Comprehensive Review on Zeolite-Based Nanocomposites for Treatment of Effluents from Wastewater
Abstract
:1. Introduction
1.1. Wastewater
1.1.1. Total Suspended Solids (TSS)
1.1.2. Organic Pollutants
1.1.3. Inorganic Pollutants
1.1.4. Radioactive Pollutants
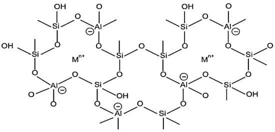
1.2. Zeolites
Classification of Zeolites
1.3. Adsorption
1.4. Photocatalysis
1.5. Ion Exchange
2. Zeolite-Based Composites
2.1. Synthetic Approaches
2.2. Removal Process
2.3. Zeolite/Metal Oxide Composites
2.4. Zeolite/Carbon-Based Material Composites
2.5. Zeolite/Polymer Composites
3. Comparison of Removal Efficiencies
4. Conclusions, Challenges, and Future Perspectives
Author Contributions
Funding
Data Availability Statement
Conflicts of Interest
References
- Gray, N. Water Science and Technology: An Introduction; CRC Press: Boca Raton, FL, USA, 2017. [Google Scholar]
- Moradihamedani, P. Recent advances in dye removal from wastewater by membrane technology: A review. Polym. Bull. 2021, 79, 2603–2631. [Google Scholar] [CrossRef]
- Natarajan, V.; Karunanidhi, M.; Raja, B. A critical review on radioactive waste management through biological techniques. Environ. Sci. Pollut. Res. 2020, 27, 29812–29823. [Google Scholar] [CrossRef] [PubMed]
- Zhao, M.; Ma, X.; Chen, D.; Liao, Y. Preparation of Honeycomb-Structured Activated Carbon–Zeolite Composites from Modified Fly Ash and the Adsorptive Removal of Pb(II). ACS Omega 2022, 7, 9684–9689. [Google Scholar] [CrossRef] [PubMed]
- Li, Y.; Yu, H.; Liu, L.; Yu, H. Application of co-pyrolysis biochar for the adsorption and immobilization of heavy metals in contaminated environmental substrates. J. Hazard. Mater. 2021, 420, 126655. [Google Scholar] [CrossRef]
- Soni, V.; Singh, P.; Quang, H.H.P.; Khan, A.A.P.; Bajpai, A.; Van Le, Q.; Thakur, V.K.; Thakur, S.; Nguyen, V.H.; Raizada, P. Emerging architecture titanium carbide (Ti3C2Tx) MXene based photocatalyst toward degradation of hazardous pollutants: Recent progress and perspectives. Chemosphere 2022, 293, 133541. [Google Scholar] [CrossRef]
- Shahabuddin, S.; Sarih, N.M.; Ismail, F.H.; Shahid, M.M.; Huang, N.M. Synthesis of chitosan grafted-polyaniline/Co3O4 nanocube nanocomposites and their photocatalytic activity to-ward methylene blue dye degradation. RSC Adv. 2015, 5, 83857–83867. [Google Scholar] [CrossRef]
- Zhang, L.; Wang, L.; Zhang, Y.; Wang, D.; Guo, J.; Zhang, M.; Li, Y. The performance of electrode ultrafiltration membrane bioreactor in treating cosmetics wastewater and its anti-fouling properties. Environ. Res. 2021, 206, 112629. [Google Scholar] [CrossRef]
- Lu, W.; Zhang, Y.; Wang, Q.; Wei, Y.; Bu, Y.; Ma, B. Achieving advanced nitrogen removal in a novel partial denitrification/anammox-nitrifying (PDA-N) biofilter process treating low C/N ratio municipal wastewater. Bioresour. Technol. 2021, 340, 125661. [Google Scholar] [CrossRef]
- Prajaputra, V.; Abidin, Z.; Widiatmaka; Suryaningtyas, D.T.; Rizal, H. Characterization of Na-P1 zeolite synthesized from pumice as low-cost materials and its ability for methylene blue adsorption. In IOP Conference Series: Earth and Environmental Science; IOP Publishing: Bristol, UK, 2019. [Google Scholar]
- Huang, H.; Xiao, X.; Yan, B.; Yang, L. Ammonium removal from aqueous solutions by using natural Chinese (Chende) zeolite as adsorbent. J. Hazard. Mater. 2010, 175, 247–252. [Google Scholar] [CrossRef]
- De Luca, P.; Bernaudo, I.; Elliani, R.; Tagarelli, A.; Nagy, J.B.; Macario, A. Industrial Waste Treatment by ETS-10 Ion Exchanger Material. Materials 2018, 11, 2316. [Google Scholar] [CrossRef] [Green Version]
- Alvarez-Aguinaga, E.A.; Elizalde-González, M.P.; Sabinas-Hernández, S.A. Unpredicted photocatalytic activity of clinoptilo-lite–mordenite natural zeolite. RSC Adv. 2020, 10, 39251–39260. [Google Scholar] [CrossRef] [PubMed]
- Nassar, M.Y.; Abdelrahman, E.A. Hydrothermal tuning of the morphology and crystallite size of zeolite nanostructures for simultaneous adsorption and photocatalytic degradation of methylene blue dye. J. Mol. Liq. 2017, 242, 364–374. [Google Scholar] [CrossRef]
- Wang, S.; Peng, Y. Natural zeolites as effective adsorbents in water and wastewater treatment. Chem. Eng. J. 2010, 156, 11–24. [Google Scholar] [CrossRef]
- Ren, Z.; Kim, E.; Pattinson, S.W.; Subrahmanyam, K.S.; Rao, C.N.R.; Cheetham, A.K.; Eder, D. Hybridizing photoactive zeolites with graphene: A powerful strategy towards superior photocatalytic properties. Chem. Sci. 2011, 3, 209–216. [Google Scholar] [CrossRef]
- Notari, B. Titanium silicalite: A new selective oxidation catalyst. In Studies in Surface Science and Catalysis; Elsevier: Amsterdam, The Netherlands, 1991; pp. 343–352. [Google Scholar]
- Hashimoto, S. Zeolite photochemistry: Impact of zeolites on photochemistry and feedback from photochemistry to zeolite science. J. Photochem. Photobiol. C Photochem. Rev. 2003, 4, 19–49. [Google Scholar] [CrossRef]
- Li, H.; Zheng, F.; Wang, J.; Zhou, J.; Huang, X.; Chen, L.; Hu, P.; Gao, J.-M.; Zhen, Q.; Bashir, S.; et al. Facile preparation of zeolite-activated carbon composite from coal gangue with enhanced adsorption performance. Chem. Eng. J. 2020, 390, 124513. [Google Scholar] [CrossRef]
- Alcantara-Cobos, A.; Gutiérrez-Segura, E.; Solache-Ríos, M.; Amaya-Chávez, A.; Solís-Casados, D. Tartrazine removal by ZnO nanoparticles and a zeolite-ZnO nanoparticles composite and the phytotoxicity of ZnO nanoparticles. Microporous Mesoporous Mater. 2020, 302, 110212. [Google Scholar] [CrossRef]
- Huang, T.; Yan, M.; He, K.; Huang, Z.; Zeng, G.; Chen, A.; Peng, M.; Li, H.; Yuan, L.; Chen, G. Efficient removal of methylene blue from aqueous solutions using magnetic graphene oxide modified zeolite. J. Colloid Interface Sci. 2019, 543, 43–51. [Google Scholar] [CrossRef]
- Mahmoodi, N.M.; Saffar-Dastgerdi, M.H. Clean Laccase immobilized nanobiocatalysts (graphene oxide-zeolite nanocomposites): From production to detailed biocatalytic degradation of organic pollutant. Appl. Catal. B Environ. 2019, 268, 118443. [Google Scholar] [CrossRef]
- Liu, X.; Liu, Y.; Lu, S.; Guo, W.; Xi, B. Performance and mechanism into TiO2/Zeolite composites for sulfadiazine adsorption and photodegradation. Chem. Eng. J. 2018, 350, 131–147. [Google Scholar] [CrossRef]
- Sacco, O.; Vaiano, V.; Matarangolo, M. ZnO supported on zeolite pellets as efficient catalytic system for the removal of caffeine by adsorption and photocatalysis. Sep. Purif. Technol. 2018, 193, 303–310. [Google Scholar] [CrossRef]
- Senguttuvan, S.; Janaki, V.; Senthilkumar, P.; Kamala-Kannan, S. Polypyrrole/zeolite composite—A nanoadsorbent for reactive dyes removal from synthetic solution. Chemosphere 2021, 287, 132164. [Google Scholar] [CrossRef] [PubMed]
- Milojević-Rakić, M.; Janošević, A.; Krstić, J.; Vasiljević, B.N.; Dondur, V.; Ćirić-Marjanović, G. Polyaniline and its composites with zeolite ZSM-5 for efficient removal of glyphosate from aqueous solution. Microporous Mesoporous Mater. 2013, 180, 141–155. [Google Scholar] [CrossRef]
- Kamali, M.; Esmaeili, H.; Tamjidi, S. Synthesis of Zeolite Clay/Fe-Al Hydrotalcite Composite as a Reusable Adsorbent for Adsorption/Desorption of Cationic Dyes. Arab. J. Sci. Eng. 2022, 47, 6651–6665. [Google Scholar] [CrossRef]
- Baglio, V.; Arico, A.S.; Di Blasi, A.; Antonucci, P.L.; Nannetti, F.; Tricoli, V.; Antonucci, V. Zeolite-based composite membranes for high temperature direct methanol fuel cells. J. Appl. Electrochem. 2005, 35, 207–212. [Google Scholar] [CrossRef]
- Pan, X.; Jiao, F.; Miao, D.; Bao, X. Oxide–Zeolite-Based Composite Catalyst Concept That Enables Syngas Chemistry beyond Fischer–Tropsch Synthesis. Chem. Rev. 2021, 121, 6588–6609. [Google Scholar] [CrossRef]
- Abukhadra, M.R.; Shaban, M.; El Samad, M.A.A. Enhanced photocatalytic removal of Safranin-T dye under sunlight within minute time intervals using heulandite/polyaniline@ nickel oxide composite as a novel photocatalyst. Ecotoxicol. Environ. Saf. 2018, 162, 261–271. [Google Scholar] [CrossRef]
- Farghali, M.A.; Abo-Aly, M.M.; Salaheldin, T.A. Modified mesoporous zeolite-A/reduced graphene oxide nanocomposite for dual removal of methylene blue and Pb2+ ions from wastewater. Inorg. Chem. Commun. 2021, 126, 108487. [Google Scholar] [CrossRef]
- Baker, H.M.; Massadeh, A.M.; Younes, H. Natural Jordanian zeolite: Removal of heavy metal ions from water samples using column and batch methods. Environ. Monit. Assess. 2008, 157, 319–330. [Google Scholar] [CrossRef]
- Milojević-Rakić, M.; Bajuk-Bogdanović, D.; Vasiljević, B.N.; Rakić, A.; Škrivanj, S.; Ignjatović, L.; Dondur, V.; Mentus, S.; Ćirić-Marjanović, G. Polyaniline/FeZSM-5 composites–Synthesis, characterization and their high catalytic activity for the oxida-tive degradation of herbicide glyphosate. Microporous Mesoporous Mater. 2018, 267, 68–79. [Google Scholar] [CrossRef]
- Rad, L.R.; Anbia, M. Zeolite-based composites for the adsorption of toxic matters from water: A review. J. Environ. Chem. Eng. 2021, 9, 106088. [Google Scholar]
- Tchobanoglus, G.; Burton, F.; Stensel, H.D. Wastewater engineering. Management 1991, 7, 201. [Google Scholar]
- Ilyas, S.; Bhatti, H.N. Microbial Diversity as a Tool for Wastewater Treatment. In Advanced Materials for Wastewater Treatment; John Wiley & Sons: Hoboken, NJ, USA, 2017; p. 171. [Google Scholar]
- Bilotta, G.; Brazier, R. Understanding the influence of suspended solids on water quality and aquatic biota. Water Res. 2008, 42, 2849–2861. [Google Scholar] [CrossRef] [PubMed]
- Chenglin, Z.; Jing, Y.; Yulei, Z.; Fan, W.; Hao, X.; Shi, C.; Qi, N.; Wei, L. Design and performance of Multiway Gravity Device on removing suspended solids in aquaculture water. Trans. Chin. Soc. Agric. Eng. 2015, 31, 53–60. [Google Scholar]
- Wang, D.; Sun, Y.; Tsang, D.C.; Hou, D.; Khan, E.; Alessi, D.S.; Zhao, Y.; Gong, J.; Wang, L. The roles of suspended solids in persulfate/Fe2+ treatment of hydraulic fracturing wastewater: Synergistic interplay of inherent wastewater components. Chem. Eng. J. 2020, 388, 124243. [Google Scholar] [CrossRef]
- Lohani, S.P.; Khanal, S.N.; Bakke, R. A simple anaerobic and filtration combined system for domestic wastewater treatment. Water-Energy Nexus 2020, 3, 41–45. [Google Scholar] [CrossRef]
- Huang, J.; Chen, S.; Ma, X.; Yu, P.; Zuo, P.; Shi, B.; Wang, H.; Alvarez, P.J. Opportunistic pathogens and their health risk in four full-scale drinking water treatment and distribution systems. Ecol. Eng. 2021, 160, 106134. [Google Scholar] [CrossRef]
- Srinivas, N.; Malla, R.R.; Kumar, K.S.; Sailesh, A.R. Environmental carcinogens and their impact on female-specific cancers. In A Theranostic and Precision Medicine Approach for Female-Specific Cancers; Elsevier: Amsterdam, The Netherlands, 2021; pp. 249–262. [Google Scholar]
- Paumo, H.K.; Das, R.; Bhaumik, M.; Maity, A. Visible-Light-Responsive Nanostructured Materials for Photocatalytic Degradation of Persistent Organic Pollutants in Water. In Green Methods for Wastewater Treatment; Springer: Berlin/Heidelberg, Germany, 2020; pp. 1–29. [Google Scholar]
- Guo, Y.; Kannan, K. Analytical methods for the measurement of legacy and emerging persistent organic pollutants in complex sample matrices. In Comprehensive Analytical Chemistry; Elsevier: Amsterdam, The Netherlands, 2015; pp. 1–56. [Google Scholar]
- Silver, M.K.; Meeker, J.D. Endocrine Disruption of Developmental Pathways and Children’s Health. In Endocrine Disruption and Human Health; Elsevier: Amsterdam, The Netherlands, 2022; pp. 291–320. [Google Scholar]
- Briffa, J.; Sinagra, E.; Blundell, R. Heavy metal pollution in the environment and their toxicological effects on humans. Heliyon 2020, 6, e04691. [Google Scholar] [CrossRef]
- Prăvălie, R.; Bandoc, G. Nuclear energy: Between global electricity demand, worldwide decarbonisation imperativeness, and planetary environmental implications. J. Environ. Manag. 2018, 209, 81–92. [Google Scholar] [CrossRef] [PubMed]
- Halevi, O.; Chen, T.-Y.; Lee, P.S.; Magdassi, S.; Hriljac, J.A. Nuclear wastewater decontamination by 3D-Printed hierarchical zeolite monoliths. RSC Adv. 2020, 10, 5766–5776. [Google Scholar] [CrossRef]
- Kautsky, U.; Lindborg, T.; Valentin, J. Humans and Ecosystems Over the Coming Millennia: Overview of a Biosphere Assessment of Radioactive Waste Disposal in Sweden. Ambio 2013, 42, 383–392. [Google Scholar] [CrossRef] [PubMed]
- Ødegaard, H. Advanced compact wastewater treatment based on coagulation and moving bed biofilm processes. Water Sci. Technol. 2000, 42, 33–48. [Google Scholar] [CrossRef]
- Gouamid, M.; Ouahrani, M.; Bensaci, M. Adsorption Equilibrium, Kinetics and Thermodynamics of Methylene Blue from Aqueous Solutions using Date Palm Leaves. Energy Procedia 2013, 36, 898–907. [Google Scholar] [CrossRef] [Green Version]
- Ginimuge, P.R.; Jyothi, S. Methylene blue: Revisited. J. Anaesthesiol. Clin. Pharmacol. 2010, 26, 517. [Google Scholar] [CrossRef]
- Zacharia, J.T. Ecological Effects of Pesticides. In Pesticides in the Modern World-Risks and Benefits; InTech Publisher: London, UK, 2011; pp. 129–142. [Google Scholar]
- Jatoi, A.S.; Hashmi, Z.; Adriyani, R.; Yuniarto, A.; Mazari, S.A.; Akhter, F.; Mubarak, N.M. Recent trends and future challenges of pesticide removal techniques—A comprehensive review. J. Environ. Chem. Eng. 2021, 9, 105571. [Google Scholar] [CrossRef]
- Pratush, A.; Kumar, A.; Hu, Z. Adverse effect of heavy metals (As, Pb, Hg, and Cr) on health and their bioremediation strategies: A review. Int. Microbiol. 2018, 21, 97–106. [Google Scholar] [CrossRef]
- Darban, Z.; Shahabuddin, S.; Gaur, R.; Ahmad, I.; Sridewi, N. Hydrogel-Based Adsorbent Material for the Effective Removal of Heavy Metals from Wastewater: A Comprehensive Review. Gels 2022, 8, 263. [Google Scholar] [CrossRef]
- Gerardi, M.H. Troubleshooting the Sequencing Batch Reactor; John Wiley & Sons: Hoboken, NJ, USA, 2011. [Google Scholar]
- Cai, L.; Zhang, T. Detecting Human Bacterial Pathogens in Wastewater Treatment Plants by a High-Throughput Shotgun Sequencing Technique. Environ. Sci. Technol. 2013, 47, 5433–5441. [Google Scholar] [CrossRef]
- Chahal, C.; Van Den Akker, B.; Young, F.; Franco, C.; Blackbeard, J.; Monis, P. Pathogen and particle associations in wastewater: Significance and implications for treatment and disinfection processes. Adv. Appl. Microbiol. 2016, 97, 63–119. [Google Scholar]
- Karim, M.R.; Manshadi, F.D.; Karpiscak, M.M.; Gerba, C.P. The persistence and removal of enteric pathogens in constructed wetlands. Water Res. 2004, 38, 1831–1837. [Google Scholar] [CrossRef]
- Auerbach, S.M.; Carrado, K.A.; Dutta, P.K. (Eds.) Handbook of Zeolite Science and Technology, 1st ed; CRC Press: Boca Raton, FL, USA, 2003. [Google Scholar]
- Baile, P.; Fernández, E.; Vidal, L.; Canals, A. Zeolites and zeolite-based materials in extraction and microextraction techniques. Analyst 2018, 144, 366–387. [Google Scholar] [CrossRef] [PubMed]
- Ramesh, K.; Reddy, D.D. Zeolites and Their Potential Uses in Agriculture. Adv. Agron. 2011, 113, 219–241. [Google Scholar]
- Available online: https://asia.iza-structure.org/IZA-SC/ftc_table.php (accessed on 1 August 2022).
- Ma, Y.; Qi, P.; Ju, J.; Wang, Q.; Hao, L.; Wang, R.; Sui, K.; Tan, Y. Gelatin/alginate composite nanofiber membranes for effective and even adsorption of cationic dyes. Compos. Part B Eng. 2019, 162, 671–677. [Google Scholar] [CrossRef]
- Artioli, Y. Adsorption. In Encyclopedia of Ecology Fath, SEJD; Academic Press: Oxford, UK, 2008. [Google Scholar]
- Hu, H.; Xu, K. Physicochemical technologies for HRPs and risk control. In High-Risk Pollutants in Wastewater; Elsevier: Amsterdam, The Netherlands, 2020; pp. 169–207. [Google Scholar]
- Wang, X.; Zhu, N.; Yin, B. Preparation of sludge-based activated carbon and its application in dye wastewater treatment. J. Hazard. Mater. 2008, 153, 22–27. [Google Scholar] [CrossRef] [PubMed]
- Soliman, N.; Moustafa, A. Industrial solid waste for heavy metals adsorption features and challenges; a review. J. Mater. Res. Technol. 2020, 9, 10235–10253. [Google Scholar] [CrossRef]
- Rangabhashiyam, S.; Suganya, E.; Selvaraju, N.; Varghese, L.A. Significance of exploiting non-living biomaterials for the biosorption of wastewater pollutants. World J. Microbiol. Biotechnol. 2014, 30, 1669–1689. [Google Scholar] [CrossRef]
- Bhattacharyya, K.G.; Sen, G.S. Adsorption of chromium (VI) from water by clays. Ind. Eng. Chem. Res. 2006, 45, 7232–7240. [Google Scholar]
- Yuna, Z. Review of the Natural, Modified, and Synthetic Zeolites for Heavy Metals Removal from Wastewater. Environ. Eng. Sci. 2016, 33, 443–454. [Google Scholar] [CrossRef]
- Hawari, A.H.; Mulligan, C.N. Biosorption of lead (II), cadmium (II), copper (II) and nickel (II) by anaerobic granular biomass. Bio-Resour. Technol. 2006, 97, 692–700. [Google Scholar] [CrossRef]
- Wang, S.; Zhu, Z. Characterisation and environmental application of an Australian natural zeolite for basic dye removal from aqueous solution. J. Hazard. Mater. 2006, 136, 946–952. [Google Scholar] [CrossRef]
- Khamidun, M.; Fulazzaky, M.A.; Al-Gheethi, A.; Ali, U.; Muda, K.; Hadibarata, T.; Razi, M.M. Adsorption of ammonium from wastewater treatment plant effluents onto the zeolite; A plug-flow column, optimisation, dynamic and isotherms studies. Int. J. Environ. Anal. Chem. 2020, 1–22. [Google Scholar] [CrossRef]
- Armağan, B.; Turan, M.; Ęlik, M.S. Equilibrium studies on the adsorption of reactive azo dyes into zeolite. Desalination 2004, 170, 33–39. [Google Scholar] [CrossRef]
- Ameta, R.; Solanki, M.S.; Benjamin, S.; Ameta, S.C. Photocatalysis. In Advanced Oxidation Processes for Waste Water Treatment; Elsevier: Amsterdam, The Netherlands, 2018; pp. 135–175. [Google Scholar]
- Pirc, G.; Stare, J. Titanium Site Preference Problem in the TS-1 Zeolite Catalyst: A Periodic Hartree-Fock Study. Acta Chim. Slov. 2008, 55, 951–959. [Google Scholar]
- Krisnandi, Y.K.; Southon, P.D.; Adesina, A.A.; Howe, R.F. ETS-10 as a photocatalyst. Int. J. Photoenergy 2003, 5, 131–140. [Google Scholar] [CrossRef]
- Tahir, M.B.; Rafique, M.; Rafique, M.S. Nanomaterials for photocatalysis. In Nanotechnology and Photocatalysis for Environmental Applications; Elsevier: Amsterdam, The Netherlands, 2020; pp. 65–76. [Google Scholar]
- Fox, M.A.; Doan, K.E.; Dulay, M.T. The effect of the “inert” support on relative photocatalytic activity in the oxidative decomposition of alcohols on irradiated titanium dioxide composites. Res. Chem. Intermed. 1994, 20, 711–721. [Google Scholar] [CrossRef]
- Arthur, J.D.; Langhus, B.G.; Patel, C. Technical Summary of Oil & Gas Produced Water Treatment Technologies; All Consulting LLC: Tulsa, OK, USA, 2005. [Google Scholar]
- Shahryar, J. 6-Treatment of Oily Wastewater. In Petroleum Waste Treatment and Pollution Control; Shahryar, J., Ed.; Butterworth-Heinemann: Oxford, UK, 2017; pp. 185–267. [Google Scholar]
- Artegiani, A. Ion Exchange and Demineralization. In Tech Brief A National Drinking Water Clearing House Fact Sheet; National Drinking Water Clearinghouse: Morgantown, WV, USA, 1997. [Google Scholar]
- Guida, S.; Potter, C.; Jefferson, B.; Soares, A. Preparation and evaluation of zeolites for ammonium removal from municipal wastewater through ion exchange process. Sci. Rep. 2020, 10, 12426. [Google Scholar] [CrossRef]
- Moran, S. Chapter 7—Clean water unit operation design: Physical processes. In An Applied Guide to Water and Effluent Treatment Plant Design; Moran, S., Ed.; Butterworth-Heinemann: Oxford, UK, 2018; pp. 69–100. [Google Scholar]
- De Raffele, G.; Aloise, A.; De Luca, P.; Vuono, D.; Tagarelli, A.; Nagy, J.B. Kinetic and thermodynamic effects during the adsorption of heavy metals on ETS-4 and ETS-10 microporous materials. J. Porous Mater. 2016, 23, 389–400. [Google Scholar] [CrossRef]
- Anderson, M.; Terasaki, O.; Ohsuna, T.; Philippou, A.; MacKay, S.P.; Ferreira, A.; Rocha, J.; Lidin, S. Structure of the microporous titanosilicate ETS-10. Nature 1994, 367, 347–351. [Google Scholar] [CrossRef]
- Pavelić, S.K.; Medica, J.S.; Gumbarević, D.; Filošević, A.; Przulj, N.; Pavelić, K. Critical Review on Zeolite Clinoptilolite Safety and Medical Applications in vivo. Front. Pharmacol. 2018, 9, 1350. [Google Scholar] [CrossRef]
- De Magalhães, L.F.; da Silva, G.R.; Peres, A.E.C. Zeolite application in wastewater treatment. Adsorpt. Sci. Technol. 2022, 2022, 4544104. [Google Scholar] [CrossRef]
- Shi, J.; Yang, Z.; Dai, H.; Lu, X.; Peng, L.; Tan, X.; Shi, L.; Fahim, R. Preparation and application of modified zeolites as adsorbents in wastewater treatment. Water Sci. Technol. 2018, 2017, 621–635. [Google Scholar] [CrossRef] [PubMed]
- Cakicioglu-Ozkan, F.; Ulku, S. The effect of HCl treatment on water vapor adsorption characteristics of clinoptilolite rich natural zeolite. Microporous Mesoporous Mater. 2005, 77, 47–53. [Google Scholar] [CrossRef]
- Bouffard, S.C.; Duff, S.J. Uptake of dehydroabietic acid using organically-tailored zeolites. Water Res. 2000, 34, 2469–2476. [Google Scholar] [CrossRef]
- Cortés-Martínez, R.; Solache-Ríos, M.; Martínez-Miranda, V.; Alfaro-Cuevas, V.R. Sorption Behavior of 4-Chlorophenol from Aqueous Solutions by a Surfactant-modified Mexican Zeolitic Rock in Batch and Fixed Bed Systems. Water Air Soil Pollut. 2007, 183, 85–94. [Google Scholar] [CrossRef]
- Ghiaci, M.; Abbaspur, A.; Kia, R.; Seyedeyn-Azad, F. Equilibrium isotherm studies for the sorption of benzene, toluene, and phenol onto organo-zeolites and as-synthesized MCM-41. Sep. Purif. Technol. 2004, 40, 217–229. [Google Scholar] [CrossRef]
- Zieliński, M.; Zielińska, M.; Dębowski, M. Ammonium removal on zeolite modified by ultrasound. Desalination Water Treat. 2015, 57, 8748–8753. [Google Scholar] [CrossRef]
- Bagheri, S.; Hir, Z.A.M.; Yousefi, A.T.; Hamid, S.B.A. Progress on mesoporous titanium dioxide: Synthesis, modification and applications. Microporous Mesoporous Mater. 2015, 218, 206–222. [Google Scholar] [CrossRef]
- Kozera-Sucharda, B.; Gworek, B.; Kondzielski, I.; Chojnicki, J. The Comparison of the Efficacy of Natural and Synthetic Aluminosilicates, Including Zeolites, in Concurrent Elimination of Lead and Copper from Multi-Component Aqueous Solutions. Processes 2021, 9, 812. [Google Scholar] [CrossRef]
- Wang, L.; Shi, C.; Pan, L.; Zhang, X.; Zou, J.-J. Rational design, synthesis, adsorption principles and applications of metal oxide adsorbents: A review. Nanoscale 2020, 12, 4790–4815. [Google Scholar] [CrossRef]
- Khan, M.M.; Adil, S.F.; Al-Mayouf, A. Metal oxides as photocatalysts. J. Saudi Chem. Soc. 2015, 19, 462–464. [Google Scholar] [CrossRef]
- Alswata, A.A.; Bin Ahmad, M.; Al-Hada, N.M.; Kamari, H.M.; Bin Hussein, M.Z.; Ibrahim, N.A. Preparation of Zeolite/Zinc Oxide Nanocomposites for toxic metals removal from water. Results Phys. 2017, 7, 723–731. [Google Scholar] [CrossRef]
- Mahalakshmi, M.; Priya, S.V.; Arabindoo, B.; Palanichamy, M.; Murugesan, V. Photocatalytic degradation of aqueous propoxur solution using TiO2 and Hβ zeolite-supported TiO2. J. Hazard. Mater. 2009, 161, 336–343. [Google Scholar] [CrossRef] [PubMed]
- Mirzaei, D.; Zabardasti, A.; Mansourpanah, Y.; Sadeghi, M.; Farhadi, S. Efficacy of Novel NaX/MgO–TiO2 Zeolite Nanocomposite for the Adsorption of Methyl Orange (MO) Dye: Isotherm, Kinetic and Thermodynamic Studies. J. Inorg. Organomet. Polym. Mater. 2020, 30, 2067–2080. [Google Scholar] [CrossRef]
- Wang, C.; Shi, H.; Li, Y. Synthesis and characterization of natural zeolite supported Cr-doped TiO2 photocatalysts. Appl. Surf. Sci. 2012, 258, 4328–4333. [Google Scholar] [CrossRef]
- Alswat, A.A.; Bin Ahmad, M.; Saleh, T.A. Zeolite modified with copper oxide and iron oxide for lead and arsenic adsorption from aqueous solutions. J. Water Supply Res. Technol. 2016, 65, 465–479. [Google Scholar] [CrossRef]
- Kong, F.; Zhang, Y.; Wang, H.; Tang, J.; Li, Y.; Wang, S. Removal of Cr(VI) from wastewater by artificial zeolite spheres loaded with nano Fe–Al bimetallic oxide in constructed wetland. Chemosphere 2020, 257, 127224. [Google Scholar] [CrossRef]
- Zhang, W.; Xiao, X.; Zheng, L.; Wan, C. Fabrication of TiO2/MoS2@ zeolite photocatalyst and its photocatalytic activity for degradation of methyl orange under visible light. Appl. Surf. Sci. 2015, 358, 468–478. [Google Scholar] [CrossRef]
- Italiya, G.; Ahmed, H.; Subramanian, S. Titanium oxide bonded Zeolite and Bentonite composites for adsorptive removal of phosphate. Environ. Nanotechnol. Monit. Manag. 2022, 17, 100649. [Google Scholar] [CrossRef]
- Jaramillo-Fierro, X.; González, S.; Montesdeoca-Mendoza, F.; Medina, F. Structuring of ZnTio3/Tio2 adsorbents for the removal of methylene blue, using zeolite precursor clays as natural additives. Nanomaterials 2021, 11, 898. [Google Scholar] [CrossRef]
- Madima, N.; Mishra, S.B.; Inamuddin, I.; Mishra, A.K. Carbon-based nanomaterials for remediation of organic and inorganic pollutants from wastewater. A review. Environ. Chem. Lett. 2020, 18, 1169–1191. [Google Scholar] [CrossRef]
- Piaskowski, K.; Zarzycki, P.K. Carbon-Based Nanomaterials as Promising Material for Wastewater Treatment Processes. Int. J. Environ. Res. Public Health 2020, 17, 5862. [Google Scholar] [CrossRef] [PubMed]
- Zarzycki, P.K. Pure and Functionalized Carbon Based Nanomaterials: Analytical, Biomedical, Civil and Environmental Engineering Applications; CRC Press: Boca Raton, FL, USA, 2020. [Google Scholar]
- Krissanasaeranee, M.; Wongkasemjit, S.; Cheetham, A.K.; Eder, D. Complex carbon nanotube-inorganic hybrid materials as next-generation photocatalysts. Chem. Phys. Lett. 2010, 496, 133–138. [Google Scholar] [CrossRef]
- Khanday, W.; Marrakchi, F.; Asif, M.; Hameed, B. Mesoporous zeolite–activated carbon composite from oil palm ash as an effective adsorbent for methylene blue. J. Taiwan Inst. Chem. Eng. 2017, 70, 32–41. [Google Scholar] [CrossRef]
- Berber, M.R. Current Advances of Polymer Composites for Water Treatment and Desalination. J. Chem. 2020, 2020, 7608423. [Google Scholar] [CrossRef]
- Alver, E.; Metin, A.Ü.; Çiftçi, H. Synthesis and characterization of chitosan/polyvinylpyrrolidone/zeolite composite by solution blending method. J. Inorg. Organomet. Polym. Mater. 2014, 24, 1048–1054. [Google Scholar] [CrossRef]
- Khanday, W.; Asif, M.; Hameed, B. Cross-linked beads of activated oil palm ash zeolite/chitosan composite as a bio-adsorbent for the removal of methylene blue and acid blue 29 dyes. Int. J. Biol. Macromol. 2017, 95, 895–902. [Google Scholar] [CrossRef] [PubMed]
- Pizarro, C.; Escudey, M.; Bravo, C.; Gacitua, M.; Pavez, L. Sulfate Kinetics and Adsorption Studies on a Zeolite/Polyammonium Cation Composite for Environmental Remediation. Minerals 2021, 11, 180. [Google Scholar] [CrossRef]
- Senguttuvan, S.; Janaki, V.; Senthilkumar, P.; Kamala-Kannan, S. Biocompatible polypyrrole/zeolite composite for chromate removal and detoxification. Mater. Lett. 2021, 308, 131290. [Google Scholar] [CrossRef]
- Yiğit, M.Y.; Baran, E.S.; Moral, Ç.K. A polymer—Zeolite composite for mixed metal removal from aqueous solution. Water Sci. Technol. 2021, 83, 1152–1166. [Google Scholar] [CrossRef]
- Shahabuddin, S.; Sarih, N.M.; Mohamad, S.; Ching, J.J. SrTiO3 Nanocube-Doped Polyaniline Nanocomposites with Enhanced Photocatalytic Degradation of Methylene Blue under Visible Light. Polymers 2016, 8, 27. [Google Scholar] [CrossRef]
- Parekh, K.; Shahabuddin, S.; Gaur, R.; Dave, N. Prospects of conducting polymer as an adsorbent for used lubricant oil reclamation. Mater. Today Proc. 2022, 62, 7053–7056. [Google Scholar] [CrossRef]
- Jaymand, M. Conductive polymers/zeolite (nano-)composites: Under-exploited materials. RSC Adv. 2014, 4, 33935–33954. [Google Scholar] [CrossRef]
- Flores-Loyola, E.; Cruz-Silva, R.; Romero, J.; Angulo-Sánchez, J.; Castillon, F.; Farías, M. Enzymatic polymerization of aniline in the presence of different inorganic substrates. Mater. Chem. Phys. 2007, 105, 136–141. [Google Scholar] [CrossRef]
- Nascimento, G.M.D.; Temperini, M.L.A. Structure of polyaniline formed in different inorganic porous materials: A spectroscopic study. Eur. Polym. J. 2008, 44, 3501–3511. [Google Scholar] [CrossRef]
- Sakellis, I.; Papathanassiou, A.; Grammatikakis, J. Effect of composition on the dielectric relaxation of zeolite-conducting polyaniline blends. J. Appl. Phys. 2009, 105, 64109. [Google Scholar] [CrossRef]
- Malkaj, P.; Dalas, E.; Vitoratos, E.; Sakkopoulos, S. pH electrodes constructed from polyaniline/zeolite and polypyrrole/zeolite conductive blends. J. Appl. Polym. Sci. 2006, 101, 1853–1856. [Google Scholar] [CrossRef]
- Vitoratos, E.; Sakkopoulos, S.; Dalas, E.; Malkaj, P.; Anestis, C.D.C. conductivity and thermal aging of conducting zeolite/polyaniline and zeolite/polypyrrole blends. Curr. Appl. Phys. 2007, 7, 578–581. [Google Scholar] [CrossRef]
- Abukhadra, M.R.; Rabia, M.; Shaban, M.; Verpoort, F. Heulandite/polyaniline hybrid composite for efficient removal of acidic dye from water; kinetic, equilibrium studies and statistical optimization. Adv. Powder Technol. 2018, 29, 2501–2511. [Google Scholar] [CrossRef]
- Petkowicz, D.I.; Pergher, S.B.; da Silva, C.D.S.; da Rocha, Z.N.; dos Santos, J.H. Catalytic photodegradation of dyes by in situ zeolite-supported titania. Chem. Eng. J. 2010, 158, 505–512. [Google Scholar] [CrossRef]
- Abukhadra, M.R.; Shaban, M.; Sayed, F.; Saad, I. Efficient photocatalytic removal of safarnin-O dye pollutants from water under sunlight using synthetic ben-tonite/polyaniline@ Ni2O3 photocatalyst of enhanced properties. Environ. Sci. Pollut. Res. 2018, 25, 33264–33276. [Google Scholar] [CrossRef]


















| Sr. No. | Type of Pollutant | Examples | Sources | Adverse Effects | Removal Techniques | Ref. |
|---|---|---|---|---|---|---|
| 1 | Suspended solids and sediments. | Sand particles, eroded minerals, etc. | Mining, coal washing, etc. | Reduced light penetration in water, temperature change, etc. | Gravity settling, centrifuge, etc. | [38,39] |
| 2 | Oxygen demanding wastes. | Dissolved organic matter. | Domestic wastes, pulp and paper mill, wastes from food processing plants, animal sewage, slaughter houses, agricultural runoffs, etc. | Reduce the oxygen levels in water. | Carbon oxidation process, co-aggulation, fluctuation. | [50] |
| 3 | Organic dyes. | Methylene blue, methyl orange, crystal violet, rhodamine B, etc. | Textile, pharmaceutical, food, laser printing industries. | Diarrhea, breathing difficulty, nausea, vomiting, gastrointestinal issues, carcinogenic and oncogenic effects. | Adsorption, membrane separation, advanced oxidation processes (AOPs), biological decolorization. | [2,51,52] |
| 4 | Pesticides. | Organochlorines such as DDT, chlordane, aldrin, organofluorines such as PFOA, PFOS. | Agricultural activities. | Respiratory and skin conditions, cancer, reproduction issues, endocrine disruption, etc. | Advanced oxidation processes (AOPs), activated sludge treatment, adsorption, membrane technologies, etc. | [53,54] |
| 5 | Heavy metals. | Zinc (Zn), mercury (Hg), lead (Pb), arsenic (As), iron (Fe), cadmium (Cd), etc. | Surface run-off, roadworks, metal-based industries, automobiles, etc. | Haze, corrosion, eutrophication, and can lead to acid rain, also inhibits the biodegradation of organochlorines. | Adsorption, ion exchange. | [55,56] |
| 6 | Radioactive pollutants. | Caesium, strontium, uranium etc. | Nuclear power plants | DNA damage, thyroid, lung and skin cancers, hair loss etc. | Precipitation, distillation, microbial remediations, etc. | [3] |
| 7 | Nutrients. | Nitrogen, phosphorus, etc. | Agricultural fertilizers, run-offs from storm water, household detergents, human wastes, etc. | Eutrophication, reduction in oxygen level of water, reduced sunlight penetration, affect the growth of plants, etc. | To remove phosphorus biological nutrient removal (BNR) and nitrification and denitrification to remove to remove nitrogen. | [57] |
| 8 | Human, animal, and plant pathogens (pathogen microorganisms). | Different types of bacteria, viruses, protozoa, and helminths. | Animal and human fecal wastes, household and laundry wastewater. | Waterborne diseases such as polio, hepatitis cholera, anemia, typhoid, gastroenteritis, etc. | Natural elimination by temperature or prolonged life or adsorption to particles and sedimentation disinfection by chlorination and UV radiation. | [58,59,60] |
| Name of Zeolite | Chemical Formula |
|---|---|
| Clinoptilolite | (Na2, K2 Ca)3Al6Si30O72·21H2O |
| Phillipsite | K2(Na2, Ca)2Al8Si10O32·12H2O |
| Mordenite | (Na2, Ca)4Al8Si40O96·28H2O |
| Stilbite | Na2Ca4Al10Si26O72·30H2O |
| Chabazite | (Na2, Ca, K2)2Al4Si8O24·12H2O |
| Analcime | Na16Al16Si32O96·16H2O |
| Ferrierite | (Na2, K2, Ca, Mg)3Al6Si30O72·20H2O |
| Laumontite | Ca2Al8S16O48·16H2O |
| Scolecite | Ca4Al8Si12O40·12H2O |
| Heulandite | Al8Si28Ca4O68·24H2O |
| Class of Zeolite | Number of Rings | Free Pore Diameter (nm) |
|---|---|---|
| (a) Zeolites with small pores | 8 | 0.3 to 0.45 |
| (b) Zeolites with medium pores | 10 | 0.45 to 0.6 |
| (c) Zeolites with large pores | 12 | 0.6 to 0.8 |
| (d) Zeolites with extra-large pores | 14 | 0.8 to1.0 |
| Class of Zeolite | Range of Si:Al Ratio |
|---|---|
| (e) Zeolites with small Si:Al ratio | 1.0 to 1.5 |
| (f) Zeolites with intermediate Si:Al ratio | 2 to 5 |
| (g) Zeolites with large Si:Al ratio | 10 to several thousands |
| Framework Type Code | Symmetry | Channel Dimensionality | Framework Density (Å3) | Total Volume (Å3) | Accessible Volume (%) | Order | Reference Material |
|---|---|---|---|---|---|---|---|
| ANA | Cubic | 3D | 19.2 T/1000 | 2497.2 | 0.00 | Fully ordered | Analcime |
| BEA | Tetragonal | 3D | 15.3 T/1000 | 4178.4 | 20.52 | Partially disordered | Beta polymorph A |
| CHA | Trigonal | 3D | 15.1 T/1000 | 4178.4 | 20.52 | Fully ordered | Chabazite |
| DFT | Tetragonal | 3D | 17.7 T/1000 | 451.7 | 6.58 | Fully ordered | DAF-2 |
| ERI | Hexagonal | 3D | 16.1 T/1000 | 2239.5 | 15.10 | Fully ordered | Erionite |
| FAU | Cubic | 3D | 13.3 T/1000 | 14,428.8 | 27.42 | Fully ordered | Faujasite |
| FER | Orthorhombic | 2D | 17.6 T/1000 | 2051.3 | 10.01 | Fully ordered | Ferrierite |
| HEU | Monoclinic | 2D | 17.5 T/1000 | 2054.8 | 9.42 | Fully ordered | Heulandite |
| LAU | Monoclinic | 1D | 18.0 T/1000 | 1333.6 | 9.57 | Fully ordered | Laumontite |
| MFI | Orthorhombic | 3D | 18.4 T/1000 | 5211.3 | 9.81 | Fully ordered | ZSM-5 |
| MOR | Orthorhombic | 2D | 17.0 T/1000 | 2827.3 | 12.27 | Fully ordered | Mordenite |
| MRE | Orthorhombic | 1D | 19.7 T/1000 | 2442.5 | 6.55 | Partially disordered | ZSM-48 |
| NAT | Tetragonal | 3D | 16.2 T/1000 | 1231.5 | 9.06 | Fully ordered | Natrolite |
| PHI | Orthorhombic | 3D | 16.4 T/1000 | 1953.7 | 9.89 | Fully ordered | Phillipsite |
| Modification Method | Process | Advantages | Disadvantages | Ref. |
|---|---|---|---|---|
| Acid/base treatment. | Simple ion exchange using dilute acid solution. | Pore volume and electrostatic surface area is increased. | Decrease in CEC due to dealumination, decrease in thermal stability. | [92] |
| Surfactant modification. | By introducing cationic organic surfactants such as tetramethylammonium, hexadecyl trimethyl ammonium (HDTMA), n-cetyl pyridinium (CPD), etc. | Increases the hydrophobicity of zeolite, making it appropriate for the adsorption of a wide range of organic pollutants. | Complicated functional groups are formed for cationic exchange sites due to formation of admicelle. | [93,94,95] |
| Ultrasonic modification. | By sonicating with a solvent with help of an ultrasonicator bath. | Impurities are removed from the channel and the surface area is increased. | Always used in combination with other methods, inefficient. | [96] |
| Thermal modification. | By heating in the oven or muffle furnace. | Evaporation of water, removal of contaminants from the channel, and expansion of the pore diameter. | Uneven heating. | [97] |
| Sample | Weight Content | FeZSM/PANI Weight Ratio | % Removal | % Degradation | % Adsorption | |
|---|---|---|---|---|---|---|
| FeZSM-5 | PANI | |||||
| PANI | - | - | - | 12.4 | 11.6 | 0.8 |
| ZSM-5 | - | - | - | 12.8 | 7.1 | 5.7 |
| PFeZ1/1 | 43.1 | 52.2 | 0.83 | 40.8 | 31.9 | 8.9 |
| PFeZ1/5 | 77.9 | 18.1 | 4.30 | 80.4 | 66.5 | 13.9 |
| PANI/S | - | - | - | 10.2 | 9.7 | 0.5 |
| PFeZ1/1S | 42.2 | 51.6 | 0.82 | 26.8 | 22.6 | 4.2 |
| PFeZ1/5S | 76.9 | 16.8 | 4.58 | 18.1 | 13.6 | 4.5 |
| PANId | - | - | - | 56.6 | 54.4 | 2.2 |
| PFeZ1/1d | 47.4 | 48.4 | 0.98 | 13.6 | 8.4 | 5.2 |
| PFeZ1/5d | 78.9 | 15.0 | 5.26 | 20.4 | 14.6 | 5.8 |
| PANI/Sd | - | - | - | 6.6 | 2.8 | 3.8 |
| PFeZ1/1Sd | 47.2 | 48.4 | 0.98 | 7.4 | 1.1 | 6.3 |
| PFeZ1/5Sd | 79.4 | 15.5 | 5.12 | 3.8 | 0 | 3.8 |
| Material | Source /Synthesis Approach | Band Gap (eV) | Contaminant | Mechanism | Dosage (mg/mL) | Concentration (ppm) | Contact Time | Removal | Light Source | Published Year | Ref |
|---|---|---|---|---|---|---|---|---|---|---|---|
| Zeolite | Indonesia commercial | NH4+ | Adsorption, ion exchange | 0.00152 | 12.9 | 134.89 min | 98% | 2020 | [76] | ||
| Natural zeolite | Chinese commercial | NH4+ | Adsorption | 0.048 | 80 | 180 min | 96% | 2010 | [11] | ||
| Natural zeolite | Australia commercial | Methylene blue | Adsorption | 0.25 | 3.55 | 200 h | 6.8 × 10−5 mol/g | 2005 | [75] | ||
| Natural zeolite | Australia commercial | Rhodamine B | Adsorption | 0.25 | 3.55 | 50 h | 2.1 × 10−5 mol/g | 2005 | [75] | ||
| Hydrogenated form of natural zeolite | Carranco Blanco | 2.63 | Caffeine | Photocatalysis | 10 | 50 | 4 h | 99% | UV | 2020 | [13] |
| Synthetic zeolite | Hydrothermal treatment using aluminum iso propoxide | 3.29 | Methylene blue | Photocatalysis | 2 | 10 | 180 min | 85% | UV | 2020 | [14] |
| Titania- Supported zeolite | In situ using TiCl4 impregnation | 3.31 | Methylene blue | Photocatalysis | 0.33 | 30 | 60 min | 40% | UV | 2010 | [130] |
| Titania- supported zeolite | In situ using TiCl4 impregnation | 3.31 | Direct blue 71 | Photocatalysis | 0.33 | 30 | 60 min | 55% | UV | 2010 | [130] |
| Titania- supported zeolite | In situ using TiCl4 impregnation | 3.31 | Direct yellow 8 | Photocatalysis | 0.33 | 30 | 60 min | 62.5% | UV | 2010 | [130] |
| Heulandite/ Polyaniline/nickel oxide | In situ polymerization followed by Ni2O3 impregnation | 1.42 | Safranin T | Photocatalysis | 0.35 | 5 | 1 min | 100% | Solar irradiation | 2018 | [30] |
| bentonite/ PANI/Ni2O3 | In situ polymerization followed by Ni2O3 impregnation | 1.61 | Safranin-O | Photocatalysis | 0.5 | 5 | 90 min | 100% | Sunlight | 2018 | [131] |
| Heulandite/ polyaniline | Mechanical mixing | 1.69 | LGSF | Photocatalysis | 0.3 | 15 | 589 min | 97% | VIS | 2018 | [129] |
| Heulandite/ polyaniline | Mechanical mixing | 1.69 | MB | Photocatalysis | 0.2 | 20 | 589 min | 68.77% | VIS | 2018 | [129] |
| Fe-Al bimetallic oxide loaded zeolite | Co-precipitation | Cr(IV) | Adsorption | 40 | 20 | 300 min | 84.9% | 2020 | [106] | ||
| Zeolite/ZnO | Wet impregnation method | Caffeine | Adsorption/photocatalysis | 500 | 25 | 120 min | 100% | UV | 2018 | [24] | |
| Zeolite/ZnO | Co-precipitation | Pb(II) | Adsorption | 3 | 100 | 30 min | 92% | 2017 | [101] | ||
| Zeolite/ZnO | Co-precipitation | As(V) | Adsorption | 3 | 10 | 30 min | 85.7% | 2017 | [101] | ||
| Zeolite/TiO2 | Sol-gel | Sulfadiazine | Photocatalysis | 1 | 1 | 120 min | 93.31% | UV | 2018 | [23] | |
| Zeolite/Activated carbon | Hydrothermal | Cu+2 | Adsorption | 2 | 240 | 60 min | 92.8% | 2020 | [19] | ||
| Zeolite/Activated carbon | Hydrothermal | Rhodamine B | Adsorption | 2 | 240 | 60 min | 94.2% | 2020 | [19] | ||
| Zeolite/Activated carbon | Fusion/Hydrothermal | Methylene blue | Adsorption | 1 | 100 | 30 h | 83% | 2016 | [114] | ||
| Zeolite/Poly pyrrole | In situ polymerization | Reactive Red | Adsorption | 1.8 | 75 | 75 min | 88.3% | 2022 | [25] | ||
| Zeolite/Poly pyrrole | In situ polymerization | Reactive Blue | Adsorption | 1.8 | 75 | 75 min | 86.2% | 2022 | [25] |
Publisher’s Note: MDPI stays neutral with regard to jurisdictional claims in published maps and institutional affiliations. |
© 2022 by the authors. Licensee MDPI, Basel, Switzerland. This article is an open access article distributed under the terms and conditions of the Creative Commons Attribution (CC BY) license (https://creativecommons.org/licenses/by/4.0/).
Share and Cite
Sodha, V.; Shahabuddin, S.; Gaur, R.; Ahmad, I.; Bandyopadhyay, R.; Sridewi, N. Comprehensive Review on Zeolite-Based Nanocomposites for Treatment of Effluents from Wastewater. Nanomaterials 2022, 12, 3199. https://doi.org/10.3390/nano12183199
Sodha V, Shahabuddin S, Gaur R, Ahmad I, Bandyopadhyay R, Sridewi N. Comprehensive Review on Zeolite-Based Nanocomposites for Treatment of Effluents from Wastewater. Nanomaterials. 2022; 12(18):3199. https://doi.org/10.3390/nano12183199
Chicago/Turabian StyleSodha, Veena, Syed Shahabuddin, Rama Gaur, Irfan Ahmad, Rajib Bandyopadhyay, and Nanthini Sridewi. 2022. "Comprehensive Review on Zeolite-Based Nanocomposites for Treatment of Effluents from Wastewater" Nanomaterials 12, no. 18: 3199. https://doi.org/10.3390/nano12183199
APA StyleSodha, V., Shahabuddin, S., Gaur, R., Ahmad, I., Bandyopadhyay, R., & Sridewi, N. (2022). Comprehensive Review on Zeolite-Based Nanocomposites for Treatment of Effluents from Wastewater. Nanomaterials, 12(18), 3199. https://doi.org/10.3390/nano12183199

