Gain-Assisted Giant Third-Order Nonlinearity of Epsilon-Near-Zero Multilayered Metamaterials
Abstract
1. Introduction
2. Theory and Method
3. Results and Discussions
3.1. Linear Response
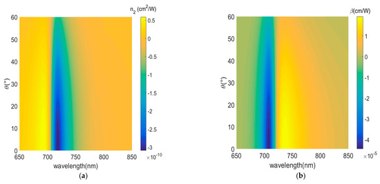
3.2. Nonlinear Response
4. Conclusions
Author Contributions
Funding
Institutional Review Board Statement
Informed Consent Statement
Data Availability Statement
Acknowledgments
Conflicts of Interest
References
- Silveirinha, M.; Engheta, N. Tunneling of electromagnetic energy through subwavelength channels and bends using ϵ-near-zero materials. Phys. Rev. Lett. 2006, 97, 157403. [Google Scholar] [CrossRef]
- Alù, A.; Silveirinha, M.G.; Salandrino, A.; Engheta, N. Epsilon-near-zero metamaterials and electromagnetic sources: Tailoring the radiation phase pattern. Phys. Rev. B 2007, 75, 155410. [Google Scholar] [CrossRef]
- Alam, M.Z.; De Leon, I.; Boyd, R.W. Large optical nonlinearity of indium tin oxide in its epsilon-near-zero region. Science 2016, 352, 795–797. [Google Scholar] [CrossRef]
- Caspani, L.; Kaipurath, R.P.M.; Clerici, M.; Ferrera, M.; Roger, T.; Kim, J.; Kinsey, N.; Pietrzyk, M.; Di Falco, A.; Shalaev, V.M.; et al. Enhanced nonlinear refractive index in ε-near-zero materials. Phys. Rev. Lett. 2016, 116, 233901. [Google Scholar] [CrossRef] [PubMed]
- Alam, M.Z.; Schulz, S.A.; Upham, J.; De Leon, I.; Boyd, R.W. Large optical nonlinearity of nanoantennas coupled to an epsilon-near-zero material. Nat. Photonics 2018, 12, 79–83. [Google Scholar] [CrossRef]
- Clerici, M.; Kinsey, N.; DeVault, C.; Kim, J.; Carnemolla, E.G.; Caspani, L.; Shaltout, A.; Faccio, D.; Shalaev, V.M.; Boltasseva, A.; et al. Controlling hybrid nonlinearities in transparent conducting oxides via two-colour excitation. Nat. Commun. 2017, 8, 15829. [Google Scholar] [CrossRef] [PubMed]
- Reshef, O.; De Leon, I.; Alam, M.Z.; Boyd, R.W. Nonlinear optical effects in epsilon-near-zero media. Nat. Rev. Mater. 2019, 4, 535–551. [Google Scholar] [CrossRef]
- Deng, J.; Tang, Y.; Chen, S.; Li, K.; Zayats, A.V.; Li, G. Giant enhancement of second-order nonlinearity of epsilon-near-zero medium by a plasmonic metasurface. Nano Lett. 2020, 20, 5421–5427. [Google Scholar] [CrossRef] [PubMed]
- Nahvi, E.; Liberal, I.; Engheta, N. Nonperturbative effective magnetic nonlinearity in ENZ media doped with Kerr dielectric inclusions. ACS Photonics 2019, 6, 2823–2831. [Google Scholar] [CrossRef]
- Niu, X.; Hu, X.; Sun, Q.; Lu, C.; Yang, Y.; Yang, H.; Gong, Q. Polarization-selected nonlinearity transition in gold dolmens coupled to an epsilon-near-zero material. Nanophotonics 2020, 9, 4839–4851. [Google Scholar] [CrossRef]
- Ma, H.; Zhao, Y.; Shao, Y.; Lian, Y.; Zhang, W.; Hu, G.; Leng, Y.; Shao, J. Principles to tailor the saturable and reverse saturable absorption of epsilon-near-zero material. Photonics Res. 2021, 9, 678. [Google Scholar] [CrossRef]
- VBruno, V.; DeVault, C.; Vezzoli, S.; Kudyshev, Z.; Huq, T.; Mignuzzi, S.; Jacassi, A.; Saha, S.; Shah, Y.D.; Maier, S.A.; et al. Negative refraction in time-varying strongly coupled plasmonic-antenna epsilon-near-zero systems. Phys. Rev. Lett. 2020, 124, 043902. [Google Scholar] [CrossRef]
- Wu, J.; Xie, Z.T.; Sha, Y.; Fu, H.; Li, Q. Epsilon-near-zero photonics: Infinite potentials. Photonics Res. 2021, 9, 1616. [Google Scholar] [CrossRef]
- Tian, W.; Liang, F.; Lu, D.; Yu, H.; Zhang, H. Highly efficient ultraviolet high-harmonic generation from epsilon-near-zero indium tin oxide films. Photonics Res. 2021, 9, 317. [Google Scholar] [CrossRef]
- Yang, Y.; Lu, J.; Manjavacas, A.; Luk, T.S.; Liu, H.; Kelley, K.; Maria, J.-P.; Runnerstrom, E.L.; Sinclair, M.B.; Ghimire, S.; et al. Runnerstrom, Michael B. Sinclair, Shambhu Ghimire and Igal Brener. High-harmonic generation from an epsilon-near-zero material. Nat. Phys. 2019, 15, 1022–1026. [Google Scholar] [CrossRef]
- Labelle, A.J.; Bonifazi, M.; Tian, Y.; Wong, C.; Hoogland, S.; Favraud, G.; Walters, G.; Sutherland, B.; Liu, M.; Li, J.; et al. Broadband Epsilon-near-Zero Reflectors Enhance the Quantum Efficiency of Thin Solar Cells at Visible and Infrared Wavelengths. ACS Appl. Mater. Interfaces 2017, 9, 5556–5565. [Google Scholar] [CrossRef]
- Wood, M.G.; Campione, S.; Parameswaran, S.; Luk, T.S.; Wendt, J.R.; Serkland, D.K.; Keeler, G.A. Gigahertz speed operation of epsilon-near-zero silicon photonic modulators. Optica 2018, 5, 233–236. [Google Scholar] [CrossRef]
- Guo, Q.; Cui, Y.; Yao, Y.; Ye, Y.; Yang, Y.; Liu, X.; Zhang, S.; Liu, X.; Qiu, J.; Hosono, H. A solution-processed ultrafast optical switch based on a nanostructured epsilon-near-zero medium. Adv. Mater. 2017, 29, 1700754.1–1700754.7. [Google Scholar] [CrossRef]
- Kuttruff, J.; Garoli, D.; Allerbeck, J.; Krahne, R.; De Luca, A.; Brida, D.; Caligiuri, V.; Maccaferri, N. Ultrafast all-optical switching enabled by epsilon-near-zero-tailored absorption in metal-insulator nanocavities. Commun. Phys. 2020, 3, 1–7. [Google Scholar] [CrossRef]
- Niu, X.; Hu, X.; Chu, S.; Gong, Q. Epsilon-Near-Zero Photonics: A New Platform for Integrated Devices. Adv. Opt. Mater. 2018, 6, 1701292. [Google Scholar] [CrossRef]
- Maas, R.; Parsons, J.; Engheta, N.; Polman, A. Experimental realization of an epsilon-near-zero metamaterial at visible wavelengths. Nat. Photonics 2013, 7, 907–912. [Google Scholar] [CrossRef]
- Kaipurath, R.M.; Pietrzyk, M.; Caspani, L.; Roger, T.; Clerici, M.; Rizza, C.; Ciattoni, A.; Di Falco, A.; Faccio, D. Optically induced metal-to-dielectric transition in epsilon-near-zero metamaterials. Sci. Rep. 2016, 6, 27700. [Google Scholar] [CrossRef] [PubMed]
- Suresh, S.; Reshef, O.; Alam, M.Z.; Upham, J.; Karimi, M.; Boyd, R.W. Enhanced Nonlinear Optical Responses of Layered Epsilon-Near-Zero Metamaterials at Visible Frequencies. ACS Photonics 2020, 8, 125–129. [Google Scholar] [CrossRef]
- Genchi, D.; Balasa, I.G.; Cesca, T.; Mattei, G. Tunable Third-Order Nonlinear Optical Response in ϵ-Near-Zero Multilayer Metamaterials. Phys. Rev. Appl. 2021, 16, 064020. [Google Scholar] [CrossRef]
- Neira, A.B.; Olivier, N.; Nasir, M.E.; Dickson, W.; Wurtz, G.A.; Zayats, A.V. Eliminating material constraints for nonlinearity with plasmonic metamaterials. Nat. Commun. 2015, 6, 7757. [Google Scholar] [CrossRef] [PubMed]
- Morgan, F.; Murphy, A.; Hendren, W.; Wurtz, G.; Pollard, R.J. In Situ Ellipsometric Monitoring of Gold Nanorod Metamaterials Growth. ACS Appl. Mater. Interfaces 2017, 9, 17379–17386. [Google Scholar] [CrossRef]
- Chen, W.; Chen, K.P.; Thoreson, M.D.; Kildishev, A.V.; Shalaev, V.M. Ultrathin, ultrasmooth, and low-loss silver films via wetting and annealing. Appl. Phys. Lett. 2010, 97, 211107. [Google Scholar] [CrossRef]
- Pollard, R.J.; Murphy, A.; Hendren, W.R.; Evans, P.R.; Atkinson, R.; Wurtz, G.A.; Zayats, A.V.; Podolskiy, V.A. Optical Nonlocalities and Additional Waves in Epsilon-Near-Zero Metamaterials. Phys. Rev. Lett. 2009, 102, 127405. [Google Scholar] [CrossRef]
- Stefaniuk, T.; Nicholls, L.H.; Córdova-Castro, R.M.; Nasir, M.E.; Zayats, A.V. Nonlocality-Enabled Pulse Management in Epsilon-Near Zero Metamaterials. Adv. Mater. 2022, 2107023.1–2107023.11. [Google Scholar] [CrossRef]
- Chern, R.-L. Chern. Spatial dispersion and nonlocal effective permittivity for periodic layered metamaterials. Opt. Express 2013, 21, 16514–16527. [Google Scholar] [CrossRef]
- De Luca, A.; Grzelczak, M.P.; Pastoriza-Santos, I.; Liz-Marzán, L.M.; La Deda, M.; Striccoli, M.; Strangi, G. Dispersed and encapsulated gain medium in plasmonic nanoparticles: A multipronged approach to mitigate optical losses. ACS Nano 2011, 5, 5823–5829. [Google Scholar] [CrossRef] [PubMed]
- Berini, P.; De Leon, I. Surface plasmon–polariton amplifiers and lasers. Nat. Photonics 2011, 6, 16–24. [Google Scholar] [CrossRef]
- Pusch, A.; Wuestner, S.; Hamm, J.M.; Tsakmakidis, K.L.; Hess, O. Coherent amplifification and noise in gain-enhanced nanoplasmonic metamaterials: A maxwell-bloch langevin approach. ACS Nano 2012, 6, 2420–2431. [Google Scholar] [CrossRef] [PubMed]
- Wuestner, S.; Pusch, A.; Tsakmakidis, K.L.; Hamm, J.M.; Hess, O. Overcoming losses with gain in a negative refractive index metamaterial. Phys. Rev. Lett. 2010, 105, 127401. [Google Scholar] [CrossRef] [PubMed]
- Infusino, M.; De Luca, A.; Veltri, A.; Vázquez-Vázquez, C.; Correa-Duarte, M.A.; Dhama, R.; Strangi, G. Loss-Mitigated Collective Resonances in Gain-Assisted Plasmonic Mesocapsules. ACS Photonics 2014, 1, 371–376. [Google Scholar] [CrossRef]
- Krasnok, A.; Alu, A. Active Nanophotonics. Proc. IEEE 2020, 108, 628–654. [Google Scholar] [CrossRef]
- Liu, F.; Zhang, Y.; Ding, C.; Kobayashi, S.; Izuishi, T.; Nakazawa, N.; Toyoda, T.; Ohta, T.; Hayase, S.; Minemoto, T.; et al. Highly luminescent phase-stable CsPbI3 perovskite quantum dots achieving near 100% absolute photo-luminescence quantum yield. ACS Nano 2017, 11, 10373–10383. [Google Scholar] [CrossRef]
- Lin, Q.; Wang, L.; Li, Z.; Shen, H.; Guo, L.; Kuang, Y.; Wang, H.; Li, L.S. Nonblinking quantum-dot-based blue light-emitting diodes with high effificiency and a balanced charge-injection process. ACS Photonics 2018, 5, 939–946. [Google Scholar] [CrossRef]
- Rutckaia, V.; Heyroth, F.; Novikov, A.; Shaleev, M.; Petrov, M.; Schilling, J. Quantum dot emission driven by Mie resonances in silicon nanostructures. Nano Lett. 2017, 17, 6886–6892. [Google Scholar] [CrossRef]
- Luo, Y.; Ahmadi, E.D.; Shayan, K.; Ma, Y.; Mistry, K.S.; Zhang, C.; Hone, J.; Blackburn, J.L.; Strauf, S. Purcell-enhanced quantum yield from carbon nanotube excitons coupled to plasmonic nanocavities. Nat. Commun. 2017, 8, 1413. [Google Scholar] [CrossRef]
- He, X.; Htoon, H.; Doorn, S.K.; Pernice, W.H.P.; Pyatkov, F.; Krupke, R.; Jeantet, A.; Chassagneux, Y.; Voisin, C. Carbon nanotubes as emerging quantum-light sources. Nat. Mater. 2018, 17, 663–670. [Google Scholar] [CrossRef] [PubMed]
- Caligiuri, V.; Pezzi, L.; Veltri, A.; De Luca, A. Resonant gain singularities in 1D and 3D metal/dielectric multilayered nanostructures. ACS Nano 2016, 11, 1012–1025. [Google Scholar] [CrossRef] [PubMed]
- Tumkur, T.; A Barnakov, Y.; Kee, S.T.; Noginov, M.A.; Liberman, V. Permittivity evaluation of multilayered hyperbolic metamaterials: Ellipsometry vs. reflectometry. J. Appl. Phys. 2015, 117, 103104. [Google Scholar] [CrossRef]
- Poddubny, A.; Iorsh, I.; Belov, P.; Kivshar, Y. Hyperbolic metamaterials. Nat. Photonics 2013, 7, 948–957. [Google Scholar] [CrossRef]
- Chen, K.-P.; Drachev, V.P.; Borneman, J.D.; Kildishev, A.V.; Shalaev, V.M. Drude Relaxation Rate in Grained Gold Nanoantennas. Nano Lett. 2010, 10, 916–922. [Google Scholar] [CrossRef]
- Caligiuri, V.; Palei, M.; Imran, M.; Manna, L.; Krahne, R. Planar double-epsilon-Near-Zero cavities for spontaneous emission and purcell effect enhancement. ACS Photonics 2018, 5, 2287–2294. [Google Scholar] [CrossRef]
- Xu, H.; Zhu, Z.; Xue, J.; Zhan, Q.; Zhou, Z.; Wang, X. Giant enhancements of high-order upconversion luminescence enabled by multiresonant hyperbolic metamaterials. Photonics Res. 2021, 9, 395. [Google Scholar] [CrossRef]
- Chen, C.; Wang, Z.; Wu, K.; Chong, H.; Xu, Z.; Ye, H. ITO–TiN–ITO Sandwiches for Near-Infrared Plasmonic Materials. ACS Appl. Mater. Interfaces 2018, 10, 14886–14893. [Google Scholar] [CrossRef]
- Boyd, R.W.; Sipe, J.E. Nonlinear optical susceptibilities of layered composite materials. J. Opt. Soc. Am. B 1994, 11, 297–303. [Google Scholar] [CrossRef]
- Qian, H.; Xiao, Y.; Liu, Z. Giant Kerr response of ultrathin gold films from quantum size effect. Nat. Commun. 2016, 7, 13153. [Google Scholar] [CrossRef]
- Kravtsov, V.; AlMutairi, S.; Ulbricht, R.; Kutayiah, A.R.; Belyanin, A.; Raschke, M.B. Enhanced Third-Order Optical Nonlinearity Driven by Surface-Plasmon Field Gradients. Phys. Rev. Lett. 2018, 120, 203903. [Google Scholar] [CrossRef] [PubMed]
- Lysenko, O.; Bache, M.; Olivier, N.; Zayats, A.V.; Lavrinenko, A. Nonlinear Dynamics of Ultrashort Long-Range Surface Plasmon Polariton Pulses in Gold Strip Waveguides. ACS Photonics 2016, 3, 2324–2329. [Google Scholar] [CrossRef]
- Renger, J.; Quidant, R.; van Hulst, N.; Novotny, L. Surface-enhanced nonlinear four-wave mixing. Phys. Rev. Lett. 2010, 104, 046803. [Google Scholar] [CrossRef] [PubMed]
- Vincenti, M.A.; Campione, S.; De Ceglia, D.; Capolino, F.; Scalora, M. Gain-assisted harmonic generation in near-zero permittivity metamaterials made of plasmonic nanoshells. N. J. Phys. 2012, 14, 103016. [Google Scholar] [CrossRef]













| References | Structures | ||
|---|---|---|---|
| Our work | Multilayered metamaterial with a gain medium | 710.8/10−5 | 710.8/100 |
| [3] | ITO film | 1240/10−10 | 1260/10−6 |
| [4] | AZO film | 1310/10−13 | 1340/10−8 |
| [5] | Metasurface | 1240/10−9 | 1260/10−5 |
| [10] | Metasurface | 1250/10−9 | 1300/10−4 |
| [23] | Multilayered metamaterial | 470/10−8 | 470/10−3 |
| [24] | Multilayered metamaterial | 500/10−9 | 500/10−4 |
| Concentrations | ||
|---|---|---|
| 3.3 mM | 10−5 | 100 |
| 2.5 mM | 10−9 | 10−4 |
| 0 mM | 10−10 | 10−5 |
Publisher’s Note: MDPI stays neutral with regard to jurisdictional claims in published maps and institutional affiliations. |
© 2022 by the authors. Licensee MDPI, Basel, Switzerland. This article is an open access article distributed under the terms and conditions of the Creative Commons Attribution (CC BY) license (https://creativecommons.org/licenses/by/4.0/).
Share and Cite
Shi, W.; Liu, H.; Wang, Z. Gain-Assisted Giant Third-Order Nonlinearity of Epsilon-Near-Zero Multilayered Metamaterials. Nanomaterials 2022, 12, 3499. https://doi.org/10.3390/nano12193499
Shi W, Liu H, Wang Z. Gain-Assisted Giant Third-Order Nonlinearity of Epsilon-Near-Zero Multilayered Metamaterials. Nanomaterials. 2022; 12(19):3499. https://doi.org/10.3390/nano12193499
Chicago/Turabian StyleShi, Wenjuan, Hongjun Liu, and Zhaolu Wang. 2022. "Gain-Assisted Giant Third-Order Nonlinearity of Epsilon-Near-Zero Multilayered Metamaterials" Nanomaterials 12, no. 19: 3499. https://doi.org/10.3390/nano12193499
APA StyleShi, W., Liu, H., & Wang, Z. (2022). Gain-Assisted Giant Third-Order Nonlinearity of Epsilon-Near-Zero Multilayered Metamaterials. Nanomaterials, 12(19), 3499. https://doi.org/10.3390/nano12193499
