Plasmon-Enhanced Fluorescence Emission of an Electric Dipole Modulated by a Nanoscale Silver Hemisphere
Abstract
:1. Introduction
2. Materials and Methods
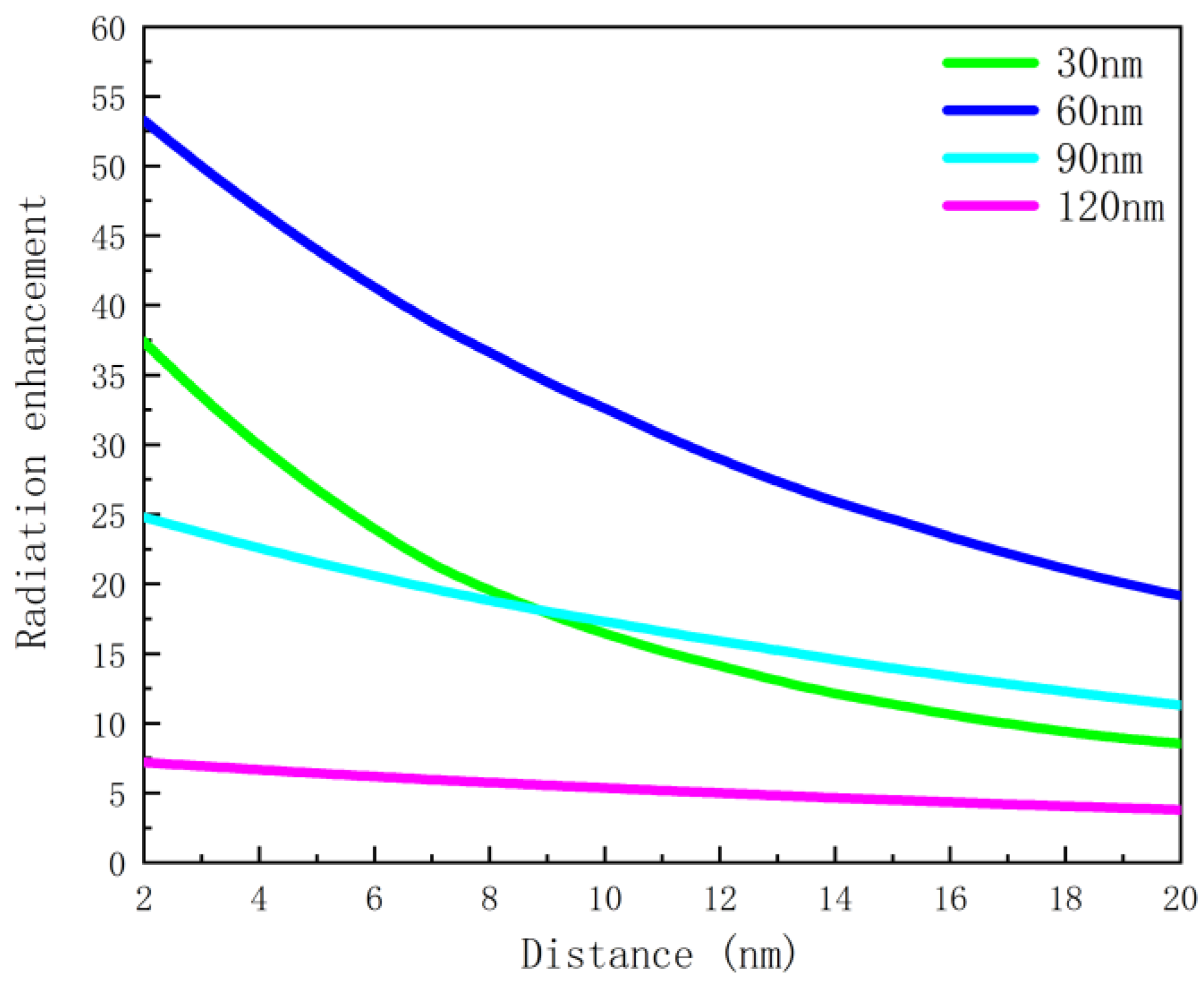
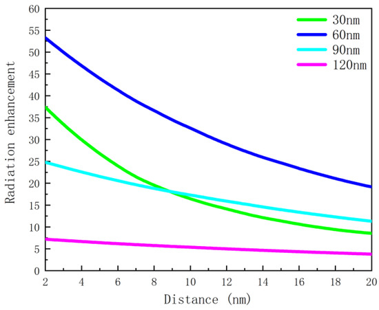
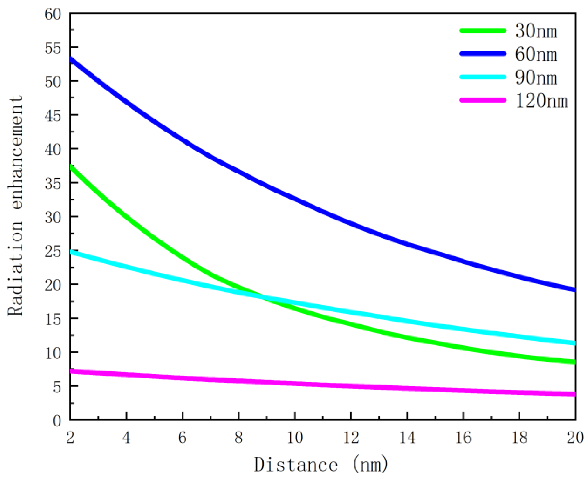
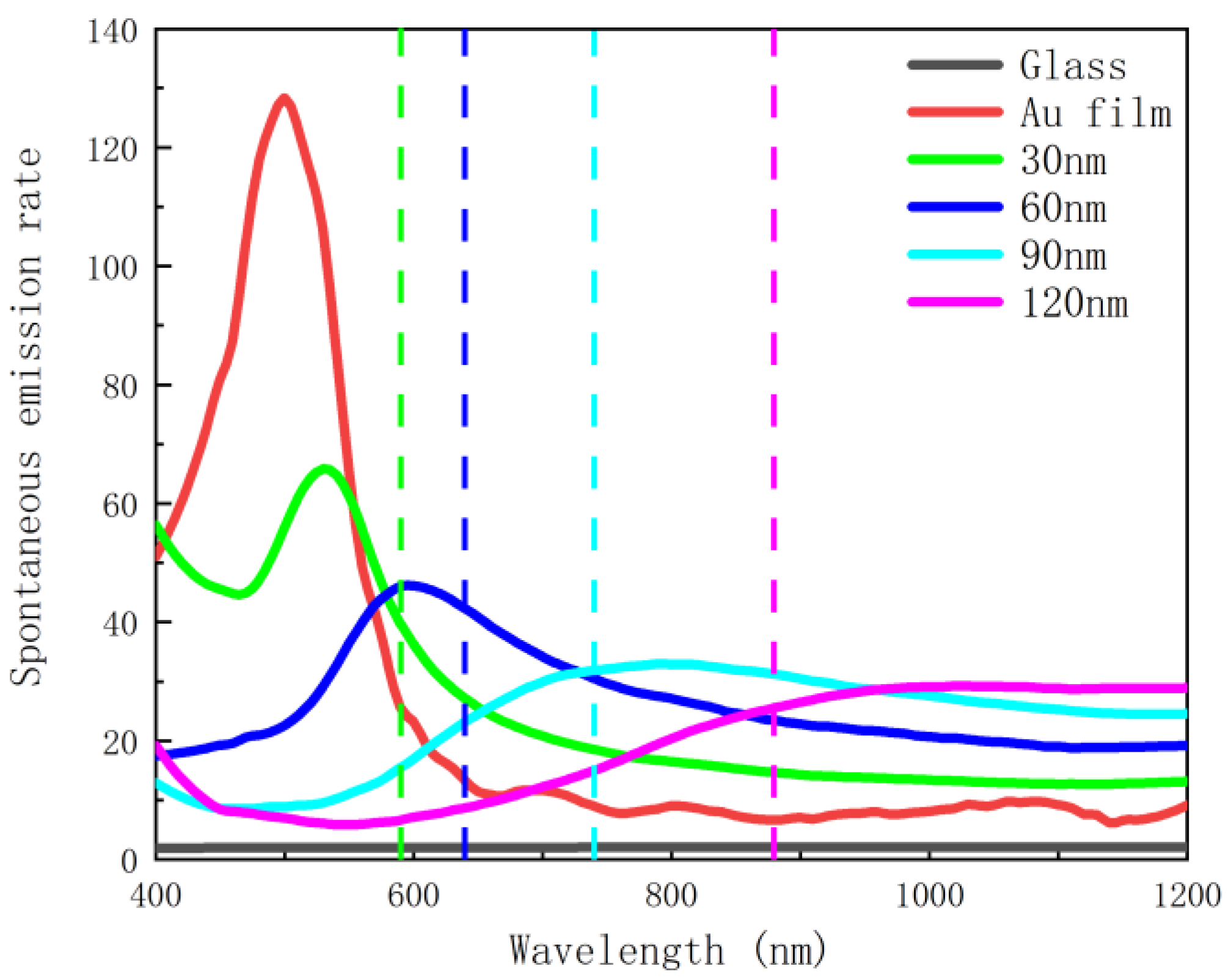
3. Results
4. Conclusions
Author Contributions
Funding
Data Availability Statement
Acknowledgments
Conflicts of Interest
References
- Hernot, S.; van Manen, L.; Debie, P.; Mieog, J.S.D.; Vahrmeijer, A.L. Latest developments in molecular tracers for fluorescence image-guided cancer surgery. Lancet Oncol. 2019, 20, e354–e367. [Google Scholar] [CrossRef]
- Xu, C.; Wise, F.W. Recent Advances in Fibre Lasers for Nonlinear Microscopy. Nat. Photonics 2013, 7, 875–882. [Google Scholar] [CrossRef]
- Barulin, A.; Roy, P.; Claude, J.-B.; Wenger, J. Purcell radiative rate enhancement of label-free proteins with ultraviolet aluminum plasmonics. J. Phys. D Appl. Phys. 2021, 54, 425101. [Google Scholar] [CrossRef]
- Darvill, D.; Centeno, A.; Xie, F. Plasmonic fluorescence enhancement by metal nanostructures: Shaping the future of bionanotechnology. Phys. Chem. Chem. Phys. 2013, 15, 15709–15726. [Google Scholar] [CrossRef] [PubMed]
- Acuna, G.P.; Möller, F.M.; Holzmeister, P.; Beater, S.; Lalkens, B.; Tinnefeld, P. Fluorescence enhancement at docking sites of DNA-directed self-assembled nanoantennas. Science 2012, 338, 506–510. [Google Scholar] [CrossRef]
- Taylor, A.B.; Zijlstra, P. Single-Molecule Plasmon Sensing: Current Status and Future Prospects. ACS Sens. 2017, 2, 1103–1122. [Google Scholar] [CrossRef]
- Purcell, E.M. Spontaneous emission probabilities at radio frequencies. Phys. Rev. 1946, 69, 681. [Google Scholar]
- Tam, F.; Goodrich, G.P.; Johnson, B.R.; Halas, N.J. Plasmonic enhancement of molecular fluorescence. Nano Lett. 2007, 7, 496–501. [Google Scholar] [CrossRef]
- Salim, A.A.; Ghoshal, S.K.; Krishnan, G.; Bakhtiar, H. Tailored fluorescence traits of pulse laser ablated Gold-Cinnamon nanocomposites. Mater. Lett. 2020, 264, 127335. [Google Scholar] [CrossRef]
- Xie, K.-X.; Liu, Q.; Jia, S.-S.; Xiao, X.-X. Fluorescence enhancement by hollow plasmonic assembly and its biosensing application. Anal. Chim. Acta 2021, 1144, 96–101. [Google Scholar] [CrossRef]
- Anger, P.; Bharadwaj, P.; Novotny, L. Enhancement and quenching of single-molecule fluorescence. Phys. Rev. Lett. 2006, 96, 113002. [Google Scholar] [CrossRef] [PubMed] [Green Version]
- Chen, Y.; Munechika, K.; Ginger, D.S. Dependence of fluorescence intensity on the spectral overlap between fluorophores and plasmon resonant single silver nanoparticles. Nano Lett. 2007, 7, 690–696. [Google Scholar] [CrossRef] [PubMed]
- Akselrod, G.M.; Argyropoulos, C.; Hoang, T.B.; Ciracì, C.; Fang, C.; Huang, J.; Smith, D.R.; Mikkelsen, M. Probing the mechanisms of large Purcell enhancement in plasmonic nanoantennas. Nat. Photonics 2014, 8, 835–840. [Google Scholar] [CrossRef]
- Hoang, T.B.; Akselrod, G.M.; Argyropoulos, C.; Huang, J.; Smith, D.R.; Mikkelsen, M.H. Ultrafast spontaneous emission source using plasmonic nanoantennas. Nat. Commun. 2015, 6, 7788. [Google Scholar] [CrossRef] [PubMed]
- Rose, A.; Hoang, T.B.; McGuire, F.; Mock, J.J.; Ciracì, C.; Smith, D.R.; Mikkelsen, M.H. Control of radiative processes using tunable plasmonic nanopatch antennas. Nano Lett. 2014, 14, 4797–4802. [Google Scholar] [CrossRef]
- Khatua, S.; Paulo, P.M.R.; Yuan, H.; Gupta, A.; Zijlstra, P.; Orrit, M. Resonant Plasmonic Enhancement of Single-Molecule Fluorescence by Individual Gold Nanorods. ACS Nano 2014, 8, 4440–4449. [Google Scholar] [CrossRef]
- Li, J.; Krasavin, A.V.; Webster, L.; Segovia, P.; Zayats, A.V.; Richards, D. Spectral variation of fluorescence lifetime near single metal nanoparticles. Sci. Rep. 2016, 6, 21349. [Google Scholar] [CrossRef]
- Flauraud, V.; Regmi, R.; Winkler, P.; Alexander, D.; Rigneault, H.; Van Hulst, N.F.; García-Parajo, M.F.; Wenger, J.; Brugger, J. In-Plane Plasmonic Antenna Arrays with Surface Nanogaps for Giant Fluorescence Enhancement. Nano Lett. 2017, 17, 1703–1710. [Google Scholar] [CrossRef] [PubMed]
- Xie, F.; Pang, J.S.; Centeno, A.; Ryan, M.P.; Riley, D.J.; Alford, N.M. Nanoscale control of Ag nanostructures for plasmonic fluorescence enhancemet of near-infrared dyes. Nano Res. 2013, 6, 496–510. [Google Scholar] [CrossRef]
- Zhang, Q.; Wu, L.; Wong, T.I.; Zhang, J.; Liu, X.; Zhou, X.; Bai, P.; Liedberg, B.; Wang, Y. Surface plasmon-enhanced fluorescence on Au nanohole array for prostate-specific antigen detection. Int. J. Nanomed. 2017, 12, 2307–2333. [Google Scholar] [CrossRef]
- Le, K.Q. Dual-blade-like shaped nanostructured metasurface inducing dual-band extinction for dye fluorescence enhancement. J. Appl. Phys. 2018, 123, 043104. [Google Scholar] [CrossRef]
- Spada, E.R.; Valente, G.T.; Pereira-Da-Silva, M.A.; Sartorelli, M.L.; Guimarães, F.E.; Faria, R.M. Copper spherical cavity arrays: Fluorescence enhancement in PFO films. Appl. Surf. Sci. 2017, 392, 1181–1186. [Google Scholar] [CrossRef]
- Khataee, A.; Jalili, R.; Dastborhan, M.; Karimi, A.; Azar, A.E.F. Ratiometric visual detection of tetracycline residues in milk by framework-enhanced fluorescence of gold and copper nanoclusters. Spectrochim. Acta A 2020, 242, 118715. [Google Scholar] [CrossRef] [PubMed]
- Jalili, R.; Dastborhan, M.; Chenaghlou, S.; Khataee, A. Incorporating of gold nanoclusters into metal-organic frameworks for highly sensitive detection of 3-nitrotyrosine as an oxidative stress biomarker. J. Photochem. Photobiol. A 2020, 391, 112370. [Google Scholar] [CrossRef]
- Jung, D.-W.; Kim, J.M.; Yun, H.J.; Yi, G.-R.; Cho, J.Y.; Jung, H.; Lee, G.; Chae, W.-S.; Nam, K.M. Understanding metal-enhanced fluorescence and structural properties in Au@Ag core–shell nanocubes. RSC Adv. 2019, 9, 29232–29237. [Google Scholar] [CrossRef] [PubMed]
- Siddique, R.H.; Kumar, S.; Narasimhan, V.; Kwon, H.; Choo, H. Aluminum Metasurface with Hybrid Multipolar Plasmons for 1000-Fold Broadband Visible Fluorescence Enhancement and Multiplexed Biosensing. ACS Nano 2019, 13, 13775–13783. [Google Scholar] [CrossRef]
- Si, G.; Zhao, Y.; Lv, J.; Lu, M.; Wang, F.; Liu, H.; Xiang, N.; Huang, T.J.; Danner, A.J.; Teng, J.; et al. Reflective plasmonic color filters based on lithographically patterned silver nanorod arrays. Nanoscale 2013, 5, 6243–6248. [Google Scholar] [CrossRef]
- Jiang, X.; Gu, Q.; Wang, F.; Lv, J.; Ma, Z.; Si, G. Fabrication of coaxial plasmonic crystals by focused ion beam milling and electron-beam lithography. Mater. Lett. 2013, 100, 192–194. [Google Scholar] [CrossRef]
- Cambiasso, J.; König, M.; Cortes, E.; Schlücker, S.; Maier, S.A. Surface-Enhanced Spectroscopies of a Molecular Monolayer in an All-Dielectric Nanoantenna. ACS Photonics 2018, 5, 1546–1557. [Google Scholar] [CrossRef]
- Zambrana-Puyalto, X.; Ponzellini, P.; Maccaferri, N.; Tessarolo, E.; Pelizzo, M.G.; Zhang, W.; Barbillon, G.; Lu, G.; Garoli, D. A Hybrid Metal-Dielectric Zero Mode Waveguide for Enhanced Single Molecule Detection. Chem. Commun. 2019, 55, 9725–9728. [Google Scholar] [CrossRef]
- Regmi, R.; Berthelot, J.; Winkler, P.; Mivelle, M.; Proust, J.; Bedu, F.; Ozerov, I.; Begou, T.; Lumeau, J.; Rigneault, H.; et al. All-Dielectric Silicon Nanogap Antennas to Enhance the Fluorescence of Single Molecules. Nano Lett. 2016, 16, 5143–5151. [Google Scholar] [CrossRef] [PubMed]
- Yang, G.; Niu, Y.; Wei, H.; Bai, B.; Sun, H.B. Greatly amplified spontaneous emission of colloidal quantum dots mediated by a dielectric-plasmonic hybrid nanoantenna. Nanophotonics 2019, 8, 2313–2319. [Google Scholar] [CrossRef]
- Li, C.; Chen, L.; McLeod, E.; Su, J. Dark mode plasmonic optical microcavity biochemical sensor. Photonics Res. 2019, 7, 939–947. [Google Scholar] [CrossRef]
- Wang, Y.; Wu, L.; Wong, T.I.; Bauch, M.; Zhang, Q.; Zhang, J.; Liu, X.; Zhou, X.; Bai, P.; Dostalek, J.; et al. Directional fluorescence emission co-enhanced by localized and propagating surface plasmons for biosensing. Nanoscale 2016, 8, 8008–8016. [Google Scholar] [CrossRef] [PubMed]
- Vien Thi, T.; Ju, H. Fluorescence Enhancement via Dual Coupling of Dye Molecules with Silver Nanostructures. Chemosensors 2021, 9, 217. [Google Scholar]
- Johnson, P.B.; Christy, R.W. Optical constants of the noble metals. Phys. Rev. B 1972, 6, 4370. [Google Scholar] [CrossRef]
- Pelton, M. Modified spontaneous emission in nanophotonic structures. Nat. Photonics 2015, 9, 427–435. [Google Scholar] [CrossRef]










Publisher’s Note: MDPI stays neutral with regard to jurisdictional claims in published maps and institutional affiliations. |
© 2022 by the authors. Licensee MDPI, Basel, Switzerland. This article is an open access article distributed under the terms and conditions of the Creative Commons Attribution (CC BY) license (https://creativecommons.org/licenses/by/4.0/).
Share and Cite
Lv, J.; Chang, M.; Gu, Q.; Ying, Y.; Si, G. Plasmon-Enhanced Fluorescence Emission of an Electric Dipole Modulated by a Nanoscale Silver Hemisphere. Nanomaterials 2022, 12, 3070. https://doi.org/10.3390/nano12173070
Lv J, Chang M, Gu Q, Ying Y, Si G. Plasmon-Enhanced Fluorescence Emission of an Electric Dipole Modulated by a Nanoscale Silver Hemisphere. Nanomaterials. 2022; 12(17):3070. https://doi.org/10.3390/nano12173070
Chicago/Turabian StyleLv, Jiangtao, Minghui Chang, Qiongchan Gu, Yu Ying, and Guangyuan Si. 2022. "Plasmon-Enhanced Fluorescence Emission of an Electric Dipole Modulated by a Nanoscale Silver Hemisphere" Nanomaterials 12, no. 17: 3070. https://doi.org/10.3390/nano12173070
APA StyleLv, J., Chang, M., Gu, Q., Ying, Y., & Si, G. (2022). Plasmon-Enhanced Fluorescence Emission of an Electric Dipole Modulated by a Nanoscale Silver Hemisphere. Nanomaterials, 12(17), 3070. https://doi.org/10.3390/nano12173070

