Geometrical Parameter Effect on Plasmonic Scattering of Bimetallic Three-Layered Nanoshells
Abstract
:1. Introduction
2. Calculation Model and Theoretical Method
3. Numerical Results and Discussion
3.1. The Effect of Inner Core Radius on Scattering Efficiency
3.2. The Effect of Separated Dielectric Layer Thickness on Scattering Efficiency
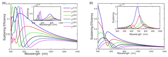
3.3. The Effect of Middle Dielectric Function on Scattering Efficiency
3.4. The Effect of Surrounding Dielectric Function on Scattering Efficiency
3.5. The Local Electric Field Intensity Distribution of Gold–Dielectric–Silver Nanoshells
4. Conclusions
Author Contributions
Funding
Institutional Review Board Statement
Informed Consent Statement
Data Availability Statement
Conflicts of Interest
References
- Ding, S.J.; Ma, L.; Feng, J.R.; Chen, Y.L.; Yang, D.J.; Wang, Q.Q. Surface-roughness-adjustable Au nanorods with strong plasmon absorption and abundant hotspots for improved SERS and photothermal performances. Nano Res. 2022, 15, 2715–2721. [Google Scholar] [CrossRef]
- Li, Q.J.; Wang, J.G.; Ding, Q.J.; Chen, M.D.; Ma, F.C. Coupling effect on charge-transfer mechanism of surface-enhanced resonance Raman scattering. J. Raman Spectrosc. 2017, 48, 560–569. [Google Scholar] [CrossRef]
- Li, Q.; Shi, Z.H.; Wu, L.J.; Wei, H. Resonance scattering-enhanced photothermal microscopy. Nanoscale 2020, 12, 8397–8403. [Google Scholar] [CrossRef] [PubMed]
- Maier, S.A. Plasmonics: Fundamentals and Application; Springer: Berlin, Germany, 2007. [Google Scholar]
- Zhao, F.; Wang, X.; Zhang, Y.; Lu, X. In situmonitoring of silver adsorption on assembled gold nanorods by surface-enhanced Raman scattering application. Nanotechnology 2020, 31, 295601. [Google Scholar] [CrossRef] [PubMed]
- Zhu, J.; Li, X.; Li, J.J.; Zhao, J.W. Enlarge the biologic coating-induced absorbance enhancement of Au-Ag bimetallic nanoshells by tuning the metal composition. Spectrochim. Acta-Part A 2018, 189, 571–577. [Google Scholar] [CrossRef]
- Qi, Y.; Shu, C.C.; Dong, D.; Petersen, I.R.; Jacobs, K.; Gong, S.Q. Fast quantum state transfer in hybrid quantum dot-metal nanoparticle systems by shaping ultrafast laser pulses. J. Phys. D Appl. Phys. 2019, 52, 425101. [Google Scholar] [CrossRef]
- Hwang, Y.; Koo, D.J.; Ferhan, A.R.; Sut, T.N.; Yoon, B.K.; Cho, N.; Jackman, J.A. Optimizing Plasmonic Gold Nanorod Deposition on Glass Surfaces for High-Sensitivity Refractometric Biosensing. Nanomaterials 2022, 12, 3432. [Google Scholar] [CrossRef]
- Wu, Z.W.; Ma, Y.W.; Jiang, Y.Y.; Li, J.; Yin, X.C.; Zhang, L.H.; Yi, M.F. Theoretical study of optimizing the refractive index sensitivity of dielectric-metal nanotube by tuning the geometrical parameters. Opt. Commun. 2019, 449, 57–62. [Google Scholar] [CrossRef]
- Wang, X.H.; Zhang, C.Y.; Zhou, X.L.; Fu, Z.K.; Yan, L.; Li, J.P.; Zhang, Z.L.; Zheng, H.R. Plasmonic Effect of Ag/Au Composite Structures on the Material Transition. Nanomaterials 2022, 12, 2927. [Google Scholar] [CrossRef]
- Kang, H.S.; Long, M.Y.; Zhou, T.; Liu, J.C.; Duan, Y.T.; Ma, L.; Chen, X.B.; Ding, S.J.; Zhou, L. High-index facets and multidimensional hotspots in Au-decorated 24-faceted PbS for ultrasensitive and recyclable SERS substrates. J. Mater. Chem. C 2022, 10, 958–968. [Google Scholar] [CrossRef]
- Faroop, S.; Rativa, D.; Araujio, R.E. Near-Infrared Colloidal Gold Nanostructures. Plasmonics 2020, 15, 1507–1515. [Google Scholar]
- Ding, S.J.; Zhang, H.; Yang, D.J.; Qiu, Y.H.; Nan, F.; Yang, Z.J.; Wang, J.; Wang, Q.Q.; Lin, H.Q. Magnetic Plasmon-Enhanced Second-Harmonic Generation on Colloidal Gold Nanocups. Nano Lett. 2019, 19, 2005–2011. [Google Scholar] [CrossRef]
- Prodan, E.; Radbloff, C.; Halas, N.J. A hybridization model for the plasmon response of complex nanostructures. Science 2003, 302, 419–422. [Google Scholar] [CrossRef]
- Prodan, E.; Nordander, P. Plasmon hybridization in spherical nanoparticles. J. Chem. Phys. 2004, 120, 5444–5454. [Google Scholar] [CrossRef]
- Xia, X.H.; Liu, Y.; Ameer, G.A. Engineering sub-100 nm multi-layer nanoshells. Nanotechnology 2006, 17, 5435–5440. [Google Scholar] [CrossRef]
- Khosravi, H.; Daneshfar, N.; Bahari, A. Theoretical study of the light scattering from two alternating concentric double silica-gold nanoshell. Phys. Plasmas 2010, 17, 053302. [Google Scholar] [CrossRef]
- Shirzaditabar, F.; Saliminasab, M. Geometrical parameters effects on local electric field enhancement of silver-dielectric-silver multilayer nanoshell. Phys. Plasmas 2013, 20, 052109. [Google Scholar] [CrossRef]
- Shirzaditabar, F.; Saliminasab, M. Optimization of silver-dielectric-silver nanoshell for sensing applications. Phys. Plasmas 2013, 20, 668. [Google Scholar] [CrossRef]
- Campbell, S.D.; Ziolkowski, R.W. Impact of strong localization of the incident power density on the nano-amplifier characteristics of active coated nano-particles. Opt. Commun. 2012, 285, 3341–3352. [Google Scholar]
- Arslanagic, S.; Ziolkowski, R.W.; Breinbjerg, O. Analytical and numerical investigation of the radiation from concentric metamaterial spheres excited by an electric Hertzian dipole. Radio Sci. 2007, 42, RS6S16. [Google Scholar] [CrossRef]
- Campbell, S.D.; Ziolkowski, R.W. Simultaneous Excitation of Electric and Magnetic Dipole Modes in a Resonant Core-Shell Particle at Infrared Frequencies to Achieve Minimal Backscattering. IEEE J. Sel. Top. Quantum 2013, 19, 4700209. [Google Scholar] [CrossRef]
- Gordon, J.A.; Ziolkowski, R.W. The design and simulated performance of a coated nano-particle laser. Opt. Express 2007, 15, 2622–2653. [Google Scholar]
- Zouros, G.P.; Kolezas, G.D.; Almpanis, E.; Tsakmakidis, K.L. Three-Dimensional Giant Invisibility to Superscattering Enhancement Induced by Zeeman-Split Modes. ACS Photonics 2021, 8, 1407–1412. [Google Scholar] [CrossRef]
- Zouros, G.P.; Kolezas, G.D.; Almpanis, E.; Baskourelos, K.; Stefański, T.P.; Tsakmakidis, K.L. Magnetic switching of Kerker scattering in spherical microresonators. Nanophotonics 2020, 9, 4033–4041. [Google Scholar]
- Daneshfar, N. The study of scattering-to-absorption ratio in plasmonic nanoparticles for photovoltaic cells and sensor applications. Plasmonics 2021, 16, 2017–2023. [Google Scholar] [CrossRef]
- Bansal, A.; Verma, S.S. Tailoring LSPR-based absorption and scattering efficiencies of semiconductor-coated Au nanoshell. Plasmonics 2014, 9, 335–341. [Google Scholar] [CrossRef]
- Bansal, A.; Seckhon, J.S.; Verma, S.S. Scattering efficiencies and LSPR tunability of bimetallic Ag, Au and Cu nanoparticles. Plasmonics 2014, 9, 143–150. [Google Scholar] [CrossRef]
- Zhu, J.; Zhao, S.M. Improve the effective resonance light scattering of three-layered plasmonic Au@Dielectric@Ag bimetallic nanoshells. Plasmonics 2022, 17, 173–180. [Google Scholar]
- Averitt, R.D.; Westocott, S.L.; Halas, N.J. Linear optical properties of gold nanoshells. J. Opt. Soc. Am. B 1999, 16, 1824–1832. [Google Scholar]
- Jackson, J.D. Classical Electrodynamics, 3rd ed.; Wiley: Hoboken, NJ, USA, 1998. [Google Scholar]
- Bohren, C.F.; Huffman, D.R. Absorption and Scattering of Light by Small Particles; Wiley: New York, NY, USA, 2000. [Google Scholar]
- Johnson, P.B.; Christy, R.W. Optical Constants of the Noble Metals. Phys. Rev. B 1972, 12, 4370–4379. [Google Scholar] [CrossRef]
- Wu, Z.S.; Wang, Y.P. Electromagnetic scattering for multilayered sphere: Recursive algorithms. Radio Sci. 1991, 26, 1393–1401. [Google Scholar]







Publisher’s Note: MDPI stays neutral with regard to jurisdictional claims in published maps and institutional affiliations. |
© 2022 by the authors. Licensee MDPI, Basel, Switzerland. This article is an open access article distributed under the terms and conditions of the Creative Commons Attribution (CC BY) license (https://creativecommons.org/licenses/by/4.0/).
Share and Cite
Hu, J.-B.; Chen, Y.-L.; Li, J.; Ma, Y.-W.; Shu, C.-C. Geometrical Parameter Effect on Plasmonic Scattering of Bimetallic Three-Layered Nanoshells. Nanomaterials 2022, 12, 3816. https://doi.org/10.3390/nano12213816
Hu J-B, Chen Y-L, Li J, Ma Y-W, Shu C-C. Geometrical Parameter Effect on Plasmonic Scattering of Bimetallic Three-Layered Nanoshells. Nanomaterials. 2022; 12(21):3816. https://doi.org/10.3390/nano12213816
Chicago/Turabian StyleHu, Ji-Bao, Yu-Lin Chen, Juan Li, Ye-Wan Ma, and Chuan-Cun Shu. 2022. "Geometrical Parameter Effect on Plasmonic Scattering of Bimetallic Three-Layered Nanoshells" Nanomaterials 12, no. 21: 3816. https://doi.org/10.3390/nano12213816
APA StyleHu, J.-B., Chen, Y.-L., Li, J., Ma, Y.-W., & Shu, C.-C. (2022). Geometrical Parameter Effect on Plasmonic Scattering of Bimetallic Three-Layered Nanoshells. Nanomaterials, 12(21), 3816. https://doi.org/10.3390/nano12213816

