Nanoparticles of Mixed-Valence Oxides MnXCO3-XO4 (0 ≤ X ≤ 1) Obtained with Agar-Agar from Red Algae (Rhodophyta) for Oxygen Evolution Reaction
Abstract
:1. Introduction
2. Experimental Section
2.1. Materials
2.2. Synthesis of the Proteic Sol-Gel Using Agar-Agar
2.3. Structural and Morphological Characterization
2.4. Electrochemical Characterization
3. Results
3.1. X-ray Diffraction (XRD)
3.2. Field-Emission Scanning Electron Microscopy (FESEM)
3.3. Transmission Electron Microscopy (TEM)
3.4. Fourier-Transform Infrared (FT-IR) Spectroscopy
3.5. Ultraviolet–Visible Spectroscopy (UV–Vis)
3.6. Raman Spectroscopy
3.7. X-ray Photoelectron Spectroscopy (XPS)
3.8. Vibrating Sample Magnetometer (VSM)
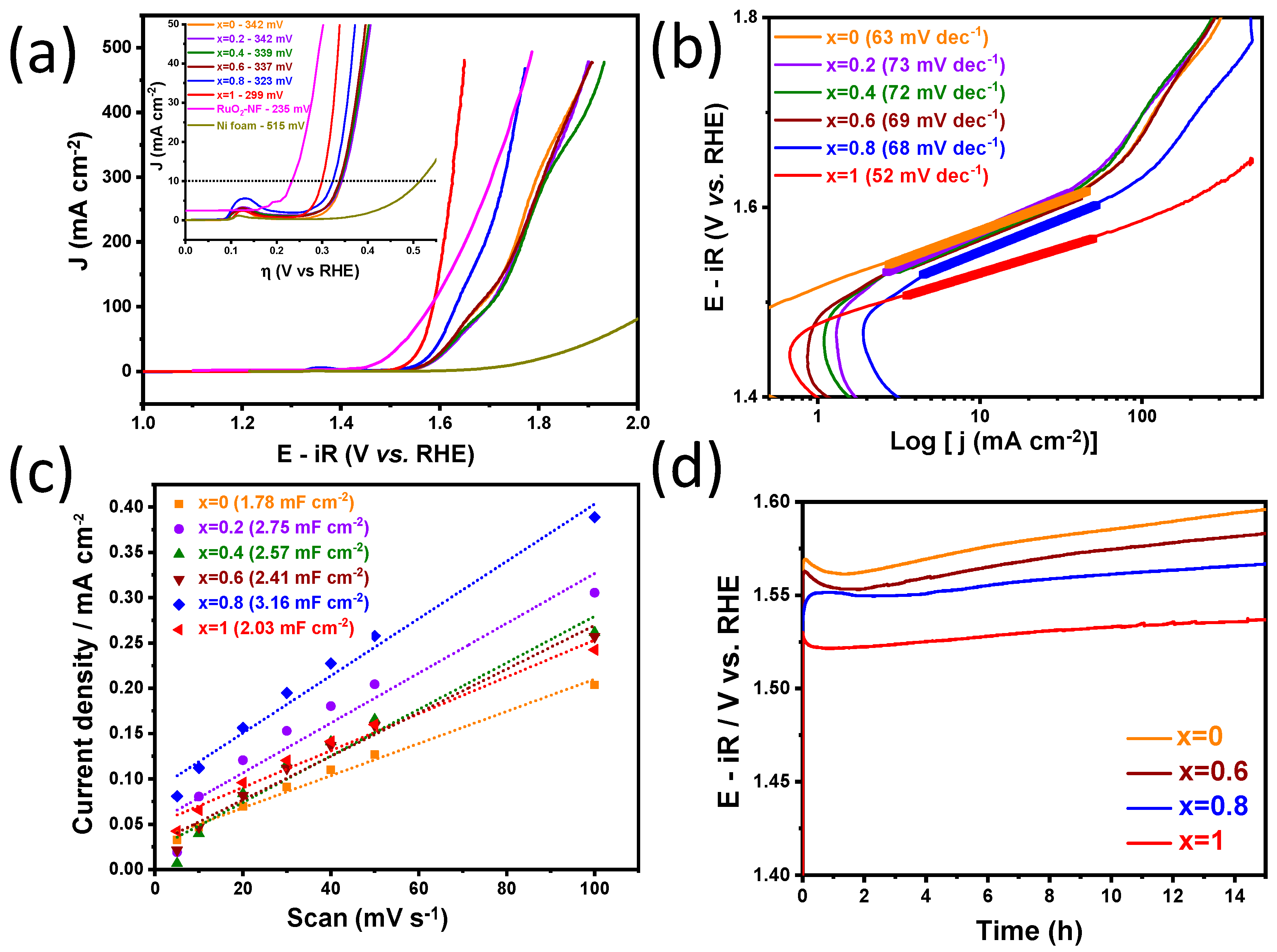
3.9. Oxygen Evolution Reaction (OER)
3.10. Electrochemical Impedance Spectroscopy (EIS)
4. Conclusions
Author Contributions
Funding
Institutional Review Board Statement
Informed Consent Statement
Data Availability Statement
Acknowledgments
Conflicts of Interest
References
- Roy, A.; Jadhav, H.S.; Cho, M.; Seo, J.G. Electrochemical deposition of self-supported bifunctional copper oxide electrocatalyst for methanol oxidation and oxygen evolution reaction. J. Ind. Eng. Chem. 2019, 76, 515–523. [Google Scholar] [CrossRef]
- Sivakumar, P.; Subramanian, P.; Maiyalagan, T.; Gedanken, A.; Schechter, A. Ternary nickel–cobalt–manganese spinel oxide nanoparticles as heterogeneous electrocatalysts for oxygen evolution and oxygen reduction reaction. Mater. Chem. Phys. 2019, 229, 190–196. [Google Scholar] [CrossRef]
- Jiang, B.; Kim, J.; Guo, Y.; Wu, K.C.W.; Alshehri, S.M.; Ahamad, T.; Alhokbany, N.; Henzie, J.; Yamachi, Y. Efficient oxygen evolution on mesoporous IrO:X nanosheets. Catal. Sci. Technol. 2019, 9, 3697–3702. [Google Scholar] [CrossRef]
- Tu, Q.; Mo, J.; Liu, Z.; Gong, C.; Fan, Y. Using green finance to counteract the adverse effects of COVID-19 pandemic on renewable energy investment-The case of offshore wind power in China. Energy Policy 2021, 158, 112542. [Google Scholar] [CrossRef] [PubMed]
- Iskandarova, M.; Dembek, A.; Fraaije, M.; Matthews, W.; Stasik, A.; Wittmayer, J.M.; Sovacool, B.K. Who finances renewable energy in Europe? Examining temporality, authority and contestation in solar and wind subsidies in Poland, the Netherlands and the United Kingdom. Energy Strateg. Rev. 2021, 38, 100730. [Google Scholar] [CrossRef]
- Cousse, J. Still in love with solar energy? Installation size, affect, and the social acceptance of renewable energy technologies. Renew. Sustain. Energy Rev. 2021, 145, 111107. [Google Scholar] [CrossRef]
- Sayed, E.T.; Wilberforce, T.; Elsaid, K.; Rabaia, M.K.H.; Abdelkareem, M.A.; Chae, K.-J.; Olabi, A. A critical review on environmental impacts of renewable energy systems and mitigation strategies: Wind, hydro, biomass and geothermal. Sci. Total Environ. 2021, 766, 144505. [Google Scholar] [CrossRef]
- Rashidi, S.; Karimi, N.; Sunden, B.; Kim, K.C.; Olabi, A.G.; Mahian, O. Progress and challenges on the thermal management of electrochemical energy conversion and storage technologies: Fuel cells, electrolysers, and supercapacitors. Prog. Energy Combust. Sci. 2022, 88, 100966. [Google Scholar] [CrossRef]
- Tomon, C.; Sarawutanukul, S.; Phattharasupakun, N.; Duangdangchote, S.; Chomkhundtod, P.; Kidkhunthod, P.; Sawangphruk, M. Insight into photoelectrocatalytic mechanisms of bifunctional cobaltite hollow-nanofibers towards oxygen evolution and oxygen reduction reactions for high-energy zinc-air batteries. Electrochim. Acta 2021, 392, 139022. [Google Scholar] [CrossRef]
- Vazhayil, A.; Vazhayal, L.; Thomas, J.; Ashok, C.S.; Thomas, N. A comprehensive review on the recent developments in transition metal-based electrocatalysts for oxygen evolution reaction. Appl. Surf. Sci. Adv. 2021, 6, 100184. [Google Scholar] [CrossRef]
- Anwar, S.; Khan, F.; Zhang, Y.; Djire, A. Recent development in electrocatalysts for hydrogen production through water electrolysis. Int. J. Hydrogen Energy 2021, 46, 32284–32317. [Google Scholar] [CrossRef]
- Lourenço, A.D.A.; Silva, V.D.; da Silva, R.; Silva, U.C.; Chesman, C.; Salvador, C.; Simões, T.; de Macedo, D.A.; da Silva, F.F. Metal-organic frameworks as template for synthesis of Mn3+/Mn4+ mixed valence manganese cobaltites electrocatalysts for oxygen evolution reaction. J. Colloid Interface Sci. 2021, 582, 124–136. [Google Scholar] [CrossRef] [PubMed]
- Song, X.-Z.; Zhang, N.; Liu, F.; Wang, Z.-H.; Zhu, W.-Y.; Zhang, G.-Z.; Niu, Z.-Y.; Wang, X.-F.; Tan, Z. Spontaneously engineering heterogeneous interface of silver nanoparticles on α-Co(OH)2 for boosting electrochemical oxygen evolution. J. Alloys Compd. 2021, 873, 159766. [Google Scholar] [CrossRef]
- Zhang, T.; Meng, Y.-L.; Zhao, Y.-H.; Ni, J.-C.; Pan, Y.; Dai, Y.; Tan, Z.; Wang, X.-F.; Song, X.-Z. Boosting oxygen evolution electrocatalysis of high-entropy hydroxide by high-valency nickel regulation. Chem. Commun. 2022, 58, 7682–7685. [Google Scholar] [CrossRef]
- Jamesh, M.I.; Sun, X. Recent progress on earth abundant electrocatalysts for oxygen evolution reaction (OER) in alkaline medium to achieve efficient water splitting—A review. J. Power Sources 2018, 400, 31–68. [Google Scholar] [CrossRef]
- Lankauf, K.; Cysewska, K.; Karczewski, J.; Mielewczyk-Gryń, A.; Górnicka, K.; Cempura, G.; Chen, M.; Jasiński, P.; Molin, S. MnxCo3−xO4 spinel oxides as efficient oxygen evolution reaction catalysts in alkaline media. Int. J. Hydrogen Energy 2020, 45, 14867–14879. [Google Scholar] [CrossRef]
- Tao, L.; Guo, P.; Zhu, W.; Li, T.; Zhou, X.; Fu, Y.; Yu, C.; Ji, H. Highly efficient mixed-metal spinel cobaltite electrocatalysts for the oxygen evolution reaction. Chin. J. Catal. 2020, 41, 1855–1863. [Google Scholar] [CrossRef]
- Liu, Q.; Chen, Z.; Yan, Z.; Wang, Y.; Wang, E.; Wang, S.; Wang, S.; Sun, G. Crystal-Plane-Dependent Activity of Spinel Co3O4 Towards Water Splitting and the Oxygen Reduction Reaction. ChemElectroChem 2018, 5, 1080–1086. [Google Scholar] [CrossRef]
- Leng, M.; Huang, X.; Xiao, W.; Ding, J.; Liu, B.; Du, Y.; Xue, J. Enhanced oxygen evolution reaction by Co-O-C bonds in rationally designed Co3O4/graphene nanocomposites. Nano Energy 2017, 33, 445–452. [Google Scholar] [CrossRef]
- Lee, E.; Jang, J.H.; Kwon, Y.U. Composition effects of spinel MnxCo3−xO4 nanoparticles on their electrocatalytic properties in oxygen reduction reaction in alkaline media. J. Power Sources 2015, 273, 735–741. [Google Scholar] [CrossRef]
- Rios, E.; Chartier, P.; Gautier, J.-L. Oxygen evolution electrocatalysis in alkaline medium at thin MnxCo3−xO4 (0 ≤ x ≤ 1) spine1 films on glass/SnO2: F prepared by spray pyrolysis. Solid State Sci. 1999, 1, 267–277. [Google Scholar] [CrossRef]
- Shi, C.; Ullah, S.; Li, K.; Wang, W.; Zhang, R.; Pan, L.; Zhang, X.; Zou, J.-J. Low-temperature synthesis of ultrasmall spinel MnxCo3−xO4 nanoparticles for efficient oxygen reduction. Chin. J. Catal. 2020, 41, 1818–1825. [Google Scholar] [CrossRef]
- Shen, Z.; Rong, J.; Yu, X. MnxCo3−xO4 spinel coatings: Controlled synthesis and high temperature oxidation resistance behavior. Ceram. Int. 2020, 46, 5821–5827. [Google Scholar] [CrossRef]
- Li, D.; Kang, Z.; Sun, H.; Wang, Y.; Xie, H.; Liu, J.; Zhu, J. A bifunctionalMnxCo3−xO4-decorated separator for efficient Li-LiI-O2 batteries: A novel strategy to promote redox coupling and inhibit redox shuttling. Chem. Eng. J. 2022, 428, 131105. [Google Scholar] [CrossRef]
- Wang, Y.; Yang, Y.; Jia, S.; Wang, X.; Lyu, K.; Peng, Y.; Zheng, H.; Wei, X.; Ren, H.; Xiao, L.; et al. Synergistic Mn-Co catalyst outperforms Pt on high-rate oxygen reduction for alkaline polymer electrolyte fuel cells. Nat. Commun. 2019, 10, 1506. [Google Scholar] [CrossRef]
- Talic, B.; Hendriksen, P.V.; Wiik, K.; Lein, H.L. Thermal expansion and electrical conductivity of Fe and Cu doped MnCo2O4 spinel. Solid State Ion. 2018, 326, 90–99. [Google Scholar] [CrossRef]
- Zhao, Q.; Yan, Z.; Chen, C.; Chen, J. Spinels: Controlled Preparation, Oxygen Reduction/Evolution Reaction Application, and beyond. Chem. Rev. 2017, 117, 10121–10211. [Google Scholar] [CrossRef]
- Mandal, B.; Mitra, P. Grain growth correlated complex impedance spectroscopy, modulus spectroscopy and carrier hopping mechanism in MnCo2O4, Influence of sintering temperature. Mater. Chem. Phys. 2020, 251, 123095. [Google Scholar] [CrossRef]
- Tajik, S.; Dubal, D.P.; Gomez-Romero, P.; Yadegari, A.; Rashidi, A.; Nasernejad, B.; Inamuddin; Asiri, A.M. Nanostructured mixed transition metal oxides for high performance asymmetric supercapacitors: Facile synthetic strategy. Int. J. Hydrogen Energy 2017, 42, 12384–12395. [Google Scholar] [CrossRef]
- Yang, H.; Hu, F.; Zhang, Y.; Shi, L.; Wang, Q. Controlled synthesis of porous spinel cobalt manganese oxides as efficient oxygen reduction reaction electrocatalysts. Nano Res. 2016, 9, 207–213. [Google Scholar] [CrossRef]
- Lavela, P.; Tirado, J.L.; Vidal-Abarca, C. Sol-gel preparation of cobalt manganese mixed oxides for their use as electrode materials in lithium cells. Electrochim. Acta 2007, 52, 7986–7995. [Google Scholar] [CrossRef]
- Park, K.R.; Jeon, J.E.; Ali, G.; Ko, Y.-H.; Lee, J.; Han, H.; Mhin, S. Oxygen evolution reaction of Co-Mn-O electrocatalyst prepared by solution combustion synthesis. Catalysts 2019, 9, 564. [Google Scholar] [CrossRef]
- Zhao, T.; Gadipelli, S.; He, G.; Ward, M.J.; Do, D.; Zhang, P.; Guo, Z. Tunable Bifunctional Activity of MnxCo3−xO4 Nanocrystals Decorated on Carbon Nanotubes for Oxygen Electrocatalysis. ChemSusChem 2018, 11, 1295–1304. [Google Scholar] [CrossRef]
- Wei, C.; Feng, Z.; Scherer, G.G.; Barber, J.; Shao-Horn, Y.; Xu, Z.J. Cations in Octahedral Sites: A Descriptor for Oxygen Electrocatalysis on Transition-Metal Spinels. Adv. Mater. 2017, 29, 1606800. [Google Scholar] [CrossRef]
- Bobruk, M.; Brylewska, K.; Durczak, K.; Wojciechowski, K.; Adamczyk, A.; Brylewski, T. Synthesis of manganese-cobalt spinel via wet chemistry methods and its properties. Ceram. Int. 2017, 43, 15597–15609. [Google Scholar] [CrossRef]
- Ríos, E.; Peña, O.; Guizouarn, T.; Gautier, J.-L. Thin films of Co3O4, MnCo2O4 and their solid solution as electrocatalyst: Study of their magnetic properties. Phys. Status Solidi 2004, 1, S108–S111. [Google Scholar] [CrossRef]
- Rebekah, A.; Anantharaj, S.; Viswanthan, C.; Ponpandian, N. ScienceDirect Zn-substituted MnCo2O4 nanostructure anchored over rGO for boosting the electrocatalytic performance towards methanol oxidation and oxygen evolution reaction (OER). Int. J. Hydrogen Energy 2020, 45, 14713–14727. [Google Scholar] [CrossRef]
- Itteboina, R.; Sau, T.K. Sol-gel synthesis and characterizations of morphology-controlled Co3O4 particles. Mater. Today Proc. 2019, 9, 458–467. [Google Scholar] [CrossRef]
- Guo, J.; Chen, L.; Zhang, X.; Jiang, B.; Ma, L. Sol-gel synthesis of mesoporous Co3O4 octahedra toward high-performance anodes for lithium-ion batteries. Electrochim. Acta 2014, 129, 410–415. [Google Scholar] [CrossRef]
- Silva, R.M.; Raimundo, R.A.; Fernandes, W.V.; Torres, S.M.; Silva, V.D.; Grilo, J.P.; Morales, M.A.; Macedo, D.A. Proteic sol-gel synthesis, structure and magnetic properties of Ni/NiO core-shell powders. Ceram. Int. 2018, 44, 6152–6156. [Google Scholar] [CrossRef]
- Amri, A.; Jiang, Z.T.; Pryor, T.; Yin, C.Y.; Djordjevic, S. Developments in the synthesis of flat plate solar selective absorber materials via sol-gel methods: A review. Renew. Sustain. Energy Rev. 2014, 36, 316–328. [Google Scholar] [CrossRef]
- Nair, P.A.K.; Vasconcelos, W.L.; Paine, K.; Calabria-Holley, J. A review on applications of sol-gel science in cement. Constr. Build. Mater. 2021, 291, 123065. [Google Scholar] [CrossRef]
- da Silva, M.V.; Fajardo, H.V.; Rodrigues, T.S.; e Silva, F.A.; Bergamaschi, V.S.; Dias, A.; Siqueira, K.P. Synthesis of NiMoO4 ceramics by proteic sol-gel method and investigation of their catalytic properties in hydrogen production. Mater. Chem. Phys. 2021, 262, 124301. [Google Scholar] [CrossRef]
- Pimentel, P.M.; Lima, S.V.M.; Costa, A.F.; Câmara, M.S.C.; Carregosa, J.D.C.; Oliveira, R.M.P.B. Gelatin synthesis and color properties of (La, Pr, Nd) lanthanide aluminates. Ceram. Int. 2017, 43, 6592–6596. [Google Scholar] [CrossRef]
- Santos, J.R.; Loureiro, F.J.; Grilo, J.P.; Silva, V.D.; Simões, T.A.; Fagg, D.P.; Macedo, D.A. Understanding the cathodic polarisation behaviour of the misfit [Ca2CoO3−δ]q[CoO2] (C349) as oxygen electrode for IT-SOFC. Electrochim. Acta 2018, 285, 214–220. [Google Scholar] [CrossRef]
- Ferreira, L.S.; Silva, T.R.; Silva, V.D.; Simões, T.A.; Araújo, A.J.; Morales, M.A.; Macedo, D.A. Proteic sol-gel synthesis, structure and battery-type behavior of Fe-based spinels (MFe2O4, M = Cu, Co, Ni). Adv. Powder Technol. 2020, 31, 604–613. [Google Scholar] [CrossRef]
- Santos, J.V.A.; Macedo, M.A.; Cunha, F.; Sasaki, J.M.; Duque, J.G.S. BaFe12O19 thin film grown by an aqueous sol-gel process. Microelectron. J. 2003, 34, 565–567. [Google Scholar] [CrossRef]
- Ferreira, L.S.; Silva, T.R.; Santos, J.R.; Silva, V.D.; Raimundo, R.A.; Morales, M.A.; Macedo, D.A. Structure, magnetic behavior and OER activity of CoFe2O4 powders obtained using agar-agar from red seaweed (Rhodophyta). Mater. Chem. Phys. 2019, 237, 121847. [Google Scholar] [CrossRef]
- Rees, D.A. Structure, Conformation, and Mechanism in the Formation of Polysaccharide Gels and Networks. Adv. Carbohydr. Chem. Biochem. 1969, 24, 267–332. [Google Scholar] [CrossRef]
- Rhein-Knudsen, N.; Ale, M.T.; Ajalloueian, F.; Yu, L.; Meyer, A.S. Rheological properties of agar and carrageenan from Ghanaian red seaweeds. Food Hydrocoll. 2017, 63, 50–58. [Google Scholar] [CrossRef]
- Kartik, A.; Akhil, D.; Lakshmi, D.; Gopinath, K.P.; Arun, J.; Sivaramakrishnan, R.; Pugazhendhi, A. A critical review on production of biopolymers from algae biomass and their applications. Bioresour. Technol. 2021, 329, 124868. [Google Scholar] [CrossRef] [PubMed]
- Malagurski, I.; Levic, S.; Nesic, A.; Mitric, M.; Pavlovic, V.; Dimitrijevic-Brankovic, S. Mineralized agar-based nanocomposite films: Potential food packaging materials with antimicrobial properties. Carbohydr. Polym. 2017, 175, 55–62. [Google Scholar] [CrossRef]
- Francavilla, M.; Pineda, A.; Lin, C.S.; Franchi, M.; Trotta, P.; Romero, A.A.; Luque, R. Natural porous agar materials from macroalgae. Carbohydr. Polym. 2013, 92, 1555–1560. [Google Scholar] [CrossRef]
- Arnott, S.; Fulmer, A.; Scott, W.E.; Dea, I.C.M.; Moorhouse, R.; Rees, D.A. The Agarose Double Helix and Its Function in Agarose Gel Structure. J. Mol. Biol. 1974, 90, 269–284. [Google Scholar] [CrossRef]
- Pradhan, B.; Bhuyan, P.P.; Patra, S.; Nayak, R.; Behera, P.K.; Behera, C.; Behera, A.K.; Ki, J.-S.; Jena, M. Beneficial effects of seaweeds and seaweed-derived bioactive compounds: Current evidence and future prospective. Biocatal. Agric. Biotechnol. 2022, 39, 102242. [Google Scholar] [CrossRef]
- Picard, J.P.; Baud, G.; Besse, J.P.; Chevalier, R. Croissance cristalline et étude structurale de Co3O4. J. Less-Common Met. 1980, 75, 99–104. [Google Scholar] [CrossRef]
- Dang, W.; Tang, X.; Wang, W.; Yang, Y.; Li, X.; Huang, L.; Zhang, Y. Micro-nano NiO-MnCo2O4heterostructure with optimal interfacial electronic environment for high performance and enhanced lithium storage kinetics. Dalton Trans. 2020, 49, 10994–11004. [Google Scholar] [CrossRef]
- Restovic, A.; Ríos, E.; Barbato, S.; Ortiz, J.; Gautier, J. Oxygen reduction in alkaline medium at thin MnxCo3−xO4 (0 ≤ x ≤ 1) spinel films prepared by spray pyrolysis. Effect of oxide cation composition on the reaction kinetics. J. Electroanal. Chem. 2002, 522, 141–151. [Google Scholar] [CrossRef]
- Raj, S.; Anantharaj, S.; Kundu, S.; Roy, P. In Situ Mn-Doping-Promoted Conversion of Co(OH)2 to Co3O4 as an Active Electrocatalyst for Oxygen Evolution Reaction. ACS Sustain. Chem. Eng. 2019, 7, 9690–9698. [Google Scholar] [CrossRef]
- Hu, H.; Cai, S.; Li, H.; Huang, L.; Shi, L.; Zhang, D. In Situ DRIFTs Inestigation of the Low-Temperature Reaction Mechanism over Mn-Doped Co3O4 for the Selective Catalytic Reduction of NO with NH. J. Phys. Chem. C 2015, 119, 22924–22933. [Google Scholar] [CrossRef]
- Wyckoff, R.W.G. Crystal Structures, 1st ed.; Interseience: New York, NY, USA; London, UK; Sydney, Australia, 1963; Volume 1. [Google Scholar] [CrossRef]
- Dutta, A. Fourier Transform Infrared Spectroscopy; Elsevier Inc.: Amsterdam, The Netherlands, 2017; Volume 2. [Google Scholar] [CrossRef]
- Ai, L.H.; Jiang, J. Rapid synthesis of nanocrystalline Co3O4 by a microwave-assisted combustion method. Powder Technol. 2009, 195, 11–14. [Google Scholar] [CrossRef]
- Yin, J.; Cao, H.; Lu, Y. Self-assembly into magnetic Co3O4 complex nanostructures as peroxidase. J. Mater. Chem. 2012, 22, 527–534. [Google Scholar] [CrossRef]
- Tholkappiyan, R.; Naveen, A.N.; Sumithra, S.; Vishista, K. Investigation on spinel MnCo2O4 electrode material prepared via controlled and uncontrolled synthesis route for supercapacitor application. J. Mater. Sci. 2015, 50, 5833–5843. [Google Scholar] [CrossRef]
- Petit, S.; Madejova, J. Fourier Transform Infrared Spectroscopy, 2nd ed.; Elsevier Ltd.: Amsterdam, The Netherlands, 2013; Volume 5. [Google Scholar] [CrossRef]
- Basumatary, K.; Daimary, P.; Das, S.K.; Thapa, M.; Singh, M.; Mukherjee, A.; Kumar, S. Lagerstroemia speciosa fruit-mediated synthesis of silver nanoparticles and its application as filler in agar based nanocomposite films for antimicrobial food packaging. Food Packag. Shelf Life 2018, 17, 99–106. [Google Scholar] [CrossRef]
- Naveen, A.N.; Selladurai, S. Investigation on physiochemical properties of Mn substituted spinel cobalt oxide for supercapacitor applications. Electrochim. Acta 2014, 125, 404–414. [Google Scholar] [CrossRef]
- Xie, L.; Li, K.; Sun, G.; Hu, Z.; Lv, C.; Wang, J.; Zhang, C. Preparation and electrochemical performance of the layered cobalt oxide (Co3O4) as supercapacitor electrode material. J. Solid State Electrochem. 2013, 17, 55–61. [Google Scholar] [CrossRef]
- Habibi, M.H.; Bagheri, P. Enhanced photo-catalytic degradation of naphthol blue black on nano-structure MnCo2O4, charge separation of the photo-generated electron–hole pair. J. Mater. Sci. Mater. Electron. 2017, 28, 289–294. [Google Scholar] [CrossRef]
- Uke, S.J.; Chaudhari, G.N.; Kumar, Y.; Mardikar, S.P. Tri-Ethanolamine-Ethoxylate assisted hydrothermal synthesis of nanostructured MnCo2O4 with superior electrochemical performance for high energy density supercapacitor application. Mater. Today Proc. J. 2021, 43, 2792–2799. [Google Scholar] [CrossRef]
- Mu, J.; Zhang, L.; Zhao, M.; Wang, Y. Co3O4 nanoparticles as an efficient catalase mimic: Properties, mechanism and its electrocatalytic sensing application for hydrogen peroxide. J. Mol. Catal. A Chem. 2013, 378, 30–37. [Google Scholar] [CrossRef]
- Deng, J.; Cheng, Y.-Q.; Lu, Y.-A.; Crittenden, J.C.; Zhou, S.-Q.; Gao, N.-Y.; Li, J. Mesoporous Manganese Cobaltite Nanocages as Effective and Reusable Heterogeneous Peroxymonosulfate Activators for Carbamazepine Degradation. Chem. Eng. J. 2017, 330, 505–517. [Google Scholar] [CrossRef]
- Mohamed, M.A.; Jaafar, J.; Ismail, A.F.; Othman, M.H.D.; Rahman, M.A. Fourier Transform Infrared (FTIR) Spectroscopy; Elsevier B.V.: Amsterdam, The Netherlands, 2017. [Google Scholar] [CrossRef]
- Rojas, R.M.; Vila, E.; García, O.; de Vidales, J.L.M. Thermal Behaviour and Reactivity of Manganese Cobaltites MnxCo3-xO4 (0.0 < x < 1.0) obtained at Low Temperature. J. Mater. Chem. 1994, 4, 1635–1639. [Google Scholar] [CrossRef]
- Zhang, N.; Shi, J.; Mao, S.S.; Guo, L. Co3O4 quantum dots: Reverse micelle synthesis and visible-light-driven photocatalytic overall water splitting. Chem. Commun. 2014, 50, 2002–2004. [Google Scholar] [CrossRef] [PubMed]
- Barreca, D.; Massignan, C.; Daolio, S.; Fabrizio, M.; Piccirillo, C.; Armelao, L.; Tondello, E. Composition and Microstructure of Cobalt Oxide Thin Films Obtained from a Novel Cobalt (II) Precursor by Chemical Vapor Deposition. Chem. Mater. 2001, 13, 588–593. [Google Scholar] [CrossRef]
- Cook, J.G.; Meer, M.P.V.D. The Optical Properties of Sputtered Co3O4 Films. Thin Solid Films 1986, 144, 165–176. [Google Scholar] [CrossRef]
- SSun, C.; Yang, J.; Dai, Z.; Wang, X.; Zhang, Y.; Li, L.; Chen, P.; Huang, W.; Dong, X. Nanowires assembled from MnCo2O4@C nanoparticles for water splitting and all-solid-state supercapacitor. Nano Res. 2016, 9, 1300–1309. [Google Scholar] [CrossRef]
- Saravanakumar, B.; Ravi, G.; Ganesh, V.; Guduru, R.K.; Yuvakkumar, R. MnCo2O4 nanosphere synthesis for electrochemical applications. Mater. Sci. Energy Technol. 2018, 2, 130–138. [Google Scholar] [CrossRef]
- Hadjiev, V.G.; Iliev, M.; Vergilov, I.V. The Raman spectra of Co3O4. J. Phys. C Solid State Phys. 1988, 21, L199–L201. [Google Scholar] [CrossRef]
- Jiang, J.; Li, L. Synthesis of sphere-like Co3O4 nanocrystals via a simple polyol route. Mater. Lett. 2007, 61, 4894–4896. [Google Scholar] [CrossRef]
- Zhao, Y.; Li, Y.; Ma, C.; Shao, Z. Micro-/nano-structured hybrid of exfoliated graphite and Co3O4 nanoparticles as high-performance anode material for Li-ion batteries. Electrochim. Acta 2016, 213, 98–106. [Google Scholar] [CrossRef]
- Du, S.; Ren, Z.; Qu, Y.; Wu, J.; Xi, W.; Zhu, J.; Fu, H. Co3O4 nanosheets as the high-performance catalyst for oxygen evolution proceeding via the twice two-electron process. Chem. Commun. 2016, 52, 6705–6708. [Google Scholar] [CrossRef]
- Islam, M.N.; Pradhan, A.; Kumar, S. Effects of crystallite size distribution on the Raman-scattering profiles of silicon nanostructures. J. Appl. Phys. 2005, 98, 024309. [Google Scholar] [CrossRef]
- Zhang, S.Y.; Yang, Y.Y.; Zheng, Y.Q.; Zhu, H.L. Ag-doped Co3O4 catalyst derived from heterometallic MOF for syngas production by electrocatalytic reduction of CO2 in water. J. Solid State Chem. 2018, 263, 44–51. [Google Scholar] [CrossRef]
- Kim, N.-I.; Sa, Y.J.; Cho, S.-H.; So, I.; Kwon, K.; Joo, S.H.; Park, J.-Y. Enhancing Activity and Stability of Cobalt Oxide Electrocatalysts for the Oxygen Evolution Reaction via Transition Metal Doping. J. Electrochem. Soc. 2016, 163, F3020–F3028. [Google Scholar] [CrossRef]
- Wang, G.; Shen, X.; Horvat, J.; Wang, B.; Liu, H.; Wexler, D.; Yao, J. Hydrothermal synthesis and optical, magnetic, and supercapacitance properties of nanoporous cobalt oxide nanorods. J. Phys. Chem. C 2009, 113, 4357–4361. [Google Scholar] [CrossRef]
- Alvarez, A.; Ivanova, S.; Centeno, M.A.; Odriozola, J.A. Sub-ambient CO oxidation over mesoporous Co3O4: Effect of morphology on its reduction behavior and catalytic performance. Appl. Catal. A Gen. 2012, 431–432, 9–17. [Google Scholar] [CrossRef]
- Tu, S.; Chen, Y.; Zhang, X.; Yao, J.; Wu, Y.; Wu, H.; Zhang, J.; Wang, J.; Mu, B.; Li, Z.; et al. Complete catalytic oxidation of formaldehyde at room temperature on MnxCo3−xO4 catalysts derived from metal-organic frameworks. Appl. Catal. A Gen. 2021, 611, 117975. [Google Scholar] [CrossRef]
- Park, K.R.; Jeon, J.E.; Kim, K.; Oh, N.; Ko, Y.H.; Lee, J.; Lee, S.H.; Ryu, J.H.; Han, H.; Mhin, S. Synthesis of rod-type Co2.4Mn0.6O4 via oxalate precipitation for water splitting catalysts. Appl. Surf. Sci. 2020, 510, 145390. [Google Scholar] [CrossRef]
- Gautier, J.L.; Rios, E.; Gracia, M.; Marco, J.F.; Gancedo, J.R. Characterisation by X-ray photoelectron spectroscopy of thin ž/Mn Co O 1 G x G 0 spinel films prepared by low-temperature spray x 3yx 4 pyrolysis. Thin Solid Films 1997, 311, 51–57. [Google Scholar] [CrossRef]
- Tang, W.; Wang, S.; Xiao, W.; Du, S.; Lu, X.; Hoang, S.; Ding, J.; Gao, P.-X. Pre-surface leached cordierite honeycombs for MnxCo3-xO4 nano-sheet array integration with enhanced hydrocarbons combustion. Catal. Today 2019, 320, 196–203. [Google Scholar] [CrossRef]
- Cullity, B.D.; Graham, C.D. Introduction to Magnetic Materials, 2nd ed.; IEEE: Piscataway, NJ, USA, 2008; Volume 59. [Google Scholar]
- Xue, Z.; Liu, K.; Liu, Q.; Li, Y.; Li, M.; Su, C.-Y.; Ogiwara, N.; Kobayashi, H.; Kitagawa, H.; Liu, M.; et al. Missing-linker metal-organic frameworks for oxygen evolution reaction. Nat. Commun. 2019, 10, 5048. [Google Scholar] [CrossRef]
- Shit, S.; Bolar, S.; Murmu, N.C.; Kuila, T. An account of the strategies to enhance the water splitting efficiency of noble-metal-free electrocatalysts. J. Energy Chem. 2021, 59, 160–190. [Google Scholar] [CrossRef]
- Li, J.; Liang, X.; Xu, S.; Hao, J. Catalytic performance of manganese cobalt oxides on methane combustion at low temperature. Appl. Catal. B Environ. 2009, 90, 307–312. [Google Scholar] [CrossRef]
- Menezes, P.W.; Indra, A.; Sahraie, R.; Bergmann, A. Cobalt–Manganese-Based Spinels as Multifunctional Materials that Unify Catalytic Water Oxidation and Oxygen Reduction Reactions. ChemSusChem 2015, 8, 164–171. [Google Scholar] [CrossRef]
- Anne, R.; Acedera, E.; Gupta, G.; Mamlouk, M.; Donnabelle, M.; Balela, L. Solution combustion synthesis of porous Co3O4 nanoparticles as oxygen evolution reaction (OER) electrocatalysts in alkaline medium. J. Alloys Compd. 2020, 836, 154919. [Google Scholar] [CrossRef]
- Yu, Y.; Zhang, J.; Zhong, M.; Guo, S. Co3O4 Nanosheet Arrays on Ni Foam as Electrocatalyst for Oxygen Evolution Reaction. Electrocatalysis 2018, 9, 653–661. [Google Scholar] [CrossRef]
- Menezes, P.W.; Indra, A.; Gutkin, V.; Driess, M. Boosting electrochemical water oxidation through replacement of Oh Co sites in cobalt oxide spinel with manganese. Chem. Commun. 2017, 53, 8018–8021. [Google Scholar] [CrossRef]
- Alqahtani, D.M.; Zequine, C.; Ranaweera, C.; Siam, K.; Kahol, P.K.; Poudel, T.P.; Mishra, S.; Gupta, R.K. Effect of metal ion substitution on electrochemical properties of cobalt oxide. J. Alloys Compd. 2019, 771, 951–959. [Google Scholar] [CrossRef]
- Ma, Y.; Zha, M.; Dong, Y.; Li, L.; Hu, G. Mn-doped Co3O4 nanoarrays as a promising electrocatalyst for oxygen evolution reaction Mn-doped Co3O4 nanoarrays as a promising electrocatalyst for oxygen evolution reaction. Mater. Res. Express 2019, 6, 115033. [Google Scholar] [CrossRef]
- Wang, W.; Kuai, L.; Cao, W.; Huttula, M.; Ollikkala, S.; Ahopelto, T.; Honkanen, A.-P.; Huotari, S.; Yu, M.; Geng, B. Mass-production of Mesoporous MnCo2O4 Spinel with MnIV- and CoII-rich Surface for Superior Bifunctional Oxygen Electrocatalysis. Angew. Chem. Int. Ed. 2017, 47, 14977–14981. [Google Scholar] [CrossRef]
- Natarajan, S.; Anantharaj, S.; Tayade, R.J.; Bajaj, H.C.; Kundu, S. Recovered Spinel MnCo2O4 from Spent Lithium Ion Batteries for Enhanced Electrocatalytic Oxygen Evolution in Alkaline Medium. Dalton Trans. 2017, 46, 14382–14392. [Google Scholar] [CrossRef]
- Yan, D.; Li, Y.; Huo, J.; Chen, R.; Dai, L.; Wang, S. Defect Chemistry of Nonprecious-Metal Electrocatalysts for Oxygen Reactions. Adv. Mater. 2017, 29, 1606459. [Google Scholar] [CrossRef] [PubMed]
- Cai, Z.; Bi, Y.; Hu, E.; Liu, W.; Dwarica, N.; Tian, Y.; Li, X.; Kuang, Y.; Li, Y.; Yang, X.; et al. Single-Crystalline Ultrathin Co3O4 Nanosheets with Massive Vacancy Defects for Enhanced Electrocatalysis. Adv. Energy Mater. 2018, 8, 1701694. [Google Scholar] [CrossRef]
- Zhang, W.; Li, M.; Wang, X.; Zhang, X.; Niu, X.; Zhu, Y. Boosting catalytic toluene combustion over Mn doped Co3O4 spinel catalysts: Improved mobility of surface oxygen due to formation of Mn-O-Co bonds. Appl. Surf. Sci. 2022, 590, 153140. [Google Scholar] [CrossRef]
- Qin, C.; Wang, B.; Wang, Y. Metal-organic frameworks-derived Mn-doped Co3O4 porous nanosheets and enhanced CO sensing performance. Sens. Actuators B Chem. 2022, 351, 130943. [Google Scholar] [CrossRef]
- Biswas, S.; Dutta, B.; Mannodi-Kanakkithodi, A.; Clarke, R.; Song, W.; Ramprasad, R.; Suib, S.L. Heterogeneous mesoporous manganese/cobalt oxide catalysts for selective oxidation of 5-hydroxymethylfurfural to 2,5-diformylfuran. Chem. Commun. 2017, 53, 11751–11754. [Google Scholar] [CrossRef]
- Hamdani, M.; Singh, R.N.; Chartier, P. Co3O4 and Co-Based Spinel Oxides Bifunctional Oxygen Electrodes. Int. J. Electrochem. Sci. 2010, 5, 556–577. [Google Scholar]
- Bockris, J.O.M.; Otagawa, T. Mechanism of oxygen evolution on perovskites. J. Phys. Chem. 1983, 87, 2960–2971. [Google Scholar] [CrossRef]
- Li, G.; Anderson, L.; Chen, Y.; Pan, M.; Chuang, P.-Y.A. New insights into evaluating catalyst activity and stability of oxygen evolution reactions in alkaline media. Sustain. Energy Fuels 2018, 2, 237–251. [Google Scholar] [CrossRef]
- Indra, A.; Menezes, P.W.; Zaharieva, I.; Baktash, E.; Pfrommer, J.; Schwarze, M.; Dau, H.; Driess, M. Active mixed-valent MnOx water oxidation catalysts through partial oxidation (corrosion) of nanostructured MnO particles. Angew. Chem.-Int. Ed. 2013, 52, 13206–13210. [Google Scholar] [CrossRef]
- Zeng, K.; Li, W.; Zhou, Y.; Sun, Z.; Lu, C.; Yan, J.; Choi, J.-H.; Yang, R. Multilayer hollow MnCo2O4 microsphere with oxygen vacancies as efficient electrocatalyst for oxygen evolution reaction. Chem. Eng. J. 2021, 421, 127831. [Google Scholar] [CrossRef]
- Fan, C.; Wu, X.; Li, M.; Wang, X.; Zhu, Y.; Fu, G.; Ma, T.; Tang, Y. Surface chemical reconstruction of hierarchical hollow inverse-spinel manganese cobalt oxide boosting oxygen evolution reaction. Chem. Eng. J. 2022, 431, 133829. [Google Scholar] [CrossRef]
- Zhang, L.; Shi, L.; Huang, L.; Zhang, J.; Gao, R.; Zhang, D. Rational Design of High-Performance DeNOx Catalysts Based on MnxCo3−xO4 Nanocages Derived from Metal−Organic Frameworks. ACS Catal. 2014, 4, 1753–1763. [Google Scholar] [CrossRef]
- Lyons, M.E.G.; Brandon, M.P. The significance of electrochemical impedance spectra recorded during active oxygen evolution for oxide covered Ni, Co and Fe electrodes in alkaline solution. J. Electroanal. Chem. 2009, 631, 62–70. [Google Scholar] [CrossRef]
- Silva, V.D.; Raimundo, R.A.; Simões, T.A.; Loureiro, F.J.; Fagg, D.P.; Morales, M.A.; Macedo, D.A.; Medeiros, E.S. ScienceDirect Nonwoven Ni e NiO/carbon fibers for electrochemical water oxidation. Int. J. Hydrogen Energy 2020, 46, 3798–3810. [Google Scholar] [CrossRef]
- Silva, T.; Silva, V.; Santos, J.; Simões, T.; Macedo, D. Effect of Cu-doping on the activity of calcium cobaltite for oxygen evolution reaction. Mater. Lett. 2021, 298, 130026. [Google Scholar] [CrossRef]
- Silva, V.D.; Simões, T.A.; Loureiro, F.J.; Fagg, D.P.; Figueiredo, F.M.; Medeiros, E.S.; Macedo, D.A. Solution blow spun nickel oxide/carbon nanocomposite hollow fibres as an efficient oxygen evolution reaction electrocatalyst. Int. J. Hydrogen Energy 2019, 44, 14877–14888. [Google Scholar] [CrossRef]












| Samples | Co3O4—ICSD 36256 | MnCo2O4—ICSD 18544 | Agreement Factors | ||||
|---|---|---|---|---|---|---|---|
| DXRD (nm) | a (Å) | DXRD (nm) | a (Å) | Rwp (%) | Rexp (%) | χ2 | |
| Co3O4—ICSD 36256 | --- | 8.072(3) | --- | --- | --- | --- | --- |
| MnCo2O4—ICSD 18544 | --- | --- | --- | 8.28(2) | --- | --- | --- |
| X = 0 | 90.6 [100%] | 8.0757(1) | --- | --- | 7.16 | 6.92 | 1.04 |
| X = 0.2 | 82.5 [100%] | 8.0759(8) | --- | --- | 7.95 | 6.59 | 1.21 |
| X = 0.4 | 80 [100%] | 8.0754(1) | --- | --- | 7.97 | 6.60 | 1.21 |
| X = 0.6 | 71 [100%] | 8.1183(7) | --- | --- | 8.14 | 6.67 | 1.22 |
| X = 0.8 | 68.8 [100%] | 8.1675(8) | --- | --- | 8.01 | 6.66 | 1.20 |
| X = 1 | --- | --- | 66 [100%] | 8.2381(6) | 8.69 | 6.70 | 1.30 |
| Observed Frequencies (cm−1) | |||||||
|---|---|---|---|---|---|---|---|
| (X = 0.0) | (X = 0.2) | (X = 0.4) | (X = 0.6) | (X = 0.8) | (X = 1.0) | Reference | Mode Assignment |
| 3440 | 3440 | 3440 | 3440 | 3440 | 3440 | [68,69,70,71,72] | O-H stretching vibration |
| 1635 | 1635 | 1635 | 1635 | 1635 | 1635 | [65,68,71,73,74] | Angular deformation of adsorbed water molecules |
| 1383 | 1383 | 1383 | 1383 | 1383 | 1383 | [65,66,67] | Deformations of C-N and CH2 groups |
| 1100 | 1100 | 1100 | 1100 | 1100 | 1100 | [62,68,74] | C-O stretching vibrations |
| 663 | 662 | 661 | 653 | 643 | 643 | [65,68,70,71,75] | Stretching vibrations of Mn–O |
| 570 | 568 | 568 | 561 | 554 | 552 | [21,63,64,72,73] | Stretching vibrations of Co–O |
| Raman Band Position (cm−1) | ||||||
|---|---|---|---|---|---|---|
| MnXCo3-XO4 (0 ≤ X ≤ 1) | F2g | Eg | F2g | F2g | A1g | Reference |
| (X = 0.0) | 193 | 480 | 518 | 617 | 688 | [82,83,84] |
| (X = 0.2) | 186 | 473 | 512 | 611 | 682 | [20,88] |
| (X = 0.4) | 186 | 471 | 510 | 605 | 675 | [81,82] |
| (X = 0.6) | 185 | 468 | 508 | 603 | 667 | [20,83] |
| (X = 0.8) | 183 | 480 | - | - | 661 | [82,89] |
| (X = 1.0) | 182 | 488 | - | - | 660 | [79,80] |
| Sample | X = 0 | X = 0.2 | X = 0.4 | X = 0.6 | X = 0.8 | X = 1 |
|---|---|---|---|---|---|---|
| Peak (eV) | 531.717 | 531.386 | 531.448 | 531.158 | 531.195 | 531.618 |
| O2 area (nm) | 9859.487 | 12887.39 | 13100.65 | 13363.590 | 15330.310 | 19922.580 |
| O2/O1 | 0.495 | 0.498 | 0.502 | 0.517 | 0.693 | 0.940 |
| Catalyst | Substrate * | ղ10 (mV vs. RHE) | Tafel Slope (mV dec−1) | Reference |
|---|---|---|---|---|
| MnXCo3-XO4(0 ≤ X ≤ 1) powders (ágar-ágar) | Ni foam | 299 | 55 | This work |
| MnXCo3-XO4(0 ≤ X ≤ 2) powders | Ni foam | 327 | 79 | [16] |
| MnCo2O4 | GC | 510 | 123 | [98] |
| Co3O4 nanoparticles | CFP | 361 | 87.5 | [99] |
| Co3O4 Nanosheet | Ni foam | 190 | 103 | [100] |
| MnXCo3-XO4 (X = 0.3) | Ni foam | 390 | N.R. | [101] |
| MnXCo3-XO4 (X = 0.6) | GC | 365 | 50.6 | [91] |
| MnCo2O4 | Ni foam | 358 | N.R. | [102] |
| MnXCo3-XO4 (1:3 ratio) | Ni foam | 222 | 162 | [103] |
| MnCo2O4 | Ni foam | 400 | 90 | [104] |
| MnCo2O4 | carbon cloth | 400 | 190 | [105] |
| MnCo2O4 | GC | 510 | 123 | [98] |
| Sample | RS (Ω) | RP (Ω) | CDL (mF) | R-ad (Ω) | C-ad (mF) |
|---|---|---|---|---|---|
| X = 1.0 | 0.41 | 6.02 | 2.55 | 1292 | 6.07 |
| X = 0.0 | 0.62 | 28.15 | 1.49 | 1276 | 3.36 |
| X = 0.2 | 0.48 | 30.69 | 6.01 | 1917 | 8.47 |
| X = 0.4 | 0.52 | 20.29 | 4.55 | 1374 | 8.86 |
| X = 0.6 | 0.43 | 19.21 | 3.88 | 2149 | 10.34 |
| X = 0.8 | 0.46 | 9.70 | 8.27 | 1135 | 11.77 |
Publisher’s Note: MDPI stays neutral with regard to jurisdictional claims in published maps and institutional affiliations. |
© 2022 by the authors. Licensee MDPI, Basel, Switzerland. This article is an open access article distributed under the terms and conditions of the Creative Commons Attribution (CC BY) license (https://creativecommons.org/licenses/by/4.0/).
Share and Cite
Santos, J.R.D.; Raimundo, R.A.; Silva, T.R.; Silva, V.D.; Macedo, D.A.; Loureiro, F.J.A.; Torres, M.A.M.; Tonelli, D.; Gomes, U.U. Nanoparticles of Mixed-Valence Oxides MnXCO3-XO4 (0 ≤ X ≤ 1) Obtained with Agar-Agar from Red Algae (Rhodophyta) for Oxygen Evolution Reaction. Nanomaterials 2022, 12, 3170. https://doi.org/10.3390/nano12183170
Santos JRD, Raimundo RA, Silva TR, Silva VD, Macedo DA, Loureiro FJA, Torres MAM, Tonelli D, Gomes UU. Nanoparticles of Mixed-Valence Oxides MnXCO3-XO4 (0 ≤ X ≤ 1) Obtained with Agar-Agar from Red Algae (Rhodophyta) for Oxygen Evolution Reaction. Nanomaterials. 2022; 12(18):3170. https://doi.org/10.3390/nano12183170
Chicago/Turabian StyleSantos, Jakeline Raiane D., Rafael A. Raimundo, Thayse R. Silva, Vinícius D. Silva, Daniel A. Macedo, Francisco J. A. Loureiro, Marco A. M. Torres, Domenica Tonelli, and Uílame U. Gomes. 2022. "Nanoparticles of Mixed-Valence Oxides MnXCO3-XO4 (0 ≤ X ≤ 1) Obtained with Agar-Agar from Red Algae (Rhodophyta) for Oxygen Evolution Reaction" Nanomaterials 12, no. 18: 3170. https://doi.org/10.3390/nano12183170
APA StyleSantos, J. R. D., Raimundo, R. A., Silva, T. R., Silva, V. D., Macedo, D. A., Loureiro, F. J. A., Torres, M. A. M., Tonelli, D., & Gomes, U. U. (2022). Nanoparticles of Mixed-Valence Oxides MnXCO3-XO4 (0 ≤ X ≤ 1) Obtained with Agar-Agar from Red Algae (Rhodophyta) for Oxygen Evolution Reaction. Nanomaterials, 12(18), 3170. https://doi.org/10.3390/nano12183170

