Construction of Electrochemical Sensors for Antibiotic Detection Based on Carbon Nanocomposites
Abstract
:1. Introduction
2. Carbon-Based Nanomaterials
3. Recent Reports on Antibiotic Detection by the Sensor
3.1. Electrochemical Behaviour of Antibiotics
3.1.1. Tetracyclines
3.1.2. Amoxicillin
3.1.3. Quinolones
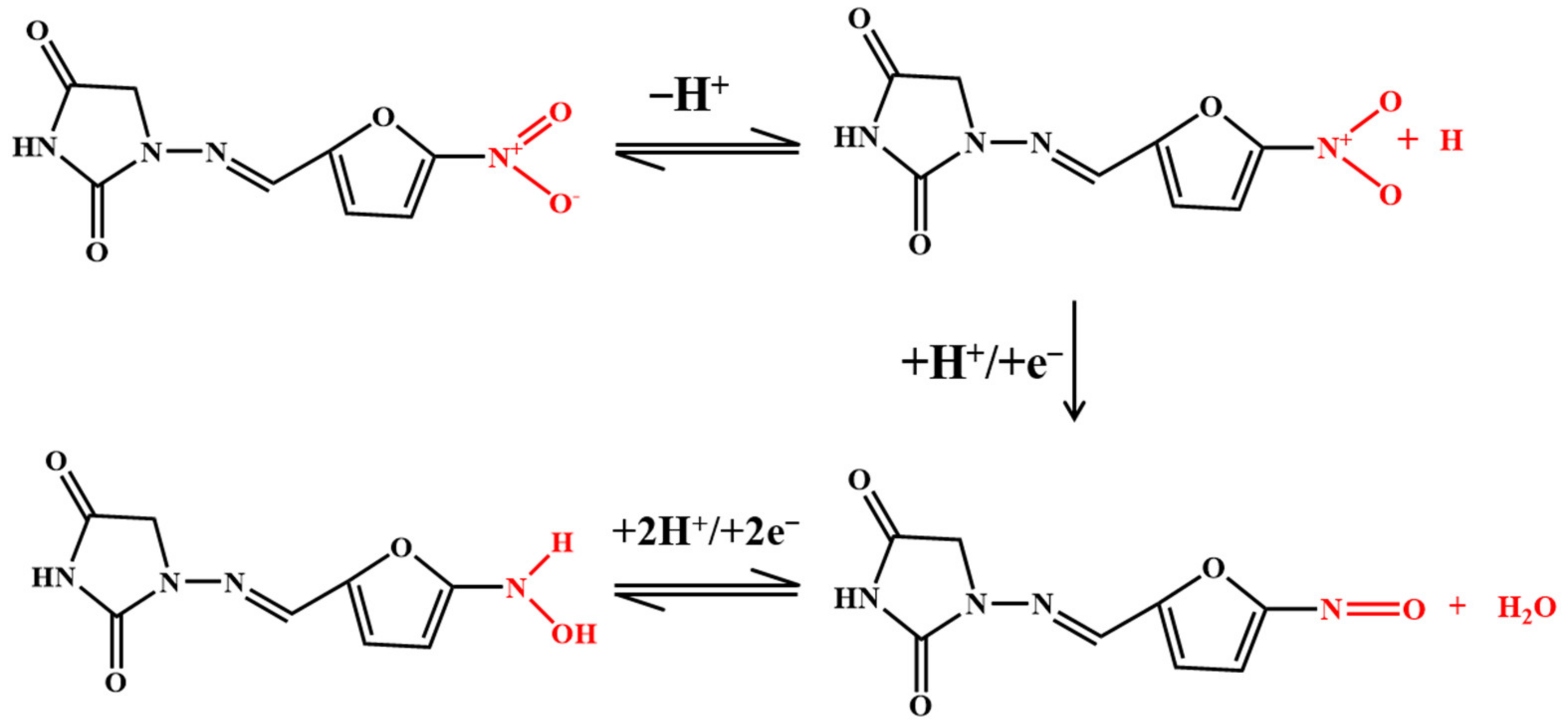
3.1.4. Nitrofurans
3.2. Application of Recognized Components in the Detection of Antibiotics
3.2.1. Aptamer
3.2.2. Molecular Imprinting Polymers
4. Conclusions and Prospect
Author Contributions
Funding
Institutional Review Board Statement
Informed Consent Statement
Data Availability Statement
Conflicts of Interest
References
- Wang, H.; Wang, N.; Wang, B.; Fang, H.; Fu, C.; Tang, C.; Jiang, F.; Zhou, Y.; He, G.; Zhao, Q.; et al. Antibiotics detected in urines and adipogenesis in school children. Environ. Int. 2016, 89–90, 204–211. [Google Scholar] [CrossRef] [PubMed]
- Mikkelsen, K.H.; Allin, K.H.; Knop, F.K. Effect of antibiotics on gut microbiota, glucose metabolism and body weight regulation: A review of the literature. Diabetes Obes. Metab. 2016, 18, 444–453. [Google Scholar] [CrossRef] [PubMed]
- Liu, X.; Steele, J.C.; Meng, X.Z. Usage, residue, and human health risk of antibiotics in Chinese aquaculture: A review. Environ. Pollut. 2017, 223, 161–169. [Google Scholar] [CrossRef] [PubMed]
- Liu, S.; Zhao, G.; Zhao, H.; Zhai, G.; Chen, J.; Zhao, H. Antibiotics in a general population: Relations with gender, body mass index (BMI) and age and their human health risks. Sci. Total Environ. 2017, 599–600, 298–304. [Google Scholar] [CrossRef]
- Mboya, E.A.; Sanga, L.A.; Ngocho, J.S. Irrational use of antibiotics in the Moshi Municipality Northern Tanzania: A cross sectional study. Pan Afr. Med. J. 2018, 31, 165. [Google Scholar] [CrossRef]
- Roose-Amsaleg, C.; Laverman, A.M. Do antibiotics have environmental side-effects? Impact of synthetic antibiotics on biogeochemical processes. Environ. Sci. Pollut. Res. 2016, 23, 4000–4012. [Google Scholar] [CrossRef]
- Nicolaou, K.C.; Rigol, S. A brief history of antibiotics and select advances in their synthesis. J. Antibiot. 2018, 71, 153–184. [Google Scholar] [CrossRef]
- Hutchings, M.; Truman, A.; Wilkinson, B. Antibiotics: Past, present and future. Curr. Opin. Microbiol. 2019, 51, 72–80. [Google Scholar] [CrossRef]
- Sachi, S.; Ferdous, J.; Sikder, M.H.; Azizul Karim Hussani, S.M. Antibiotic residues in milk: Past, present, and future. J. Adv. Vet. Anim. Res. 2019, 6, 315–332. [Google Scholar] [CrossRef]
- Kim, C.; Ryu, H.D.; Chung, E.G.; Kim, Y.; Lee, J.K. A Review of analytical procedures for the simultaneous determination of medically important veterinary antibiotics in environmental water: Sample preparation, liquid chromatography, and mass spectrometry. J. Environ. Manag. 2018, 217, 629–645. [Google Scholar] [CrossRef]
- Perez, J.J.; Chen, C.Y. Detection of acetyltransferase modification of kanamycin, an aminoglycoside antibiotic, in bacteria using ultrahigh-performance liquid chromatography tandem mass spectrometry. Rapid Commun. Mass Spectrom. 2018, 32, 1549–1556. [Google Scholar] [CrossRef]
- Wu, Q.; Peng, D.; Liu, Q.; Bakr Shabbir, M.A.; Sajid, A.; Liu, Z.; Wang, Y.; Yuan, Z. A novel microbiological method in microtiter plates for screening seven kinds of widely used antibiotics residues in milk, chicken egg and honey. Front. Microbiol. 2019, 10, 436. [Google Scholar] [CrossRef]
- Decheng, S.; Peilong, W.; Yang, L.; Ruiguo, W.; Shulin, W.; Zhiming, X.; Su, Z. Simultaneous determination of antibiotics and amantadines in animal-derived feedstuffs by ultraperformance liquid chromatographic-tandem mass spectrometry. J. Chromatogr. B Anal. Technol. Biomed. Life Sci. 2018, 1095, 183–190. [Google Scholar] [CrossRef]
- Ezenduka, E.V.; Okorie-Kanu, O.J.; Nwanta, J.A. Comparative analysis of two microbiological tests in the detection of oxytetracycline residue in chicken using ELISA as gold standard. J. Immunoass. Immunochem. 2019, 40, 617–629. [Google Scholar] [CrossRef]
- Gaudin, V.; Rault, A.; Hedou, C.; Soumet, C.; Verdon, E. Strategies for the screening of antibiotic residues in eggs: Comparison of the validation of the classical microbiological method with an immunobiosensor method. Food Addit. Contam. Part A Chem. Anal. Control Expo. Risk Assess. 2017, 34, 1510–1527. [Google Scholar] [CrossRef]
- Sánchez-Hernández, L.; Domínguez-Vega, E.; Montealegre, C.; Castro-Puyana, M.; Marina, M.L.; Crego, A.L. Potential of vancomycin for the enantiomeric resolution of FMOC-amino acids by capillary electrophoresis-ion-trap-mass spectrometry. Electrophoresis 2014, 35, 1244–1250. [Google Scholar] [CrossRef]
- Fu, Q.; Long, C.; Qin, L.; Jiang, Z.; Qing, T.; Zhang, P.; Feng, B. Fluorescent and colorimetric dual-mode detection of tetracycline in wastewater based on heteroatoms-doped reduced state carbon dots. Environ. Pollut. 2021, 283, 117109. [Google Scholar] [CrossRef]
- Tan, B.; Zhao, H.; Du, L.; Gan, X.; Quan, X. A versatile fluorescent biosensor based on target-responsive graphene oxide hydrogel for antibiotic detection. Biosens. Bioelectron. 2016, 83, 267–273. [Google Scholar] [CrossRef]
- Dong, X.; Yan, X.; Li, M.; Liu, H.; Li, J.; Wang, L.; Wang, K.; Lu, X.; Wang, S.; He, B. Ultrasensitive detection of chloramphenicol using electrochemical aptamer sensor: A mini review. Electrochem. Commun. 2020, 120, 106835. [Google Scholar] [CrossRef]
- Yue, F.; Li, F.; Kong, Q.; Guo, Y.; Sun, X. Recent advances in aptamer-based sensors for aminoglycoside antibiotics detection and their applications. Sci. Total Environ. 2021, 762, 143129. [Google Scholar] [CrossRef]
- Majdinasab, M.; Mitsubayashi, K.; Marty, J.L. Optical and electrochemical sensors and biosensors for the detection of quinolones. Trends Biotechnol. 2019, 37, 898–915. [Google Scholar] [CrossRef]
- Sun, Y.; Zhao, J.; Liang, L. Recent development of antibiotic detection in food and environment: The combination of sensors and nanomaterials. Microchim. Acta 2021, 21, 188. [Google Scholar] [CrossRef]
- Kharewal, T.; Verma, N.; Gahlaut, A.; Hooda, V. Biosensors for penicillin quantification: A comprehensive review. Biotechnol. Lett. 2020, 42, 1829–1846. [Google Scholar] [CrossRef]
- Rudnicki, K.; Sipa, K.; Brycht, M.; Borgul, P.; Skrzypek, S.; Poltorak, L. Electrochemical sensing of fluoroquinolone antibiotics. TrAC 2020, 128, 115907. [Google Scholar] [CrossRef]
- Gaudin, V. Advances in biosensor development for the screening of antibiotic residues in food products of animal origin—A Comprehensive Review. Biosens. Bioelectron. 2017, 90, 363–377. [Google Scholar] [CrossRef]
- Pollap, A.; Kochana, J. Electrochemical immunosensors for antibiotic detection. Biosensors 2019, 9, 61. [Google Scholar] [CrossRef]
- Sainz-Urruela, C.; Vera-López, S.; San Andrés, M.P.; Díez-pascual, A.M. Graphene-based sensors for the detection of bioactive compounds: A review. Int. J. Mol. Sci. 2021, 22, 3316. [Google Scholar] [CrossRef]
- Tîlmaciu, C.M.; Morris, M.C. Carbon Nanotube Biosensors. Front. Chem. 2015, 3, 2296–2646. [Google Scholar] [CrossRef]
- Joshi, A.; Kim, K.H. Recent Advances in nanomaterial-based electrochemical detection of antibiotics: Challenges and future perspectives. Biosens. Bioelectron. 2020, 153, 112046. [Google Scholar] [CrossRef]
- Teradal, N.L.; Jelinek, R. Carbon nanomaterials in biological studies and biomedicine. Adv. Healthc. Mater. 2017, 6, 17. [Google Scholar] [CrossRef]
- Ma, X.; Li, X.; Zhang, W.; Meng, F.; Wang, X.; Qin, Y.; Zhang, M. Carbon-Based Nanocomposite Smart Sensors for the Rapid Detection of Mycotoxins. Nanomaterials 2021, 11, 2851. [Google Scholar] [CrossRef] [PubMed]
- Meng, F.; Qin, Y.; Zhang, W.; Chen, F.; Zheng, L.; Xing, J.; Aihaiti, A.; Zhang, M. Amplified electrochemical sensor employing Ag NPs functionalized graphene paper electrode for high sensitive analysis of Sudan, I. Food Chem. 2022, 371, 131204. [Google Scholar] [CrossRef] [PubMed]
- Baptista, F.R.; Belhout, S.A.; Giordani, S.; Quinn, S.J. Recent developments in carbon nanomaterial sensors. Chem. Soc. Rev. 2015, 44, 4433–4453. [Google Scholar] [CrossRef] [PubMed]
- Sanati, A.; Jalali, M.; Raeissi, K.; Karimzadeh, F.; Kharaziha, M.; Mahshid, S.S.; Mahshid, S. A review on recent advancements in electrochemical biosensing using carbonaceous nanomaterials. Microchim. Acta 2019, 186, 773. [Google Scholar] [CrossRef]
- Zhang, M.; Hou, C.; Halder, A.; Ulstrup, J.; Chi, Q. Interlocked graphene-Prussian blue hybrid composites enable multifunctional electrochemical applications. Biosens. Bioelectron. 2017, 89, 570–577. [Google Scholar] [CrossRef]
- Zhu, Y.; Li, X.; Xu, Y.; Wu, L.; Yu, A.; Lai, G.; Wei, Q.; Chi, H.; Jiang, N.; Fu, L.; et al. Intertwined carbon nanotubes and Ag nanowires constructed by simple solution blending as sensitive and stable chloramphenicol sensors. Sensors 2021, 21, 1220. [Google Scholar] [CrossRef]
- Muhammad, A.; Yusof, N.A.; Hajian, R.; Abdullah, J. Construction of an electrochemical sensor based on carbon nanotubes/gold nanoparticles for trace determination of amoxicillin in bovine milk. Sensors 2016, 16, 56. [Google Scholar] [CrossRef]
- He, B.; Wang, L.; Dong, X.; Yan, X.; Li, M.; Yan, S.; Yan, D. Aptamer-based thin film gold electrode modified with gold nanoparticles and carboxylated multi-walled carbon nanotubes for detecting oxytetracycline in chicken samples. Food Chem. 2019, 300, 125179. [Google Scholar] [CrossRef]
- Golkarieh, A.M.; Nasirizadeh, N.; Jahanmardi, R. Fabrication of an electrochemical sensor with Au nanorods-graphene oxide hybrid nanocomposites for in situ measurement of cloxacillin. Mater. Sci. Eng. C 2021, 118, 111317. [Google Scholar] [CrossRef]
- Wang, F.; Zhu, L.; Zhang, J. Electrochemical sensor for levofloxacin based on molecularly imprinted polypyrrole-graphene-gold nanoparticles modified electrode. Sens. Actuators B Chem. 2014, 192, 642–647. [Google Scholar] [CrossRef]
- Azadbakht, A.; Abbasi, A.R. Impedimetric aptasensor for kanamycin by using carbon nanotubes modified with MoSe2 nanoflowers and gold nanoparticles as signal amplifiers. Microchim. Acta 2019, 186, 23. [Google Scholar] [CrossRef]
- Kumar, N.; Rosy; Goyal, R.N. Gold-palladium nanoparticles aided electrochemically reduced graphene oxide sensor for the simultaneous estimation of lomefloxacin and amoxicillin. Sens. Actuators B Chem. 2017, 243, 658–668. [Google Scholar] [CrossRef]
- Magesa, F.; Wu, Y.; Dong, S.; Tian, Y.; Li, G.; Vianney, J.M.; Buza, J.; Liu, J.; He, Q. Electrochemical sensing fabricated with Ta2O5 nanoparticle-electrochemically reduced graphene oxide nanocomposite for the detection of oxytetracycline. Biomolecules 2020, 10, 110. [Google Scholar] [CrossRef]
- Yue, X.; Li, Z.; Zhao, S. A new electrochemical sensor for simultaneous detection of sulfamethoxazole and trimethoprim antibiotics based on graphene and ZnO nanorods modified glassy carbon electrode. Microchem. J. 2020, 159, 105440. [Google Scholar] [CrossRef]
- Ensafi, A.A.; Allafchian, A.R.; Rezaei, B. Multiwall carbon nanotubes decorated with FeCr2O4, a new selective electrochemical sensor for amoxicillin determination. J. Nanoparticle Res. 2012, 14, 1244. [Google Scholar] [CrossRef]
- Martin Santos, A.; Wong, A.; Almeida, A.A.; Fatibello-Filho, O. Simultaneous determination of paracetamol and ciprofloxacin in biological fluid samples using a glassy carbon electrode modified with graphene oxide and nickel oxide nanoparticles. Talanta 2017, 174, 610–618. [Google Scholar] [CrossRef]
- Chen, T.W.; Rajaji, U.; Chen, S.M.; Muthumariyappan, A.; al Mogren, M.M.; Jothi Ramalingam, R.; Hochlaf, M. Facile synthesis of copper(II) oxide nanospheres covered on functionalized multiwalled carbon nanotubes modified electrode as rapid electrochemical sensing platform for super-sensitive detection of antibiotic. Ultrason. Sonochem. 2019, 58, 104596. [Google Scholar] [CrossRef]
- Ensafi, A.A.; Zandi-Atashbar, N.; Gorgabi-Khorzoughi, M.; Rezaei, B. Nickel-ferrite oxide decorated on reduced graphene oxide, an efficient and selective electrochemical sensor for detection of furazolidone. IEEE Sens. J. 2019, 19, 5396–5403. [Google Scholar] [CrossRef]
- Ghanbari, M.H.; Khoshroo, A.; Sobati, H.; Ganjali, M.R.; Rahimi-Nasrabadi, M.; Ahmadi, F. An electrochemical sensor based on poly (L-Cysteine)@AuNPs @ reduced graphene oxide nanocomposite for determination of levofloxacin. Microchem. J. 2019, 147, 198–206. [Google Scholar] [CrossRef]
- He, Z.; Zang, S.; Liu, Y.; He, Y.; Lei, H. A multi-walled carbon nanotubes-poly(L-lysine) modified enantioselective immunosensor for ofloxacin by using multi-enzyme-labeled gold nanoflower as signal enhancer. Biosens. Bioelectron. 2015, 73, 85–92. [Google Scholar] [CrossRef]
- Sun, X.-M.; Ji, Z.; Xiong, M.-X.; Chen, W. The electrochemical sensor for the determination of tetracycline based on graphene /L-cysteine composite film. J. Electrochem. Soc. 2017, 164, B107–B112. [Google Scholar] [CrossRef]
- Fang, X.; Chen, X.; Liu, Y.; Li, Q.; Zeng, Z.; Maiyalagan, T.; Mao, S. Nanocomposites of Zr(IV)-based metal-organic frameworks and reduced graphene oxide for electrochemically sensing ciprofloxacin in water. ACS Appl. Nano Mater. 2019, 2, 2367–2376. [Google Scholar] [CrossRef]
- Wong, A.; Silva, T.A.; Vicentini, F.C.; Fatibello-Filho, O. Electrochemical sensor based on graphene oxide and ionic liquid for ofloxacin determination at nanomolar levels. Talanta 2016, 161, 333–341. [Google Scholar] [CrossRef]
- Kirchner, E.M.; Hirsch, T. Recent developments in carbon-based two-dimensional materials: Synthesis and modification aspects for electrochemical sensors. Microchim. Acta 2020, 187, 441. [Google Scholar] [CrossRef]
- Mohammad-Razdari, A.; Ghasemi-Varnamkhasti, M.; Izadi, Z.; Ensafi, A.A.; Rostami, S.; Siadat, M. An impedimetric aptasensor for ultrasensitive detection of Penicillin G based on the use of reduced graphene oxide and gold nanoparticles. Microchim. Acta 2019, 186, 372. [Google Scholar] [CrossRef]
- Roushani, M.; Rahmati, Z.; Farokhi, S.; Hoseini, S.J.; Fath, R.H. The development of an electrochemical nanoaptasensor to sensing chloramphenicol using a nanocomposite consisting of graphene oxide functionalized with (3-aminopropyl) triethoxysilane and silver nanoparticles. Mater. Sci. Eng. C 2020, 108, 110388. [Google Scholar] [CrossRef]
- Gao, C.; Guo, Z.; Liu, J.H.; Huang, X.J. The new age of carbon nanotubes: An updated review of functionalized carbon nanotubes in electrochemical sensors. Nanoscale 2012, 4, 1948–1963. [Google Scholar] [CrossRef]
- Hatamluyi, B.; Lorestani, F.; Es’haghi, Z. Au/Pd@rGO nanocomposite decorated with poly (L-cysteine) as a probe for simultaneous sensitive electrochemical determination of anticancer drugs, Ifosfamide and Etoposide. Biosens. Bioelectron. 2018, 120, 22–29. [Google Scholar] [CrossRef]
- Kuilla, T.; Bhadra, S.; Yao, D.; Kim, N.H.; Bose, S.; Lee, J.H. Recent advances in graphene based polymer composites. Prog. Polym. Sci. 2010, 35, 1350–1375. [Google Scholar] [CrossRef]
- Arvand, M.; Sanayeei, M.; Hemmati, S. Label-free electrochemical DNA biosensor for guanine and adenine by ds-DNA/poly(L-cysteine)/Fe3O4 nanoparticles-graphene oxide nanocomposite modified electrode. Biosens. Bioelectron. 2018, 102, 70–79. [Google Scholar] [CrossRef]
- Kesavan, S.; Kumar, D.R.; Lee, Y.R.; Shim, J.J. Determination of tetracycline in the presence of major interference in human urine samples using polymelamine/electrochemically reduced graphene oxide modified electrode. Sens. Actuators B Chem. 2017, 241, 455–465. [Google Scholar] [CrossRef]
- Lorenzetti, A.S.; Sierra, T.; Domini, C.E.; Lista, A.G.; Crevillen, A.G.; Escarpa, A. Electrochemically reduced graphene oxide-based screen-printed electrodes for total tetracycline determination by adsorptive transfer stripping differential pulse voltammetry. Sensors 2020, 20, 76. [Google Scholar] [CrossRef] [PubMed]
- Wong, A.; Scontri, M.; Materon, E.M.; Lanza, M.R.V.; Sotomayor, M.D.P.T. Development and application of an electrochemical sensor modified with multi-walled carbon nanotubes and graphene oxide for the sensitive and selective detection of tetracycline. J. Electroanal. Chem. 2015, 757, 250–257. [Google Scholar] [CrossRef]
- Osikoya, A.O.; Opoku, F.; Govender, P.P. Electrochemical detection of amoxicillin on 2D graphene-gold nanoparticle-lacasse bio-interfaces: Combined experimental and theoretical study. Chem. Phys. Lett. 2021, 764, 138278. [Google Scholar] [CrossRef]
- Rezaei, B.; Damiri, S. Electrochemistry and adsorptive stripping voltammetric determination of amoxicillin on a multiwalled carbon nanotubes modified glassy carbon electrode. Electroanalysis 2009, 21, 1577–1586. [Google Scholar] [CrossRef]
- Garrido, J.M.P.J.; Melle-Franco, M.; Strutyński, K.; Borges, F.; Brett, C.M.A.; Garrido, E.M.P.J. β–Cyclodextrin carbon nanotube-enhanced sensor for ciprofloxacin detection. J. Environ. Sci. Health Part A 2017, 52, 313–319. [Google Scholar] [CrossRef]
- Gayen, P.; Chaplin, B.P. Selective electrochemical detection of ciprofloxacin with a porous nafion/multiwalled carbon nanotube composite film electrode. ACS Appl. Mater. Interfaces 2016, 8, 1615–1626. [Google Scholar] [CrossRef]
- Huang, K.J.; Liu, X.; Xie, W.Z.; Yuan, H.X. Electrochemical behavior and voltammetric determination of norfloxacin at glassy carbon electrode modified with multi walled carbon nanotubes/nafion. Colloids Surf. B Biointerfaces 2008, 64, 269–274. [Google Scholar] [CrossRef]
- Shahrokhian, S.; Naderi, L.; Ghalkhani, M. Modified glassy carbon electrodes based on carbon nanostructures for ultrasensitive electrochemical determination of furazolidone. Mater. Sci. Eng. C 2016, 61, 842–850. [Google Scholar] [CrossRef]
- Si, X.; Wei, Y.; Wang, C.; Li, L.; Ding, Y. A sensitive electrochemical sensor for ofloxacin based on a graphene/zinc oxide composite film. Anal. Methods 2018, 10, 1961–1967. [Google Scholar] [CrossRef]
- Raykova, M.R.; Corrigan, D.K.; Holdsworth, M.; Henriquez, F.L.; Ward, A.C. Emerging electrochemical sensors for real-time detection of tetracyclines in milk. Biosensors 2021, 11, 232. [Google Scholar] [CrossRef]
- Yáñez-Sedeño, P.; Pedrero, M.; Campuzano, S.; Pingarrón, J.M. Electrocatalytic (bio)platforms for the determination of tetracyclines. J. Solid State Electrochem. 2021, 25, 3–13. [Google Scholar] [CrossRef]
- Hrioua, A.; Loudiki, A.; Farahi, A.; Bakasse, M.; Lahrich, S.; Saqrane, S.; EL Mhammedi, M.A. Recent advances in electrochemical sensors for amoxicillin detection in biological and environmental samples. Bioelectrochemistry 2021, 137, 107687. [Google Scholar] [CrossRef]
- Sharma, T.S.K.; Hwa, K.Y. Facile synthesis of Ag/AgVO3/N-RGO hybrid nanocomposites for electrochemical detection of levofloxacin for complex biological samples using screen-printed carbon paste electrodes. Inorg. Chem. 2021, 60, 6585–6599. [Google Scholar] [CrossRef]
- Hwa, K.Y.; Sharma, T.S.K. Nano assembly of NiFe spheres anchored on f-MWCNT for electrocatalytic reduction and sensing of nitrofurantoin in biological samples. Sci. Rep. 2020, 10, 12256. [Google Scholar] [CrossRef]
- Aghajari, R.; Azadbakht, A. Amplified detection of streptomycin using aptamer-conjugated palladium nanoparticles decorated on chitosan-carbon nanotube. Anal. Biochem. 2018, 547, 57–65. [Google Scholar] [CrossRef]
- Qin, X.; Yin, Y.; Yu, H.; Guo, W.; Pei, M. A novel signal amplification strategy of an electrochemical aptasensor for kanamycin, based on thionine functionalized graphene and hierarchical nanoporous PtCu. Biosens. Bioelectron. 2016, 77, 752–758. [Google Scholar] [CrossRef]
- Zhou, L.; Li, D.J.; Gai, L.; Wang, J.P.; Li, Y.B. Electrochemical aptasensor for the detection of tetracycline with multi-walled carbon nanotubes amplification. Sens. Actuators B Chem. 2012, 162, 201–208. [Google Scholar] [CrossRef]
- Benvidi, A.; Tezerjani, M.D.; Moshtaghiun, S.M.; Mazloum-Ardakani, M. An aptasensor for tetracycline using a glassy carbon modified with nanosheets of graphene oxide. Microchim. Acta 2016, 183, 1797–1804. [Google Scholar] [CrossRef]
- He, X.; Han, H.; Shi, W.; Dong, J.; Lu, X.; Yang, W.; Lu, X. A label-free electrochemical DNA biosensor for kanamycin detection based on diblock DNA with poly-cytosine as a high affinity anchor on graphene oxide. Anal. Methods 2020, 12, 3462–3469. [Google Scholar] [CrossRef]
- Liu, S.; Wang, Y.; Xu, W.; Leng, X.; Wang, H.; Guo, Y.; Huang, J. A novel sandwich-type electrochemical aptasensor based on GR-3D Au and aptamer-AuNPs-HRP for sensitive detection of oxytetracycline. Biosens. Bioelectron. 2017, 88, 181–187. [Google Scholar] [CrossRef]
- Işık, D.; Şahin, S.; Caglayan, M.O.; Üstündağ, Z. Electrochemical impedimetric detection of kanamycin using molecular imprinting for food safety. Microchem. J. 2021, 160, 105713. [Google Scholar] [CrossRef]
- Shi, X.; Zuo, Y.; Jia, X.; Wu, X.; Jing, N.; Wen, B.; Mi, X. A novel molecularly imprinted sensor based on gold nanoparticles/reduced graphene oxide/single-walled carbon nanotubes nanocomposite for the detection of pefloxacin. Int. J. Electrochem. Sci. 2020, 15, 9683–9697. [Google Scholar] [CrossRef]
- Liu, B.; Ma, Y.; Zhou, F.; Wang, Q.; Liu, G. Voltammetric determination of sulfadiazine based on molecular imprinted electrochemical sensor. Int. J. Electrochem. Sci. 2020, 15, 9590–9596. [Google Scholar] [CrossRef]
- Yang, G.; Zhao, F. Molecularly imprinted polymer grown on multiwalled carbon nanotube surface for the sensitive electrochemical determination of amoxicillin. Electrochim. Acta 2015, 174, 33–40. [Google Scholar] [CrossRef]







| Carbon Nanomaterials | Modification | Processing Method | Morphology | Properties | Ref. |
|---|---|---|---|---|---|
| CNTs | Ag NWs | Van der Waals interaction | Network structure | Facilitate the electron transfer. | [36] |
| MWCNTs | Au NPs | In situ growth | Network structure | Good sensitivity, electron-transfer rate, and surface area. | [37] |
| MWCNTs | Au NPs (10 nm) and cDNA | In situ growth | Tube with dark dots | High biological binding sites and good conductivity. | [38] |
| GO | Au NRs | Drop-casting | Rod-shaped particles, dropped-plate pieces | Good surface conductivity and conductivity. | [39] |
| Gr | Au NP (15 nm) and PDDA | In situ growth and electrochemical polymerization | Wrinkled flakes with bright dots | Good sensitivity and high selectivity. | [40] |
| CNTs | Aptamer, Au NP (68 nm) and MoSe2 | Sonication and potentiostatic electrodeposition | Network structure with nanoflowers and spherical nanoparticles | Excellent selectivity and conductivity. | [41] |
| ErGO | Au NP and Pb NP | Physisorption | Wrinkled, thin film with many small spherical structures | Efficient electrocatalytic activity and good sensitivity. | [42] |
| ErGO | Ta2O5 | Sonication and potentiostatic electrodeposition | Crumpled-like surface structure with small particles | Large electroactive surface area and better adsorption. | [43] |
| Gr | ZnO NRs | Sonication | The nanorods were intercalated between the sheets | High electric conductivity and sensitivity. | [44] |
| MWCNT | FeCr2O4 (30 nm) | In situ growth | Entangled cross-linked fibrils with small particles | Good surface conductivity. | [45] |
| GO | NiO NPs (24 nm) | Electrodeposition | Wrinkled sheets with multiple particles | Good surface conductivity. | [46] |
| MWCNT | CuO | Sonochemical | Tube wrapped in spheres | Good conductivity and catalytic activity. | [47] |
| rGO | NiFe2O4 (16.6 nm) | Hydrothermal method | Film with spherical-shaped particles | Good electron transfer and sensitivity. | [48] |
| rGO | Poly(L-cysteine) and Au NPs | Electrodeposition and in-situ growth | Wrinkled film with dark dots | Large electroactive surface area and good conductivity. | [49] |
| MWCNT | Poly(L-lysine) | Sonication | Tube surrounded by a blurry film | High biological binding sites and good conductivity. | [50] |
| Gr | Poly(L-cysteine) | Electrodeposition | Small granular structure | Good conductivity and better adsorption. | [51] |
| rGO | NH2-UiO-66 (77 nm) | Sonication | Smooth film with a regular, octahedron-like shape | Large specific surface area, high active sites, and high electrical conductivity. | [52] |
| Gr | ZnO | Potentiostatic electrodeposition | Smooth film with a microcluster structure | Good electro-catalytic properties and conductivity. | [53] |
| Atibiotics | Detection Principle | Electrode | Linear Range | LOD | Ref. |
|---|---|---|---|---|---|
| TET | ![]() | Ta2O5/ErGO/GCE | 0.2–10 µM | 0.095 µM | [43] |
| L-Cys/GR/GCE | 8.0–140 µM | 0.12 µM | [51] | ||
| p-Mel@ErGO/GCE | 5–225 µM | 2.2 µM | [61] | ||
| ErGO/SPE | 20–80 µM | 12 µM | [62] | ||
| c-MWCNTs/GO/CPE | 0.02–310 µM | 0.36 µM | [63] | ||
| Amoxicillin | ![]() | Au NPs/en-MWCNTs/SPE | 0.2–10 and 10–30 µM | 0.015 µM | [37] |
| Au NPs/Pd NPs/ErGO/GCE | 0–350 µM | 9 µM | [42] | ||
| FeCr2O4/MWCNTs/GCE | 0.1–10.0 and 10.0–70.0 µM | 0.05 µM | [45] | ||
| Au NPs/Gr/Laccase/GCE | 0.425–292 µM | 425 nM | [64] | ||
| MWCNTs/GCE | 0.6–8.0 and 10.0–80.0 mM | 0.2 µM | [65] | ||
| Ciprofloxacin | ![]() | β-CD/MWCNT/GCE | 10–80 µM | 50 nM | [24] |
| NiO NPs-GO/GCE | 0.04–0.97 µM | 6 nM | [46] | ||
| NH2-UiO-66/RGO/GCE | 0.02–1 µM | 6.67 nM | [52] | ||
| Porous-Nafion-MWCNT/BDD | 0.005–10 µM | 5 nM | [66] | ||
| Levofloxacin | ![]() | Poly (L-Cysteine)/Au NPs/rGO | 0.001–100 nM | 3 pM | [49] |
| GO/IL/CPE | 7–700 nM | 0.28 nM | [53] | ||
| Ag/AgVO3/N-rGO | 0.09–670 μM | 7.92 pM | [67] | ||
| Nitrofurantoin | ![]() | NiFe2O4/rGO/GCE | 0.1–10.0 and 10.0–150.0 μM | 0.05 μM | [48] |
| rGO/GCE | 0.001–2.0 μM and 2.0–10.0 μM | 0.3 nM | [68] | ||
| NiFe/f-MWCNT/SPCE | 0.1–24.8 µM | 0.03 µM | [69] |
| Antibiotics | Aptamer Sequence | Electrode | Linear Range | LOD | Ref. |
|---|---|---|---|---|---|
| TET | 5′-NH2-(CH2)-CGTACGGAATTCGCTAGCCCCCCGGCAGGCCACGGCTTGGGTTGGTCCCACTGCGCGTGGATCCGAGCTCCACGTG-3′ | Apt/MWCNTs/ GCE | 10 nM–50 µM | 5 nM | [78] |
| OTET | 5′-SH-GGAATTCGCTAGCACGTTGACGCTGGTGCCCGGTTGTGGTGCGAGTGTTGTGTGGATCCGAGCTCCACGTG-3′ | cMWCNTs/Au NPs/cDNA/Apt/ TFGE | 1 × 10−13–1 × 10−5 g/mL | 3.1 × 10−14 g/mL | [38] |
| 5′-NH2-CGTACGGAATTCGCTAGCCCCCCGGCAGGCCACGGCTTGGGTTGGTCCCACTGCGCGTGGATCCGAGCTCCACGTG-3′ | Apt/GO/GCE | 0.1 pM–10 µM | 29 fM | [79] | |
| 5′-SH-CGACGCACAGTCGCTGGTGCGTACCTGGTTGCCGTTGTGT-3′ | Apt/Au NPs/ HRP&Au NPs/ Gr/GCE | 5 × 10−10–2×10−3 g/L | 4.98 × 10−10 g/L | [81] | |
| Kanamycin | 5′-NH2-(CH2)6-TGGGGGTTGAGGCTAAGCCGAC-3′ | Apt/Au NP/ CNT/MoSe2/GCE | 1 pM–0.1 nM and 100 nM–10 µM | 0.28 pM | [41] |
| Streptomycin | 5′-NH2-(CH2)6-TAGGGAATTCGTCGACGGATCCGGGGTCTGGTGTTCTGCTTTGTTCTGTCGGGTCGTCTGCAGGTCGACGCATGCGCCG-3′ | Apt/CNT/Chi/Pd NPs/GCE | 0.1–1500 nM | 18 pM | [76] |
| 5′-NH2 -AGATGGGGGTTGAGGCTAAGCCGA-3′ | Apt/HNP-PtCu/Gr-Thionine/GCE | 5 × 10−7–5 × 10−2 μg/mL | 0.42 pg/mL | [77] | |
| Chloramphenicol | 5′-NH2 -ACTTCAGAGAGTTGTCCCACGGTCGGCGAGTCGGTGGTAG-3′ | Apt/Ag NPs/ [NH2-Si]-f-GO/GCE | 10 pM–0.2 µM | 3.3 pM | [56] |
Publisher’s Note: MDPI stays neutral with regard to jurisdictional claims in published maps and institutional affiliations. |
© 2022 by the authors. Licensee MDPI, Basel, Switzerland. This article is an open access article distributed under the terms and conditions of the Creative Commons Attribution (CC BY) license (https://creativecommons.org/licenses/by/4.0/).
Share and Cite
Aihaiti, A.; Li, Z.; Qin, Y.; Meng, F.; Li, X.; Huangfu, Z.; Chen, K.; Zhang, M. Construction of Electrochemical Sensors for Antibiotic Detection Based on Carbon Nanocomposites. Nanomaterials 2022, 12, 2789. https://doi.org/10.3390/nano12162789
Aihaiti A, Li Z, Qin Y, Meng F, Li X, Huangfu Z, Chen K, Zhang M. Construction of Electrochemical Sensors for Antibiotic Detection Based on Carbon Nanocomposites. Nanomaterials. 2022; 12(16):2789. https://doi.org/10.3390/nano12162789
Chicago/Turabian StyleAihaiti, Aihemaitijiang, Zongda Li, Yanan Qin, Fanxing Meng, Xinbo Li, Zekun Huangfu, Keping Chen, and Minwei Zhang. 2022. "Construction of Electrochemical Sensors for Antibiotic Detection Based on Carbon Nanocomposites" Nanomaterials 12, no. 16: 2789. https://doi.org/10.3390/nano12162789
APA StyleAihaiti, A., Li, Z., Qin, Y., Meng, F., Li, X., Huangfu, Z., Chen, K., & Zhang, M. (2022). Construction of Electrochemical Sensors for Antibiotic Detection Based on Carbon Nanocomposites. Nanomaterials, 12(16), 2789. https://doi.org/10.3390/nano12162789






