Encapsulating Metal-Organic-Framework Derived Nanocages into a Microcapsule for Shuttle Effect-Suppressive Lithium-Sulfur Batteries
Abstract
:1. Introduction
2. Results and Discussion
2.1. Structural and Microstructural Characterization
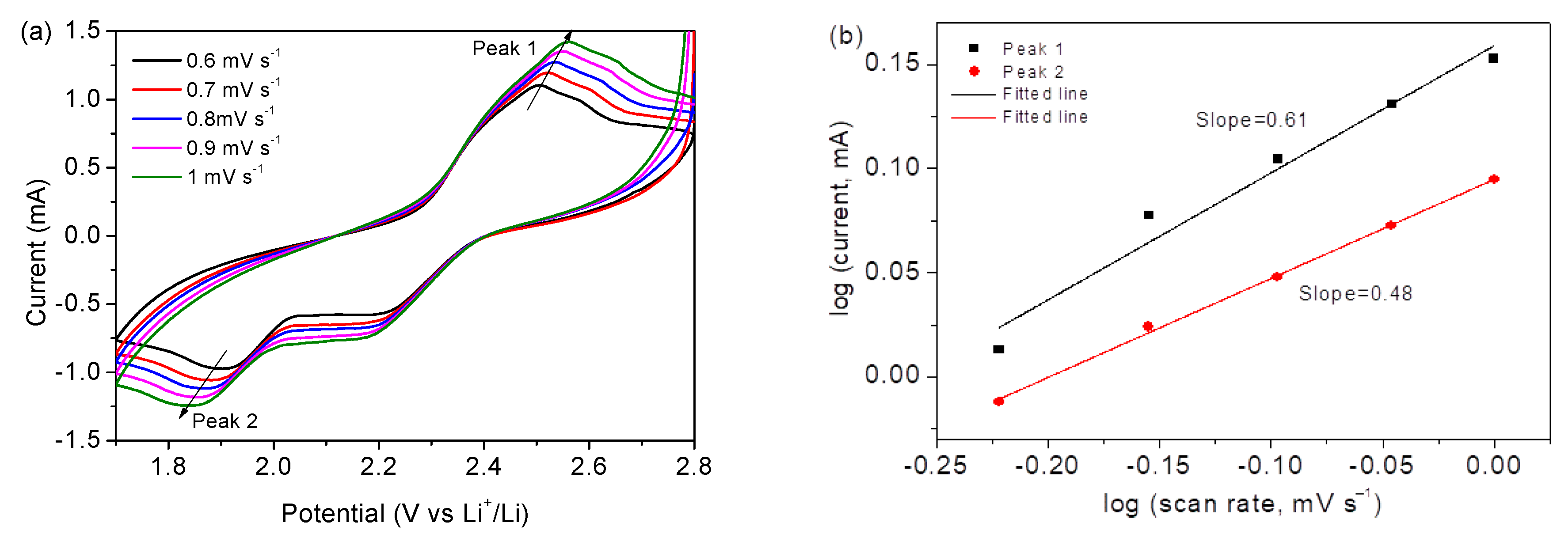
2.2. Electrochemical Characterization
2.3. DFT Calculations
3. Conclusions
Supplementary Materials
Author Contributions
Funding
Institutional Review Board Statement
Informed Consent Statement
Data Availability Statement
Conflicts of Interest
References
- Yang, J.; Wang, J.; Dong, X.; Zhu, L.; Hou, D.; Zeng, W.; Wang, J. The potential application of VS2 as an electrode material for Mg ion battery: A DFT study. Appl. Surf. Sci. 2021, 544, 148775. [Google Scholar] [CrossRef]
- Bella, F.; De Luca, S.; Fagiolari, L.; Versaci, D.; Amici, J.; Francia, C.; Bodoardo, S. An overview on anodes for magnesium batteries: Challenges towards a promising storage solution for renewables. Nanomaterials 2021, 11, 810. [Google Scholar] [CrossRef]
- Narumoto, N.; Okamoto, N.; Saito, T. Surface structure control and charge/discharge characteristics of bismuth anode materials by electrodeposition for magnesium-ion batteries. J. Mater. Sci. 2021, 32, 9990–9997. [Google Scholar]
- Shah, R.; Mittal, V.; Matsil, E.; Rosenkranz, A. Magnesium-ion batteries for electric vehicles: Current trends and future perspectives. Adv. Mech. Eng. 2021, 13, 16878140211003398. [Google Scholar] [CrossRef]
- Zhang, X.; Xie, H.; Kim, C.; Zaghib, K.; Mauger, A.; Julien, C. Advances in lithium-sulfur batteries. Sci. Eng. R 2017, 121, 1–29. [Google Scholar] [CrossRef] [Green Version]
- Zhang, W.; Li, Y.; Lv, T.; Liu, W.; Luo, Y.; Guo, R.; Pei, H.; Lai, C.; Xie, J. Ti3C2/CNTs Macroporous conductive network boosts Li4Ti5O12-TiO2 anode performance for practical Li ion and Mg ion batteries. J. Electrochem. Soc. 2021, 168, 030505. [Google Scholar] [CrossRef]
- Lin, X.; Liu, J.; Zhang, H.; Zhong, Y.; Zhu, M.; Zhou, T.; Qiao, X.; Zhang, H.; Han, T.; Li, J. General liquid-driven coaxial flow focusing preparation of novel microcapsules for rechargeable magnesium batteries. Adv. Sci. 2021, 8, 2002298. [Google Scholar] [CrossRef]
- Zuo, C.; Tang, W.; Lan, B.; Xiong, F.; Tang, H.; Dong, S.; Zhang, W.; Tang, C.; Li, J.; Ruan, Y.; et al. Unexpected discovery of magnesium-vanadium spinel oxide containing extractable Mg2+ as a high-capacity cathode material for magnesium ion batteries. Chem. Eng. J. 2021, 405, 127005. [Google Scholar] [CrossRef]
- Du, C.; Younas, W.; Wang, Z.; Yang, X.; Meng, E.; Wang, L.; Huang, J.; Ma, X.; Zhu, Y.; Cao, C. Constructing sheet-assembled hollow CuSe nanocubes to boost the rate capability of rechargeable magnesium batteries. J. Mater. Chem. A 2021, 9, 3648–3656. [Google Scholar] [CrossRef]
- Xue, X.; Chen, R.; Song, X.; Tao, A.; Yan, W.; Kong, W.; Jin, Z. Electrochemical Mg2+ displacement driven reversible copper extrusion/intrusion reactions for high-rate rechargeable magnesium batteries. Adv. Funct. Mater. 2021, 31, 2009394. [Google Scholar] [CrossRef]
- Shen, K.; Zhang, Z.; Wang, S.; Ru, Q.; Zhao, L.; Sun, L.; Hou, X.; Chen, F. Cucumber-shaped construction combining bismuth nanoparticles with carbon nanofiber networks as a binder-free and freestanding anode for Li-ion batteries. Energy Fuels 2020, 34, 8987–8992. [Google Scholar] [CrossRef]
- Tao, X.; Zhang, J.; Xia, Y.; Huang, H.; Du, J.; Xiao, H.; Zhang, W.; Gan, Y. Bio-inspired fabrication of carbon nanotiles for high performance cathode of Li–S batteries. J. Mater. Chem. A 2014, 2, 2290–2296. [Google Scholar] [CrossRef]
- Zuo, C.; Xiao, Y.; Pan, X.; Xiong, F.; Zhang, W.; Long, J.; Dong, S.; An, Q.; Luo, P. Organic-inorganic superlattices of vanadium oxide@polyaniline for high-performance magnesium-ion batteries. ChemSusChem 2021, 14, 2093–2099. [Google Scholar] [CrossRef]
- Sopha, H.; Tesfaye, A.T.; Zazpe, R.; Michalicka, J.; Dvorak, F.; Hromadko, L.; Krbal, M.; Prikryl, J.; Djenizian, T.; Macak, J.M. ALD growth of MoS2 nanosheets on TiO2 nanotube supports. FlatChem 2019, 17, 100130. [Google Scholar] [CrossRef]
- Panwar, V.; Jain, S.L. Ternary hybrid TiO2-PANI-AuNPs for photocatalytic A3-coupling of aldehydes, amines and alkynes: First photochemical synthesis of propargyl amines. Mater. Sci. Eng. C 2019, 99, 191–201. [Google Scholar] [CrossRef] [PubMed]
- Wang, S.; Liu, F.; Gao, C.; Wan, T.; Wang, L.; Wang, L.; Wang, L. Enhancement of the thermoelectric property of nanostructured polyaniline/carbon nanotube composites by introducing pyrrole unit onto polyaniline backbone via a sustainable method. Chem. Eng. J. 2019, 370, 322–329. [Google Scholar] [CrossRef]
- Chen, Y.; Ji, X. Bamboo-like Co3O4 nanofiber as host materials for enhanced lithium-sulfur battery performance. J. Alloys Compd. 2019, 777, 688–692. [Google Scholar] [CrossRef]
- Bosubabu, D.; Sivaraj, J.; Gurunathan, P.; Ramesha, K. Hollow Co3O4 microspheres grafted with nitrogen-doped carbon nanotubes as efficient sulfur host for high performing lithium-sulfur batteries. Energy Fuels 2020, 34, 16810–16818. [Google Scholar] [CrossRef]
- Wang, P.; Zeng, R.; You, L.; Tang, H.; Zhong, J.; Wang, S.; Yang, T. Graphene-like matrix composites with Fe2O3 and Co3O4 as cathode materials for lithium-sulfur batteries. ACS Appl. Nano Mater. 2020, 3, 1382–1390. [Google Scholar] [CrossRef]
- Saroha, R.; Oh, J.H.; Lee, J.S.; Kang, Y.C.; Jeong, S.M.; Kang, D.W.; Cho, C.; Cho, J.S. Hierarchically porous nanofibers comprising multiple core-shell Co3O4@graphitic carbon nanoparticles grafted within N-doped CNTs as functional interlayers for excellent Li-S batteries. Chem. Eng. J. 2021, 426, 130805. [Google Scholar] [CrossRef]
- Wang, S.; Hou, X.; Zhong, Z.; Shen, K.; Zhang, G.; Yao, L.; Chen, F. Co3O4-NP embedded mesoporous carbon rod with enhanced electrocatalytic conversion in lithium-sulfur battery. Sci. Rep. 2018, 8, 16133. [Google Scholar] [CrossRef] [Green Version]
- Xu, J.; Su, D.; Wang, G. Co3O4-carbon cloth free standing cathode for lithium sulfur battery. IOP Conf. Ser. Mater. Sci. Eng. 2017, 222, 012013. [Google Scholar] [CrossRef] [Green Version]
- Cheng, H.; Wang, S.; Tao, D.; Wang, M. Sulfur/Co3O4 nanotube composite with high performances as cathode materials for lithium sulfur batteries. Funct. Mater. Lett. 2014, 7, 1450020. [Google Scholar] [CrossRef]
- Zhang, K.; Xu, Y.; Lu, Y.; Zhu, Y.; Qian, Y.; Wang, D.; Zhou, J.; Lin, N.; Qian, Y. A graphene oxide-wrapped bipyramidal sulfur@polyaniline core–shell structure as a cathode for Li–S batteries with enhanced electrochemical performance. J. Mater. Chem. A 2016, 4, 6404–6410. [Google Scholar] [CrossRef]
- Ali, M.; Guzman, R.C.; Cojocari, O.; Nellen, S.; Santamaría, G.; García-Munoz, L.E.; Segovia-Vargas, D.; Globisch, B.; Carpintero, G. Quasi-optic transmitter and receiver modules enabling next-Generation ultra-broadband wireless links at carrier-wave frequencies ranging from 60 to 180 GHz. J. Infrared Millim. Terahertz Waves 2019, 40, 688–695. [Google Scholar] [CrossRef]
- Lv, C.; Li, S.; Che, Y.; Chen, H.; Shu, Y.; He, J.; Song, J. Study on the molybdenum electro-extraction from MoS2 in the molten salt. Sep. Purif. Technol. 2021, 258, 118048. [Google Scholar] [CrossRef]
- Tian, Y.; Zhou, M.; Pan, Y.; Du, X.; Wang, Q. MoS2 as highly efficient co-catalyst enhancing the performance of Fe0 based electro-fenton process in degradation of sulfamethazine: Approach and mechanism. Chem. Eng. J. 2021, 403, 126361. [Google Scholar] [CrossRef]
- Wang, Z.; Zhang, J.; Wen, T.; Liu, X.; Wang, Y.; Yang, H.; Sun, J.; Feng, J.; Dong, S.; Sun, J. Highly effective remediation of Pb(II) and Hg(II) contaminated wastewater and soil by flower-like magnetic MoS2 nanohybrid. Sci. Total Environ. 2020, 699, 134341. [Google Scholar] [CrossRef] [PubMed]
- Wu, J.C.; Chen, S.S.; Yu, T.-C.; Wu, K.C.W.; Hou, C.H. Effective electrochemically controlled removal of fluoride ions using electrodeposited polyaniline-carbon nanotube composite electrodes. Sep. Purif. Technol. 2021, 254, 117561. [Google Scholar] [CrossRef]
- Huang, Z.; Shi, L.; Muhammad, Y.; Li, L. Effect of ionic liquid assisted hydrothermal carbonization on the properties and gasification reactivity of hydrochar derived from eucalyptus. J. Colloid Interface Sci. 2021, 586, 423–432. [Google Scholar] [CrossRef]
- Xu, K.; Liao, N.; Zhang, M.; Xue, W. Atomic-scale investigation of enhanced lithium, sodium and magnesium storage performance from defects in MoS2/graphene heterostructures. Nanoscale 2020, 12, 7098–7108. [Google Scholar] [CrossRef] [PubMed]
- Parra-Arciniega, S.M.; González-Juárez, E.; Hernández-Carrillo, R.A.; Briones-Martínez, R.; Jiménez-Barrera, R.M.; Garcia-Gómez, N.A.; Sánchez, E.M. A Mg2+/Li+ hybrid-ion battery based on MoS2 prepared by solvothermal synthesis with ionic liquid assistance. J. Mater. Sci. Mater. Electron. 2020, 31, 14702–14713. [Google Scholar] [CrossRef]
- Cui, L.; Zhou, L.; Kang, Y.M.; An, Q. Recent advances in the rational design and synthesis of two-dimensional materials for multivalent ion batteries. ChemSusChem 2020, 13, 1071–1092. [Google Scholar] [CrossRef] [PubMed]
- Duan, D.H.; Zhao, W.W.; Chen, K.X.; Wang, Y.F.; Liu, S.B.; Zhou, X.X.; Chen, L.; Li, Y. MOF-71 derived layered Co-CoP/C for advanced Li-S batteries. J. Alloy. Compd. 2021, 886, 161203. [Google Scholar] [CrossRef]
- Pu, X.; Song, T.; Tang, L.; Tao, Y.; Cao, T.; Xu, Q.; Liu, H.; Wang, Y.; Xia, Y. Rose-like vanadium disulfide coated by hydrophilic hydroxyvanadium oxide with improved electrochemical performance as cathode material for aqueous zinc-ion batteries. J. Power Sources 2019, 437, 226917. [Google Scholar] [CrossRef]
- Sihag, A.; Xie, Z.L.; Thang, H.V.; Kuo, C.L.; Tseng, F.G.; Dyer, M.S.; Chen, H.Y.T. DFT Insights into Comparative Hydrogen Adsorption and Hydrogen Spillover Mechanisms of Pt4/Graphene and Pt4/Anatase (101) Surfaces. J. Phys. Chem. C 2019, 123, 25618–25627. [Google Scholar] [CrossRef]
- Li, Y.; Xu, D.; Zhang, D.; Wei, Y.; Zhang, R.; Guo, Y. Study on MnO2/MXene–Ti3C2 composite materials as cathode materials for magnesium batteries. RSC Adv. 2019, 9, 33572–33577. [Google Scholar] [CrossRef] [Green Version]
- Liu, Z.; Liu, B.; Guo, P.; Shang, X.; Lv, M.; Liu, D.; He, D. Enhanced electrochemical kinetics in lithium-sulfur batteries by using carbon nanofibers/manganese dioxide composite as a bifunctional coating on sulfur cathode. Electrochim. Acta 2018, 28, 180–187. [Google Scholar] [CrossRef]
- Li, X.; Ma, Y.; Tang, C. Advanced Co3O4 interlayer as an efficient polysulfide barrier for high-performance Li-S batteries. Int. J. Electrochem. Sci. 2019, 14, 3245–3252. [Google Scholar]
- Wang, J.; Xiao, K.; Ouyang, B.; Zhang, L.; Yang, H. Simultaneous immobilization and conversion of polysulfides on Co3O4-CoN heterostructured mediators toward high-performance lithium–sulfur batteries. ACS Appl. Energy Mater. 2019, 2, 2570–2578. [Google Scholar] [CrossRef]
- Mussa, Y.; Arsalan, M.; Alsharaeh, E. Cobalt oxide/graphene nanosheets/hexagonal boron nitride (Co3O4/CoO/GNS/h-BN) catalyst for high sulfur utilization in Li−S batteries at elevated temperatures. Energy Fuels 2021, 35, 8365–8377. [Google Scholar] [CrossRef]
- Zhou, L.; Li, H.; Wu, X.; Zhang, Y.; Danilov, D.; Eichel, R.; Notten, P. Double-shelled Co3O4/C nanocages enabling polysulfides adsorption for high-performance lithium-sulfur batteries. ACS Appl. Energy Mater. 2019, 2, 8153–8162. [Google Scholar] [CrossRef] [Green Version]
- Li, Y.; Yao, C.; Wang, C.; Yang, P.; Wu, R.; Fei, L.; Zhang, Y.; Jiang, Y. An approach through steam to form sulfur nanoparticles for lithium sulfur batteries. Electorchem. Commun. 2021, 125, 107010. [Google Scholar] [CrossRef]
- Liu, B.; Huang, S.; Kong, D.; Hu, J.; Yang, H. Bifunctional NiCo2S4 catalysts supported on a carbon textile interlayer for ultra-stable Li-S battery. J. Mater. Chem. A 2019, 7, 7604. [Google Scholar] [CrossRef]
- Zeng, P.; Chen, M.; Luo, J.; Liu, H.; Li, Y.; Peng, J.; Li, J.; Yu, H. Carbon-coated yttria hollow spheres as both sulfur immobilizer and catalyst of polysulfides conversion in lithium-sulfur batteries. ACS Appl. Mater. Interfaces 2019, 11, 42104–42113. [Google Scholar] [CrossRef]
- Liu, Y.; Chatterjee, A.; Rusch, P.; Wu, C.; Nan, P.; Peng, M. Monodisperse Molybdenum Nanoparticles as Highly Efficient Electrocatalysts for Li-S Batteries. ACS Nano 2021, 15, 15047–15056. [Google Scholar] [CrossRef]
- Sun, D.; Zhou, J.; Rao, D.; Zhu, L.; Niu, S.; Cai, J.; Fang, Y. Regulating the electron filling state of d orbitals in Ta-based compounds for tunable lithium-sulfur chemistry. Sustain Mater. Technol. 2021, 28, e00271. [Google Scholar] [CrossRef]
- Zhou, P.; Han, T.; Gu, C.; Li, J.; Shen, Z.; Zhang, H.; Niu, J. A novel wheel-confined composite as cathode in Li-S batteries with high capacity retention. J. Alloy Compd. 2019, 776, 504–510. [Google Scholar] [CrossRef]
- Du, C.; Zhu, Y.; Wang, Z.; Wang, L.; Younas, W.; Ma, X.; Cao, C. Cuprous self-doping regulated mesoporous CuS nanotube cathode materials for rechargeable magnesium batteries. ACS Appl. Mater. Interfaces 2020, 12, 35035–35042. [Google Scholar] [CrossRef] [PubMed]
- Zhang, Y.; Liu, G.; Zhang, C.; Chi, Q.; Zhang, T.; Feng, Y.; Zhu, K.; Zhang, Y.; Chen, Q.; Cao, D. Low-cost MgFexMn2-xO4 cathode materials for high-performance aqueous rechargeable magnesium-ion batteries. Chem. Eng. J. 2020, 392, 123652. [Google Scholar] [CrossRef]
- Tao, X.; Wang, J.; Liu, C.; Wang, H.; Yao, H.; Zheng, G.; Seh, Z.; Cai, Q.; Li, W.; Zhou, G.; et al. Balancing surface adsorption and diffusion of lithium polysulfides on nonconductive oxides for lithium-sulfur battery design. Nat. Commun. 2016, 7, 11203. [Google Scholar] [CrossRef]
- Zhu, P.; Zhu, J.; Zang, J.; Chen, C.; Lu, Y.; Jiang, M.; Yan, C.; Dirican, M.; Selvan, R.; Zhang, X. A novel bi-functional double-layer rGO-PVDF/PVDF composite nanofiber membrane separator with enhanced thermal stability and effective polysulfide inhibition for high-performance lithium-sulfur batteries. J. Mater. Chem. A 2017, 5, 15096–15104. [Google Scholar] [CrossRef]
- Gao, G.; Zheng, F.; Wang, L. Solid 3D Li−S battery design via stacking 2D conductive microporous coordination polymers and amorphous Li−S layers. Chem. Mater. 2020, 32, 1974–1982. [Google Scholar] [CrossRef]
- Wang, K.; Guan, Y.; Jin, Z.; Wang, W.; Wang, A. Te0.045S0.955 PAN composite with high average discharge voltage for Li-S battery. J. Energy Chem. 2019, 39, 249–255. [Google Scholar] [CrossRef] [Green Version]
- Zhang, H.; Cao, D.; Bai, X. Ni-Doped magnesium manganese oxide as a cathode and its application in aqueous magnesium-ion batteries with high rate performance. Inorg. Chem. Front. 2020, 7, 2168–2177. [Google Scholar] [CrossRef]
- Harudin, N.; Osman, Z.; Majid, S.R.; Othman, L.; Hambali, D.; Silva, M.M. Improved electrochemical properties of MgMn2O4 cathode materials by Sr doping for Mg ion cells. Ionics 2020, 26, 3947–3958. [Google Scholar] [CrossRef]
- Asif, M.; Rashad, M.; Shah, J.H.; Zaidi, S.D.A. Surface modification of tin oxide through reduced graphene oxide as a highly efficient cathode material for magnesium-ion batteries. J. Colloid Interface Sci. 2020, 561, 818–828. [Google Scholar] [CrossRef]













| Composite | Preparation Method | Cycling Rate | Cycle Number | Specific Capacity (mAh g‒1) | Ref. |
|---|---|---|---|---|---|
| TiO2@Co3O4/S nanospheres | Water bath | 0.1C | 100 | 817 | [38] |
| Co3O4 powders/S | Hydrothermal method | 0.1C | 100 | 706 | [39] |
| Co3O4 -CoN/CC | Hydrothermal method | 3C | 500 | 627 | [40] |
| Co3O4/CoO/GNS/h-BN/S | Ball-milling | 1C | 250 | 356 | [41] |
| S@Co3O4/C | Hydrothermal method | 1C | 500 | 520 | [42] |
| Nano S/rGO | High pressure steam | 5C | 100 | 639 | [43] |
| NiCo2S4@S | Hydrotherma method | 0.5C | 500 | 836 | [44] |
| Yttria hollow spheres@C/S | Hydrothermal method | 0.5C | 200 | 842 | [45] |
| Mo@N-G/S | Hydrothermal method | 1C | 500 | 615 | [46] |
| S@N-Ta2O5/rGO | Co-precipitation | 2C | 600 | 825 | [47] |
| S@MnO2@SnO2 | Hydrothermal method | 0.5C | 500 | 566 | [48] |
| Co3O4/S-infilled microcapsules | Microfluidic approach | 0.5C | 200 | 935 | This work |
Publisher’s Note: MDPI stays neutral with regard to jurisdictional claims in published maps and institutional affiliations. |
© 2022 by the authors. Licensee MDPI, Basel, Switzerland. This article is an open access article distributed under the terms and conditions of the Creative Commons Attribution (CC BY) license (https://creativecommons.org/licenses/by/4.0/).
Share and Cite
Liu, J.; Zhu, Y.; Cai, J.; Zhong, Y.; Han, T.; Chen, Z.; Li, J. Encapsulating Metal-Organic-Framework Derived Nanocages into a Microcapsule for Shuttle Effect-Suppressive Lithium-Sulfur Batteries. Nanomaterials 2022, 12, 236. https://doi.org/10.3390/nano12020236
Liu J, Zhu Y, Cai J, Zhong Y, Han T, Chen Z, Li J. Encapsulating Metal-Organic-Framework Derived Nanocages into a Microcapsule for Shuttle Effect-Suppressive Lithium-Sulfur Batteries. Nanomaterials. 2022; 12(2):236. https://doi.org/10.3390/nano12020236
Chicago/Turabian StyleLiu, Jinyun, Yajun Zhu, Junfei Cai, Yan Zhong, Tianli Han, Zhonghua Chen, and Jinjin Li. 2022. "Encapsulating Metal-Organic-Framework Derived Nanocages into a Microcapsule for Shuttle Effect-Suppressive Lithium-Sulfur Batteries" Nanomaterials 12, no. 2: 236. https://doi.org/10.3390/nano12020236
APA StyleLiu, J., Zhu, Y., Cai, J., Zhong, Y., Han, T., Chen, Z., & Li, J. (2022). Encapsulating Metal-Organic-Framework Derived Nanocages into a Microcapsule for Shuttle Effect-Suppressive Lithium-Sulfur Batteries. Nanomaterials, 12(2), 236. https://doi.org/10.3390/nano12020236

