Impact of Partial Slip on Double Diffusion Convection of Sisko Nanofluids in Asymmetric Channel with Peristaltic Propulsion and Inclined Magnetic Field
Abstract
1. Introduction
2. Mathematical Formulation
Special Case
3. Numerical Solution and Graphical Outcomes
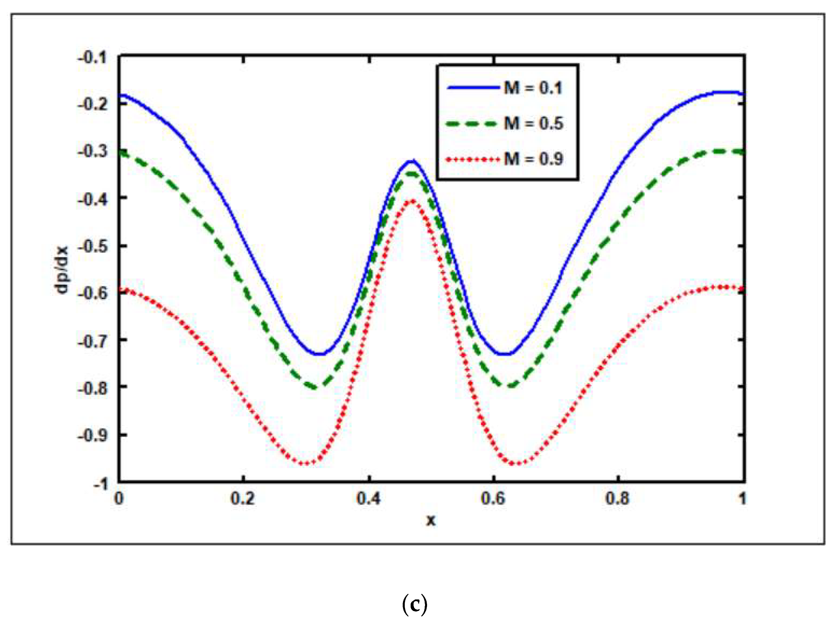
3.1. Effects of Hartmann Number ()
3.2. Effects of Slip Parameters ( )
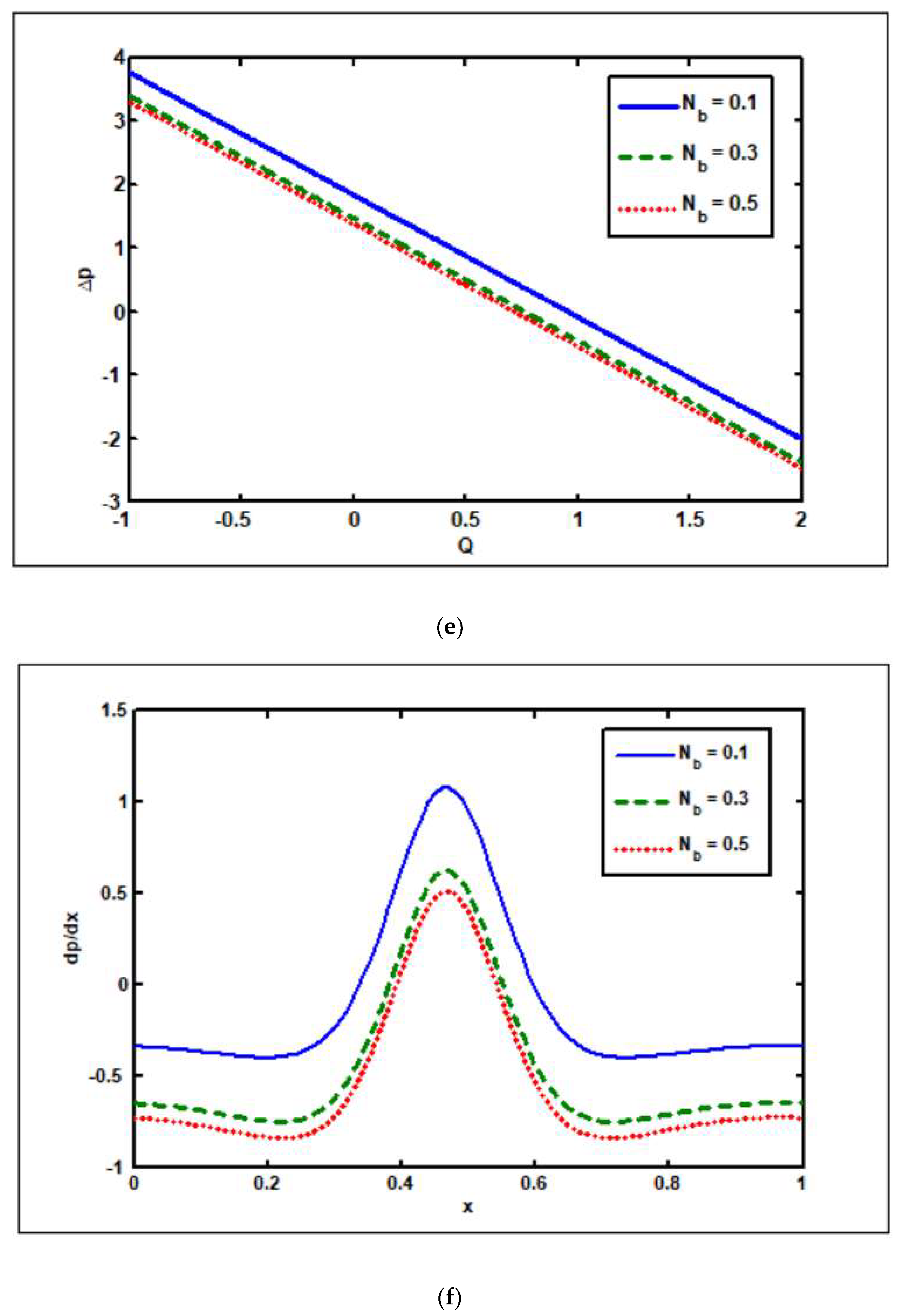
3.3. Effects of Brownian Motion ()
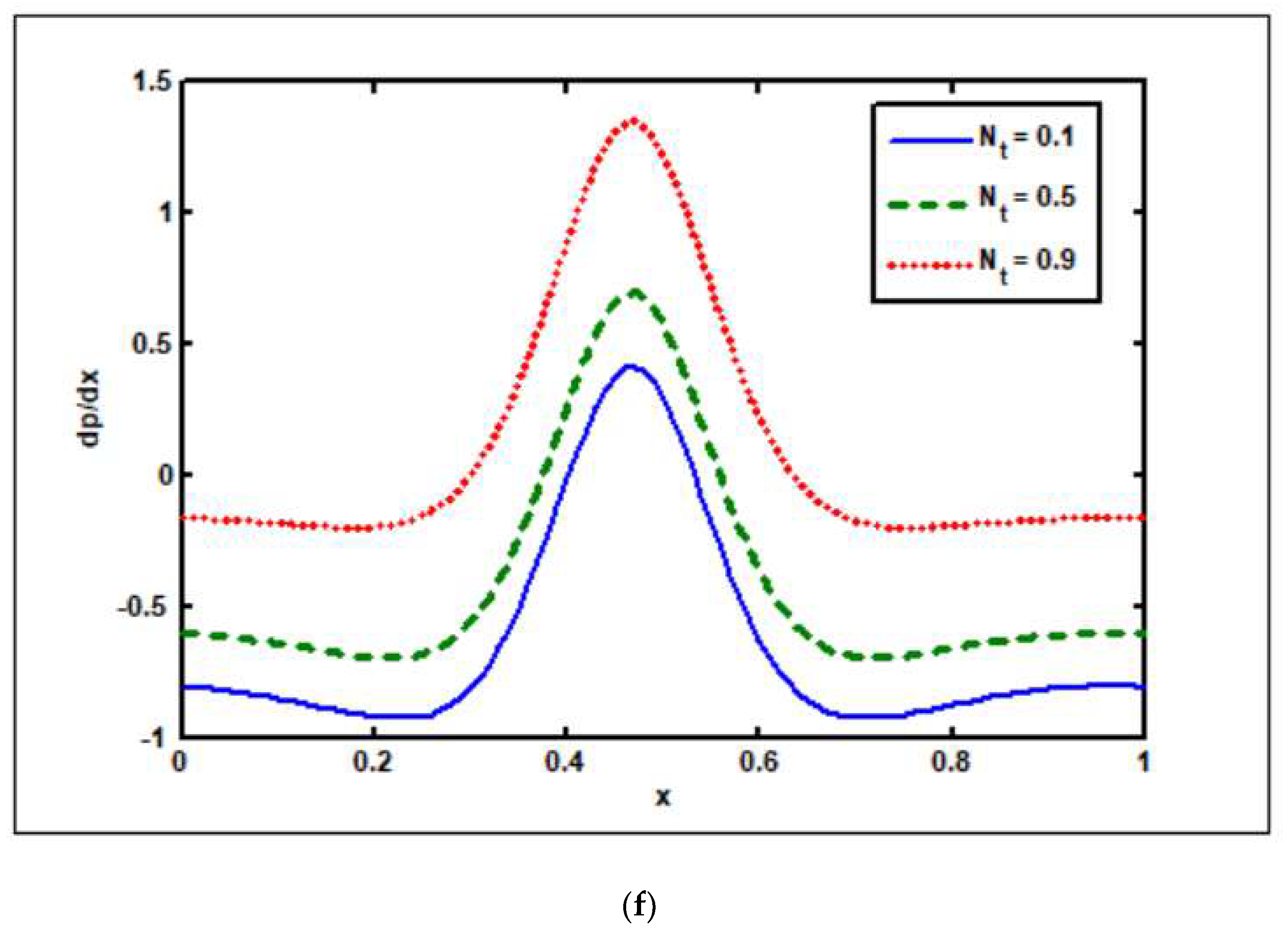
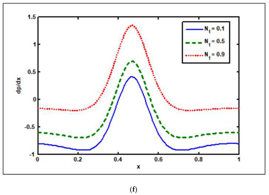
3.4. Effects of Thermophoresis Parameter ()
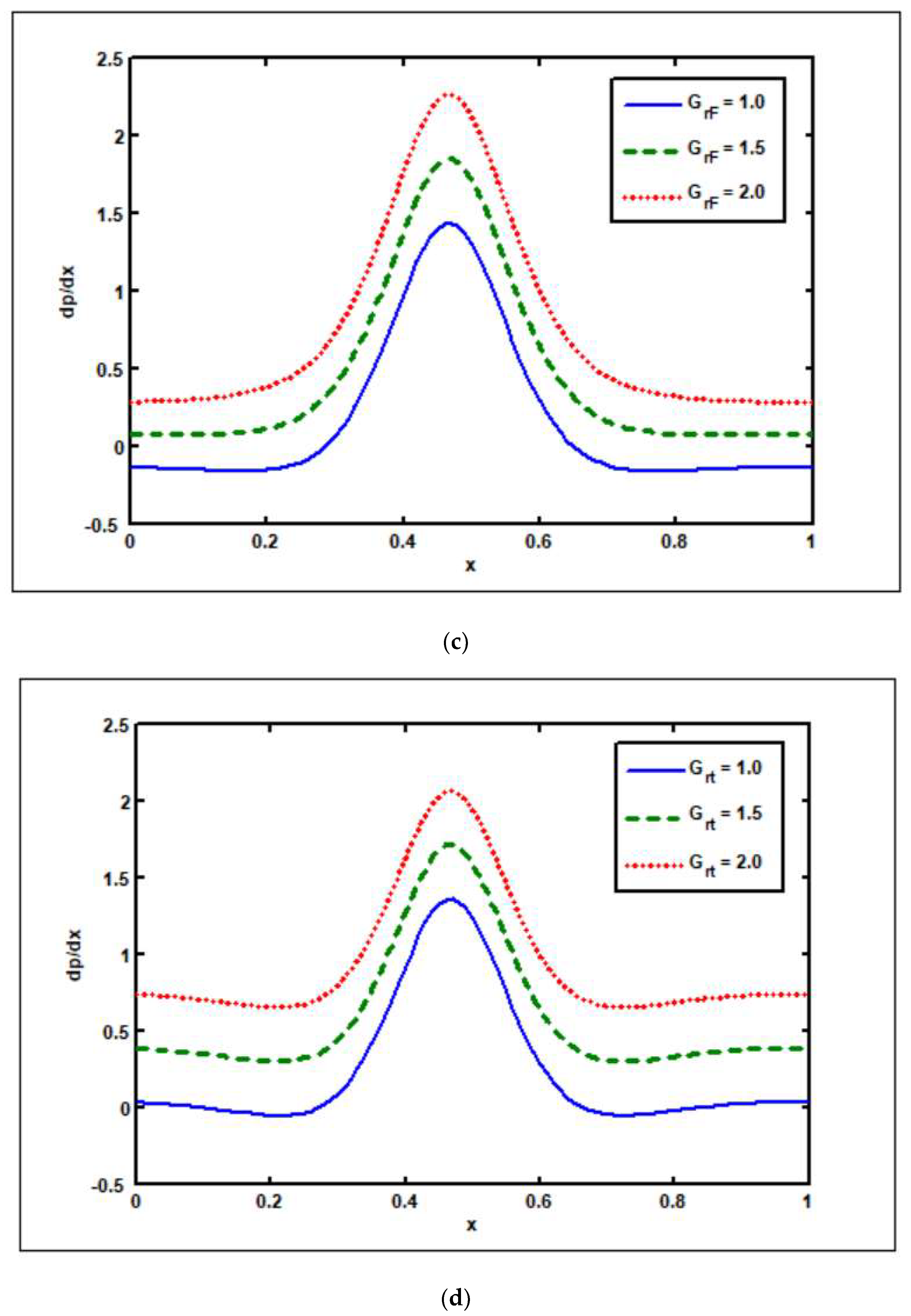
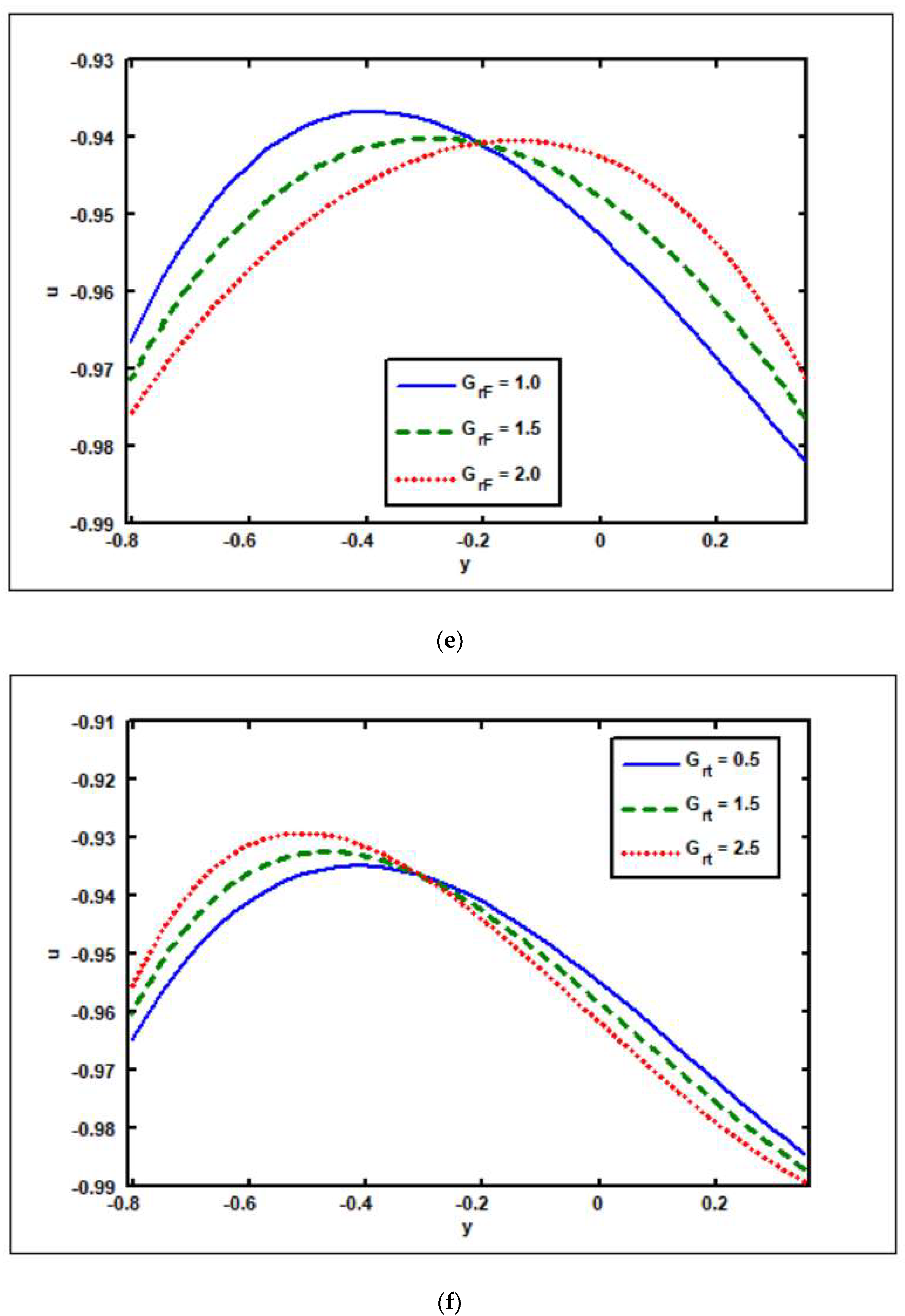
3.5. Effects of Nanoparticle Grashof () and Thermal Grashof ()
3.6. Trapping Effects
4. Concluding Remarks
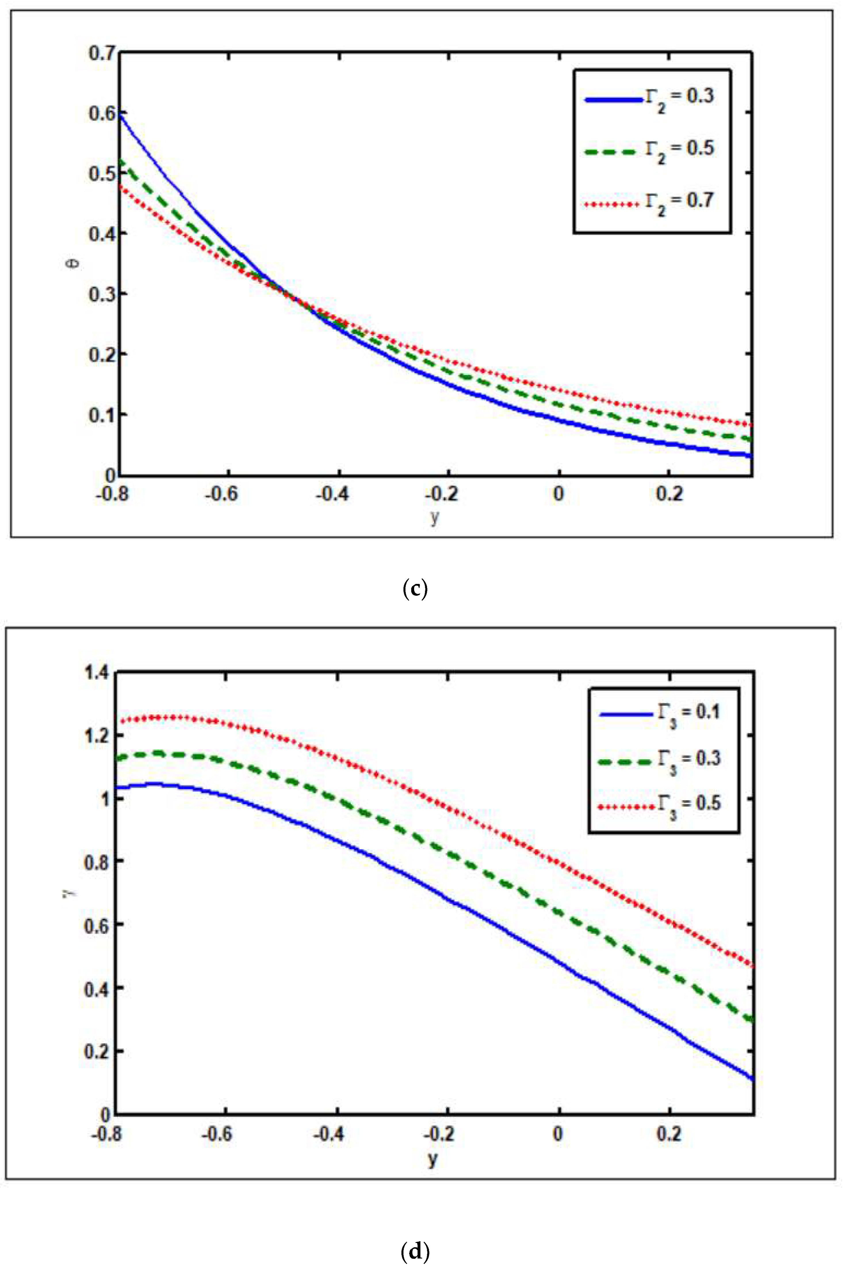
- The temperature and nanoparticle profiles drop as the Brownian motion is increased, while the concentration profile rises.
- The velocity magnitude at the channel’s center grows as the slip factor of velocity () increases, but the opposite behavior occurs at the channel walls.
- As the slip parameters of concentration and nanoparticles are enhanced, the solvent concentration and nanoparticle fraction increase.
- The temperature drops as the thermophoresis parameter rises.
- The amount of bolus in the upper channel decreases as the Dufour parameter is increased; however, the volume of the trapped bolus grows in the bottom half.
- The trapped bolus grows in terms of size and number in the bottom half of the channel as the slip parameter of temperature increases, while the size of the trapped bolus decreases in the top half.
Author Contributions
Funding
Data Availability Statement
Acknowledgments
Conflicts of Interest
Nomenclature
| Temperature | |
| Pr | Prandtl number |
| Solutal concentration | |
| Hartmann number | |
| Nanoparticle volume fraction | |
| Brownian motion parameter | |
| Re | Reynolds number |
| Thermal Grashof number | |
| Nanoparticle Grashof number | |
| Lewis number | |
| Thermophoresis parameter | |
| Nanofluid Lewis number | |
| Heat capacity of fluid | |
| Heat capacity of nanoparticle | |
| Soret parameter | |
| Dufour diffusively | |
| Brownian diffusion coefficient | |
| Thermophoretic diffusion coefficient | |
| Solutal diffusively | |
| Dufour parameter | |
| Solutal Grashof number | |
| Soret diffusively | |
| Small alphabets | |
| Axial velocity | |
| Transverse velocity | |
| Thermal conductivity | |
| Time | |
| Channel width | |
| Pressure | |
| Acceleration due to gravity | |
| Wave amplitude | |
| Wave amplitudes | |
| Propagation of velocity | |
| Greek symbols | |
| Fluid density | |
| Fluid density at | |
| Nanoparticle mass density | |
| Nanoparticle heat capacity | |
| Volumetric coefficient of thermal expansion | |
| Volumetric coefficient of solutal expansion | |
| Wave number | |
| Temperature | |
| Velocity slip parameter | |
| Temperature slip parameter | |
| Concentration slip parameter | |
| Nanoparticles slip parameter | |
| Wavelength | |
| Stream function | |
| Solutal concentration | |
| Magnetic field inclination angle | |
References
- Sisko, W. The flow of lubricating greases. Ind. Eng. Chem. 1958, 50, 1789–1792. [Google Scholar] [CrossRef]
- Latham, T.W. Fluid Motion in a Peristaltic Pump. Master’s Thesis, MIT, Cambridge, MA, USA, 1966. [Google Scholar]
- Mishra, M.; Rao, A.R. Peristaltic transport of a Newtonian fluid in an asymmetric channel. Z. Angew. Math. Phys. ZAMP 2003, 54, 532–550. [Google Scholar] [CrossRef]
- Shapiro, H.; Jaffrin, M.Y.; Weinberg, S.L. Peristaltic Pumping with Long Wavelengths at Low Reynolds Number; Cambridge University Press: Cambridge, UK, 1969; Volume 37, pp. 799–825. [Google Scholar]
- Raju, K.K.; Devanathan, R. Peristaltic motion of a non-Newtonian fluid. Rheol. Acta 1972, 11, 170–178. [Google Scholar] [CrossRef]
- Raju, K.K.; Devanathan, R. Peristaltic motion of a non-Newtonian fluid, Part-II: Visco-elastic. Rheol. Acta 1974, 13, 944–948. [Google Scholar] [CrossRef]
- Srivastava, L.M.; Srivastava, V.P. Peristaltic transport of a non-Newtonian fluid: Applications to the vas deferens and small intestine. Ann. Biomed. Eng. 1985, 13, 137–153. [Google Scholar] [CrossRef]
- Ijaz, N.; Riaz, A.; Zeeshan, A.; Ellahi, R.; Sait, S.M. Buoyancy driven flow with gas-liquid coatings of peristaltic bubbly flow in elastic walls. Coatings 2020, 10, 115. [Google Scholar] [CrossRef]
- El-Dabe, N.T.M.; Ghaly, A.Y.; Sallam, S.N.; Elagamy, K.; Younis, Y.M. Peristaltic pumping of a conducting Sisko fluid through porous medium with heat and mass transfer. Am. J. Comput. Math. 2015, 5, 304–316. [Google Scholar] [CrossRef][Green Version]
- Maiti, S.; Misra, J.C. Non-Newtonian characteristics of peristaltic flow of blood in micro-vessels. Commun. Nonlinear Sci. Numer. Simul. 2013, 18, 1970–1988. [Google Scholar] [CrossRef]
- Haroun, M.H. Non-linear peristaltic transport flow of a fourth-grade fluid in an inclined asymmetric channel. Comput. Mater. Sci. 2007, 39, 324–333. [Google Scholar] [CrossRef]
- Srivastava, L.M.; Srivastava, V.P. Peristaltic transport of a power-law fluid: Application to the ductus efferentes of the reproductive tract. Rheol. Acta 1988, 27, 428–433. [Google Scholar] [CrossRef]
- Vishnyakov, V.I.; Pavlov, K.B. Peristaltic flow of a conductive liquid in a transverse magnetic field. Magnetohydrodynamics 1972, 8, 174–178. [Google Scholar]
- Ellahi, R.; Bhatti, M.M.; Riaz, A.; Sheikholeslami, M. Effects of magnetohydrodynamics on peristaltic flow of Jeffery fluid in a rectangular duct through a porous medium. J. Porous Media 2014, 17, 143–157. [Google Scholar] [CrossRef]
- Mekheimer, K.S. Effect of the induced magnetic field on peristaltic flow of a couple stress fluid. Phys. Lett. A 2008, 372, 4271–4278. [Google Scholar] [CrossRef]
- Bhatti, M.M.; Zeeshan, A.; Ellahi, R.; Bég, O.A.; Kadir, A. Effects of coagulation on the two-phase peristaltic pumping of magnetized Prandtl biofluid through an endoscopic annular geometry containing a porous medium. Chin. J. Phys. 2019, 58, 222–234. [Google Scholar] [CrossRef]
- Haider, S.; Ijaz, N.; Zeeshan, A.; Li, Y. Magneto-hydrodynamics of a solid-liquid two-phase fluid in rotating channel due to peristaltic wavy movement. Int. J. Numer. Methods Heat Fluid Flow 2019, 30, 2501–2516. [Google Scholar] [CrossRef]
- Bhatti, M.M.; Zeeshan, A.; Tripathi, D.; Ellahi, R. Thermally Developed Peristaltic Propulsion of Magnetic Solid Particles in Biorheological Fluids. Indian J. Phys. 2018, 92, 423–430. [Google Scholar] [CrossRef]
- Nadeem, S.; Akram, S. Peristaltic flow of a couple stress fluid under the effect of induced magnetic field in an asymmetric channel. Arch. Appl. Mech. 2011, 87, 97–109. [Google Scholar] [CrossRef]
- Kothandapani, M.; Pushparaj, V.; Prakash, J. Effect of magnetic field on peristaltic flow of a fourth grade fluid in a tapered asymmetric channel. J. King Saud Univ.-Eng. Sci. 2018, 30, 86–95. [Google Scholar] [CrossRef]
- Navier, L.M. Memoire sur les lois du mouvement des fluids. Mémoires L’académie R. Sci. L’institut Fr. 1816, 6, 389–440. [Google Scholar]
- Nadeem, S.; Akbar, N.S.; Hayat, T.; Obaidat, S. Peristaltic flow of a Williamson fluid in an inclined asymmetric channel with partial slip and heat transfer. Int. J. Heat Mass Transf. A 2012, 55, 1855–1862. [Google Scholar]
- Ellahi, R.; Hussain, F.; Ishtiaq, F.; Hussain, A. Peristaltic transport of Jeffrey fluid in a rectangular duct through a porous medium under the effect of partial slip: An application to upgrade industrial sieves/filters. Pramana 2019, 93, 34. [Google Scholar] [CrossRef]
- Bhatti, M.M.; Abbas, M.A.; Rashidi, M.M. Combine effects of magnetohydrodynamics (MHD) and partial slip on peristaltic blood flow of Ree-Eyring fluid with wall properties. Eng. Sci. Technol. Int. J. 2016, 19, 1497–1502. [Google Scholar] [CrossRef]
- Mandviwalla, X.; Archer, R. The influence of slip boundary conditions on peristaltic pumping in a rectangular channel. J. Fluids Eng. 2008, 130, 124501. [Google Scholar] [CrossRef]
- Akram, S.; Mekheimer, K.S.; Elmaboud, Y.A. Particulate suspension slip flow induced by peristaltic waves in a rectangular duct: Effect of lateral walls. Alex. Eng. J. 2018, 57, 407–414. [Google Scholar] [CrossRef]
- Ramesh, K. Effects of slip and convective conditions on the peristaltic flow of couple stress fluid in an asymmetric channel through porous medium. Comput. Methods Programs Biomed. 2016, 135, 1–14. [Google Scholar] [CrossRef]
- El-Shehawy, E.F.; El-Dabe, N.T.; El-Desoki, I.M. Slip effects on the peristaltic flow of a non Newtonian Maxwellian Fluid. Acta Mech. 2006, 186, 141–159. [Google Scholar] [CrossRef]
- Choi, S.U.S. Enhancing thermal conductivity of fluids with nanoparticles. In Proceedings of the ASME International Mechanical Engineering Congress and Exposition, San Francisco, CA, USA, 12–17 November 1995; pp. 99–105. [Google Scholar]
- Hsiao, K.L. Stagnation Electrical MHD Nanofluid Mixed Convection with Slip Boundary on a Stretching Sheet. Appl. Therm. Eng. 2016, 98, 850–861. [Google Scholar] [CrossRef]
- Hsiao, K.L. Micropolar Nanofluid Flow with MHD and Viscous Dissipation Effects Towards a Stretching Sheet with Multimedia Feature. Int. J. Heat Mass Transf. 2017, 112, 983–990. [Google Scholar] [CrossRef]
- Hsiao, K.L. To Promote Radiation Electrical MHD Activation Energy Thermal Extrusion Manufacturing System Efficiency by Using Carreau-Nanofluid with Parameters Control Method. Energy 2017, 130, 486–499. [Google Scholar] [CrossRef]
- Prakash, J.; Tripathi, D.; Triwari, A.K.; Sait, S.M.; Ellahi, R. Peristaltic pumping of nanofluids through tapered channel in porous environment: Applications in blood flow. Symmetry 2019, 11, 868. [Google Scholar] [CrossRef]
- Azam, M. Bioconvection and nonlinear thermal extrusion in development of chemically reactive sutterby nano-material due to gyrotactic microorganisms. Int. Commun. Heat Mass Transf. 2022, 130, 105820. [Google Scholar] [CrossRef]
- Azam, M. Effects of Cattaneo-Christov heat flux and nonlinear thermal radiation on MHD Maxwell nanofluid with Arrhenius activation energy. Case Stud. Therm. Eng. 2022, 34, 102048. [Google Scholar] [CrossRef]
- Hayat, T.; Nisar, Z.; Yasmin, H.; Alsaedi., A. Peristaltic transport of nanofluid in a compliant wall channel with convective conditions and thermal radiation. J. Mol. Liq. 2016, 220, 448–453. [Google Scholar] [CrossRef]
- Hsiao, K.L. Combined Electrical MHD Heat Transfer Thermal Extrusion System Using Maxwell Fluid with Radiative and Viscous Dissipation Effects. Appl. Therm. Eng. 2017, 112, 1281–1288. [Google Scholar] [CrossRef]
- Ellahi, R.; Raza, M.; Akbar, N.S. Study of peristaltic flow of nanofluid with entropy generation in a porous medium. J. Porous Media 2017, 20, 461–478. [Google Scholar] [CrossRef]
- Azam, M.; Mabood, F.; Khan, M. Bioconvection and activation energy dynamisms on radiative sutterby melting nanomaterial with gyrotactic microorganism. Case Stud. Therm. Eng. 2022, 30, 101749. [Google Scholar] [CrossRef]
- Shaw, S.; Ramesh, K.; Azam, M.; Nayak, M.K. Bodewadt flow of non-Newtonian fluid with single walled TiO2 nanotubes suspensions. Heat Transf. 2022. [Google Scholar] [CrossRef]
- Azam, M.; Abbas, N.; Kumar, K.G.; Wali, S. Transient bioconvection and activation energy impacts on Casson nanofluid with gyrotactic microorganisms and nonlinear radiation. Waves Random Complex Media 2022, 1–20. [Google Scholar] [CrossRef]
- Azam, M.; Abbas, N. Recent progress in Arrhenius activation energy for radiative heat transport of cross nanofluid over a melting wedge. Propuls. Power Res. 2021, 10, 383–395. [Google Scholar] [CrossRef]
- Rekha, M.B.; Sarris, I.E.; Madhukesh, J.K.; Raghunatha, K.R.; Prasannakumara, B.C. Activation energy impact on flow of AA7072-AA7075/Water-Based hybrid nanofluid through a cone, wedge and plate. Micromachines 2022, 13, 302. [Google Scholar] [CrossRef]
- Shankaralingappa, B.M.; Madhukesh, J.K.; Sarris, I.E.; Gireesha, B.J.; Prasannakumara, B.C. Influence of thermophoretic particle deposition on the 3D flow of sodium alginate-based Casson nanofluid over a stretching sheet. Micromachines 2021, 12, 1474. [Google Scholar] [CrossRef] [PubMed]
- Shankaralingappa, B.M.; Prasannakumara, B.C.; Gireesha, B.J.; Sarris, I.E. The impact of Cattaneo–Christov double diffusion on Oldroyd-B Fluid flow over a stretching sheet with thermophoretic particle deposition and relaxation chemical reaction. Inventions 2021, 6, 95. [Google Scholar] [CrossRef]
- Sarada, K.; Gowda, R.; Sarris, I.; Kumar, R.; Prasannakumara, B. Effect of magnetohydrodynamics on heat transfer behaviour of a non-Newtonian fluid flow over a stretching sheet under local thermal non-equilibrium condition. Fluids 2021, 6, 264. [Google Scholar] [CrossRef]
- Ostrach, S. Natural convection with combined driving forces. Physicochem. Hydrodyn. 1980, 1, 233–247. [Google Scholar]
- Viscanta, R.; Bergman, T.L.; Incropera, F.P. Double-Diffusive Natural Convection; Kakaç, S., Aung, W., Viskanta, R., Eds.; Natural Convection Fundamentals and Applications: Washington, DC, USA, 1985; pp. 1075–1099. [Google Scholar]
- Alolaiyan, H.; Riaz, A.; Razaq, A.; Saleem, N.; Zeeshan, A.; Bhatti, M.M. Effects of double diffusion convection on Third grade nanofluid through a curved compliant peristaltic channel. Coatings 2020, 10, 154. [Google Scholar] [CrossRef]
- Akram, S.; Afzal, Q. Effects of thermal and concentration convection and induced magnetic field on peristaltic flow of Williamson nanofluid in inclined uniform channel. Eur. Phys. J. Plus 2020, 135, 857. [Google Scholar] [CrossRef]
- Bég, O.A.; Tripathi, D. Mathematica simulation of peristaltic pumping with double-diffusive convection in nanofluids a bio-nanoengineering model. Proc. Inst. Mech. Eng. Part N. J. Nanoeng. Nanosyst. 2012, 225, 99–114. [Google Scholar]
- Akram, S.; Zafar, M.; Nadeem, S. Peristaltic transport of a Jeffrey fluid with double-diffusive convection in nanofluids in the presence of inclined magnetic field. Int. J. Geom. Methods Mod. Phys. 2018, 15, 1850181. [Google Scholar] [CrossRef]
- Asha, S.K.; Sunitha, G. Thermal radiation, and hall effects on peristaltic blood flow with double diffusion in the presence of nanoparticles. Case Stud. Therm. Eng. 2020, 17, 100560. [Google Scholar] [CrossRef]
- Akram, S.; Razia, A.; Afzal, F. Effects of velocity second slip model and induced magnetic field on peristaltic transport of non-Newtonian fluid in the presence of double-diffusivity convection in nanofluids. Arch. Appl. Mech. 2020, 90, 1583–1603. [Google Scholar] [CrossRef]






















Publisher’s Note: MDPI stays neutral with regard to jurisdictional claims in published maps and institutional affiliations. |
© 2022 by the authors. Licensee MDPI, Basel, Switzerland. This article is an open access article distributed under the terms and conditions of the Creative Commons Attribution (CC BY) license (https://creativecommons.org/licenses/by/4.0/).
Share and Cite
Akram, S.; Athar, M.; Saeed, K.; Razia, A.; Alghamdi, M.; Muhammad, T. Impact of Partial Slip on Double Diffusion Convection of Sisko Nanofluids in Asymmetric Channel with Peristaltic Propulsion and Inclined Magnetic Field. Nanomaterials 2022, 12, 2736. https://doi.org/10.3390/nano12162736
Akram S, Athar M, Saeed K, Razia A, Alghamdi M, Muhammad T. Impact of Partial Slip on Double Diffusion Convection of Sisko Nanofluids in Asymmetric Channel with Peristaltic Propulsion and Inclined Magnetic Field. Nanomaterials. 2022; 12(16):2736. https://doi.org/10.3390/nano12162736
Chicago/Turabian StyleAkram, Safia, Maria Athar, Khalid Saeed, Alia Razia, Metib Alghamdi, and Taseer Muhammad. 2022. "Impact of Partial Slip on Double Diffusion Convection of Sisko Nanofluids in Asymmetric Channel with Peristaltic Propulsion and Inclined Magnetic Field" Nanomaterials 12, no. 16: 2736. https://doi.org/10.3390/nano12162736
APA StyleAkram, S., Athar, M., Saeed, K., Razia, A., Alghamdi, M., & Muhammad, T. (2022). Impact of Partial Slip on Double Diffusion Convection of Sisko Nanofluids in Asymmetric Channel with Peristaltic Propulsion and Inclined Magnetic Field. Nanomaterials, 12(16), 2736. https://doi.org/10.3390/nano12162736

