Next Article in Journal
Sb Nanoparticles Embedded in the N-Doped Carbon Fibers as Binder-Free Anode for Flexible Li-Ion Batteries
Next Article in Special Issue
Presence of Induced Weak Ferromagnetism in Fe-Substituted YFexCr1−xO3 Crystalline Compounds
Previous Article in Journal
Highly Sensitive Plasmonic Structures Utilizing a Silicon Dioxide Overlayer
Previous Article in Special Issue
Editorial for the Special Issue “Nanoscale Ferroic Materials—Ferroelectric, Piezoelectric, Magnetic, and Multiferroic Materials”
 
 
Font Type:
Arial Georgia Verdana
Font Size:
Aa Aa Aa
Line Spacing:
Column Width:
Background:
Article

High-Magnetic-Sensitivity Magnetoelectric Coupling Origins in a Combination of Anisotropy and Exchange Striction

1
Wuhan National High Magnetic Field Center & School of Physics, Huazhong University of Science and Technology, Wuhan 430074, China
2
Institute for Superconducting and Electronic Materials, Australia Institute for Innovation Materials, Innovation Campus, University of Wollongong, Squires Way, North Wollongong, NSW 2500, Australia
*
Authors to whom correspondence should be addressed.
These authors contributed equally to this work.
Nanomaterials 2022, 12(18), 3092; https://doi.org/10.3390/nano12183092
Submission received: 1 August 2022 / Revised: 31 August 2022 / Accepted: 2 September 2022 / Published: 6 September 2022

Abstract

:
Magnetoelectric (ME) coupling is highly desirable for sensors and memory devices. Herein, the polarization (P) and magnetization (M) of the DyFeO3 single crystal were measured in pulsed magnetic fields, in which the ME behavior is modulated by multi-magnetic order parameters and has high magnetic-field sensitivity. Below the ordering temperature of the Dy3+-sublattice, when the magnetic field is along the c-axis, the P (corresponding to a large critical field of 3 T) is generated due to the exchange striction mechanism. Interestingly, when the magnetic field is in the ab-plane, ME coupling with smaller critical fields of 0.8 T (a-axis) and 0.5 T (b-axis) is triggered. We assume that the high magnetic-field sensitivity results from the combination of the magnetic anisotropy of the Dy3+ spin and the exchange striction between the Fe3+ and Dy3+ spins. This work may help to search for single-phase multiferroic materials with high magnetic-field sensitivity.

1. Introduction

Multiferroic materials [1,2,3,4,5,6,7], with the coupling of two or more ferroic orders, have been attracting much attention due to their intriguing physics and great application potential. The Pbnm structured orthoferrites RFeO3 (R = rare earth element) have great potential value for application as magnetoelectric (ME) devices based on the mutual control of magnetization (M) and electric polarization (P) [8,9,10,11]. For example, at lower temperatures, the application of a large critical magnetic field along the c-axis induces a multiferroic (weakly ferromagnetic of Fe3+-sublattice and ferroelectric) state in DyFeO3, and the magnetic field induced P results from the movement of the Dy3+ ions toward the Fe3+ ions and backward, corresponding to the exchange striction [12]. The ME coupling and P are decided by the spin configurations of both Fe3+ and Dy3+ ions. In DyFeO3, Fe3+ ions (S = 5/2) exhibit the GxAyFz (magnetic configuration in Bertaut’s notation below its Néel temperature of the Fe3+-sublattice TN(Fe) = 650 K) [13,14,15,16], in which the main component of the magnetic moment of Fe3+ ions lies along the a-axis, and due to the Dzyaloshinskii–Moriya interaction (DMI), a small fraction of the moment is canted along the c-axis, causing weak ferromagnetism (wFM) in the material [17]. With decreasing temperature, the spin-reorientation (Morin) transition occurs at TSR (in the range of about 35~70 K [18,19,20,21]), where the magnetic configuration of Fe3+ ions changes from GxAyFz to AxGyCz, and then the wFM disappears. Below the antiferromagnetic (AFM) ordering temperature of the Dy3+-sublattice TN(Dy) = 4.2 K, the Dy3+ magnetic configuration is GxAy [22,23] with the Ising axis deviation of about 33° from the b-axis. When a magnetic field (higher than about 3 T) is applied along the c-axis below TSR, the spin configuration of the Fe3+-sublattice is driven to GxAyFz again [4].
For spin-driven ferroelectricity, there are mainly three types of microscopic mechanism models, i.e., the inverse Dzyaloshinskii–Moriya (IDM) mechanism [24], spin-dependent p-d hybridization model [25], and exchange striction model [26,27], for explaining ME behaviors. According to these models, the emergence of ferroelectricity is hardly understood only by the local spin arrangement, since the symmetry of the crystal structure needs to be considered. In DyFeO3, below TN(Dy), the Pc (the direction of P is parallel to the c-axis) can be induced when the magnetic fields (higher than 2.4 T at 3.0 K [4]) are applied along the c-axis. However, the ME behaviors in DyFeO3, i.e., the Pc is induced with the magnetic fields along other crystal axes, remain to be further understood. Moreover, some abnormal behaviors have been observed. For example, a small P drop was observed on the P-H curve at BC(Fe) [4]. Abnormal heat transport was measured, and a FeIII state (a metastable phase) was speculated [18]. These abnormal behaviors indicate that there may be complex and delicate magnetic interactions in ME behaviors, such as the competition between the anisotropic energy of the Dy3+-sublattice, the coupling energy between the Dy3+ and Fe3+-sublattices, and Zeeman energy [28].
In DyFeO3, when the magnetic field is in the ab plane, ME coupling with smaller critical fields of 0.8 T (a-axis) and 0.5 T (b-axis) is triggered. Inspired by these lower critical magnetic fields, we revisited the structure of DyFeO3, in which two AFM sublattices (the Fe3+- and Dy3+-sublattices) are nesting with each other (see Figure 1a,b). The Fe3+-sublattice (blue balls) has strong AFM coupling (GxAy) and wFM (Fz), and the Dy3+-sublattice (red balls) has weak AFM coupling and strong magnetic anisotropy (the AFM vector is localized in the ab plane). Under a lower magnetic field in the easy plane (ab plane), the direction of the magnetic anisotropy of the Dy3+-sublattice might be disturbed or changed, which leads to the change in exchange striction between the Fe3+- and Dy3+-sublattices and triggers Pc. Thus, we believe that single-phase materials with nested AFM lattices (as shown in Figure 1c,d) can be designed or found, where the A-sublattice (blue spheres) has strong AFM coupling in the plane and weak FM outside the plane, while the B-sublattice (red spheres) has weak AFM coupling, and the B-site ions have strong magnetic anisotropy. Such AFM systems are expected to achieve highly magnetically sensitive ME coupling induced by in-plane magnetic fields. Although the observed magnetoelectric effects mainly occurred at low temperatures (below TN(Dy)), which may be difficult to apply directly in the traditional industry, our work deepens the understanding of the ME coupling in DyFeO3. On the other hand, the ME systems controlled by a combination of multiple parameters (such as magnetic anisotropy and exchange striction) may have high sensitivity to the external magnetic field.

2. Experiment

The DyFeO3 polycrystalline sample was synthesized by the solid-phase synthesis method from Dy2O3 (99.99%) and Fe2O3 (99.99%), and the DyFeO3 single crystal was grown by using a Four Mirror Optical Floating Zone Furnace (Crystal Systems Corp., Salem, MA, USA). The crystal structure and purity of both the DyFeO3 powder (crushed single crystal) and the single-crystal samples were measured with an X-ray diffractometer (XRD, X’Pert MPD Powder-DY3734, PANalytical B.V., Almelo, NL) using Cu Ka radiation (λ = 1.5406 Å). The scan ranged from 10 to 90°, the step size was 0.013°, and the scan rate was 0.042°/s. The directions of three principal axes were determined according to the Laue X-ray diffractometer measurement results. The low magnetic-field magnetization was measured by using a superconducting quantum interference device (SQUID VSM, Quantum Design, San Diego, CA, USA). Dynamic behaviors of both the M and the P were measured under a pulsed high magnetic field at the Wuhan National High Magnetic Field Center. The pulsed-high-magnetic-field M was detected by the standard inductive method employing two concentric pick-up coils connected in series with opposite polarity [7]. The electrical polarization Pc measurement schematic is shown in Figure S1 of the supplementary material. The silver electrodes are evenly distributed on the upper and lower surfaces of the sample. When the magnetic field is applied to the sample, the current signal (corresponding to the change in charge density induced by magnetic fields) in the sample is converted into an electrical signal (V) at the reference resistor (R), and then the V is obtained after being processed by a preamplifier. Finally, the change in the electric polarization induced by the pulsed magnetic fields is obtained.

3. Results and Discussion

The XRD pattern of the DyFeO3 powder and its fitting by the general structure analysis system (GSAS) are shown in Figure 2a. All the diffraction peaks are well indexed by a distorted orthorhombic structure with Pbnm. No impurity peaks are observed within the diffraction resolution, indicating the single-phase nature of the sample. The lattice parameters a = 5.3031 Å, b = 5.5983 Å, and c = 7.6228 Å and the detailed crystal parameters are listed in the Table S1 of the supplementary material, which are close to the values in the Inorganic Crystal Structure Database (ICSD 27280). In the diffraction pattern of the single-crystal sample, only the (002), (004), and (006) diffraction peaks are observed, which confirms the high quality and accurate c-axis orientation of the DyFeO3 single-crystal sample.
The temperature dependence of magnetization measured in various magnetic fields (0.01 T, 0.05 T, 1 T, and 5 T, respectively) is shown in Figure 2b–d. In the lower-temperature region (below ~60 K), the zero-field-cooled (ZFC) and field-cooled (FC) magnetization curves have slight deviation, and the difference is presented in the insets of Figure 2b–d. In the higher-temperature region (above ~60 K), the difference between ZFC and FC becomes indiscernible. When the magnetic field is applied along the c-axis (see Figure 2d), there is an obvious transition with the magnetization jumps of ~0.13 µB/f.u. at TSR(Fe) ~57 K, which is related to the spin-flop transition of the Fe3+-sublattice. As the temperature decreases to TN(Dy), an obvious drop can be observed (see the inset of Figure 2d), which indicates that the Dy3+-sublattice undergoes a transition from a paramagnetic state to an AFM state GxAy. Since the magnetic moment of the Ising Dy3+ ions is localized in the ab plane, it is difficult to disturb the magnetic field (0.05 T, along the c-axis) or change the direction of the magnetic anisotropy (or the anisotropy energy) of the Dy3+ spin. With the magnetic field increasing, TSR(Fe) moves to the low-temperature region. However, with the magnetic field applied along the c-axis, no obvious movement of TN(Dy) is observed, which confirms the strong magnetic anisotropy and localization in the ab plane of the Dy3+ spins. The temperature and magnetic field dependence of the transitions are shown in the magnetic phase diagram of Figure S2 in the supplementary material. In DyFeO3, there is the magnetic anisotropy of Dy3+ ions, field-induced spin flop of Fe3+ ions, temperature-driven spin reorientation of Fe3+ ions, AFM interaction between Dy3+ and Fe3+ ions, and thermal fluctuation [28], and these lead to the complex dependence of both TSR(Fe) and TN(Dy) on temperatures and magnetic fields.
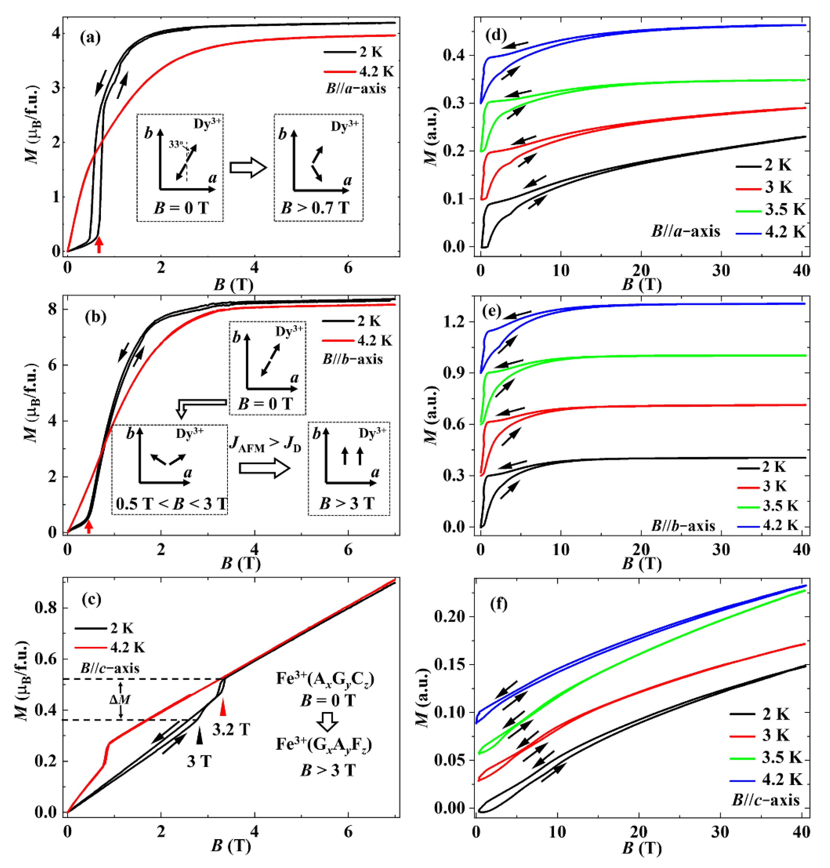
The magnetization curves as functions of different magnetic fields along three principal axes are shown in Figure 3. Below TN(Dy) (taken 2 K as an example), when the magnetic field is applied along the a-axis (see Figure 3a), a transition is observed at BC(Dy) ~0.8 T (labeled with a red arrow), which is attributed to the spin-flop transition of the Dy3+-sublattice (as shown in the inserted cartoon). With the magnetic field increasing, the magnetic field drives the spins of the Dy3+-sublattice toward the a-axis as much as possible, resulting in a sharp increase in M. With the magnetic field further increasing, the AFM coupling of Dy3+-sublattices may be partially broken. For the magnetic field parallel to the b-axis, similarly, a slightly smaller critical magnetic field of 0.5 T can be observed due to the smaller deviation (the angle ~33°) of the Ising vector of the Dy3+ spins from the b-axis. Above 0.5 T, a saturated magnetic moment of ~8.3 µB/f.u. is obtained, which indicates that the Dy3+ moment was almost magnetized to saturation by the magnetic field (as shown in the inserted cartoon in Figure 3b). The saturated magnetization shows that the Ising Dy3+ moment is mainly localized in the ab plane with the b-axis as the easy axis [18]. In the case with the magnetic field along the c-axis, a magnetization jump (ΔM) of ~0.13 µB/f.u. is observed around 3 T. The value of the ΔM is the same as the value of the magnetization jump in the M-T curves shown in Figure 2d, which confirms that the transition is mainly associated with the spin-flop transition of the Fe3+-sublattice; the result is also consistent with previous studies [4]. In Figure 3c, two transitions are observed around 3 T and 3.2 T (labeled as black and red triangles, respectively). The lower one may be related to the spin-flop transition of the Fe3+ moment, while the higher one may be caused by the destruction of the AFM coupling between the FM components of the Dy3+ moment (induced by the magnetic field) and the Fe3+ moment (canted AFM) [29]. The magnetization behaviors measured in a pulsed higher magnetic field are shown in Figure 3d–f. Besides the low-field transitions, no additional transitions are induced up to 45 T, and the slopes of the M-B curves are almost constant, indicating that there is a strong AFM interaction in the Fe3+-sublattice [4].
In order to further investigate magnetic-field-induced transitions and the dynamic magnetization behavior of DyFeO3, the magnetization results were investigated by pulsed magnetic fields. In this work, the waveform of the pulsed magnetic field is shown in Figure 4a, which is a full-wave pulsed magnetic field (including four quadrants, QA, QB, QC, and QD) with a maximum field sweep rate of about 104 T/s. When the magnetic field is along the a-axis and the temperature is below 4.2 K (see Figure 4b), in the field-increasing branch (quadrant QA), the transitions resulting from the Dy3+-sublattice (marked with red arrows) and the field-induced spin flop in the Fe3+-sublattice (marked with black arrows) are observed. When the temperature ranges from 4.2 K to 50 K, only the transition, corresponding to the spin flop in the Fe3+-sublattice, could be observed, and its critical magnetic field decreases drastically with increasing temperature. Above 50 K, no obvious transition is observed (not shown). In the field-decreasing branch (quadrant QB), the transition field moves to the low-magnetic-field region (lower than 1 T). In the field-increasing and field-decreasing branches of the negative magnetic field (quadrants QC and QD), the magnetization behaviors are similar to those in QA and QB. As shown in Figure 4c, the magnetization behaviors of the magnetic field along the b-axis are similar to those along the a-axis.
In Figure 4b,c, the temperature dependence of the transition field of the spin flop in the Fe3+-sublattice is different above and below 4.2 K. Below 4.2 K, the critical field (corresponding to the spin flop of the Fe3+ moment) is essentially unchanged with the temperature increasing. Above 4.2 K, the transition field (labeled with arrows) has a strong dependency on temperature. These results suggest the pinning of the Dy3+-sublattice on the spin flop of Fe3+ ions. With the temperature increasing, the pinning gradually becomes weaker due to the destruction of the long-range order of the Dy3+-sublattice. The transition field (labeled with arrows) of the Dy3+-sublattice has a strong temperature dependence, which indicates that the direction of the magnetic anisotropy (or anisotropy energy) of Dy3+ spins may also be disturbed by the magnetic field in the ab plane. The critical field moves toward the lower-magnetic-field region with the temperature increasing. To present the moving trend more clearly, the phase diagrams with the magnetic field parallel to the a- and b-axes are shown in Figure S2a,b of the supplementary material, respectively. When the magnetic field is applied along the c-axis, only the transitions related to the spin flop of Fe3+ ions are observed (see Figure 4d). Since the Dy3+ ion has strong Ising behavior and is localized in the ab plane, no obvious transition related to the Dy3+-sublattice was observed for lower magnetic fields. The critical field (corresponding to the spin-flop of the Dy3+ moment) moves toward the lower-magnetic-field region with the temperature increasing, and the temperature and magnetic field dependence of the critical behaviors are shown in Figure S2c of the supplementary material.
In the measurement of the electric polarization, ΔPc is a relative value, and it shows the change in Pc induced by magnetic fields, and the applied magnetic field includes four quadrants: QA, QB, QC, and QD. As shown in Figure 5a, both the magnetic field and the electric field are parallel to the c-axis; with the magnetic field increasing (quadrant QA), ΔPc jumps (labeled with red pentacles) are observed at BP(Fe) and a temperature below TN(Dy). At 2 K, the transition is observed in BP(Fe) ~3 T (labeled with a red pentacle), and the critical magnetic field is coincident with the result of magnetization measurement in the field-increasing branch (quadrant QA). As the temperature increases, the critical field BP(Fe) moves to the low-field region, and a similar temperature dependence of the transition field is also observed in the magnetization curves (see Figure 4d). In the field-decreasing branch (quadrant QB), ΔPc becomes zero at BP(Fe) (marked with black triangles). In quadrant QC (the field-increasing branch of the negative magnetic field), the transitions are also observed at −BP(Fe) (marked with black diamonds). In the field-decreasing branches of the negative-magnetic-field region (quadrant QD), a transition is observed at −BP(Fe) (marked with crosses). Particularly, a metastable state (indicated by solid circles) and ΔPc reversal (marked with a cross) are observed around 3.1 K in the negative-magnetic-field region. The transitions are affected by magnetic fields and temperatures, which may originate from the complicated interactions between the anisotropy energy of the Dy3+-sublattice, the coupling energy between the Dy3+ and Fe3+-sublattices, and Zeeman energy.
According to the exchange striction model, Pc is related to the spin flop of both the Fe3+-sublattice and the Dy3+-sublattice [18]; to reverse the Pc, it is necessary to change the phase (0 or π) of the magnetic vector of either the Fe3+ or the Dy3+ ions. The magnetic vector of the Fe3+ ions is directly connected to the direction of the wFM of the Fe3+-sublattice. Thus, the field-induced ΔPc is observed when a large magnetic field is antiparallel to the c-axis. With the magnetic field decreasing and the temperature increasing, the interaction between the Dy3+ and Fe3+ ions, as well as the Zeeman energy, becomes weaker, and the magnetic anisotropy energies of the Dy3+-sublattices gradually dominate, which leads to the ΔPc reversal and metastable polarization states in the negative field (quadrants QC and QD of Figure 5a). On the other hand, the strong magnetic anisotropy of the Dy3+ ions becomes dominant, which drives the Dy3+ spins to its easy axis and leads to the change in the exchange striction and ΔPc reversal to a lower value. For the observed metastable state (marked with solid circles in Figure 5a), we assume that this is due to the spin-pinning effect of Dy3+ ions on the change in the wFM of the Fe3+-sublattice. The fact that metastable polarization behavior is more obvious when the temperature approaches TN(Dy) indicates that magnetic anisotropic Dy3+ is more easily magnetized by the magnetic field when the temperature approaches TN(Dy) than at lower temperatures.
For the pulsed magnetic field within the ab plane (as shown in Figure 5b–d), the change in the Dy3+ spins induced by the magnetic field also causes the change in exchange striction. The ΔPc-B curves with magnetic fields along the a- and b-axes were measured (where the electrical polarization is along the c-axis). As shown in Figure 5b (the magnetic field along the a-axis) and Figure 5c (the magnetic field along the b-axis), the sign of ΔPc is unchanged. This is totally different from the case with a magnetic field along the c-axis. The unchanged ΔPc suggests the simultaneous flop of both the Fe3+ and Dy3+ spins when the magnetic field (in the ab plane) reverses. At 2 K, with the magnetic field along the a-axis and b-axis and the field increasing (quadrant QA), the field-induced ΔPc are observed at BP(Dy) ~0.8 T (a-axis, marked with a blue pentacle) and 0.5 T (b-axis, marked with red triangles), respectively. Both the critical fields are lower than that along the c-axis, and with the increasing temperature, the transition fields move further to the lower magnetic fields. The effects of the temperature and magnetic field on the critical behaviors are shown in Figure S2 of the supplementary material.
In DyFeO3, the AFM interaction in the Dy3+-sublattice is weak and mainly localized within the ab plane. The lower magnetic field in the ab plane will disturb the direction of the magnetic anisotropy (or the anisotropy energy) of Dy3+ ions; that is, the Dy3+ moments are easily magnetized by the magnetic field, resulting in a higher magnetic field sensitivity. At zero fields, the magnetic vector (the Ising axis) of the Dy3+ ion deviates by about 33° from the b-axis (as shown in the inset of Figure 3a), which leads to the different critical field of the field-induced ΔPc between the magnetic field along the a- and b-axes (see Figure 5b,c). In order to confirm the intrinsic effect of the magnetic field on polarization, the ΔPc was also investigated with zero electric fields (see Figure 5d), and a weaker change of the electrical polarization was observed in the dPc/dB-B curves, where the critical fields (marked with purple triangles) are coincident with those observed in the ΔPcB curves (see Figure 5c). With the temperature increasing, the transition peaks of the ΔPc shift to the lower-field region. These experimental results indicate that the ΔPc is an intrinsic behavior and can be induced by the magnetic field alone.

4. Conclusions

In this work, the combination of anisotropy and exchange striction in DyFeO3 provides a guiding principle for designing high-sensitivity spin-driven multiferroicity. Especially in the ab plane, the direction of the magnetic anisotropy (or the anisotropy energy) of the Dy3+ ions can be modulated by a smaller magnetic field, which alters the exchange striction and leads to a ΔPc sensitive to the external magnetic field. That is, the combination of the magnetic anisotropy of the Dy3+ spin and the exchange striction between the Fe3+ and Dy3+ spins leads to the ΔPc. The ΔPc exhibits high magnetic-field sensitivity. This work deepens the understanding of the effects of the multiple magnetic orders on the magnetoelectric coupling of multiferroic DyFeO3 and will be beneficial in searching for novel multiferroic material systems with high magnetic-field sensitivity.

Supplementary Materials

The following supporting information can be downloaded at: https://www.mdpi.com/article/10.3390/nano12183092/s1, Table S1: The lattice parameters of the DyFeO3 single crystal; Figure S1: The measurement schematic of the electric polarization (Pc) under pulsed magnetic fields; Figure S2: Magnetic phase diagrams determined with the magnetization and polarization measurements.

Author Contributions

Z.Z. and X.H. contributed equally to this work. Writing—original draft preparation, Z.Z. and X.H.; supervision, Y.S., H.N. and M.W.; investigation, D.J., X.Z., Y.L., H.H. and Z.O.; writing—review and editing, Z.C. and Z.X. All authors have read and agreed to the published version of the manuscript.

Funding

This research was funded by the National Natural Science Foundation of China (Grant Nos. 11674115, 51861135104, and 21875249). Z.C. thanks the Australian Research Council (Grant No. DP190100150) for support.

Institutional Review Board Statement

Not applicable.

Informed Consent Statement

Not applicable.

Data Availability Statement

Not applicable.

Conflicts of Interest

The authors declare no conflict of interest.

References

  1. Holcomb, M.B.; Martin, L.W.; Scholl, A.; He, Q.; Yu, P.; Yang, C.-H.; Yang, S.Y.; Glans, P.-A.; Valvidares, M.; Huijben, M.; et al. Probing the evolution of antiferromagnetism in multiferroics. Phys. Rev. B 2010, 81, 134406. [Google Scholar] [CrossRef]
  2. Weston, L.; Cui, X.Y.; Ringer, S.P.; Stampfl, C. Multiferroic crossover in perovskite oxides. Phys. Rev. B 2016, 93, 165210. [Google Scholar] [CrossRef]
  3. Stein, J.; Baum, M.; Holbein, S.; Finger, T.; Cronert, T.; Tölzer, C.; Fröhlich, T.; Biesenkamp, S.; Schmalzl, K.; Steffens, P.; et al. Control of Chiral Magnetism Through Electric Fields in Multiferroic Compounds above the Long-Range Multiferroic Transition. Phys. Rev. Lett. 2017, 119, 177201. [Google Scholar] [CrossRef]
  4. Tokunaga, Y.; Iguchi, S.; Arima, T.; Tokura, Y. Magnetic-Field-Induced Ferroelectric State in DyFeO3. Phys. Rev. Lett. 2008, 101, 097205. [Google Scholar] [CrossRef] [PubMed]
  5. Petrov, V.M.; Srinivasan, G. Theory of domain wall motion mediated magnetoelectric effects in a multiferroic composite. Phys. Rev. B 2014, 90, 144411. [Google Scholar] [CrossRef]
  6. Prokhnenko, O.; Feyerherm, R.; Dudzik, E.; Landsgesell, S.; Aliouane, N.; Chapon, L.C.; Argyriou, D.N. Enhanced Ferroelectric Polarization by Induced Dy Spin Order in Multiferroic DyMnO3. Phys. Rev. Lett. 2007, 98, 057206. [Google Scholar] [CrossRef] [PubMed]
  7. Zhang, X.X.; Xia, Z.C.; Ke, Y.J.; Zhang, X.Q.; Cheng, Z.H.; Ouyang, Z.W.; Wang, J.F.; Huang, S.; Yang, F.; Song, Y.J.; et al. Magnetic behavior and complete high-field magnetic phase diagram of the orthoferrite ErFeO3. Phys. Rev. B 2019, 100, 054418. [Google Scholar] [CrossRef]
  8. Tokunaga, Y.; Taguchi, Y.; Arima, T.-H.; Tokura, Y. Electric-field-induced generation and reversal of ferromagnetic moment in ferrites. Nat. Phys. 2012, 8, 838. [Google Scholar] [CrossRef]
  9. Kimura, T.; Goto, T.; Shintani, H.; Ishizaka, K.; Arima, T.; Tokura, Y. Magnetic control of ferroelectric polarization. Nature 2003, 426, 55. [Google Scholar] [CrossRef]
  10. Eerenstein, W.; Mathur, N.D.; Scott, J.F. Multiferroic and magnetoelectric materials. Nature 2006, 442, 759. [Google Scholar] [CrossRef]
  11. Feyerherm, R.; Dudzik, E.; Aliouane, N.; Argyriou, D.N. Commensurate Dy magnetic ordering associated with incommensurate lattice distortion in multiferroic DyMnO3. Phys. Rev. B 2006, 73, 180401. [Google Scholar] [CrossRef]
  12. Tokunaga, Y.; Furukawa, N.; Sakai, H.; Taguchi, Y.; Arima, T.-H.; Tokura, Y. Composite domain walls in a multiferroic perovskite ferrite. Nat. Mater. 2009, 8, 558. [Google Scholar] [CrossRef] [PubMed]
  13. Das, M.; Roy, S.; Mandal, P. Giant reversible magnetocaloric effect in a multiferroic GdFeO3 single crystal. Phys. Rev. B 2017, 96, 174405. [Google Scholar] [CrossRef]
  14. Nikitin, S.E.; Wu, L.S.; Sefat, A.S.; Shaykhutdinov, K.A.; Lu, Z.; Meng, S.; Pomjakushina, E.V.; Conder, K.; Ehlers, G.; Lumsden, M.D.; et al. Decoupled spin dynamics in the rare-earth orthoferrite YbFeO3: Evolution of magnetic excitations through the spin-reorientation transition. Phys. Rev. B 2018, 98, 064424. [Google Scholar] [CrossRef]
  15. Chiang, F.-K.; Chu, M.-W.; Chou, F.C.; Jeng, H.T.; Sheu, H.S.; Chen, F.R.; Chen, C.H. Effect of Jahn-Teller distortion on magnetic ordering in Dy(Fe,Mn)O3 perovskites. Phys. Rev. B 2011, 83, 245105. [Google Scholar] [CrossRef]
  16. Ke, Y.J.; Zhang, X.Q.; Ge, H.; Ma, Y.; Cheng, Z.H. Low field induced giant anisotropic magnetocaloric effect in DyFeO3 single crystal. Chin. Phys. B 2015, 24, 037501. [Google Scholar] [CrossRef]
  17. Lee, J.-H.; Jeong, Y.K.; Park, J.H.; Oak, M.-A.; Jang, H.M.; Son, J.Y.; Scott, J.F. Spin-Canting-Induced Improper Ferroelectricity and Spontaneous Magnetization Reversal in SmFeO3. Phys. Rev. Lett. 2011, 107, 117201. [Google Scholar] [CrossRef]
  18. Zhao, Z.Y.; Zhao, X.; Zhou, H.D.; Zhang, F.B.; Li, Q.J.; Fan, C.; Sun, X.F.; Li, X.G. Ground state and magnetic phase transitions of orthoferrite DyFeO3. Phys. Rev. B 2014, 89, 224405. [Google Scholar] [CrossRef]
  19. Prelorendjo, L.A.; Johnson, C.E.; Thomas, M.F.; Wanklyn, B.M. Spin reorientation transitions in DyFeO3 induced by magnetic fields. J. Phys. C Solid State Phys. 1980, 13, 2567. [Google Scholar] [CrossRef]
  20. Du, Y.; Cheng, Z.X.; Wang, X.L.; Dou, S.X. Lanthanum doped multiferroic DyFeO3: Structural and magnetic properties. J. Appl. Phys. 2010, 107, 09D908. [Google Scholar] [CrossRef] [Green Version]
  21. Jaiswal, A.; Das, R.; Maity, T.; Poddar, P. Dielectric and spin relaxation behaviour in DyFeO3 nanocrystals. J. Appl. Phys. 2011, 110, 124301. [Google Scholar] [CrossRef]
  22. Holmes, L.M.; Van Uitert, L.G.; Hecker, R.R.; Hull, G.W. Magnetic Behavior of Metamagnetic DyAlO3. Phys. Rev. B 1972, 5, 138. [Google Scholar] [CrossRef]
  23. Stroppa, A.; Marsman, M.; Kresse, G.; Picozzi, S. The multiferroic phase of DyFeO3: An ab initio study. New J. Phys. 2010, 12, 093026. [Google Scholar] [CrossRef]
  24. Sergienko, I.A.; Dagotto, E. Role of the Dzyaloshinskii-Moriya interaction in multiferroic perovskites. Phys. Rev. B 2006, 73, 094434. [Google Scholar] [CrossRef]
  25. Arima, T.-H. Ferroelectricity Induced by Proper-Screw Type Magnetic Order. J. Phys. Soc. Jpn. 2007, 76, 073702. [Google Scholar] [CrossRef]
  26. Zhao, Z.Y.; Wang, X.M.; Fan, C.; Tao, W.; Liu, X.G.; Ke, W.P.; Zhang, F.B.; Zhao, X.; Sun, X.F. Magnetic phase transitions and magnetoelectric coupling of GdFeO3 single crystals probed by low-temperature heat transport. Phys. Rev. B 2011, 83, 014414. [Google Scholar] [CrossRef]
  27. Bousquet, E.; Cano, A. Non-collinear magnetism in multiferroic perovskites. J. Phys. Condens. Matter 2016, 28, 123001. [Google Scholar] [CrossRef] [PubMed]
  28. Hoogeboom, G.R.; Kuschel, T.; Bauer, G.E.W.; Mostovoy, M.V.; Kimel, A.V.; van Wees, B.J. Magnetic order of Dy3+ and Fe3+ moments in antiferromagnetic DyFeO3 probed by spin Hall magnetoresistance and spin Seebeck effect. Phys. Rev. B 2021, 103, 134406. [Google Scholar] [CrossRef]
  29. Cao, S.X.; Chen, L.; Zhao, W.Y.; Xu, K.; Wang, G.H.; Yang, Y.L.; Kang, B.J.; Zhao, H.J.; Chen, P.; Stroppa, A.; et al. Tuning the Weak Ferromagnetic States in Dysprosium Orthoferrite. Sci. Rep. 2016, 6, 37529. [Google Scholar] [CrossRef] [PubMed] [Green Version]
Figure 1. (a) The crystal structure and (b) magnetic configuration of DyFeO3 below the Dy3+ ordering temperature. Two AFM sublattices nesting with each other at (c) zero field and (d) applied magnetic field.
Figure 1. (a) The crystal structure and (b) magnetic configuration of DyFeO3 below the Dy3+ ordering temperature. Two AFM sublattices nesting with each other at (c) zero field and (d) applied magnetic field.
Nanomaterials 12 03092 g001
Figure 2. (a) The XRD patterns of DyFeO3 powder and single crystal (right inset) and the DyFeO3 single-crystal sample morphology (left inset). (bd) The temperature dependence of the magnetization of the DyFeO3 single crystal with magnetic fields along the a-, b-, and c-axes, respectively. The partial magnification near the transition temperatures of ZFC and FC curves measured at 0.05 T are shown in the corresponding insets.
Figure 2. (a) The XRD patterns of DyFeO3 powder and single crystal (right inset) and the DyFeO3 single-crystal sample morphology (left inset). (bd) The temperature dependence of the magnetization of the DyFeO3 single crystal with magnetic fields along the a-, b-, and c-axes, respectively. The partial magnification near the transition temperatures of ZFC and FC curves measured at 0.05 T are shown in the corresponding insets.
Nanomaterials 12 03092 g002
Figure 3. (ac) Magnetization as a function of the static magnetic field along a-, b-, and c-axes, respectively. (df) The magnetization curves measured along the a-, b-, and c-axes under pulsed high magnetic field, respectively. The curves in the (b,e,f) are offset for clarity. JAFM and JD are the AFM interaction strength and anisotropy energy of the Dy3+-sublattice, respectively.
Figure 3. (ac) Magnetization as a function of the static magnetic field along a-, b-, and c-axes, respectively. (df) The magnetization curves measured along the a-, b-, and c-axes under pulsed high magnetic field, respectively. The curves in the (b,e,f) are offset for clarity. JAFM and JD are the AFM interaction strength and anisotropy energy of the Dy3+-sublattice, respectively.
Nanomaterials 12 03092 g003
Figure 4. (a) The waveform of the pulsed magnetic field. (bd) Magnetization derivative (dM/dB) as a function of the magnetic field measured along the three principal axes. The inset in (c) is the enhancement of the dM/dB around the zero-magnetic-field regions. The curves of (bd) are offset for clarity. QA, QB, QC, and QD are the four quadrants of the pulsed magnetic field; all the transitions are labeled with arrows.
Figure 4. (a) The waveform of the pulsed magnetic field. (bd) Magnetization derivative (dM/dB) as a function of the magnetic field measured along the three principal axes. The inset in (c) is the enhancement of the dM/dB around the zero-magnetic-field regions. The curves of (bd) are offset for clarity. QA, QB, QC, and QD are the four quadrants of the pulsed magnetic field; all the transitions are labeled with arrows.
Nanomaterials 12 03092 g004
Figure 5. (ac) Electric polarization as a function of pulsed magnetic fields, measured under the pulsed magnetic field along c-axis (a), a-axis (b), and b-axis (c), where the electric fields (E = 1.5 kV/cm) are along c-axis. (d) The magnetic field dependence of dPc/dB measured at various temperatures with the applied pulsed magnetic field along b-axis and E = 0. The curves are offset for clarity. The various symbols of red pentacle, black triangle, black diamond, cross, solid circle, blue pentacle, red triangle, and purple triangle represent the transitions in the curves. The sweep directions of the magnetic field are labeled by black arrows.
Figure 5. (ac) Electric polarization as a function of pulsed magnetic fields, measured under the pulsed magnetic field along c-axis (a), a-axis (b), and b-axis (c), where the electric fields (E = 1.5 kV/cm) are along c-axis. (d) The magnetic field dependence of dPc/dB measured at various temperatures with the applied pulsed magnetic field along b-axis and E = 0. The curves are offset for clarity. The various symbols of red pentacle, black triangle, black diamond, cross, solid circle, blue pentacle, red triangle, and purple triangle represent the transitions in the curves. The sweep directions of the magnetic field are labeled by black arrows.
Nanomaterials 12 03092 g005
Publisher’s Note: MDPI stays neutral with regard to jurisdictional claims in published maps and institutional affiliations.

Share and Cite

MDPI and ACS Style

Zeng, Z.; He, X.; Song, Y.; Niu, H.; Jiang, D.; Zhang, X.; Wei, M.; Liang, Y.; Huang, H.; Ouyang, Z.; et al. High-Magnetic-Sensitivity Magnetoelectric Coupling Origins in a Combination of Anisotropy and Exchange Striction. Nanomaterials 2022, 12, 3092. https://doi.org/10.3390/nano12183092

AMA Style

Zeng Z, He X, Song Y, Niu H, Jiang D, Zhang X, Wei M, Liang Y, Huang H, Ouyang Z, et al. High-Magnetic-Sensitivity Magnetoelectric Coupling Origins in a Combination of Anisotropy and Exchange Striction. Nanomaterials. 2022; 12(18):3092. https://doi.org/10.3390/nano12183092

Chicago/Turabian Style

Zeng, Zhuo, Xiong He, Yujie Song, Haoyu Niu, Dequan Jiang, Xiaoxing Zhang, Meng Wei, Youyuan Liang, Hao Huang, Zhongwen Ouyang, and et al. 2022. "High-Magnetic-Sensitivity Magnetoelectric Coupling Origins in a Combination of Anisotropy and Exchange Striction" Nanomaterials 12, no. 18: 3092. https://doi.org/10.3390/nano12183092

APA Style

Zeng, Z., He, X., Song, Y., Niu, H., Jiang, D., Zhang, X., Wei, M., Liang, Y., Huang, H., Ouyang, Z., Cheng, Z., & Xia, Z. (2022). High-Magnetic-Sensitivity Magnetoelectric Coupling Origins in a Combination of Anisotropy and Exchange Striction. Nanomaterials, 12(18), 3092. https://doi.org/10.3390/nano12183092

Note that from the first issue of 2016, this journal uses article numbers instead of page numbers. See further details here.

Article Metrics

Back to TopTop