Improving the Performance of BaMnO3 Perovskite as Soot Oxidation Catalyst Using Carbon Black during Sol-Gel Synthesis
Abstract
:1. Introduction
2. Materials and Methods
2.1. Synthesis and Characterization of Catalysts
2.2. Activity Tests
3. Results and Discussion
3.1. Characterization of Fresh Catalysts
3.1.1. Structural Properties: XRD
- (i)
- at low calcination temperature (BM-C600 and BM-C700), some barium carbonate is present because the calcination step is performed in static air and the CO2 produced by the citric acid decomposition could remain in the samples calcined at low temperatures [26].
- (ii)
- at intermediate calcination temperatures (BM-C700 and BM-C750), a low amount of barium-manganese oxide (Ba3Mn2O8) is identified.
- (iii)
- at high calcination temperatures (BM-C800 and BM-C850), some manganese dioxide is formed.
3.1.2. Textural and Morphological Properties
3.1.3. Surface Composition: XPS
3.1.4. Reducibility: H2-TPR
- (i)
- At low temperature, among 300–600 °C, Mn(IV) is reduced to Mn(II) in two steps; firstly Mn(IV) is reduced to Mn(III) shown as a shoulder in the profiles, and, secondly, the most intense peak corresponds to Mn(III) reduction to Mn(II) [27,28,29,43] and its high intensity supports that the amount of Mn(III) is larger than Mn(IV), as the XPS data reveal for the surface (see Table 2).
- (ii)
- At 550 °C, the H2 consumption could be related to the presence of the remaining carbon black because the intensity is higher for BM-C600, which is the sample presenting the highest amount of hard template after calcination (see Table A3 in Appendix B).
- (iii)
- Between 600 °C and 800 °C oxygen species decompose.
- (iv)
- At the highest temperatures, above 800 °C, bulk Mn(III) is reduced to Mn(II) [44] as several authors have concluded that the reduction up to Mn(0) is not achieved, being the final oxidation state Mn(II) [45,46,47]. This last contribution almost does not appear in BM-CX catalysts as the low average size of the particles (observed by microscopy) leads to a lower amount of bulk manganese.
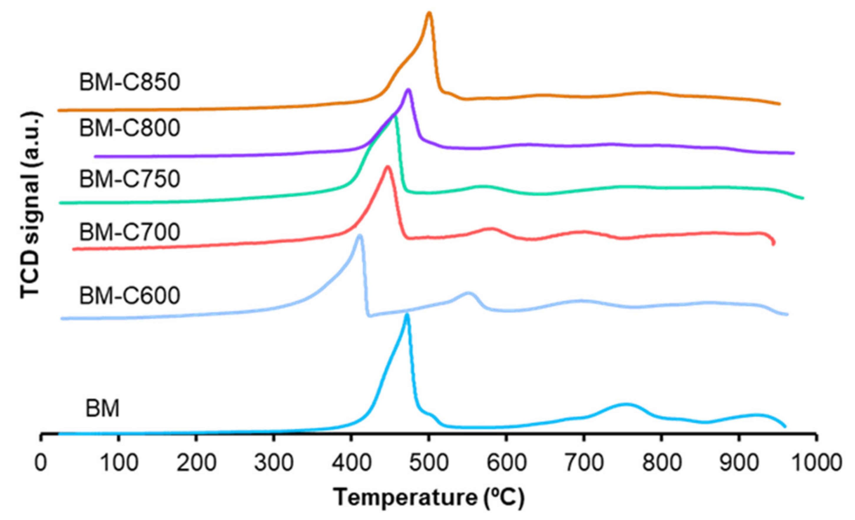
3.1.5. Oxygen Desorption: O2-TPD
3.2. Activity Tests
3.2.1. NO to NO2 Oxidation
3.2.2. NOx-Assisted Diesel Soot Oxidation
3.3. Characterization of Used Catalysts
4. Conclusions
- *
- The use of carbon black during the sol-gel synthesis allows the decrease in the calcination temperature required to achieve the perovskite-like structure.
- *
- Low calcination temperature minimizes the sintering effects, allowing a lower aggregation between particles and yielding solids with lower average crystal and particle size, slightly higher BET surface area and lower diameter of macropores than the BM reference catalyst.
- *
- BM-CX catalysts show enhanced reducibility and oxygen mobility, presenting BM-C700 catalyst as the optimum combination.
- *
- The BM-CX series shows an improved catalytic performance regarding the BM reference catalyst for oxidation processes (NO to NO2 and NO2-assisted soot oxidation), promoting higher stability and higher CO2 selectivity. BM-C700 shows the best catalytic performance (i.e., the highest thermal stability and a high initial soot oxidation rate which minimizes the accumulation of soot during the soot oxidation and, consequently, the catalyst deactivation) as it features a high amount of oxygen vacancies and high reducibility that promotes the highest lattice oxygen mobility.
Author Contributions
Funding
Data Availability Statement
Conflicts of Interest
Appendix A. Analyzing Different Synthesis Routes Using SBA-15 Mesoporous Silica as Hard-Template for Modified Sol-Gel Synthesis
| Synthesis * | pH a | T1 (°C) | t1 (h) | T2 (°C) | t2 (h) | Calcination | Nomenclature |
|---|---|---|---|---|---|---|---|
| Basic-1 (b-1) | NH3 | - b | 4 | 80 | - c | 3 °C/min-500 °C-5 h 5 °C/min-850 °C-6 h | BaMnb-1-SiO2 |
| Basic-2 (b-2) | NH3 | 65 | 5 | 90 | 48 | BaMnb-2-SiO2 | |
| Acid (a) | HCl | - b | 4 | 80 | - c | BaMna-SiO2 | |
| Citric Acid Excess (AC) | - d | - b | 4 | 80 | - c | BaMna-SiO2 | |
| One-Pot (SC) | - | 65 | 5 | 80 | 24 | BaMnSC-SiO2 |

| Hard-Template | SBET (m2/g) | ||
|---|---|---|---|
| SBA-15 | 699 | ||
| Composite | SBET (m2/g) | Composite | SBET (m2/g) |
| BaMnO3 (alkali media) | ≈5 | BaMnO3 (acid media) | ≈3 |
| BaMnb-1-SiO2 | 14 | BaMna-SiO2 | 11 |
| BaMnb-2-SiO2 | 28 | BaMnAC-SiO2 | 20 |
| BaMnb-1--C | 10 | BaMna-C | 9 |
| BaMnb-2-C | ≈4 | BaMnAC-C | ≈4 |



Appendix B. Data Related to the Removal of Carbon Black Remained after Synthesis

| Total Weight Loss (TG) (%) | Weight Loss Due to CO2 Emission (m/z 44 MS) (%) | |
|---|---|---|
| BM-C600 | 4 | 3 |
| BM-C700 | 4 | 3 |
| BM-C750 | 3 | 2 |
| BM-C800 | 2 | 1 |
| BM-C850 | 2 | 1 |
| BM | 1 | 1 |
References
- Brandenbergerm, S.; Kröcher, O.; Tissler, A.; Althoff, R. The State of the Art in Selective Catalytic Redcution of NOx by Ammonia Using Metal-Exchanged Zeolite Catalysts. Catal. Rev. Sci. Eng. 2008, 50, 492–531. [Google Scholar] [CrossRef]
- Epling, W.S.; Campbell, L.E.; Yezerets, A.; Currier, N.W.; Parks, J.E., II. Overview of the Fundamental Reactions and Degradation Mechanisms of NOx Storage/Reduction Catalysts. Catal. Rev. Sci. Eng. 2004, 46, 163–245. [Google Scholar] [CrossRef]
- Castoldi, L. An Overview on the Catalytic Materials Proposed for the Simultaneous Removal of NOx and Soot. Materials 2020, 13, 3551. [Google Scholar] [CrossRef]
- Peña, M.A.; Fierro, J.L.G. Chemical Structures and Performance of Perovskite Oxides. Chem. Rev. 2001, 101, 1981–2017. [Google Scholar] [CrossRef]
- Tejuca, L.G.; Fierro, J.L.G.; Tascón, J.M.D. Structure and Reactivity of Perovskite-Type Oxides. In Advances in Catalysis; Academic Press, Inc.: Cambridge, MA, USA, 1989; Volume 36, pp. 237–328. [Google Scholar] [CrossRef]
- Bhalla, A.S.S.; Guo, R.; Roy, R. The Perovskite Structure—A Review of Its Role in Ceramic Science and Technology. Mater. Res. Innov. 2000, 4, 3–26. [Google Scholar] [CrossRef]
- Zhu, J.; Li, H.; Zhong, L.; Xiao, P.; Xu, X.; Yang, X.; Zhao, Z.; Li, J. Perovskite Oxides: Preparation, Characterizations and Applications in Heterogeneous Catalysis. ACS Catal. 2014, 4, 2917–2940. [Google Scholar] [CrossRef]
- Royer, S.; Duprez, D.; Can, F.; Courtois, X.; Batiot-Dupeyrat, C.; Laassiri, S.; Alamdari, H. Perovskites as Substitutes of Noble Metals for Heterogeneous Catalysis: Dream or Reality. Chem. Rev. 2014, 114, 10292–10368. [Google Scholar] [CrossRef]
- Nair, M.M.; Kaliaguine, S. Synthesis and Catalytic Applications of Nanocast Oxide-Type Perovskites. In Perovskites and Related Mixed Oxides: Concepts and Applications; Granger, P., Parvulescu, V.I., Kaliagne, S., Prellier, W., Eds.; Wiley-VCH: Weinheim, Germany, 2016; pp. 47–68. [Google Scholar] [CrossRef]
- Zhuang, S.; Liu, Y.; Zeng, S.; Lv, J.; Chen, X.; Zhang, J. A Modified Sol–Gel Method for Low-Temperature Synthesis of Homogeneous Nanoporous La1−xSrxMnO3 with Large Specific Surface Area. J. Sol-Gel Sci. Technol. 2016, 77, 109–118. [Google Scholar] [CrossRef]
- Modeshia, D.R.; Walton, R.I. Solvothermal Synthesis of Perovskites and Pyrochlores: Crystallisation of Functional Oxides under Mild Conditions. Chem. Soc. Rev. 2010, 39, 4303. [Google Scholar] [CrossRef] [PubMed]
- Vijayasundaram, S.V.; Suresh, G.; Kanagadurai, R. Chemically Synthesized Phase-Pure BiFeO3 Nanoparticles: Influence of Agents on the Purity. Nano-Struct. Nano-Objects 2016, 8, 1–6. [Google Scholar] [CrossRef]
- Wang, L.; Fang, S.; Feng, N.; Wan, H.; Guan, G. Efficient Catalytic Removal of Diesel Soot over Mg Substituted K/La0.8Ce0.2CoO3 Perovskites with Large Surface Areas. Chem. Eng. J. 2016, 293, 68–74. [Google Scholar] [CrossRef] [Green Version]
- Wang, Y.; Ren, J.; Wang, Y.; Zhang, F.; Liu, X.; Guo, Y.; Lu, G. Nanocasted Synthesis of Mesoporous LaCoO3 Perovskite with Extremely High Surface Area and Excellent Activity in Methane Combustion. J. Phys. Chem. C 2008, 112, 15293–15298. [Google Scholar] [CrossRef]
- Nair, M.M.; Kaliaguine, S.; Kleitz, F. Nanocast LaNiO3 Perovskites as Precursors for the Preparation of Coke-Resistant Dry Reforming Catalysts. ACS Catal. 2014, 4, 3837–3846. [Google Scholar] [CrossRef]
- Alcalde-Santiago, V.; Davó-Quiñonero, A.; Such-Basáñez, I.; Lozano-Castelló, D.; Bueno-López, A. Macroporous Carrier-Free Sr-Ti Catalyst for NOx Storage and Reduction. Appl. Catal. B Environ. 2018, 220, 524–532. [Google Scholar] [CrossRef] [Green Version]
- Arandiyan, H.; Dai, H.; Deng, J.; Liu, Y.; Bai, B.; Wang, Y.; Li, X.; Xie, S.; Li, J. Three-Dimensionally Ordered Macroporous La0.6Sr0.4MnO3 with High Surface Areas: Active Catalysts for the Combustion of Methane. J. Catal. 2013, 307, 327–339. [Google Scholar] [CrossRef]
- Soler-Illia, G.J.D.A.A.; Sanchez, C.; Lebeau, B.; Patarin, J. Chemical Strategies to Design Textured Materials: From Microporous and Mesoporous Oxides to Nanonetworks and Hierarchical Structures. Chem. Rev. 2002, 102, 4093–4138. [Google Scholar] [CrossRef]
- Afzal, S.; Quan, X.; Zhang, J. High Surface Area Mesoporous Nanocast LaMO3 (M = Mn, Fe) Perovskites for Efficient Catalytic Ozonation and an Insight into Probable Catalytic Mechanism. Appl. Catal. B Environ. 2017, 206, 692–703. [Google Scholar] [CrossRef]
- Bonne, M.; Sellam, D.; Dacquin, J.-P.; Lee, A.F.; Wilson, K.; Olivi, L.; Cognigni, A.; Marécot, P.; Royer, S.; Duprez, D. A General Route to Synthesize Supported Isolated Oxide and Mixed-Oxide Nanoclusters at Sizes below 5 nm. Chem. Commun. 2011, 47, 1509–1511. [Google Scholar] [CrossRef]
- Hu, Y.; Wang, X.; Tan, M.; Zou, X.; Ding, W.; Lu, X. Perovskite LaNiO3 Nanocrystals inside SBA-15 Silica: High Stability and Anti-Coking Performance in the Pre-Reforming of Liquefied Petroleum Gas at a Low Steam-to-Carbon Molar Ratio. ChemCatChem 2016, 8, 1055–1058. [Google Scholar] [CrossRef]
- Ihm, S.; Suh, M. Preparation of Copper Oxide with High Surface Area Associated with Mesoporous Silica. Top. Catal. 2010, 53, 447–454. [Google Scholar] [CrossRef]
- Torregrosa-Rivero, V.; Albaladejo-Fuentes, V.; Sánchez-Adsuar, M.-S.; Illán-Gómez, M.-J.J. Copper Doped BaMnO3 Perovskite Catalysts for NO Oxidation and NO2-Assisted Diesel Soot Removal. RSC Adv. 2017, 7, 35228–35238. [Google Scholar] [CrossRef] [Green Version]
- Wang, H.; Liu, S.; Zhao, Z.; Zhou, X.; Liu, M.; Liu, W.; Wu, X.; Weng, D. Activation and deactivation of Ag/CeO2 during soot oxidation: Influences of interfacial ceria reduction. Catal. Sci. Technol. 2017, 7, 2129–2139. [Google Scholar] [CrossRef]
- Spooren, J.; Walton, R.I. Hydrothermal Synthesis of the Perovskite Manganites Pr0.5Sr0.5MnO3 and Nd0.5Sr0.5MnO3 and Alkali-Earth Manganese Oxides CaMn2O4, 4H-SrMnO3, and 2H-BaMnO3. J. Solid State Chem. 2005, 178, 1683–1691. [Google Scholar] [CrossRef]
- Ma, A.J.; Wang, S.Z.; Liu, C.; Xian, H.; Ding, Q.; Guo, L.; Meng, M.; Tan, Y.S.; Tsubaki, N.; Zhang, J.; et al. Effects of Fe Dopants and Residual Carbonates on the Catalytic Activities of the Perovskite-Type La0.7Sr0.3Co1−xFexO3 NOx Storage Catalyst. Appl. Catal. B Environ. 2014, 146, 24–34. [Google Scholar] [CrossRef]
- Najjar, H.; Batis, H. Development of Mn-Based Perovskite Materials: Chemical Structure and Applications. Catal. Rev. 2016, 58, 371–438. [Google Scholar] [CrossRef]
- Yang, Q.; Liu, G.; Liu, Y. Perovskite-Type Oxides as the Catalyst Precursors for Preparing Supported Metallic Nanocatalysts: A Review. Ind. Eng. Chem. Res. 2018, 57, 1–17. [Google Scholar] [CrossRef]
- Zhu, H.; Zhang, P.; Dai, S. Recent Advances of Lanthanum-Based Perovskite Oxides for Catalysis. ACS Catal. 2015, 5, 6370–6385. [Google Scholar] [CrossRef]
- Chen, L.; Liu, G.; Feng, N.; Yu, J.; Meng, J.; Fang, F.; Zhao, P.; Wang, L.; Wan, H.; Guan, G. Effect of Calcination Temperature on Structural Properties and Catalytic Soot Combustion Activity of MnOx/Wire-Mesh Monoliths. Appl. Surf. Sci. 2019, 467–468, 1088–1103. [Google Scholar] [CrossRef]
- Xian, H.; Zhang, X.; Li, X.; Zou, H.; Meng, M.; Zou, Z.; Guo, L.; Tsubaki, N. Effect of the Calcination Conditions on the NOx Storage Behavior of the Perovskite BaFeO3-x Catalysts. Catal. Today 2010, 158, 215–219. [Google Scholar] [CrossRef]
- Wu, Y.; Chu, B.; Zhang, M.; Yi, Y.; Dong, L.; Fan, M.; Jin, G.; Zhang, L.; Li, B. Influence of Calcination Temperature on the Catalytic Properties of LaCu0.25Co0.75O3 Catalysts in NOx Reduction. Appl. Surf. Sci. 2019, 481, 1277–1286. [Google Scholar] [CrossRef]
- Seah, M.P. A Review of the Analysis of Surfaces and Thin Films by AES and XPS. Vacuum 1984, 34, 463–478. [Google Scholar] [CrossRef]
- Moulder, J.F.; Stickle, W.F.; Sobol, P.E.; Bomben, K.D. Handbook of X-ray Photoelectron Spectroscopy: A Reference Book of Standard Spectra for Identification and Interpretation of XPS Data; Chastain, J., Ed.; Perkin-Elmer Corporation, Physical Electronic Division: Eden Praire, MN, USA, 1992. [Google Scholar]
- Di Castro, V.; Polzonetti, G. XPS Study of MnO Oxidation. J. Electron Spectros. Relat. Phenom. 1989, 48, 117–123. [Google Scholar] [CrossRef]
- Rojas, M.L.L.; Fierro, J.L.G.; Tejuca, L.G.G.; Bell, T.A.; Bell, A.T. Preparation and Characterization of LaMn1−XCuxO3 Perovskite Oxides. J. Catal. 1990, 124, 41–51. [Google Scholar] [CrossRef]
- Chen, J.; Shen, M.; Wang, X.; Wang, J.; Su, Y.; Zhao, Z. Catalytic Performance of NO Oxidation over LaMeO3 (Me = Mn, Fe, Co) Perovskite Prepared by the Sol–Gel Method. Catal. Commun. 2013, 37, 105–108. [Google Scholar] [CrossRef]
- Najjar, H.; Lamonier, J.F.; Mentré, O.; Giraudon, J.M.; Batis, H. Optimization of the Combustion Synthesis towards Efficient LaMnO3+y Catalysts in Methane Oxidation. Appl. Catal. B Environ. 2011, 106, 149–159. [Google Scholar] [CrossRef]
- Zhang, C.; Wang, C.; Hua, W.; Guo, Y.; Lu, G.; Gil, S.; Giroir-Fendler, A. Relationship between Catalytic Deactivation and Physicochemical Properties of LaMnO3 Perovskite Catalyst during Catalytic Oxidation of Vinyl Chloride. Appl. Catal. B Environ. 2016, 186, 173–183. [Google Scholar] [CrossRef]
- Gunasekaran, N.; Rajadurai, S.; Carberry, J.J.; Bakshi, N.; Alcock, C.B. Surface Characterization and Catalytic Properties of La1−xAxMO3 Perovskite Type Oxides. Part I. Studies on La0.95Ba0.05MO3 (M = Mn, Fe or Co) Oxides. Solid State Ion. 1994, 73, 289–295. [Google Scholar] [CrossRef]
- Merino, N.A.; Barbero, B.P.; Eloy, P.; Cadús, L.E. La1−xCaxCoO3 Perovskite-Type Oxides: Identification of the Surface Oxygen Species by XPS. Appl. Surf. Sci. 2006, 253, 1489–1493. [Google Scholar] [CrossRef]
- Miniajluk, N.; Trawczyński, J.; Zawadzki, M.; Tomaszewski, P.E.; Miśta, W. Solvothermal Synthesis and Characterization of Mixed Oxides with Perovskite-like Structure. Catal. Today 2015, 257, 26–34. [Google Scholar] [CrossRef]
- Buciuman, F.C.; Patcas, F.; Zsakó, J. TPR-Study of Substitution Effects on Reducibility and Oxidative Non-Stoichiometry of La0.8A’0.2Mno3+δ Perovskites. J. Therm. Anal. Calorim. 2000, 61, 819–825. [Google Scholar] [CrossRef]
- Donohue, M.D.; Aranovich, G.L. Classification of Gibbs Adsorption Isotherms. Adv. Colloid Interface Sci. 1998, 76–77, 137–152. [Google Scholar] [CrossRef]
- Esmaeilnejad-Ahranjani, P.; Khodadadi, A.; Ziaei-Azad, H.; Mortazavi, Y. Effects of Excess Manganese in Lanthanum Manganite Perovskite on Lowering Oxidation Light-off Temperature for Automotive Exhaust Gas Pollutants. Chem. Eng. J. 2011, 169, 282–289. [Google Scholar] [CrossRef]
- Kapteijn, F.; Singoredjo, L.; Andreini, A.; Moulijn, J.A.A. Activity and Selectivity of Pure Manganese Oxides in the Selective Catalytic Reduction of Nitric Oxide with Ammonia. Appl. Catal. B Environ. 1994, 3, 173–189. [Google Scholar] [CrossRef]
- Patcas, F.; Buciuman, F.C.; Zsako, J. Oxygen Non-Stoichiometry and Reducibility of B-Site Substituted Lanthanum Manganites. Thermochim. Acta 2000, 360, 71–76. [Google Scholar] [CrossRef]
- Irusta, S.; Pina, M.P.; Menéndez, M.; Santamaría, J. Catalytic Combustion of Volatile Organic Compounds over La-Based Perovskites. J. Catal. 1998, 179, 400–412. [Google Scholar] [CrossRef]
- Gao, Y.; Wu, X.; Liu, S.; Weng, D.; Zhang, H.; Ran, R. Formation of BaMnO3 in Ba/MnOx–CeO2 Catalyst upon the Hydrothermal Ageing and Its Effects on Oxide Sintering and Soot Oxidation Activity. Catal. Today 2015, 253, 83–88. [Google Scholar] [CrossRef]
- Levasseur, B.; Kaliaguine, S. Effect of the Rare Earth in the Perovskite-Type Mixed Oxides AMnO3 (A = Y, La, Pr, Sm, Dy) as Catalysts in Methanol Oxidation. J. Solid State Chem. 2008, 181, 2953–2963. [Google Scholar] [CrossRef]
- Albaladejo-Fuentes, V.; López-Suárez, F.E.; Sánchez-Adsuar, M.S.; Illán-Gómez, M.J. BaTi1−xCuxO3 Perovskites: The Effect of Copper Content in the Properties and in the NOx Storage Capacity. Appl. Catal. A Gen. 2014, 488, 189–199. [Google Scholar] [CrossRef] [Green Version]
- Cant, N.W.; Patterson, M.J. The Storage of Nitrogen Oxides on Alumina-Supported Barium Oxide. Catal. Today 2002, 73, 271–278. [Google Scholar] [CrossRef]
- Dupré, J.; Bazin, P.; Marie, O.; Daturi, M.; Jeandel, X.; Meunier, F. Understanding the Storage Function of a Commercial NOx-Storage-Reduction Material Using Operando IR under Realistic Conditions. Appl. Catal. B Environ. 2014, 160–161, 335–343. [Google Scholar] [CrossRef]
- Kim, D.H.; Mudiyanselage, K.; Szányi, J.; Zhu, H.; Kwak, J.H.; Peden, C.H.F. Characteristics of Pt-K/MgAl2O4 Lean NOx Trap Catalysts. Catal. Today 2012, 184, 2–7. [Google Scholar] [CrossRef]
- López-Suárez, F.E.; Bueno-López, A.; Illán-Gómez, M.J.; Adamski, A.; Ura, B.; Trawczynski, J. Copper Catalysts for Soot Oxidation: Alumina versus Perovskite Supports. Environ. Sci. Technol. 2008, 42, 7670–7675. [Google Scholar] [CrossRef]
- López-Suárez, F.E.; Parres-Esclapez, S.; Bueno-López, A.; Illán-Gómez, M.J.; Ura, B.; Trawczynski, J. Role of Surface and Lattice Copper Species in Copper-Containing (Mg/Sr)TiO3 Perovskite Catalysts for Soot Combustion. Appl. Catal. B Environ. 2009, 93, 82–89. [Google Scholar] [CrossRef]
- Uppara, H.P.; Pasuparthy, J.S.; Pradhan, S.; Singh, S.K.; Labhsetwar, N.K.; Dasari, H. The Comparative Experimental Investigations of SrMn(Co3+/Co2+)O3±δ and SrMn(Cu2+)O3±δ Perovskites towards Soot Oxidation Activity. Mol. Catal. 2020, 482, 110665. [Google Scholar] [CrossRef]
- Zhao, H.; Sun, L.; Fu, M.; Mao, L.; Zhao, X.; Zhang, X.; Xiao, Y.; Dong, G. Effect of A-Site Substitution on the Simultaneous Catalytic Removal of NOx and Soot by LaMnO3 Perovskites. New J. Chem. 2019, 43, 11684–11691. [Google Scholar] [CrossRef]
- Urán, L.; Gallego, J.; Bailón-García, E.; Bueno-López, A.; Santamaría, A. Isotopic Study of the La0.7Ag0.3MnOδ≤3 Perovskite-Catalyzed Soot Oxidation in Presence of NO. Appl. Catal. A Gen. 2020, 599, 117611. [Google Scholar] [CrossRef]
- Wiebenga, M.H.; Kim, C.H.; Schmieg, S.J.; Oh, S.H.; Brown, D.B.; Kim, D.H.; Lee, J.-H.; Peden, C.H.F. Deactivation Mechanisms of Pt/Pd-Based Diesel Oxidation Catalysts. Catal. Today 2012, 184, 197–204. [Google Scholar] [CrossRef]
- López-Suárez, F.E.; Bueno-López, A.; Illán-Gómez, M.J.; Trawczynski, J. Potassium-Copper Perovskite Catalysts for Mild Temperature Diesel Soot Combustion. Appl. Catal. A Gen. 2014, 485, 214–221. [Google Scholar] [CrossRef]
- O’Brien, C.P.; Jennees, G.R.; Dong, H.; Vlachos, D.G.; Lee, I.C. Deactivation of Pt/Al2O3 during propane oxidation at low temperatures: Kinetic regimes and platinum oxide formation. J. Catal. 2016, 337, 122–132. [Google Scholar] [CrossRef] [Green Version]
- Zhao, B.; Ran, R.; Sun, L.; Guo, X.; Wu, X.; Weng, D. NO Catalytic Oxidation over an Ultra-Large Surface Area LaMnO3+δ Perovskite Synthesized by an Acid-Etching Method. RSC Adv. 2016, 6, 69855–69860. [Google Scholar] [CrossRef]
- Valdés-Solís, T.; Marbán, G.; Fuertes, A.B. Preparation of Nanosized Perovskites and Spinels through a Silica Xerogel Template Route. Chem. Mater. 2005, 17, 1919–1922. [Google Scholar] [CrossRef]
- Tüysüz, H.; Lehmann, C.W.; Bongard, H.; Tesche, B.; Schüth, F. Direct Imaging of Surface Topology and Pore System of Ordered Mesoporous Silica (MCM-41, SBA-15, and KIT-6 ) and Nanocast Metal Oxides by High Resolution Scanning Electron Microscopy. J. Am. Chem. Soc. 2008, 130, 11510–11517. [Google Scholar] [CrossRef] [PubMed]
- Suh, M.; Park, Y.; Ihm, S. One-Pot Synthesis of Perovskite-Type Metal Oxides via Confined Mesopore and Their Catalytic Activity for Toluene Oxidation. Catal. Today 2016, 265, 210–217. [Google Scholar] [CrossRef]
- Lozano-Castelló, D.; Suárez-García, F.; Cazorla-Amorós, D.; Linares-Solano, Á. Porous Texture of Carbons. In Carbons for Electrochemical Energy Storage and Conversion Systems; Bégui, F., Frackowiak, E., Eds.; CRC Press: Boca Raton, FL, USA, 2009; pp. 115–162. [Google Scholar] [CrossRef]
















| Average Cristal Size a (nm) | Lattice Parameters b | SBET (m2/g) | ||
|---|---|---|---|---|
| a (nm) | c (nm) | |||
| BM-C600 | 26 | 5.693 | 4.809 | 20 |
| BM-C700 | 30 | 5.693 | 4.809 | 21 |
| BM-C750 | 30 | 5.697 | 4.806 | 10 |
| BM-C800 | 32 | 5.693 | 4.809 | 8 |
| BM-C850 | 32 | 5.693 | 4.809 | 7 |
| BM | 40 | 5.698 | 4.806 | <5 |
| Catalyst | OLattice/(Ba + Mn) | Mn(IV)/Mn(III) | β-O2 (μmol/gcat) |
|---|---|---|---|
| Nominal | 1.5 a | - | - |
| BM-C600 | 1.3 | 0.6 | 60 |
| BM-C700 | 1.1 | 0.6 | 510 |
| BM-C750 | 1.2 | 0.6 | 445 |
| BM-C800 | 1.1 | 0.7 | 190 |
| BM-C850 | 1.0 | 0.9 | 210 |
| BM | 1.5 | 0.7 | 90 |
| Catalyst | Initial Soot Oxidation Rate (10−2 mmol/min) | CO2 Selectivity (%) | ||
|---|---|---|---|---|
| Cycle 1 | Cycle 2 | Cycle 1 | Cycle 2 | |
| BM-C600 | 3.4 | 3.3 | 92 | 92 |
| BM-C700 | 3.7 | 3.2 | 92 | 92 |
| BM-C850 | 3.0 | 3.2 | 86 | 86 |
| BM | 1.6 | 1.3 | 66 | 66 |
| 1 %Pt/Al2O3 | 2.7 | 2.8 | 100 | 100 |
| Catalyst | OL/(Mn + Ba) | Mn(IV)/Mn(III) | ||||
|---|---|---|---|---|---|---|
| NOx-TPR | Isothermal (450 °C) | Fresh | NOx-TPR | Isothermal (450 °C) | Fresh | |
| BM-C600 | 0.9 | 0.8 | 1.3 | 0.6 | 0.5 | 0.6 |
| BM-C700 | 1.1 | 1.2 | 1.1 | 0.6 | 0.6 | 0.6 |
| BM-C850 | 1.1 | 0.7 | 1.0 | 0.6 | 0.7 | 0.9 |
Publisher’s Note: MDPI stays neutral with regard to jurisdictional claims in published maps and institutional affiliations. |
© 2022 by the authors. Licensee MDPI, Basel, Switzerland. This article is an open access article distributed under the terms and conditions of the Creative Commons Attribution (CC BY) license (https://creativecommons.org/licenses/by/4.0/).
Share and Cite
Torregrosa-Rivero, V.; Sánchez-Adsuar, M.-S.; Illán-Gómez, M.-J. Improving the Performance of BaMnO3 Perovskite as Soot Oxidation Catalyst Using Carbon Black during Sol-Gel Synthesis. Nanomaterials 2022, 12, 219. https://doi.org/10.3390/nano12020219
Torregrosa-Rivero V, Sánchez-Adsuar M-S, Illán-Gómez M-J. Improving the Performance of BaMnO3 Perovskite as Soot Oxidation Catalyst Using Carbon Black during Sol-Gel Synthesis. Nanomaterials. 2022; 12(2):219. https://doi.org/10.3390/nano12020219
Chicago/Turabian StyleTorregrosa-Rivero, Verónica, María-Salvadora Sánchez-Adsuar, and María-José Illán-Gómez. 2022. "Improving the Performance of BaMnO3 Perovskite as Soot Oxidation Catalyst Using Carbon Black during Sol-Gel Synthesis" Nanomaterials 12, no. 2: 219. https://doi.org/10.3390/nano12020219
APA StyleTorregrosa-Rivero, V., Sánchez-Adsuar, M.-S., & Illán-Gómez, M.-J. (2022). Improving the Performance of BaMnO3 Perovskite as Soot Oxidation Catalyst Using Carbon Black during Sol-Gel Synthesis. Nanomaterials, 12(2), 219. https://doi.org/10.3390/nano12020219

