. Colloid Interface Sci. 2019, 537, 186–196. [Google Scholar] [CrossRef] [PubMed]
- Baruah, B.; Kumar, A. PEDOT: PSS/MnO2/rGO ternary nanocomposite based anode catalyst for enhanced electrocatalytic activity of methanol oxidation for direct methanol fuel cell. Synth. Met. 2018, 245, 74–86. [Google Scholar] [CrossRef]
- Askari, M.B.; Salarizadeh, P.; Seifi, M.; Rozati, S.M. Ni/NiO coated on multi-walled carbon nanotubes as a promising electrode for methanol electro-oxidation reaction in direct methanol fuel cell. Solid State Sci. 2019, 97, 106012. [Google Scholar] [CrossRef]
- Wei, Z.; Guo, J.; Qu, M.; Guo, Z.; Zhang, H. Honeycombed-like nanosheet array composite NiCo2O4/rGO for efficient methanol electrooxidation and supercapacitors. Electrochim. Acta 2020, 362, 137145. [Google Scholar] [CrossRef]
- Askari, M.B.; Rozati, S.M.; Salarizadeh, P.; Saeidfirozeh, H.; Di Bartolomeo, A. A remarkable three-component RuO2-MnCo2O4/rGO nanocatalyst towards methanol electrooxidation. Int. J. Hydrog. Energy 2021, 46, 36792–36800. [Google Scholar] [CrossRef]
- Salarizadeh, P.; Askari, M.B.; Di Bartolomeo, A. MoS2/Ni3S2/Reduced graphene oxide nanostructure as an electrocatalyst for alcohol fuel cells. ACS Appl. Nano Mater. 2022, 5, 3361–3373. [Google Scholar] [CrossRef]
- Moghadam, M.T.T.; Seifi, M.; Askari, M.B.; Azizi, S. ZnO-MWCNT@Fe3O4 as a novel catalyst for methanol and ethanol oxidation. J. Phys. Chem. Solids 2022, 165, 110688. [Google Scholar] [CrossRef]
- Ling, T.; Zhang, T.; Ge, B.; Han, L.; Zheng, L.; Lin, F.; Xu, Z.; Hu, W.B.; Du, X.W.; Davey, K. Well-dispersed nickel-and zinc-tailored electronic structure of a transition metal oxide for highly active alkaline hydrogen evolution reaction. Adv. Mater. 2019, 31, 1807771. [Google Scholar] [CrossRef]
- Li, Z.; Ye, L.; Lei, F.; Wang, Y.; Xu, S.; Lin, S. Enhanced electro-photo synergistic catalysis of Pt (Pd)/ZnO/graphene composite for methanol oxidation under visible light irradiation. Electrochim. Acta 2016, 188, 450–460. [Google Scholar] [CrossRef]
- Zaman, S.; Huang, L.; Douka, A.I.; Yang, H.; You, B.; Xia, B.Y. Oxygen reduction electrocatalysts toward practical fuel cells: Progress and perspectives. Angew. Chem. 2021, 133, 17976–17996. [Google Scholar] [CrossRef]
- Tariq, I.; Asghar, M.A.; Ali, A.; Badshah, A.; Abbas, S.M.; Iqbal, W.; Zubair, M.; Haider, A.; Zaman, S. Surface Reconstruction of Cobalt-Based Polyoxometalate and CNT Fiber Composite for Efficient Oxygen Evolution Reaction. Catalysts 2022, 12, 1242. [Google Scholar] [CrossRef]
- Li, Z.; Xu, S.; Xie, Y.; Wang, Y.; Lin, S. Promotional effects of trace Bi on its highly catalytic activity for methanol oxidation of hollow Pt/graphene catalyst. Electrochim. Acta 2018, 264, 53–60. [Google Scholar] [CrossRef]
- Zaman, S.; Su, Y.Q.; Dong, C.L.; Qi, R.; Huang, L.; Qin, Y.; Huang, Y.C.; Li, F.M.; You, B.; Guoet, W.; et al. Scalable Molten Salt Synthesis of Platinum Alloys Planted in Metal–Nitrogen–Graphene for Efficient Oxygen Reduction. Angew. Chem. 2022, 134, e202115835. [Google Scholar] [CrossRef]
- Kong, X.; Zhu, T.; Cheng, F.; Zhu, M.; Cao, X.; Liang, S.; Cao, G.; Pan, A. Uniform MnCo2O4 porous dumbbells for lithium-ion batteries and oxygen evolution reactions. ACS Appl. Mater. Interfaces 2018, 10, 8730–8738. [Google Scholar] [CrossRef]
- Han, B.; Song, J.; Liang, S.; Chen, W.; Deng, H.; Ou, X.; Xu, Y.J.; Lin, Z. Hierarchical NiCo2O4 hollow nanocages for photoreduction of diluted CO2: Adsorption and active sites engineering. Appl. Catal. B Environ. 2020, 260, 118208. [Google Scholar] [CrossRef]
- Agrawal, P.R.; Kumar, R.; Teotia, S.; Kumari, S.; Mondal, D.; Dhakate, S.R. Lightweight, high electrical and thermal conducting carbon-rGO composites foam for superior electromagnetic interference shielding. Compos. Part B Eng. 2019, 160, 131–139. [Google Scholar] [CrossRef]
- Jeevitha, G.; Abhinayaa, R.; Mangalaraj, D.; Ponpandian, N.; Meena, P.; Mounasamy, V.; Madanagurusamy, S. Porous reduced graphene oxide (rGO)/WO3 nanocomposites for the enhanced detection of NH 3 at room temperature. Nanoscale Adv. 2019, 1, 1799–1811. [Google Scholar] [CrossRef]
- Mehta, S.S.; Nadargi, D.Y.; Tamboli, M.S.; Alshahrani, T.; Minnam Reddy, V.R.; Kim, E.S.; Mulla, I.S.; Park, C.; Suryavanshi, S.S. RGO/WO3 hierarchical architectures for improved H2S sensing and highly efficient solar-driving photo-degradation of RhB dye. Sci. Rep. 2021, 11, 1–17. [Google Scholar] [CrossRef]
- Sekar, K.; Raji, G.; Tong, L.; Zhu, Y.; Liu, S.; Xing, R. Boosting the electrochemical performance of MoS2 nanospheres-N-doped-GQDs-rGO three-dimensional nanostructure for energy storage and conversion applications. Appl. Surf. Sci. 2020, 504, 144441. [Google Scholar] [CrossRef]
- Umeshbabu, E.; Rao, G.R. NiCo2O4 hexagonal nanoplates anchored on reduced graphene oxide sheets with enhanced electrocatalytic activity and stability for methanol and water oxidation. Electrochim. Acta 2016, 213, 717–729. [Google Scholar] [CrossRef]
- Noor, T.; Zaman, N.; Nasir, H.; Iqbal, N.; Hussain, Z. Electro catalytic study of NiO-MOF/rGO composites for methanol oxidation reaction. Electrochim. Acta 2019, 307, 1–12. [Google Scholar] [CrossRef]
- Padmanathan, N.; Shao, H.; Selladurai, S.; Glynn, C.; O’Dwyer, C.; Razeeb, K.M. Pseudocapacitance of α-CoMoO4 nanoflakes in non-aqueous electrolyte and its bi-functional electro catalytic activity for methanol oxidation. Int. J. Hydrog. Energy 2015, 40, 16297–16305. [Google Scholar] [CrossRef]
- El-Deeb, M.M.; El Rouby, W.M.; Abdelwahab, A.; Farghali, A.A. Effect of pore geometry on the electrocatalytic performance of nickel cobaltite/carbon xerogel nanocomposite for methanol oxidation. Electrochim. Acta 2018, 259, 77–85. [Google Scholar] [CrossRef]
- Noor, T.; Mohtashim, M.; Iqbal, N.; Naqvi, S.R.; Zaman, N.; Rasheed, L.; Yousuf, M. Graphene based FeO/NiO MOF composites for methanol oxidation reaction. J. Electroanal. Chem. 2021, 890, 115249. [Google Scholar] [CrossRef]
- Jothi, P.R.; Kannan, S.; Velayutham, G. Enhanced methanol electro-oxidation over in-situ carbon and graphene supported one dimensional NiMoO4 nanorods. J. Power Sources 2015, 277, 350–359. [Google Scholar] [CrossRef]
- Rebekah, A.; Anantharaj, S.; Viswanthan, C.; Ponpandian, N. Zn-substituted MnCo2O4 nanostructure anchored over rGO for boosting the electrocatalytic performance towards methanol oxidation and oxygen evolution reaction (OER). Int. J. Hydrog. Energy 2020, 45, 14713–14727. [Google Scholar] [CrossRef]
- Askari, N.; Askari, M.B.; Di Bartolomeo, A. Electrochemical Alcohol Oxidation and Biological Properties of Mn3O4-Co3O4-rGO. J. Electrochem. Soc. 2022, 169, 106511. [Google Scholar] [CrossRef]








| Electrode Material | Current Collector | Methanol Concentration (M) | Scan Rate (mV s−1) | Anodic Potential (V) | Peak Current Density (mA cm−2) | Ref. |
|---|---|---|---|---|---|---|
| NiCo2O4/rGo | GCE | 0.1 M KOH/0.5 M Methanol | 50 | 0.256 | 16.6 | [52] |
| NiO-MOF/rGO | GCE | 1 M NaOH/3 M Methanol | 50 | 0.8 | 275.85 | [53] |
| α-CoMoO4 nanoflakes | Carbon cloth | 1 M KOH/0.5 M Methanol | 50 | 0.8 | 25 | [54] |
| NiCo2O4/carbon xerogel | GCE | 0.5 M NaOH/0.5 M Methanol | 50 | 0.29 | 98 | [55] |
| FeO/NiO MOF | GCE | 1 M NaOH/3 M Methanol | 50 | 0.85 | 486.14 | [56] |
| NiMoO4/C | Carbon paper | 1 M KOH/2 M Methanol | 50 | 0.45 | 49 | [57] |
| Zn1−xMnxCo2O4/rGO with x = 0.4 | GCE | 1 M KOH/0.5 M Methanol | 50 | 0.6 | 142.3 | [58] |
| Mn3O4-Co3O4-rGO | GCE | 1 M KOH/1 M Methanol | 100 | 0.48 | 16.5 | [59] |
| Mn3O4-CeO2-rGO | GCE | 1 M KOH/0.8 M Methanol | 90 | 0.51 | 17.7 | [1] |
| MNR | Nickel Foam | 2 M KOH/2 M Methanol | 20 | 0.58 | 24.76 | This work |
Publisher’s Note: MDPI stays neutral with regard to jurisdictional claims in published maps and institutional affiliations. |
© 2022 by the authors. Licensee MDPI, Basel, Switzerland. This article is an open access article distributed under the terms and conditions of the Creative Commons Attribution (CC BY) license (https://creativecommons.org/licenses/by/4.0/).
Share and Cite
Askari, M.B.; Azizi, S.; Moghadam, M.T.T.; Seifi, M.; Rozati, S.M.; Di Bartolomeo, A. MnCo2O4/NiCo2O4/rGO as a Catalyst Based on Binary Transition Metal Oxide for the Methanol Oxidation Reaction. Nanomaterials 2022, 12, 4072. https://doi.org/10.3390/nano12224072
Askari MB, Azizi S, Moghadam MTT, Seifi M, Rozati SM, Di Bartolomeo A. MnCo2O4/NiCo2O4/rGO as a Catalyst Based on Binary Transition Metal Oxide for the Methanol Oxidation Reaction. Nanomaterials. 2022; 12(22):4072. https://doi.org/10.3390/nano12224072
Chicago/Turabian StyleAskari, Mohammad Bagher, Sadegh Azizi, Mohammad Taghi Tourchi Moghadam, Majid Seifi, Seyed Mohammad Rozati, and Antonio Di Bartolomeo. 2022. "MnCo2O4/NiCo2O4/rGO as a Catalyst Based on Binary Transition Metal Oxide for the Methanol Oxidation Reaction" Nanomaterials 12, no. 22: 4072. https://doi.org/10.3390/nano12224072
APA StyleAskari, M. B., Azizi, S., Moghadam, M. T. T., Seifi, M., Rozati, S. M., & Di Bartolomeo, A. (2022). MnCo2O4/NiCo2O4/rGO as a Catalyst Based on Binary Transition Metal Oxide for the Methanol Oxidation Reaction. Nanomaterials, 12(22), 4072. https://doi.org/10.3390/nano12224072

