Microwave Plasma-Enhanced Parylene–Metal Multilayer Design from Metal Salts
Abstract
:1. Introduction
2. Materials and Methods
2.1. Sample Preparation
2.2. Surface Analysis and Evaluation
3. Results and Discussion
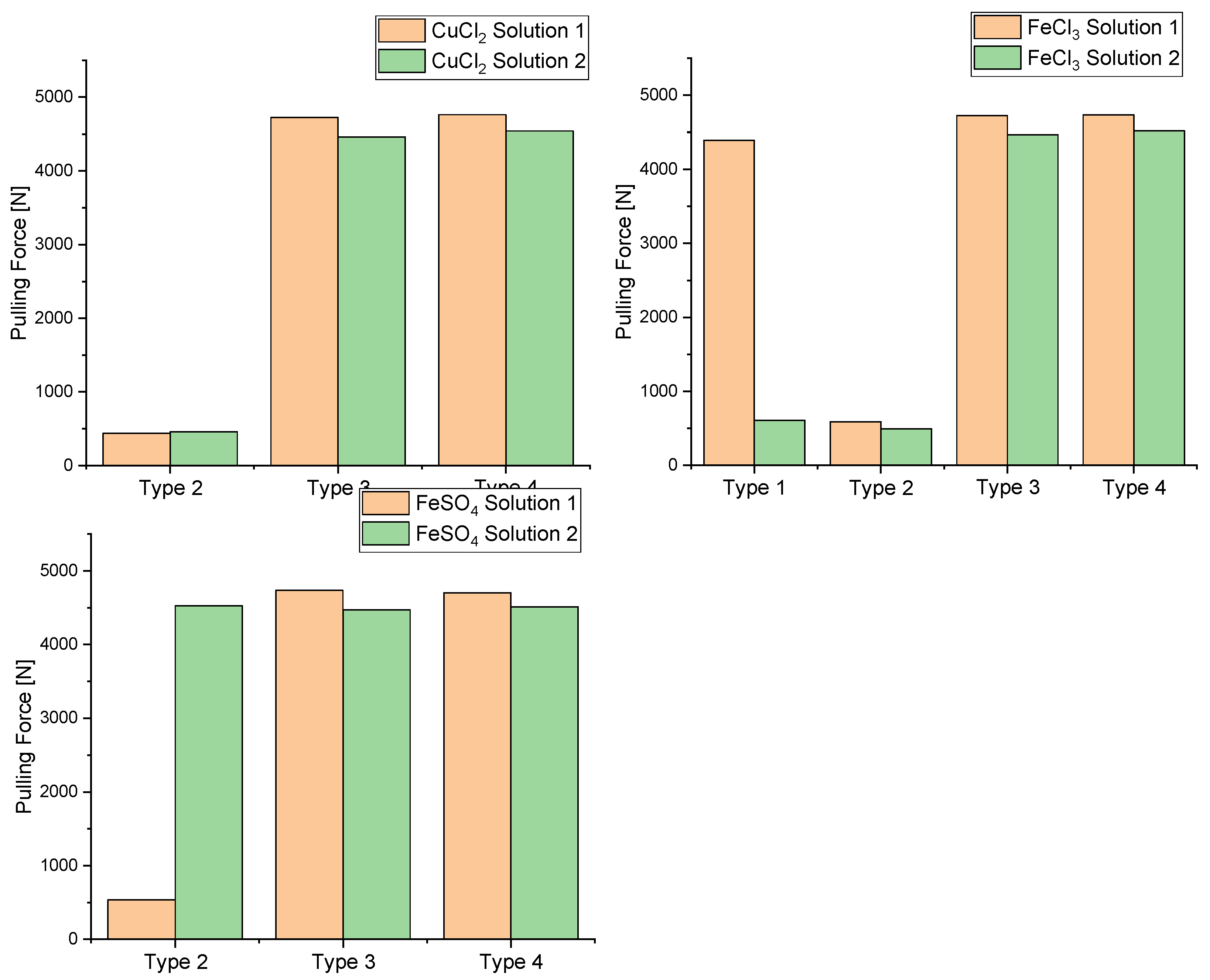
3.1. Metallic Layer Modification
3.2. Multilayer System Characterisation
4. Conclusions
Author Contributions
Funding
Institutional Review Board Statement
Informed Consent Statement
Data Availability Statement
Acknowledgments
Conflicts of Interest
References
- Miesbauer, O.; Kucukpinar, E.; Kiese, S.; Carmi, Y.; Noller, K.; Langowski, H.-C. Studies on the barrier performance and adhesion strength of novel barrier films for vacuum insulation panels. Energy Build. 2014, 85, 597–603. [Google Scholar] [CrossRef]
- Mühlfeld, L.; Langguth, P.; Häusler, H.; Hagels, H. Influences of heat seal lacquer thickness on the quality of blister packages. Eur. J. Pharm. Sci. 2012, 45, 150–157. [Google Scholar] [CrossRef] [PubMed]
- Wei, L.; Parhi, P.; Vogler, E.A.; Ritty, T.M.; Lakhtakia, A. Thickness-controlled hydrophobicity of fibrous Parylene-C films. Mater. Lett. 2010, 64, 1063–1065. [Google Scholar] [CrossRef]
- Cieślik, M.; Kot, M.; Reczyński, W.; Engvall, K.; Rakowski, W.; Kotarba, A. Parylene coatings on stainless steel 316L surface for medical applications—Mechanical and protective properties. Mater. Sci. Eng. C Mater. Biol. Appl. 2012, 32, 31–35. [Google Scholar] [CrossRef]
- Jackson, N.; Stam, F.; O’Brien, J.; Kailas, L.; Mathewson, A.; O’Murchu, C. Crystallinity and mechanical effects from annealing Parylene thin films. Thin Solid Films 2016, 603, 371–376. [Google Scholar] [CrossRef]
- Cieślik, M.; Zimowski, S.; Gołda, M.; Engvall, K.; Pan, J.; Rakowski, W.; Kotarba, A. Engineering of bone fixation metal implants biointerface—Application of parylene C as versatile protective coating. Mater. Sci. Eng. C 2012, 32, 2431–2435. [Google Scholar] [CrossRef]
- Khawaji, I.H.; Awadelkarim, O.O.; Lakhtakia, A. Studies of Parylene C Microfibrous Thin Films Electrical Properties. ECS Trans. 2016, 75, 235–243. [Google Scholar] [CrossRef]
- Dolbier, W.R.; Beach, W.F. Parylene-AF4: A polymer with exceptional dielectric and thermal properties. J. Fluor. Chem. 2003, 122, 97–104. [Google Scholar] [CrossRef]
- Hsu, J.-M.; Kammer, S.; Jung, E.; Rieth, L.; Normann, A.R.; Solzbacher, F. Characterisation of Parylene-C film as an encapsulation material for neural interface devices. In Proceedings of the Conference on Multi-Material Micro Manufacture, Borovets, Bulgaria, 3–5 October 2007. [Google Scholar]
- Hsu, J.-M.; Rieth, L.; Normann, R.A.; Tathireddy, P.; Solzbacher, F. Encapsulation of an integrated neural interface device with Parylene C. IEEE Trans. Bio-Med. Eng. 2009, 56, 23–29. [Google Scholar] [CrossRef]
- Hassler, C.; von Metzen, R.P.; Ruther, P.; Stieglitz, T. Characterization of parylene C as an encapsulation material for implanted neural prostheses. J. Biomed. Mater. Res. Part B Appl. Biomater. 2010, 93, 266–274. [Google Scholar] [CrossRef]
- Rizzi, F.; Qualtieri, A.; Chambers, L.D.; Megill, W.M.; de Vittorio, M. Parylene conformal coating encapsulation as a method for advanced tuning of mechanical properties of an artificial hair cell. Soft Matter 2013, 9, 2584–2588. [Google Scholar] [CrossRef]
- Chen, L.; Xu, H.; Li, T.; Zhang, M.; Han, X.; Jin, Y.; Wang, W. Adhesion enhancement strategy for Parylene C substrate by nanograss technique. J. Micromech. Microeng. 2022, 32, 44005. [Google Scholar] [CrossRef]
- von Metzen, R.P.; Stieglitz, T. The effects of annealing on mechanical, chemical, and physical properties and structural stability of Parylene C. Biomed. Microdevices 2013, 15, 727–735. [Google Scholar] [CrossRef] [PubMed]
- Hogg, A.; Uhl, S.; Feuvrier, F.; Girardet, Y.; Graf, B.; Aellen, T.; Keppner, H.; Tardy, Y.; Burger, J. Protective multilayer packaging for long-term implantable medical devices. Surf. Coat. Technol. 2014, 255, 124–129. [Google Scholar] [CrossRef] [Green Version]
- Kuo, H.-I.; Zhang, R.; Ko, W.H. Development of Micropackage Technology for Biomedical Implantable Microdevices using Parylene C as Water Vapor Barrier Coatings. In Proceedings of the IEEE Sensors 2010 Conference, Waikoloa, HI, USA, 1–4 November 2010; pp. 438–441. [Google Scholar]
- Kwon, K.Y.; Sirowatka, B.; Weber, A.; Li, W. Opto- μECoG array: A hybrid neural interface with transparent μECoG electrode array and integrated LEDs for optogenetics. IEEE Trans. Biomed. Circuits Syst. 2013, 7, 593–600. [Google Scholar] [CrossRef]
- Sun, X.; Zheng, Y.; Peng, X.; Li, X.; Zhang, H. Parylene-based 3D high performance folded multilayer inductors for wireless power transmission in implanted applications. Sens. Actuators A Phys. 2014, 208, 141–151. [Google Scholar] [CrossRef]
- Yang, X.; Fei, C.; Di, L.; Sun, X.; Hou, S.; Chen, J.; Yang, Y. Multi-layer polymer-metal structures for acoustic impedance matching in high-frequency broadband ultrasonic transducers design. Appl. Acoust. 2020, 160, 107123. [Google Scholar] [CrossRef]
- Maeng, J.; Kim, B.G.; Ha, D.; Chappell, W.J. Thin-Film Multilayer Parylene Interposer for High-Density 3D Packaging with Embedded Capacitors. In Proceedings of the Microwave Week 2011, Baltimore, MD, USA, 5–10 June 2011; p. 12180858. [Google Scholar]
- Takei, A.; Tsukamoto, S.; Komazaki, Y.; Kusaka, Y.; Kuribara, K.; Yoshida, M. Stretchable and durable Parylene/PEDOT:PSS/Parylene multi-layer induced by plastic deformation for stretchable device using functionalized PDMS. AIP Adv. 2020, 10, 25205. [Google Scholar] [CrossRef] [Green Version]
- Li, W.; Rodger, D.C.; Meng, E.; Weiland, J.D.; Humayun, M.S.; Tai, Y.-C. Flexible Parylene Packaged Intraocular Coil for Retinal Prostheses. In Proceedings of the 2006 International Conference on Microtechnologies in Medicne and Biology, Okinawa, Japan, 9–12 May 2006; pp. 105–108. [Google Scholar]
- Chamlagain, B.; Li, Q.; Ghimire, N.J.; Chuang, H.-J.; Perera, M.M.; Tu, H.; Xu, Y.; Pan, M.; Di, X.; Yan, J.; et al. Mobility improvement and temperature dependence in MoSe2 field-effect transistors on parylene-C substrate. ACS Nano 2014, 8, 5079–5088. [Google Scholar] [CrossRef] [Green Version]
- Chen, Q.; Wang, Z.; Lin, M.; Qi, X.; Yu, Z.; Wu, L.; Bao, L.; Ling, Y.; Qin, Y.; Cai, Y.; et al. Homogeneous 3D Vertical Integration of Parylene-C Based Organic Flexible Resistive Memory on Standard CMOS Platform. Adv. Electron. Mater. 2021, 7, 2000864. [Google Scholar] [CrossRef]
- Madakasira, P.; Inoue, K.; Ulbricht, R.; Lee, S.B.; Zhou, M.; Ferraris, J.P.; Zakhidov, A.A. Multilayer encapsulation of plastic photovoltaic devices. Synth. Met. 2005, 155, 332–335. [Google Scholar] [CrossRef]
- Gasonoo, A.; Lee, J.-H.; Lim, Y.-J.; Lee, S.-H.; Choi, Y.; Lee, J.-H. Parylene C-AlN Multilayered Thin-Film Passivation for Organic Light-Emitting Diode Using a Single Deposition Chamber. Electron. Mater. Lett. 2020, 16, 466–472. [Google Scholar] [CrossRef]
- Teixeira, E.C.; Piascik, J.R.; Stoner, B.R.; Thompson, J.Y. Zirconia-parylene multilayer thin films for enhanced fracture resistance of dental ceramics. Proc. Inst. Mech. Eng. Part H J. Eng. Med. 2009, 223, 897–902. [Google Scholar] [CrossRef] [PubMed]
- Aji, A.S.; Solís-Fernández, P.; Ji, H.G.; Fukuda, K.; Ago, H. High Mobility WS 2 Transistors Realized by Multilayer Graphene Electrodes and Application to High Responsivity Flexible Photodetectors. Adv. Funct. Mater. 2017, 27, 1703448. [Google Scholar] [CrossRef]
- Chen, T.-N.; Wuu, D.-S.; Wu, C.-C.; Chiang, C.-C.; Chen, Y.-P.; Horng, R.-H. Improvements of Permeation Barrier Coatings Using Encapsulated Parylene Interlayers for Flexible Electronic Applications. Plasma Process. Polym. 2007, 4, 180–185. [Google Scholar] [CrossRef]
- Brox, D.; Mohammadi, A.R.; Takahata, K. Non-lithographically microfabricated capacitive pressure sensor for biomedical applications. Electron. Lett. 2011, 47, 1015. [Google Scholar] [CrossRef]
- Majid, N.; Dabral, S.; McDonald, J.F. The parylene-aluminum multilayer interconnection system for wafer scale integration and wafer scale hybrid packaging. J. Electron. Mater. 1989, 18, 301–311. [Google Scholar] [CrossRef]
- Lahiji, R.R.; Sharifi, H.; Mohammadi, S.; Katehi, L.P.B. Low-Loss Coplanar Waveguide Transmission Lines and Vertical Interconnects on Multi-Layer Parylene-N. In Proceedings of the IEEE Topical Meeting on Silicon Monolithic Integrated Circuits in RF Systems, San Diego, CA, USA, 19–21 January 2009; p. 10468222. [Google Scholar]
- Lin, Y.-Y.; Evans, R.D.; Welch, E.; Hsu, B.-N.; Madison, A.C.; Fair, R.B. Low Voltage Electrowetting-on-Dielectric Platform using Multi-Layer Insulators. Sens. Actuators B Chem. 2010, 150, 465–470. [Google Scholar] [CrossRef] [Green Version]
- Kim, B.J.; Chen, B.; Gupta, M.; Meng, E. Formation of three-dimensional Parylene C structures via thermoforming. J. Micromech. Microeng. 2014, 24, 65003. [Google Scholar] [CrossRef] [Green Version]
- Bobrowski, M. Metal salts reduction during parylenes polymerization. Comput. Theor. Chem. 2012, 991, 56–65. [Google Scholar] [CrossRef]
- Vaeth, K.M.; Jackman, R.J.; Black, A.J.; Whitesides, G.M.; Jensen, K.F. Use of Microcontact Printing for Generating Selectively Grown Films of Poly (p-Phenylene Vinylene) and Parylenes Prepared by Chemical Vapor Deposition. Langmuir 2000, 16, 8495–8500. [Google Scholar] [CrossRef]
- Vaeth, K.M.; Jensen, K.F. Transition Metals for Selective Chemical Vapor Deposition of Parylene-Based Polymers. Chem. Mater. 2000, 12, 1305–1313. [Google Scholar] [CrossRef]
- Fortin, J.B.; Lu, T.-M. Mass spectrometry study during the vapor deposition of poly-para-xylylene thin films. J. Vac. Sci. Technol. A 2000, 18, 2459–2465. [Google Scholar] [CrossRef]
- Suni, T.; Henttinen, K.; Suni, I.; Mäkinen, J. Effects of Plasma Activation on Hydrophilic Bonding of Si and SiO2. J. Electrochem. Soc. 2002, 149, 348–351. [Google Scholar] [CrossRef]
- Kettner, P.; Pelzer, R.L.; Glinsner, T.; Farrens, S.; Lee, D. New Results on Plasma Activated Bonding of Imprinted Polymer Features for Bio MEMS Applications. J. Phys. Conf. Ser. 2006, 34, 65–71. [Google Scholar] [CrossRef]








| Type 1 | Type 2 | Type 3 | Type 4 | |
|---|---|---|---|---|
| Glass slide | yes | yes | yes | yes |
| Metal salt layer | yes | yes | yes | yes |
| Varigon plasma | no | yes | no | yes |
| Parylene layer | no | no | yes | yes |
| Parylene C Precursor Weight (g) | Parylene C Layer Thickness (µm) |
|---|---|
| 10.05 | 4.579 |
| 10.05 | 4.716 |
| 10.05 | 4.687 |
| 10.05 | 4.714 |
| Parylene C Precursor Weight (g) | Parylene C Layer Thickness (µm) |
|---|---|
| 9.914 | 5.825 |
| 9.987 | 5.739 |
| 9.997 | 6.304 |
| 10.09 | 5.742 |
Publisher’s Note: MDPI stays neutral with regard to jurisdictional claims in published maps and institutional affiliations. |
© 2022 by the authors. Licensee MDPI, Basel, Switzerland. This article is an open access article distributed under the terms and conditions of the Creative Commons Attribution (CC BY) license (https://creativecommons.org/licenses/by/4.0/).
Share and Cite
Weber, M.; Vorobev, D.; Viöl, W. Microwave Plasma-Enhanced Parylene–Metal Multilayer Design from Metal Salts. Nanomaterials 2022, 12, 2540. https://doi.org/10.3390/nano12152540
Weber M, Vorobev D, Viöl W. Microwave Plasma-Enhanced Parylene–Metal Multilayer Design from Metal Salts. Nanomaterials. 2022; 12(15):2540. https://doi.org/10.3390/nano12152540
Chicago/Turabian StyleWeber, Mirco, David Vorobev, and Wolfgang Viöl. 2022. "Microwave Plasma-Enhanced Parylene–Metal Multilayer Design from Metal Salts" Nanomaterials 12, no. 15: 2540. https://doi.org/10.3390/nano12152540
APA StyleWeber, M., Vorobev, D., & Viöl, W. (2022). Microwave Plasma-Enhanced Parylene–Metal Multilayer Design from Metal Salts. Nanomaterials, 12(15), 2540. https://doi.org/10.3390/nano12152540

